Nachfrage zur Antwort der Landesregierung auf die Kleine Anfrage Nummer 4306 - Beschäftigung von Bewohnern der Brandenburger Erstaufnahmeeinrichtungen

/ 7
PDF herunterladen
Landtag Brandenburg                                      Drucksache 6/11297 6. Wahlperiode Antwort der Landesregierung auf die Kleine Anfrage Nr. 4493 der Abgeordneten Birgit Bessin (AfD-Fraktion) Drucksache 6/11028 Nachfrage zur Antwort der Landesregierung auf die Kleine Anfrage Nummer 4306 - Beschäftigung von Bewohnern der Brandenburger Erstaufnahmeeinrichtungen Namens der Landesregierung beantwortet der Minister des Innern und für Kommunales die Kleine Anfrage wie folgt: Vorbemerkungen der Fragestellerin: Nach Mitteilung der Landesregierung haben im Janu- ar 2019 insgesamt 378 Bewohner gemeinnützige Tätigkeiten an den Standorten der Erst- aufnahmeeinrichtung ausgeführt. Ferner gab es im Januar 2019 lediglich einen Einsatzbe- reich außerhalb der Erstaufnahmeeinrichtung, nämlich einen gemeinnützigen Arbeitsein- satz im Tierheim Wünsdorf. 1. Wieviel Arbeitsstunden haben die Bewohner der Erstaufnahmeeinrichtungen mit ge- meinnützigen Tätigkeiten innerhalb der Erstaufnahmeeinrichtungen im Januar 2019 ver- bracht? (Bitte aufschlüsseln nach Standorten, vollständigen Einsatzbereichen und Stun- denanzahl pro Bewohner.) zu Frage 1: Die Einsatzbereiche der Asylbewerberinnen und Asylbewerber für gemeinnüt- zige Tätigkeiten innerhalb der Erstaufnahmeeinrichtung sind vielfältig. Reinigungsleistun- gen werden neben den mit den Wohnheimbetreibern vertraglich festgelegten Reinigungs- leistungen durchgeführt. Betreuung und Aufsicht begründen sich in der Sprachmittlerfunk- tion zusätzlich zum vorhandenen Personal. Die einzelnen Einsatzbereiche pro Bewoh- ner/in werden im Zuge der Abrechnung nicht erfasst und sind somit nicht darstellbar. Ins- gesamt sind jedoch die im Folgenden genannten Einsatzbereiche bekannt. Für die einzel- nen Standorte der Erstaufnahmeeinrichtung werden folgende Daten mitgeteilt. Dabei wird für die Anzahl der Bewohner/innen mit gemeinnütziger Tätigkeit auf die Antwort zu den Fragen 2 und 3 der Kleinen Anfrage Nr. 4306 (Drucksache 6/10882) verwiesen. - Standort Eisenhüttenstadt - Arbeitsstunden insgesamt:                        10.642 Stunden - durchschnittliche Belegung im Januar 2019:       600 Bewohner/innen - Anzahl der Bewohner/innen mit gemeinnütziger Tätigkeit im Januar 2019:           124 Bewohner/innen - Daraus ergibt sich, dass jede/r Bewohner/innen im Rahmen gemeinnütziger Tätigkeit durchschnittlich rund 85,8 Stunden geleistet hat. Eingegangen: 02.05.2019 / Ausgegeben: 07.05.2019
1

Landtag Brandenburg                                                   Drucksache 6/11297 Pro Bewohner/in der durchschnittlichen Belegung entstanden durchschnittlich rund 17,7 Arbeitsstunden. - Einsatzbereiche:          Betreuung Kindergarten, Dolmetschertätigkeiten, Pflege von Freiflächen, Reinigungsarbeiten, Wäscherei. - Standort Frankfurt (Oder) - Arbeitsstunden insgesamt:                           1.306 Stunden - durchschnittliche Belegung im Januar 2019:          80 Bewohner/innen - Anzahl der Bewohner/innen mit gemeinnütziger Tätigkeit im Januar 2019:              17 Bewohner/innen - Daraus ergibt sich, dass jede/r Bewohner/innen im Rahmen gemeinnütziger Tätigkeit durchschnittlich rund 76,8 Stunden geleistet hat. Pro Bewohner/in der durchschnittlichen Belegung entstanden durchschnittlich rund 16,3 Arbeitsstunden. - Einsatzbereiche:       Betreuung Kindergarten, Dolmetschertätigkeiten, Pflege von Freiflächen, Reinigungsarbeiten, Wäscherei. - Standort Zossen, Ortsteil Wünsdorf - Arbeitsstunden insgesamt:                           7.025 Stunden - durchschnittliche Belegung im Januar 2019:          361 Bewohner/innen - Anzahl der Bewohner/innen mit gemeinnütziger Tätigkeit im Januar 2019:              109 Bewohner/innen - Daraus ergibt sich, dass jede/r Bewohner/innen im Rahmen gemeinnütziger Tätigkeit durchschnittlich rund 64,5 Stunden geleistet hat. Pro Bewohner/in der durchschnittlichen Belegung entstanden durchschnittlich rund 19,5 Arbeitsstunden. - Einsatzbereiche:       Arbeiten am Park im Objekt, Aufsicht Fernsehraum, Aufsicht Hygienemittelausgabe, Aufsicht Kasse, Aufsicht Teeküche, Aufsicht beim Räumen Frauenraum/-cafè, Aufsicht/Übersetzung Kleiderkammer, Beautysalon/Kosmetik für die Bewohner/innen der Erstaufnahmeeinrichtung, Betreuung Sport, Fahrradwerkstatt, Frauensport, Friseurtätigkeit für die Bewohner/innen der Erstaufnahmeeinrichtung, Gartenarbeit, Häkelarbeitsgruppe, Hilfe bei Ein- und Umräumen von Büros, -2-
2

Landtag Brandenburg                                                     Drucksache 6/11297 Hilfsarbeit Haustechnik, Konfliktmanagement Betreuung/Übersetzung, Kreißsaal – Übersetzung, Malern TV-Raum, Geschirrspüle Mensa, Müll aufsammeln, Reinigungsarbeiten, Schneiderei, Training/Aufsicht Frauenfußball, Training/Aufsicht Sportraum, Übersetzung Transport/Transfer, Übersetzung Willkommensmappen, Verwaltung – Übersetzung, Wäscherei, Zettelverteilung Wartezimmer, Tierheim "Aktion Tier Zossen" e. V. - Standort Doberlug-Kirchhain - Arbeitsstunden insgesamt:                           9.509 Stunden - durchschnittliche Belegung im Januar 2019:          576 Bewohner/innen - Anzahl der Bewohner/innen mit gemeinnütziger Tätigkeit im Januar 2019:              128 Bewohner/innen - Daraus ergibt sich, dass jede/r Bewohner/innen im Rahmen gemeinnütziger Tätigkeit durchschnittlich rund 74,3 Stunden geleistet hat. Pro Bewohner/in der durchschnittlichen Belegung entstanden durchschnittlich rund 16,5 Arbeitsstunden. - Einsatzbereiche: Aufsicht Spielzimmer, Aufsicht TV-Raum, Betreuung Sportraum, Friseurtätigkeit für die Bewohner/innen der Erstaufnahmeeinrichtung, Geländereinigung Technischer Dienst, Helfer/in WISAG-Reinigung, Helfer/in bei Integration Sport/Gymnastik, Helfer/in Fahrradwerkstatt, Helfer/in Hausbetreuung, Helfer/in Haustechnik/Malerarbeiten, Helfer/in Kinderbetreuung, Helfer/in Mensa Reinigung, Helfer/in Sozialbetreuung, Helfer/in Treff-Café, Helfer/in Wäscherei Helfer/in Werkstatt, Jugendclub, KITA-Kinderbetreuung auch außerhalb zu Ausflügen als Begleitperson, Kickbox-Training, Mentor/in Gymnastik, Mentor/in/Helfer/in Transfer, Mentor/in/Übersetzer/in Soziales/Ambulanz, -3-
3

Landtag Brandenburg                                                            Drucksache 6/11297 Schneider/in für die Bewohner/innen der Erstaufnahmeeinrichtung, Übersetzer/in Registratur, Unterstützung kreative Gestaltung/Musik. 2. Wie viele Bewohner der Erstaufnahmeeinrichtung haben an dem gemeinnützigen Ar- beitseinsatz im Tierheim Wünsdorf teilgenommen und welche Arbeiten wurden dort ver- richtet? (Bitte aufschlüsseln nach Personen, Stundenanzahl und Tätigkeitsbeschreibung.) zu Frage 2: Bei der Organisation „Aktion Tier Zossen“ handelt es sich um einen gemein- nützigen Verein, der ein Tierheim betreibt. Insgesamt leisteten vier Asylbewerber im Janu- ar 2019 gemeinnützige Arbeit in diesem Tierheim in Höhe von 19 Stunden. Drei der Asyl- bewerber waren jeweils fünf Stunden, ein Asylbewerber war vier Stunden dort im Einsatz. Es wurden Aufräumarbeiten sowie Arbeiten für die Gebäude- und Geländepflege durchge- führt. 3. Wieviel Arbeitsstunden haben die Bewohner der Erstaufnahmeeinrichtungen mit ge- meinnützigen Tätigkeiten innerhalb der Erstaufnahmeeinrichtungen seit 2017 bis ein- schließlich März 2019 erbracht und welche Aufwandsentschädigungen erhalten? (Bitte aufschlüsseln nach Monaten, Standorten, vollständigen Einsatzbereichen, Stundenanzahl sowie Aufwandsentschädigung pro Bewohner.) zu Frage 3: Für den Monat Januar 2019 wird auf die Antwort zu Frage 1 verwiesen. Für die Monate Februar und März 2019 liegen noch keine Daten vor. Zu den Einsatzbereichen wird ebenfalls auf die Antwort zu Frage 1 verwiesen, da ein Einsatz in der Regel in den dort genannten Bereichen erfolgt. Für die einzelnen Standorte der Erstaufnahmeeinrichtung werden folgende Daten mitge- teilt: gemeinnützige Tätigkeiten 2017/2018 Standort Eisenhüttenstadt Monat              Stunden  Aufwands-       durchschnittli-   durchschnittliche    durchschnittliche entschädigung   che Belegung      Arbeitsstunden je    Aufwands- Bewohner/in          entschädigung je Bewohner/in Januar 2017           4.899     3.919,20 €                589                8,32             6,65 € Februar 2017          5.179     4.143,20 €                715                7,24             5,79 € März 2017             6.507     5.205,60 €                731                8,90             7,12 € April 2017            5.596     4.476,80 €                687                8,15             6,52 € Mai 2017              6.801     5.441,00 €                715                9,51             7,61 € Juni 2017             8.433     6.746,40 €                638              13,22            10,57 € Juli 2017             6.563     5.250,40 €                619              10,60              8,48 € August 2017           7.551     6.040,80 €                632               11,95             9,56 € September 2017        9.769     7.815,20 €                579              16,87            13,50 € Oktober 2017          7.887     6.309,60 €                524              15,05            12,04 € November 2017         8.492     6.793,60 €                516              16,46            13,17 € Dezember 2017         8.131     6.504,80 €                406              20,03            16,02 € Januar 2018           5.719     4.575,20 €                415              13,78            11,02 € Februar 2018          9.006     7.204,80 €                587              15,34            12,27 € März 2018             7.823     6.258,40 €                616              12,70            10,16 € April 2018            7.322     5.857,60 €                600              12,20              9,76 € Mai 2018              8.163     6.530,40 €                655              12,46              9,97 € Juni 2018             9.989     7.991,20 €                658              15,18            12,14 € -4-
4

Landtag Brandenburg                                                           Drucksache 6/11297 gemeinnützige Tätigkeiten 2017/2018 Standort Eisenhüttenstadt Monat           Stunden    Aufwands-      durchschnittli-    durchschnittliche    durchschnittliche entschädigung  che Belegung       Arbeitsstunden je    Aufwands- Bewohner/in          entschädigung je Bewohner/in Juli 2018          10.441      8.352,80 €               716               14,58            11,67 € August 2018        10.514      8.411,20 €               587               17,91            14,33 € September 2018      9.259      7.407,20 €               635               14,58            11,66 € Oktober 2018        9.754      7.803,20 €               632               15,43            12,35 € November 2018      11.330      9.064,00 €               614               18,45            14,76 € Dezember 2018       8.592      6.873,60 €               619               13,88            11,10 € gemeinnützige Tätigkeiten 2017/2018 Standort Frankfurt (Oder), Am Halbleiterwerk Monat           Stunden    Aufwands-      durchschnittli-    durchschnittliche    durchschnittliche entschädigung  che Belegung       Arbeitsstunden je    Aufwands- Bewohner/in          entschädigung je Bewohner/in Januar 2017 Februar 2017 März 2017              44         35,20 €                 34                1,29              1,04 € April 2017            548        438,40 €                 88                6,23              4,98 € Mai 2017              900        720,00 €                 99                9,09              7,27 € Juni 2017             880        704,00 €                 85              10,35               8,28 € Juli 2017             844        675,20 €                 59              14,31             11,44 € August 2017         1.199        959,20 €                 49              24,47             19,58 € September 2017      1.000        800,00 €                 68              14,71             11,76 € Oktober 2017        1.467      1.173,60 €               142               10,33               8,26 € November 2017       2.011      1.608,80 €               198               10,16               8,13 € Dezember 2017       1.623      1.298,40 €               157               10,34               8,27 € Januar 2018         1.365      1.092,00 €                 77              17,73             14,18 € Februar 2018          188        150,40 €                 38                4,95              3,96 € März 2018             294        235,20 €                 46                6,39              5,11 € April 2018            333        266,40 €                 48                6,94              5,55 € Mai 2018              577        461,60 €                 59                9,78              7,82 € Juni 2018             716        572,80 €                 66              10,85               8,68 € Juli 2018             860        688,00 €                 78               11,03              8,82 € August 2018         1.281      1.024,80 €               104               12,32               9,85 € September 2018      1.133        906,40 €               121                 9,36              7,49 € Oktober 2018        1.470      1.176,00 €               121               12,15               9,72 € November 2018       1.536      1.228,80 €               107               14,36             11,48 € Dezember 2018         673        538,40 €                 85                7,92              6,33 € -5-
5

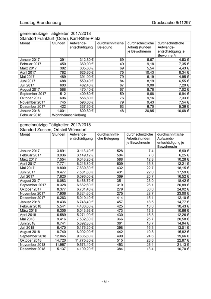
Landtag Brandenburg                                                           Drucksache 6/11297 gemeinnützige Tätigkeiten 2017/2018 Standort Frankfurt (Oder), Karl-Ritter-Platz Monat           Stunden    Aufwands-      durchschnittliche   durchschnittliche  durchschnittliche entschädigung  Belegung            Arbeitsstunden     Aufwands- je Bewohner/in     entschädigung je Bewohner/in Januar 2017           391        312,80 €                 69               5,67                4,53 € Februar 2017          450        360,00 €                 49               9,18                7,35 € März 2017             382        305,60 €                 69               5,54                4,43 € April 2017            782        625,60 €                 75             10,43                 8,34 € Mai 2017              489        391,00 €                 79               6,19                4,95 € Juni 2017             688        550,40 €                 84               8,19                6,55 € Juli 2017             603        482,40 €                 67               9,00                7,20 € August 2017           588        470,40 €                 67               8,78                7,02 € September 2017        512        409,60 €                 59               8,68                6,94 € Oktober 2017          696        556,80 €                 76               9,16                7,33 € November 2017         745        596,00 €                 79               9,43                7,54 € Dezember 2017         422        337,60 €                 63               6,70                5,36 € Januar 2018         1.001        800,80 €                 48             20,85               16,68 € Februar 2018    Wohnheimschließung gemeinnützige Tätigkeiten 2017/2018 Standort Zossen, Ortsteil Wünsdorf Monat           Stunden    Aufwands-      durchschnittli-    durchschnittliche  durchschnittliche entschädigung  che Belegung       Arbeitsstunden     Aufwands- je Bewohner/in     entschädigung je Bewohner/in Januar 2017         3.891      3.113,40 €              528                  7,4                5,90 € Februar 2017        3.936      3.149,12 €              504                  7,8                6,25 € März 2017           7.554      6.043,20 €              588                12,8               10,28 € April 2017          7.771      6.216,80 €              509                15,3               12,21 € Mai 2017            9.800      7.839,80 €              432                22,7               18,15 € Juni 2017           9.477      7.581,80 €              431                22,0               17,59 € Juli 2017           7.620      6.096,00 €              369                20,7               16,52 € August 2017         8.083      6.466,72 €              351                23,0               18,42 € September 2017      8.328      6.662,60 €              319                26,1               20,89 € Oktober 2017        8.377      6.701,40 €              279                30,0               24,02 € November 2017       7.906      6.324,60 €              275                28,7               23,00 € Dezember 2017       6.263      5.010,40 €              414                15,1               12,10 € Januar 2018         8.436      6.748,40 €              457                18,5               14,77 € Februar 2018        5.541      4.433,00 €              425                13,0               10,43 € März 2018           6.305      5.043,92 €              473                13,3               10,66 € April 2018          6.589      5.271,00 €              430                15,3               12,26 € Mai 2018            9.416      7.532,80 €              366                25,7               20,58 € Juni 2018           6.741      5.392,80 €              361                18,7               14,94 € Juli 2018           6.470      5.176,20 €              398                16,3               13,01 € August 2018         8.740      6.992,00 €              442                19,8               15,82 € September 2018     12.045      9.635,60 €              490                24,6               19,66 € Oktober 2018       14.720     11.775,80 €              515                28,6               22,87 € November 2018      11.967      9.573,40 €              453                26,4               21,13 € Dezember 2018       5.137      4.109,20 €              384                13,4               10,70 € -6-
6

Landtag Brandenburg                                                           Drucksache 6/11297 Gemeinnützige Tätigkeiten 2017/2018 Standort Doberlug-Kirchhain Monat            Stunden   Aufwands-       durchschnittli-   durchschnittli-    durchschnittliche entschädigung   che Belegung      che Arbeitsstun-   Aufwands- den je Bewoh-      entschädigung je ner/in             Bewohner/in Januar 2017         3.584         2.866,80               523                6,8               5,48 € Februar 2017        4.108         3.286,40               367              11,2                8,96 € März 2017           5.076         4.060,80               272             18,7                14,93 € April 2017          4.303         3.442,00               250             17,2                13,75 € Mai 2017            5.923         4.738,20               294             20,2                16,12 € Juni 2017           7.113         5.690,20               304             23,4                18,70 € Juli 2017           7.534         6.027,00               282             26,7                21,34 € August 2017         8.923         7.138,60               316             28,2                22,59 € September 2017      8.445         6.755,60               358             23,6                18,89 € Oktober 2017        9.065         7.252,00               353             25,7                20,54 € November 2017      10.164         8.131,20               427             23,8                19,03 € Dezember 2017       7.760         6.208,20               501             15,5                12,40 € Januar 2018         9.584       7.666,80 €               576             16,6                13,31 € Februar 2018        9.316       7.453,00 €               493             18,9                15,13 € März 2018          11.068       8.854,40 €               461             24,0                19,20 € April 2018         11.759       9.407,20 €               538             21,9                17,48 € Mai 2018           15.170     12.136,00 €                524             29,0                23,18 € Juni 2018          12.447       9.957,60 €               479             26,0                20,79 € Juli 2018          13.571     10.857,00 €                544             24,9                19,96 € August 2018        14.289      11.431,40 €               643             22,2                17,78 € September 2018     12.923     10.338,40 €                722             17,9                14,33 € Oktober 2018       14.101      11.280,80 €               825             17,1                13,68 € November 2018      13.251     10.601,00 €                806             16,4                13,15 € Dezember 2018      10.523       8.418,60 €               662             15,9                12,71 € 4. Wieviel Arbeitsstunden haben die Bewohner der Erstaufnahmeeinrichtungen mit ge- meinnützigen Tätigkeiten außerhalb der Erstaufnahmeeinrichtungen seit 2017 bis ein- schließlich März 2019 erbracht und welche Aufwandsentschädigungen erhalten? (Bitte aufschlüsseln nach Monaten, Standorten, vollständigen Einsatzbereichen, Stundenanzahl sowie Aufwandsentschädigung pro Bewohner.) zu Frage 4: Tätigkeiten außerhalb der Erstaufnahmeeinrichtung unterscheiden sich nicht von Tätigkeiten innerhalb der Erstaufnahmeeinrichtung und werden nicht gesondert er- fasst. Die erbetene Aufschlüsselung ist daher nicht möglich. Zusätzlich zu den zu Frage 2 mitgeteilten Leistungen sind keine weiteren Einsätze außerhalb der Wohnheimliegen- schaften bekannt. Es ist jedoch möglich, dass aus den Wohnheimen der Erstaufnahmeein- richtung einzelne Aktionen organisiert wurden, bei denen - auch aufgrund von Beschwer- den aus der Bevölkerung - an Wegen und Plätzen (z. B. auch Bushaltestellen), die häufig durch Bewohnerinnen und Bewohner der Erstaufnahmeeinrichtung frequentiert werden, einfache Reinigungsarbeiten (Müll und Papier sammeln) durchgeführt wurden. -7-
7