02-aufgabenbeschreibung-20230406104556

Dieses Dokument ist Teil der Anfrage „Dokumente zu Auskunftssperre Melderegister

/ 27
PDF herunterladen
Landesamt für Bürger- und Ordnungsangelegenheiten
Referat Zentrale Einwohnerangelegenheiten




                           -   Die Begründung für die Gefährdung ist nicht ausreichend.

                           -   Ein sehr dürftiger;Antrag, z. B. nur Stichworte „Nachbar
                               bedroht“, Familieist zerstritten“.

                           -   Eine Anfrage bei der Polizei stellt keine Bedrohung fest,
                               wobei dies kein Ausschlusskriterium sein muss, die
                               Ablehnung aber unterstützen kann.

                           Der Bescheid ist wie folgt aufgebaut (Anlage 1):
                          • In der Adresszeile ist der Zusatz mit Zustellungsurkunde
                               aufzunehmen, ist die antragstellende Person durch einen
                                Rechtsanwalt vertreten, so ist der Bescheid mit
                                Empfangsbekenntnis zuzustellen
                               (Anschrift:
                                Herrn
                               Max Mustermann
                               z. Hd. Herrn Rechtsanwalt
                                Im Bescheid selbst wird jedoch d. Antragsteller/in.
                               angesprochen (§ 39 II GGO I); in diesem Fall ist dem
                             ' Bescheid noch eine Abschrift beizufügen.)
                          • Nach der Anrede wird als Einleitungssatz der Antrag
                               abgelehnt: „Ihren Antrag auf Eintragung einer             .
                               Auskunftssperre im Melderegister gemäß § 51 Abs. 1
                               Bundesmeldegesetz (BMG) vom lehne ich ab.“
                          • Nun folgt die Begründung in folgender Gliederung (diese ist
                               zwingend zu beachten!):
                               - nochmalige Erwähnung des Antrages mit Datum,
                                 ... beantragten Sie die Eintragung einer Auskunftssperre
                               im Melderegister gemäß § 51 Abs. 1 BMG.
                          • Aufzählung der vorgebrachten Gründe der
                               antragstellenden Person (z. B. begründeten Ihren Antrag
                               damit, dass Sie im Rahmen Ihrer beruflichen Tätigkeit als
                               investigativer Journalist durch verschiedene extreme
                               Gruppierungen bedrqht sind; dies seien u.a, Mitglieder der
                               rechtsextremen Identitären Bewegung, Mitglieder
                               krimineller arabischer Großfamilien sowie radikale
                               Islamisten.).
                          • Hinweis auf die rechtlichen Voraussetzungen:
                               Gemäß § 51 Abs. 1 BMG hat die Meldebehörde, wenn
                              Tatsachen vorliegen, die die Annahme rechtfertigen, dass
                              dem Betroffenen oder einer anderen Person durch eine
                               Meideregisterauskunft eine Gefahr für Leben, Gesundheit,
                               persönliche Freiheit oder ähnliche schutzwürdige
                               Interessen erwachsen kann, eine Auskunftssperre im
                               Melderegister einzutragen.
                          •    Danach folgt die eigentliche Begründung der Ablehnung (z.
                               B. Anschrift im Internet, Anschrift ist dem Bedroher
                              bekannt, keine konkrete Bedrohung glaubhaft gemacht
                              etc.)
                          • Sofern erfolgt, Bezugnahme auf anderweitigen
                              Behördenkontakt mit Aktenzeichen und Behördenname (z.
                              B. Polizeipräsident in Berlin, Abschnitt XX der Berliner
                              Polizei, Landeskriminalamt Berlin usw.).           _________
14

Landesamt für Bürger- und Ordnungsangelegenheiten
Referat Zentrale Einwohnerangelegenheiten



                           •   Abschlusssatz ist immer: Ihr Antrag ist daher abzulehnen. I
                               Eine Gefährdung im Sinne des Melderechts haben Sie
                               nicht (nachvollziehbar) glaubhaft gemacht, so dass Ihr
                               Antrag abzulehnen ist. Der Abschlusssatz ist dem
                               individuellen SacFiverhalt anzupassen, jedoch immer mit
                               dem Satzteil, dass der Antrag abzulehnen ist.
                           • Nun folgt die Rechtsbehelfsbelehrung:
                               Gegen diesen Bescheid ist der Widerspruch zulässig. Er ist
                               innerhalb eines Monats schriftlich oder zur Niederschrift bei
                               dem Landesamt für Bürger- und
                             ' Ordnungsangelegenheiten, Abteilung Personenstands- und
                               Einwohnerwesen, Zentrale Einwohnerangelegenheiten,
                               10969 Berlin (Kreuzberg), Friedrichstr. 219, zu erheben. Er
                               kann auch elektronisch mit einer qualifizierten
                               elektronischen Signatur versehen unter der Adresse
                               post.meldeangelegenheiten@labo.berlin.de eingelegt
                               werden. Es wird darauf hingewiesen, dass die
                               Widerspruchsfrist nur dann gewahrt ist, wenn der
                               Widerspruch innerhalb dieser Frist eingegangen ist.
                           • Grußformel, Im Auftrag, Name
                           • Rechtliche Grundlagen, Erläuterungen der Abkürzungen,
                             ' Fundstellen

                           Der Bescheid wird nun vor dem Versand an den Betroffenen an
                           IIA11 zur Kenntnis vorgelegt. Nach dem „okay“ von II A11 wird
                           der Bescheid mit tagesaktuellem Datum ausgedruckt,
                           unterschrieben und mit
                           Postzustellungsurkunde/Empfangsbekenntnis an die betroffene
                           Person versandt.

                           Im Vorgang und in der Wiedervorlage wird sowohl der
                           Bescheid als auch eine Frist von einem Monat plus zehn Tage
                           notiert.
                           Gegen den Bescheid ist der Widerspruch innerhalb eines
                           Monats nach Zustellung möglich. Geht der Widerspruch ein,
                           wird der Vorgang in eine^laue Hülle mit Etikett mit folgender
                           Aufschrift genommen: Bitte Vorgang an II A 11.

                           In der Wiedervorlage-Liste wird vor die Spalte mit den Namen
                           ein blaues ,B' erfasst. Nach Fristablauf wird der Vorgang mit
                           der blauen Mappe an IIA11 weitergeleitet.

                          Die weitere Bearbeitung zum Widerspruchsverfahren ergibt
                          sich aus der Aufgabenmappe „Widerspruch“.
                          Kurz: Gegen, den Widerspruchsbescheid kann innerhalb eines
                          Monats nach Zustellung Klage vor dem Verwaltungsgericht
                          erhoben werden.

                          Geht kein Widerspruch ein, so wird die Auskunftssperre nach
                          Ablauf der Rechtsmittelfrist plus zehn Tage im Fachverfahren
                          gelöscht, der Vorgang wird aus der Wiedervorlage gelöscht und
                          der Vorgang zusammengeheftet und ohne den Aktendeckel in
15

Landesamt für Bürger- und Ordnungsangelegenheiten
 Referat Zentrale Einwohnerangelegenheiten



                                            der Ablage der abgeschlossenen Vorgänge aufbewahrt und
                                            nach Ablauf eines Jahres nach Löschung vernichtet.

Kontakte intern:                            Bezieht sich ausschließlich auf die Sachbearbeiter*innen, ggf.
(Mit wem arbeitet man im Team oder der      mit HSB und TL, untereinander
eigenen Organisation zusammen? Was ist
bei der Abstimmung/Zusammenarbeit zu
beachten?)
Kontakte extern:                            Antragsteller*in
(Mit wem arbeitet man aus anderen Teams
oder anderen Organisation zusammen?
Was ist bei der
Abstimmung/Zusammenarbeitzu
beachten?)
Auswirkung auf andere Arbeits-/             Widerspruchsverfahren
Unteraufgaben
Rechtliche und fachliche                    Bundesmeldegesetz
Grundlagen:                                 Verwaltungsvorschrift zur Durchführung des
(Welche rechtlichen und fachlichen          Bundesmeldegesetzes (BMGVwV)
Rahmen sind wichtig? Wo kann man
nachlesen, Ansprechparfner finden etc. ?)   Gemeinsame Geschäftsordnung 1
                                            Verwaltungsverfahrensgesetz
                                            Verwaltungszustellungsgesetz
                                            Verwaltungsgerichtsordnung (insb. §§ 1-52, 79-80)

                                            Sämtliche Hinweise zur einheitlichen Bearbeitung finden sich
                                            unter G:\04_Zentrale
                                            Einwohnerangelegenheiten\03JI_A_11\04_Vorgänge\07_Bear
                                            beitunq
Termine (ggf. wiederkehrend)                Wiedervorlagefrist ein Monat plus 10 Tage Postlauf
Ablage und Archivierung                     Bitte ergänzen und kurz beschreiben!
(Was sollte man diesbezüglich beachten?)
Wichtige Hinweise/                          Der bundeseinheitliche Leitfaden sieht eine so strenge Regelung
Besonderheiten/Erfahrungen:                 nicht vor. Inwieweit dies auch in Berlin Anwendung findet wird
(Was sollte man noch wissen?)               noch durch Senlnn geklärt. Aktuell wird in politisch brisanten
                                            Fällen zuerst auf die erforderliche Löschung der Daten im
                                            Internet hingewiesen.
Barrieren/Stolpersteine:                    aktuell keine bekannt
(Mit welchen Schwierigkeiten muss man
rechnen?)
Weiterführende Ideen für das                aktuell keine bekannt
Aufgabengebiet
Verfügbare Muster/Beispiele                 -   Anlage 1: Ablehnung Muster
(Anlagen)
16

Landesamt für       .        '
Bürger- und Ordnungsangelegenheiten
Abteilung Personenstands- und Einwohnerwesen
                                                                                                GeschZ. (bei Antwort bitte angeben)
Zentrale Einwohnerangelegenheiten                                                               II A11 01
                                                                                                 Bearbeitung:!                >
                                                                                                Dienstgebäude:
                                                                                                Friedrichstr. 219., 10969 Berlin

Landesamt für Bürger- und Ordnungsangelegenheiten, 10958 Berlin (Postanschrift)                 Zimmer                  308
                                                                                                Telefon                 (030) 90269-2112
Mit Zustellungsurkunde                                                                          Fax                     (030) 90269 - 2099
                                                                                                Vermittlung             115 Bürgertelefon
Herrn                                                                                           Intern                  (9269)- 2112
Max Mustermann                                                                                  E-Mail:
XXXX                                                                                            post.meldeangelegenheiten@labo.berlin.de
12345 Berlin                                                                                    Internet: http://www.berlin.de/labo

                                                                                                Datum                   17.02.2023




Sehr geehrter Herr Mustermann,

Ihren Antrag vom xxx auf Eintragung einer Auskunftssperre im Melderegister gemäß § 51 Abs. 1 Bun­
desmeldegesetz (BMG) lehne ich ab.

Begründung                                                                                                                                   .

I.                                                                                                                     .■
Mit Schreiben vom xxx beantragten Sie - erneut - die Eintragung einer Auskunftssperre im Meldere­
gister und führten zur Begründung Ihres Antrages aus...(Achtung! Häufig ist hier der Konjunktiv zu
nutzen)

Gemäß § 51 Abs. 1 BMG hat die Meldebehörde, wenn Tatsachen vorliegen, die die Annahme recht­
fertigen, dass dem Betroffenen oder einer anderen Person durch eine Melderegisterauskunft eine Ge­
fahr für Leben, Gesundheit, persönliche Freiheit oder ähnliche schutzwürdige Interessen erwachsen
kann, eine Auskunftssperre im Melderegister einzutragen.

XXXXXX

Ihr Antrag ist daher abzulehnen.

Rechtsbehelfsbelehrung
Gegen diesen Bescheid ist der Widerspruch zulässig. Er ist innerhalb eines Monats schriftlich oder
zur Niederschrift bei dem Landesamt für Bürger- und Ordnungsangelegenheiten, Abteilung Personen­
Stands- und Einwohnerwesen, Zentrale Einwohnerangelegenheiten, 10969 Berlin (Kreuzberg), Fried­
richstr. 219, zu erheben. Er kann auch elektronisch mit einer qualifizierten elektronischen Signatur
nach dem Signaturgesetz versehen unter der Adresse post.meldeangelegenheiten@labo.berlin.de
eingelegt werden. Es wird darauf hingewiesen, dass die Widerspruchsfrist nur dann gewahrt ist, wenn
der Widerspruch innerhalb dieser Frist eingegangen ist.                                            •
                                                                                                                                  • konii




     Verkehrsvetbindung:                            Öffnungszeiten:                       Bankverbindung:
     Dienstgebäude:             Friedrichstr. 219   Montag            08:00-15:00   Uhr   Zahlungen bitte bargeldlos an die
     Friedrichshain - Kreuzberg                     Dienstag          11:00-18:00   Uhr   Landeshauptkasse Berlin
     Hi Kochstraße          Linie: U 6 ,            Mittwoch          08:00-13:00   Uhr   Konto-Nr. 632-108 ’
                                                    Donnerstag        11:00-18:00   Uhr   Bankleilzahl; 10010010                                 =
     W    Qi ic MOQ                                 Freilag           08:00-13:00   Uhr   (Postbank Berlin)
                                                                                          (BAN DE 06 10010010 0000632108
                                                                                          BIG PBNKDEFF100
17

Landesamt für Bürger- und Ordnungsangelegenheiten
 Referat Zentrale Einwohnerangelegenheiten


Rechtliche und fachliche                     Bundesmeldegesetz
Grundlagen:                                  Verwaltungsvorschrift zur Durchführung des
(Welche rechtlichen und fachlichen           Bundesmeldegesetzes (BMGVwV)
Rahmen sind wichtig? Wo kann man
nachlesen, Ansprechpartner finden etc. ?)    Sämtliche Hinweise zur einheitlichen Bearbeitung finden sich
                                             unter G:\04_Zentrale
                                             Einwohnerangelegenheiten\03_ll_A_11\04_Vorgänge\07_Bear
                                             beitung         '
Termine (ggf. wiederkehrend)                 aktuell nicht bekannt
Ablage und Archivierung                      aktuell nicht bekannt
(Was   sollte man diesbezüglich beachten?)
Wichtige Hinweise/                           Bei Vollständigkeit des Antrags ist die
Besonderheiten/Erfahrungen:                  GefährdungsbeurteilungZ-prüfung grundsätzlich erledigt.
(Was sollte man noch wissen'?)
Barrieren/Stolpersteine:                     aktuell nicht bekannt
(Mit welchen Schwierigkeiten muss man
rechnen?)
Weiterführende Ideen für das                 aktuell nicht bekannt
Aufgabengebiet
Verfügbare Muster/Beispiele                  Muster/Beispiel:
(Anlagen)                                    Sehr geehrte Damen und Herren,

                                             für die genannte Person liegt hier ein Antrag auf Eintragung
                                             einer Auskunftssperre vor. Ich habe deshalb vorsorglich eine
                                             Auskunftssperre nach § 51 Abs. 1 BMG i. V. m. § 51 Abs. 3 auf
                                             Veranlassung einer Sicherheitsbehörde (bei Gefahr für Leben,
                                             Gesundheit, persönliche Freiheit oder ähnliche schutzwürdige
                                             Interessen) befristet bis zum ... eingetragen.

                                             Bitte teilen Sie mir mit, ob Ihnen ebenfalls ein Antrag vorliegt
                                             oder dieser ggf. bereits bewilligt wurde.

                                             Mit freundlichen Grüßen

                                             -   Anlage 1: Freitextnachricht
18

Landesamt für Bürger- und Ordnungsangelegenhfeiten
 Referat Zentrale Einwohnerangelegenheiten


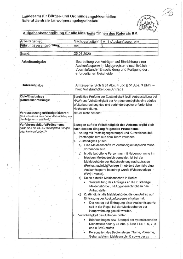
  Aufgabenbeschreibunq für alle Mitarbeiterinnen des Referats II A

Arbeitsgebiet:                                Sachbearbeitung IIA 11 (Auskunftssperren)
Führungsverantwortung;                        nein'           A.        •
   '           .                    , •
Stand:                                       26.08.2020                           :

 Arbeitsaufgabe                                   Bearbeitung von Anträgen auf Einrichtung einer
                                                  Auskunftssperre im Mejderegister einschließlich
                     '                            abschließender Entscheidung und Fertigung der
                                                  erforderlichen Bescheide


 Unteraufgabe                                     Amtssperre nach § 34 Abs. 4 und § 51 Abs. 3 BMG -
                                                  hier: Vollständigkeit des Antrags

Ziele/Ergebnisse                             Sorgfältige Prüfung der Zuständigkeit (evtl. Antragstellung bei
(Kurzbeschreibung):                          HAW) ünd Vollständigkeit der Anträge ermöglicht eine zügige
                                             Weiterbearbeitung des und verhindert später erforderliche       ■
                                             Nachbearbeitung.
Voraussetzungen/Erfolgsfaktoren;             aktuell nicht bekannt           '
(Auf was muss man besonders achten, um
die Aufgabe zu erfüllen?)'           '
Verfahrensabläufe/Prüfschema;                Bezogen auf die Vollständigkeit des Antrags ergibt sich
(Was sind die ca, 5-7 wichtigsten Schritte   nach dessen Eingang folgendes Prüfschema:
oder Unteraufgaben?)                -        1. Antrag mit Posteingangsstempel und Kurzzeichen des
                                                 Postbearbeiters aus dem Team versehen
                                             1. Zuständigkeit prüfen                 ,
                                                 a) Eine Meld.eanschrift im Zuständigkeitsbereich muss '
                                                    vorhanden sein.      ■
                                               ' a) Ist die betroffene Person nur mit Nebenwohnung im
                                                    hiesigen Meldebereich gemeldet, ist bei der
                                                    Meldebehörde der Haüptwohnung nachzufragen
                                                    (Freitextnachrichji/Anlage 1), ob dort ebenfalls eine
                                                      Auskunftssperre beantragt wurde (Wiedervorlage
                                              •       (WV)1 Monat). .            '            .       ■
                                                   b) Keine aktuelle Meldeanschrift in Berlin:
                                                      • Weiterleitung des Antrages an die zuständige        .
                                                          Meidebehörde und Abgabenachricht an den         ’
                                                          Antragsteller
                                                   c) Zuständig ist die Meldebehörde, die den Antrag auf
                                                      Eintragung der Auskunftssperre erhalten hat.
                                                      •   Der Antrag auf Eintragung einer Auskunftssperre
                                                          soll in der Regel bei der Meldebehörde der
                                                          Hauptwohnung gestellt werden.                     ,
                                             2.    Vollständigkeitdes Antrages prüfen
                                                        •   Briefköpfbogen bzw. Stempel der veranlassenden
                                                    '       Dienststelle nach § 34 Abs. 4 Satz 1 Nr. 1, 6, 7, 8
                                                            und 9 BMG prüfen                  •   .
                                                        •   Personalien des Bediensteten (Name, Vorname,
                                                            Geburtsdatum, Meldeanschrift) sowie der zu ■
19

Landesamt für Bürger- und Ordnungsangelegenheiten
 Referat Zentrale Einwohnerangelegenheiten      ;


                                                      sperrenden Familienangehörigen, die in einem
                                                  ■   gemeinsamen Haushalt gemeldet sind,
                                                  ®   Unterschrift und Name des Dienstvorgesetzten
                                                  «   Gefährdungsbegründung
                                                  •   Ein persönlicher Antrag ist nicht zwingend
                                                     erforderlich. '         -                   ■
                                             ' '  • Ist der Antrag unvollständig, sind die fehlenden .
                                                     Angaben nachzufordern (Schreibenden den
                                              .      Bediensteten, WV/I Monat und 10 Tage, die
                                                     Vorlagen dazu sind eingestellt).                 ‘
                                          3. Anlegen der Akte                           .
                                               • Fertigen des Vorblatt.es (Vorlage eingestellt)
                                          ■^(Personalien: Name, Vorname, Geburtsdatum des
                                          Bediensteten sowie separat der Familienangehörigen ist darauf
                                          zu vermerken, sowie die individuellen Arbeitsschritte mit dem
                                          entsprechenden Tagesdatum)                           ■
                                               • Hinter dem Vorblatt folgen die nach Tagesdatum
                                                  geordneten zum Vorgang gehörenden Schreiben.          •
                                          4.  In VOIS prüfen, ob die auf dem Antrag angegebenen ■
                                              Personalien mit dem Melderegister übereinstimmen .
                                          5. Eingabe der Auskunftssperre in VOIS (ASP auf              '
                                              Veranlassung einer Sicherheitsbehörde; siehe Aufnahme
                                              einer ASP in VOIS)                               ,
                                          ->Bei Familienangehörigen ist beim Aktenzeichen der Zusatz
                                          „ASP“ zu erfassen. (ASP=andere Sperre Partner bzw. auch
                                          Sperre Partner)                ■
                                            Die Auskunftssperre wird auf zwei Jahre befristet und kann .
                                          auf Antrag verlängert werden.
                                          6. Ist bereits eine Auskunftssperre vermerkt, ist entweder der
                                              bereits vorhandene Vorgang zu,ziehen bzw. zu prüfen, ob
                                              dieser bereits in der Wiedervorlage eingetragen ist und
                                            . dann dort zu entnehmen.          ■
                                          7. Bei Eingang eines Antrages immer prüfen (VOlS           ,
                                              Änderungen), ob ein Altvorgang (innerhalb eines Jahres
                                              vor Eingang des-Antrages gelöschte ASP) vorhanden ist
                                            ■ Dieser ist dann dem Neuantrag hinzuzufügen (Ablage
                                              Löschungen im Zimmer 307),



Kontakte intern:                          Bezieht sich ausschließlich auf die Sachbearbeiterlnnen, ggf. .
(Mit wem arbeitet man im Team oder der    mit HSB und TL, untereinander          ;
eigenen Organisation zusammen? Was ist
hei der Abstimmung/ZusammBimrbeit zu
beachten?)
Kontakte extern:                          Antragsteller*^ '
(Mit wem arbeitet man aus anderen Teams   veranlassende Sicherheitsbehörde            , .         •
oder anderen Organisation zusammen?
Was ist bei der                      -
Abstirnmung/Zusammenaibeit zu
beachten?)
Auswirkung auf andere Arbeite-/           aktuell nicht bekannt                 '                     .
Ünteraufgaben
20

Erstellen einer Freitextnachricht




!      J             Mddcsvcacn v                  Uürqc^Grvicc , DunJcshauptafadt Herl n | LAdO IIA II
:      :
                                                                                                im Zuständigkeitsbereich gemeldet '
i>                                  September-Labotestsperren,
                                    Autum (2)           ,                                       Asiat-infsspe:^ •«eih5n:ian
                                    9 geb; ,}in 06,09.31)17 m Btüiiri




           .-   Q Suci-.s j (Sl Histons I 0, L»trts Such** ;                  D*<j'isuci'.s       -! idJ               P S
                                                                                         :       Hinweise zur Person
                                                        Vorgang''Mich-?, hiita geuen Sie hiar esn Stch.-roit      Ihrem gewünschten Voroamj ein. [
                                                                                                                                                                             '■ >
            P              ^ A u sl ä rute rw e k n-6 0 rg 2 rb Cro
                                                                                                                        ücsuer-iO iHips-icheit!


                           ÜBZfUGZR


            n              M Fuhrä'scheumesen
                           fcKfz-aiirgemunj
                                                                                                   Meldung



            g              ih Meldey<eten

                                ’ '/eiiausxunrt
                                                                                                  ,,      Auiuin Sspletnoef-läl'üi.stiif-ertcn, nei>. 0



                             » M Meldevorgänge                                                    0       Auturn SäDtember-Lstctetts^arT'är», gab. 0
                                                                                                          f.Sti-ChfKhsr.veiie Ke;:r?i! W?:t rur Cj-lil.-rtd
                                4 Au3lur.f»?peiTen/5penvennefK<
                                T UbannictlungsspsiTsn
                             » tl srnr-trs^amtli-che Vonjänne
                             » fii iraac',£.ng*höi::jJ'eiren

                             * 68 utiiHri-ennraichen
                             r ÜAusk'S.hlta
                             > fctjnter^chnftenlhten
                            k ^Sonsiiije Vorgänge
                           ■ PätVaup/eijmaciul
                           iPasäifi



Zum Erstellen einer Freitextnachrieht ist der Punkt sonstige Vorgänge auszuwählen
                O E'.-’C
                ^    Ms’riewesen ^                 Bürgerservtce j Bundeshauptstadt Berlin j LABOIIA11

                                   September-Labotestsperren,                                  im Zuständigkeitsbereich gemeldet
                                   Autum (2) • ;                                               Auttanftripsn* vc-!t-an'J»ri
                                    9,-geö. am 00.07.2017 io Eeiim                             iedig •




                            \&,t               \ 0 letitfe Such*          |^J OeUiisr.                   ih «.tn
                                                                                                       t Sceuer-lD
                                                                                                       . St. =>t i.fni-tr steues-iD göspi'Chart1


            a                   ■ Unw-'achoftenliKer.
                                ■ SontUge Vo-'gän<j*

            C3                       ■ Aiifentftalrsaftfrageo
                                                                                                                         fcer-lfcfrcireätgijfcneii. gto.'     03.3017 i£Of
                                     • Ohitorg.'Otl
                                     • Dokument *iotracen                                                                3« r'-s/nen V.:e;1 fu-r Opticoi-. uueh srngeua

                                                                                                                             -ff'LaDct€;t:r;Erie(i. osn oe 09.301? L^Of-
                                     • eAT-VG'nituj*
                                                                                                         öisihUchArvt-»!?.
                                     " Änderung Religion
                                     • SpiengsEofferiaus-'u'.
                                     • WaffenseJaubnii


                                     • Uß-Schetn
                                     ’ V/ahlöossciiiuss*
                                     • Wohnanschrift 01.09.1939
                                     • Anschnft 9uhde3tägs-;EU-Wahi ,
                                     • Antrag Eurapawahl              •
                                     • Micteilungsersucnen
                                     • 0905^f?;tc<cnachrieht
                                    :U At-n!




Dann „0905 Freitext“
21

t   11~- _:C ' Z“, * _I _ _




Die Meldebehörde ist über das Dropdownfeld auszuwählen. Es können nur Meldebehörden
über eine Freitextnachricht angeschrieben werden, die in Zusammenhang mit dem
Datensatz der betroffenen Person stehen.



Nach Texteigabe ist die Nachricht über „Senden & Anzeigen“ abzuschicken. Ein Ausdruck ist
zum Vorgang zu nehmen.
22

Landesamt für Bürger- und Ordnungsangelegenheiten
 Referat Zentrale Einwohnerangelegenheiten                                               s !XAiS<>? %
                                                                                         v / L !1-U1,IN K y r
                                                                                                       V

          Aufqabenbeschreibunq für alle Mitarbeiterinnen des Referats II A

Arbeitsgebiet:                           Sachbearbeitung II,A 11 (Auskunftssperren)
Führungsverantwortung:                   nein              ’'      .
                                                         ■                 (
Stand:                                   26.08.2020                        '

 Arbeitsaufgabe                          Bearbeitung von Anträgen auf Einrichtung einer
                                          Auskunftssperre im Melderegister einschließlich
                                          abschließender Entscheidung und Fertigung der
   ■                                     erforderlichen Bescheide


 Unteraufgabe                             Amtssperre nach § 34 Abs. 4 und § 51 Abs. 3 BMG -
                                          hier: Bewilligung
Ziele/Ergebnisse                           Ist der Antrag vollständig und die Gefährdungslage geklärt,
(Kurzbeschreibung):                        kann der Antrag bewilligt werden. Dazu gibt es Vorlagen
                                           (Bewilligung, Verlängerung Amtssperre), die in Word hinterlegt
                                           sind.
Voraussetzungen/Erfolgsfaktoren:           Kenntnis der einschlägigen Rechtsvorschriften und internen
(Auf was muss man besonders achten, um Regelungen zur einheitlichen Bearbeitung
die Aufgabe zu erfüllen?)
Verfahrensabläufe/Prüfschema:              Nach Feststellung der Vollständigkeit des Antrages bekommt
(Was sind die ca. 5-7 wichtigsten Schritte die betroffene Person einen Bescheid über die Einrichtung
oder Unteraufgaben?)                       einer Auskunftssperre mit dem Befristungsdatum,
                                           entsprechenden Hinweisen sowie der Rechtsgrundlage.

                                        Jeder volljährige Familienangehörige bekommt ebenfalls
                                        einen entsprechenden Bescheid. Die Bescheide gehen an die
                                        in VOIS vermerkte aktuelle Meldeanschrift (Hauptwohnung) mit
                                        den entsprechenden Wohnungszusätzen.

                                        Die minderjährigen Kinder werden auf dem Bescheid des
                                        gesetzlichen Vertreters vermerkt (Name, Vorname und
                                        Geburtsdatum).
                                        Von jedem Bescheid werden zwei Ausfertigungen erstellt.
                                        Eine Ausfertigung wird versandt und eine weitere verfügt und
                                        der Akte beigelegt.

                                        „Vorlagen“ für alle Bescheide sind bei den Wördvorlagen II A11
                                        abgelegt.

                                        Auf dem Vorblatt wird dies ebenfalls mit dem entsprechenden
                                        Tagesdatum vermerkt. Die Befristung wird vom Tag der
                                        Erstellung des Bescheides auf zwei Jahre festgelegt.
                                        (Beispiel: Tag der Erstellung 25.03.2020, Befristung
                                        24,03.2022). Die Befristung der Auskunftssperre gemäß des
                                        Bescheides wird dann in VOIS angepasst, (siehe Anlage
                                        Aufgabenmappe Aufnahme einer ASP in VOIS)
23

Zur nächsten Seite