GMBl Nr. 24-28 2006

Gemeinsames Ministerialblatt Nr. 24-28 vom 4. May 2006

/ 100
PDF herunterladen
Nr. 24 – 28                                             GMBl 2006                                                 Seite 507

    gemeinen Entgeltanpassungen um den von den Tarif-               3 TVöD) gezahlt. 2Nettokrankengeld ist das um die Ar-
    vertragsparteien für die jeweilige Entgeltgruppe fest-          beitnehmeranteile zur Sozialversicherung reduzierte
    gelegten Vomhundertsatz. 3Ansprüche nach Absatz 1               Krankengeld. 3Für Beschäftigte, die nicht der Versiche-
    können für Kinder ab dem vollendeten 16. Lebensjahr             rungspflicht in der gesetzlichen Krankenversicherung
    durch Vereinbarung mit der/dem Beschäftigten abge-              unterliegen, ist bei der Berechnung des Krankengeld-
    funden werden.                                                  zuschusses der Höchstsatz des Nettokrankengeldes, der
                                                                    bei Pflichtversicherung in der gesetzlichen Krankenver-
(3) Die Absätze 1 und 2 gelten entsprechend für
                                                                    sicherung zustünde, zugrunde zu legen.
    (a) zwischen dem 1. Oktober 2005 und dem 31. De-
        zember 2005 geborene Kinder der übergeleiteten         (2) 1Beschäftigte im Sinne des Absatzes 1 erhalten längstens
        Beschäftigten,                                             bis zum Ende der 26. Woche seit dem Beginn ihrer über
                                                                   den 30. September 2005 hinaus ununterbrochen fortbe-
    (b) die Kinder von bis zum 31. Dezember 2005 in ein            stehenden Arbeitsunfähigkeit infolge derselben Krank-
        Arbeitsverhältnis übernommenen Auszubildenden,             heit oder Arbeitsverhinderung infolge einer Maßnahme
        Schülerinnen/Schüler in der Gesundheits- und               der medizinischen Vorsorge oder Rehabilitation ihr
        Krankenpflege, Gesundheits- und Kinderkranken-                                                    2
                                                                   Entgelt nach § 21 TVöD fortgezahlt. Tritt nach dem
        pflege und in der Entbindungspflege sowie Prakti-          1. Oktober 2005 Arbeitsunfähigkeit infolge derselben
        kantinnen und Praktikanten aus tarifvertraglich ge-        Krankheit ein, werden die Zeiten der Entgeltfortzahlung
        regelten Beschäftigungsverhältnissen, soweit diese         nach Satz 1 auf die Fristen gemäß § 22 TVöD ange-
        Kinder vor dem 1. Januar 2006 geboren sind.                rechnet.
                                                                    Protokollerklärung zu § 13:
                             § 12                                   1
                                                                     Soweit Beschäftigte, deren Arbeitsverhältnis mit dem
                       Strukturausgleich                            Bund vor dem 1. August 1998 begründet worden ist,
(1) 1Aus dem Geltungsbereich des BAT/BAT-O über-                    Anspruch auf Beihilfe im Krankheitsfall haben, besteht
    geleitete Beschäftigte erhalten ausschließlich in den in        dieser nach den bisher geltenden Regelungen des Bundes
    Anlage 3 TVÜ-Bund aufgeführten Fällen zusätzlich zu             zur Gewährung von Beihilfen an Arbeitnehmerinnen
    ihrem monatlichen Entgelt einen nicht dynamischen               und Arbeitnehmer fort. 2Änderungen der Beihilfevor-
    Strukturausgleich. 2Maßgeblicher Stichtag für die an-           schriften für die Beamtinnen und Beamten des Bundes
    spruchsbegründenden Voraussetzungen (Vergütungs-                kommen zur Anwendung.
    gruppe, Lebensalterstufe, Ortszuschlag, Aufstiegszeiten)
    ist der 1. Oktober 2005, sofern in Anlage 3 TVÜ-Bund                                   § 14
    nicht ausdrücklich etwas anderes geregelt ist.                                  Beschäftigungszeit
(2) Die Zahlung des Strukturausgleichs beginnt im Oktober          1
                                                               (1) Für die Dauer des über den 30. September 2005 hinaus
    2007, sofern in Anlage 3 TVÜ-Bund nicht etwas anderes          fortbestehenden Arbeitsverhältnisses werden die vor
    bestimmt ist.                                                  dem 1. Oktober 2005 nach Maßgabe der jeweiligen ta-
(3) Für Beschäftigte, für die nach dem TVöD die Rege-              rifrechtlichen Vorschriften anerkannten Beschäftigungs-
    lungen des Tarifgebiets Ost Anwendung finden, gilt der         zeiten als Beschäftigungszeit im Sinne des § 34 Abs. 3
    jeweilige Bemessungssatz.                                      TVöD berücksichtigt. 2Abweichend von Satz 1 bleiben
                                                                   bei § 34 Abs. 2 TVöD für Beschäftigte Zeiten, die vor
(4) Bei Teilzeitbeschäftigung steht der Strukturausgleich          dem 3. Oktober 1990 im Beitrittsgebiet (Art. 3 des Eini-
    anteilig zu (§ 24 Abs. 2 TVöD). 2§ 5 Abs. 5 Satz 2 gilt        gungsvertrages vom 31. August 1990) zurückgelegt
    entsprechend.                                                  worden sind, bei der Beschäftigungszeit unberück-
    Protokollerklärung zu Absatz 4:                                sichtigt.
    Bei späteren Veränderungen der individuellen regel-        (2) Für die Anwendung des § 23 Abs. 2 TVöD werden die
    mäßigen wöchentlichen Arbeitszeit der/des Beschäftig-          bis zum 30. September 2005 zurückgelegten Zeiten, die
    ten ändert sich der Strukturausgleich entsprechend.            nach Maßgabe
(5) Bei Höhergruppierungen wird der Unterschiedsbetrag              – des BAT anerkannte Dienstzeit,
    zum bisherigen Entgelt auf den Strukturausgleich ange-          – des BAT-O bzw. MTArb-O anerkannte Beschäfti-
    rechnet.                                                          gungszeit,
(6) Einzelvertraglich kann der Strukturausgleich abge-              – des MTArb anerkannte Jubiläumszeit
    funden werden.                                             sind, als Beschäftigungszeit im Sinne des § 34 Abs. 3 TVöD
                                                               berücksichtigt.
                              § 13
              Entgeltfortzahlung im Krankheitsfall                                         § 15
    1                                                                                     Urlaub
(1) Bei Beschäftigten, für die bis zum 30. September 2005
                                                                   1
    § 71 BAT gegolten hat, wird abweichend von § 22 Abs. 2     (1) Für die Dauer und die Bewilligung des Erholungs-
    TVöD für die Dauer des über den 30. September 2005             urlaubs bzw. von Zusatzurlaub für das Urlaubsjahr 2005
    hinaus ununterbrochen fortbestehenden Arbeitsverhält-          gelten die im September 2005 jeweils maßgebenden
    nisses der Krankengeldzuschuss in Höhe des Unter-              Vorschriften bis zum 31. Dezember 2005 fort. 2Die Re-
    schiedsbetrages zwischen dem festgesetzten Netto-              gelungen des TVöD gelten für die Bemessung des Ur-
    krankengeld oder der entsprechenden gesetzlichen Net-          laubsentgelts sowie für eine Übertragung von Urlaub auf
    toleistung und dem Nettoentgelt (§ 22 Abs. 2 Satz 2 und        das Kalenderjahr 2006.
51

Seite 508                                                 GMBl 2006                                                   Nr. 24 – 28

(2) 1Aus dem Geltungsbereich des BAT /BAT-O übergelei-                 zum MTArb (TVLohngrV) einschließlich des Lohn-
    tete Beschäftigte der Vergütungsgruppen I und I a, die             gruppenverzeichnisses mit Anlagen 1 und 2 sowie die
    für das Urlaubsjahr 2005 einen Anspruch auf 30 Ar-                 entsprechenden Regelungen für das Tarifgebiet Ost über
                                                                                                           2
    beitstage Erholungsurlaub erworben haben, behalten bei             den 30. September 2005 hinaus fort. Diese Regelungen
    einer Fünftagewoche diesen Anspruch für die Dauer des              finden auf übergeleitete und ab dem 1. Oktober 2005
    über den 30. September 2005 hinaus ununterbrochen                  neu eingestellte Beschäftigte im jeweiligen bisherigen
                                         2
    fortbestehenden Arbeitsverhältnisses. Die Urlaubsrege-             Geltungsbereich nach Maßgabe dieses Tarifvertrages An-
    lungen des TVöD bei abweichender Verteilung der Ar-                wendung. 3An die Stelle der Begriffe Vergütung und
    beitszeit gelten entsprechend.                                     Lohn tritt der Begriff Entgelt.
(3) § 49 Abs. 1 und 2 MTArb/MTArb-O i. V. m. dem Tarif-          (2) Abweichend von Absatz 1
    vertrag über Zusatzurlaub für gesundheitsgefährdende
                                                                       – gelten Vergütungsordnung und Lohngruppenver-
    Arbeiten für Arbeiter des Bundes gelten bis zum In-
                                                                         zeichnis nicht für ab dem 1. Oktober 2005 in Ent-
    Kraft-Treten eines entsprechenden Tarifvertrags des
                                                                         geltgruppe 1 TVöD neu eingestellte Beschäftigte,
    Bundes fort; im Übrigen gilt Absatz 1 entsprechend.
    1
                                                                       – gilt die Vergütungsgruppe I der Vergütungsordnung
(4) In den Fällen des § 48 a BAT/BAT-O oder § 48 a                       zum BAT/BAT-O ab dem 1. Oktober 2005 nicht fort;
    MTArb/MTArb-O wird der nach der Arbeitsleistung                      die Ausgestaltung entsprechender Arbeitsverhältnisse
    im Kalenderjahr 2005 zu bemessende Zusatzurlaub im                   erfolgt außertariflich.
    Kalenderjahr 2006 gewährt. 2Die nach Satz 1 zustehen-
                                                                       1
    den Urlaubstage werden auf den nach den Be-                  (3)    Mit Ausnahme der Eingruppierung in die Entgelt-
    stimmungen des TVöD im Kalenderjahr 2006 zustehen-                 gruppe 1 sind alle zwischen dem 1. Oktober 2005 und
    den Zusatzurlaub für Wechselschichtarbeit und Schicht-             dem In-Kraft-Treten der neuen Entgeltordnung statt-
    arbeit angerechnet. 3Absatz 1 Satz 2 gilt entsprechend.            findenden Eingruppierungs- bzw. Einreihungsvorgänge
                                                                       (Neueinstellungen und Umgruppierungen) vorläufig
                                                                       und begründen keinen Vertrauensschutz und keinen Be-
                           § 16
                                                                       sitzstand. 2Dies gilt nicht für Aufstiege gemäß § 8 Abs. 1
                         Abgeltung
                                                                       Satz 1 und 2 und Abs. 3.
1
 Durch Vereinbarung mit der/dem Beschäftigten können             (4)   1
                                                                        Anpassungen der Eingruppierung aufgrund des In-
Entgeltbestandteile aus Besitzständen, ausgenommen für                 Kraft-Tretens der neuen Entgeltordnung erfolgen mit
Vergütungsgruppenzulagen, pauschaliert bzw. abgefunden                 Wirkung für die Zukunft. 2Bei Rückgruppierungen, die
        2
werden. § 11 Abs. 2 Satz 3 und § 12 Abs. 6 bleiben unbe-               in diesem Zusammenhang erfolgen, sind finanzielle
rührt.                                                                 Nachteile im Wege einer nicht dynamischen Besitz-
Protokollerklärung zum 3. Abschnitt:                                   standszulage auszugleichen, solange die Tätigkeit aus-
1
 Einvernehmlich werden die Verhandlungen zur Überleitung               geübt wird. 3Die Besitzstandszulage vermindert sich
der Entgeltsicherung bei Leistungsminderung zurück-                    nach dem 30. September 2008 bei jedem Stufenaufstieg
gestellt. Da damit die fristgerechte Überleitung bei Be-               um die Hälfte des Unterschiedsbetrages zwischen der
schäftigten, die eine Zahlung nach §§ 25, 37 MTArb/                    bisherigen und der neuen Stufe; bei Neueinstellungen
MTArb-O bzw. § 56 BAT/BAT-O erhalten, nicht sicherge-                  (§ 1 Abs. 2) vermindert sich die Besitzstandszulage je-
                                                                                                                 4
stellt ist, erfolgt am 1. Oktober 2005 eine Fortzahlung der            weils um den vollen Unterschiedsbetrag. Die Grund-
bisherigen Bezüge als zu verrechnender Abschlag auf das                sätze korrigierender Rückgruppierung bleiben unbe-
Entgelt, das diesen Beschäftigten nach dem noch zu er-                 rührt.
                                                     2
zielenden künftigen Verhandlungsergebnis zusteht. Die in         (5)   1
                                                                        Bewährungs-, Fallgruppen- und Tätigkeitsaufstiege
Satz 2 genannten Bestimmungen – einschließlich etwaiger                gibt es ab dem 1. Oktober 2005 nicht mehr; §§ 8 und 9
Sonderregelungen – finden in ihrem jeweiligen Geltungsbe-              bleiben unberührt. 2Satz 1 gilt auch für Vergütungs-
reich bis zum In-Kraft-Treten einer Neuregelung weiterhin              gruppenzulagen, es sei denn, dem Tätigkeitsmerkmal
Anwendung, und zwar auch für Beschäftigte im Sinne des                 einer Vergütungsgruppe der Allgemeinen Vergütungs-
§ 1 Abs. 2. 3§ 55 Abs. 2 Unterabs. 2 Satz 2 BAT bleibt in sei-         ordnung (Anlage 1a) ist eine Vergütungsgruppenzulage
nem bisherigen Geltungsbereich unberührt. 4Sollte das                  zugeordnet, die unmittelbar mit Übertragung der Tä-
künftige Verhandlungsergebnis geringer als bis dahin ge-               tigkeit zusteht; bei Übertragung einer entsprechenden
währte Leistungen ausfallen, ist eine Rückforderung aus-               Tätigkeit wird diese bis zum In-Kraft-Treten der neuen
geschlossen.                                                           Entgeltordnung unter den Voraussetzungen des bishe-
                                                                       rigen Tarifrechts als Besitzstandszulage in der bisherigen
                                                                       Höhe gezahlt; § 9 Abs. 4 gilt entsprechend.
                         4. Abschnitt
                                                                 (6) In der Zeit zwischen dem 1. Oktober 2005 und dem In-
              Sonstige vom TVöD abweichende
                                                                     Kraft-Treten der neuen Entgeltordnung erhalten Be-
             oder ihn ergänzende Bestimmungen
                                                                     schäftigte, denen ab dem 1. Oktober 2005 eine an-
                           § 17                                      spruchsbegründende Tätigkeit übertragen wird, eine
                      Eingruppierung                                 persönliche Zulage, die sich betragsmäßig nach der ent-
      1
                                                                     fallenen Techniker-, Meister- und Programmiererzulage
(1)    Bis zum In-Kraft-Treten der Eingruppierungsvor-               bemisst, soweit die Anspruchsvoraussetzungen nach
      schriften des TVöD (mit Entgeltordnung) gelten die             bisherigem Tarifrecht erfüllt sind.
      §§ 22, 23 BAT/BAT-O einschließlich der Vergütungs-
                                                                       1
      ordnung, die §§ 1, 2 Absätze 1 und 2 und § 5 des Tarif-    (7)    Für Eingruppierungen bzw. Einreihungen zwischen
      vertrages über das Lohngruppenverzeichnis des Bundes             dem 1. Oktober 2005 und dem In-Kraft-Treten der
52

Nr. 24 – 28                                                 GMBl 2006                                                        Seite 509

      neuen Entgeltordnung werden die Vergütungsgruppen                                     § 18
      der Allgemeinen Vergütungsordnung (Anlage 1 a) und              Vorübergehende Übertragung einer höherwertigen
      die Lohngruppen des Lohngruppenverzeichnisses ge-                    Tätigkeit nach dem 30. September 2005
      mäß Anlage 4 TVÜ-Bund den Entgeltgruppen des
                       2
      TVöD zugeordnet. Absatz 1 Satz 2 bleibt unberührt.           (1) 1Wird aus dem Geltungsbereich des BAT /BAT-O über-
                                                                       geleiteten Beschäftigten in der Zeit zwischen dem
      1
(8)     Beschäftigte, die zwischen dem 1. Oktober 2005 und             1. Oktober 2005 und dem 30. September 2007 erstmalig
      dem In-Kraft-Treten der neuen Entgeltordnung in Ent-             außerhalb von § 10 eine höherwertige Tätigkeit vor-
      geltgruppe 13 eingruppiert werden und die nach der               übergehend übertragen, findet der TVöD Anwendung.
                                                                       2
      Allgemeinen Vergütungsordnung (Anlage 1a) in Ver-                 Ist die/der Beschäftigte in eine individuelle Zwischen-
      gütungsgruppe IIa BAT /BAT-O mit fünf- bzw.                      stufe übergeleitet worden, gilt für die Bemessung der
      sechsjährigem Aufstieg nach Vergütungsgruppe Ib                  persönlichen Zulage § 6 Abs. 2 Satz 1 und 2 entspre-
      BAT /BAT-O eingruppiert wären, erhalten bis zum In-              chend. 3Bei Überleitung in eine individuelle Endstufe gilt
      Kraft-Treten der neuen Entgeltordnung eine persön-               § 6 Abs. 3 Satz 2 entsprechend. 4In den Fällen des § 6
      liche Zulage in Höhe des Unterschiedsbetrages zwi-               Abs. 4 bestimmt sich die Höhe der Zulage nach den
      schen dem Entgelt ihrer Stufe nach Entgeltgruppe 13              Vorschriften des TVöD über die vorübergehende Über-
      und der entsprechenden Stufe der Entgeltgruppe 14.               tragung einer höherwertigen Tätigkeit.
      2
        Von Satz 1 werden auch Fallgruppen der Vergütungs-
      gruppe Ib BAT/BAT-O erfasst, deren Tätigkeits-               (2) Wird aus dem Geltungsbereich des MTArb/MTArb-O
      merkmale eine bestimmte Tätigkeitsdauer voraussetzen.            übergeleiteten Beschäftigten nach dem 30. September
      3
        Die Sätze 1 und 2 gelten auch für Beschäftigte im Sinne        2005 erstmalig außerhalb von § 10 eine höherwertige
      des § 1 Abs. 2.                                                  Tätigkeit vorübergehend übertragen, gelten bis zum In-
                                                                       Kraft-Treten eines Tarifvertrages über eine persönliche
      1
(9)    Bis zum In-Kraft-Treten der Eingruppierungsvor-                 Zulage die bisherigen Regelungen des MTArb/MTArb-
      schriften des TVöD gelten die bisherigen Regelungen              O mit der Maßgabe entsprechend, dass sich die Höhe der
      für Vorarbeiter/innen und für Vorhandwerker/innen im             Zulage nach dem TVöD richtet, soweit sich aus § 17
      bisherigen Geltungsbereich fort; dies gilt auch für Be-          Abs. 9 Satz 3 nichts anderes ergibt.
      schäftigte im Sinne des § 1 Abs. 2. 2Satz 1 gilt für Lehr-
      gesellen entsprechend. 3Ist anlässlich der vorüber-          (3) Bis zum In-Kraft-Treten der Eingruppierungsvorschrif-
      gehenden Übertragung einer höherwertigen Tätigkeit               ten des TVöD gilt – auch für Beschäftigte im Sinne des
      im Sinne des § 14 TVöD zusätzlich eine Tätigkeit aus-            § 1 Abs. 2 – die Regelung des TVöD zur vorüber-
      zuüben, für die nach bisherigem Recht ein Anspruch auf           gehenden Übertragung einer höherwertigen Tätigkeit
      Zahlung einer Zulage für Vorarbeiter/innen, Vor-                 mit der Maßgabe, dass sich die Voraussetzungen für die
      handwerker/innen oder Lehrgesellen besteht, erhält die/          übertragene höherwertige Tätigkeit nach § 22 Abs. 2
      der Beschäftigte bis zum In-Kraft-Treten der neuen               BAT/BAT-O bzw. den entsprechenden Regelungen für
      Entgeltordnung abweichend von den Sätzen 1 und 2                 Arbeiter bestimmen.
      sowie von § 14 Abs. 3 TVöD anstelle der Zulage nach
      § 14 TVöD für die Dauer der Ausübung sowohl der
      höherwertigen als auch der zulagenberechtigenden Tä-                                        § 19
      tigkeit eine persönliche Zulage in Höhe von insgesamt                           Entgeltgruppen 2 Ü und 15 Ü
      10 v. H. ihres/seines Tabellenentgelts.
                                                                   (1) Zwischen dem 1. Oktober 2005 und dem In-Kraft-Tre-
(10) Die Absätze 1 bis 9 gelten für besondere tarifvertrag-            ten der neuen Entgeltordnung gelten für Beschäftigte,
     liche Vorschriften über die Eingruppierungen entspre-             die in die Entgeltgruppe 2 Ü übergeleitet oder in die
     chend.                                                            Lohngruppen 1 mit Aufstieg nach 2 und 2a oder in die
                                                                       Lohngruppe 2 mit Aufstieg nach 2a eingestellt werden,
      Protokollerklärung zu § 17:
                                                                       folgende Tabellenwerte:
      1
       Die Tarifvertragsparteien sind sich darin einig, dass in
      der noch zu verhandelnden Entgeltordnung die bishe-
                                                                            Stufe 1 Stufe 2 Stufe 3 Stufe 4 Stufe 5 Stufe 6
      rigen unterschiedlichen materiellen Wertigkeiten aus
      Fachhochschulabschlüssen (einschließlich Sozialpäda-
                                                                            1 503     1 670       1 730   1 810      1 865    1 906
      gogen/innen und Ingenieuren/innen) auf das Niveau der
      vereinbarten Entgeltwerte der Entgeltgruppe 9 ohne               1
      Mehrkosten (unter Berücksichtigung der Kosten für den        (2) Übergeleitete Beschäftigte der Vergütungsgruppe I zum
      Personenkreis, der nach der Übergangsphase nicht mehr            BAT/BAT-O unterliegen dem TVöD. Sie werden in die
      in eine höhere bzw. niedrigere Entgeltgruppe ein-                Entgeltgruppe 15 Ü mit folgenden Tabellenwerten über-
      gruppiert ist) zusammengeführt werden; die Abbildung             geleitet:
      von Heraushebungsmerkmalen oberhalb der Entgelt-
      gruppe 9 bleibt davon unberührt. Sollte hierüber bis                  Stufe 1     Stufe 2      Stufe 3      Stufe 4    Stufe 5
      zum 31. Dezember 2007 keine einvernehmliche Lösung
      vereinbart werden, so erfolgt ab dem 1. Januar 2008 bis                4 275       4 750        5 200       5 500      5 570
      zum In-Kraft-Treten der Entgeltordnung die ein-
      heitliche Eingruppierung aller ab dem 1. Januar 2008              2
                                                                         Die Verweildauer in den Stufen 1 bis 4 beträgt jeweils
      neu einzugruppierenden Beschäftigten mit Fach-                    fünf Jahre. 3§ 6 Abs. 4 findet keine Anwendung.
      hochschulabschluss nach den jeweiligen Regeln der
      Entgeltgruppe 9 zu „Vb BAT ohne Aufstieg nach IVb            (3) Die Regelungen des TVöD über die Bezahlung im Ta-
      (mit und ohne FH-Abschluss)“.                                    rifgebiet Ost gelten entsprechend.
53

Seite 510                                               GMBl 2006                                                 Nr. 24 – 28

                          § 20                                                        § 21
                Jahressonderzahlung 2006                             Abrechnung unständiger Bezügebestandteile

Die mit dem Entgelt für den Monat November 2006 zu             Bezüge im Sinne des § 36 Abs. 1 Unterabs. 2 BAT /BAT-O,
zahlende Jahressonderzahlung berechnet sich für Be-            § 31 Abs. 2 Unterabs. 2 MTArb/MTArb-O für Arbeitsleis-
schäftigte nach § 1 Abs. 1 und 2 nach den Bestimmungen des     tungen bis zum 30. September 2005 werden nach den bis
§ 20 TVöD mit folgenden Maßgaben:                              dahin jeweils geltenden Regelungen abgerechnet, als ob das
                                                               Arbeitsverhältnis mit Ablauf des 30. September 2005 beendet
1. Der Bemessungssatz der Jahressonderzahlung beträgt in       worden wäre.
   allen Entgeltgruppen

   a) bei Beschäftigten, für die nach dem TVöD die Rege-                                   § 22
      lungen des Tarifgebiets West Anwendung finden,                               Bereitschaftszeiten
      82,14 v. H.                                              1
                                                                Nr. 3 SR 2r BAT/BAT-O für Hausmeister und entspre-
                                                               chende Tarifregelungen für Beschäftigtengruppen mit Be-
   b) bei Beschäftigten, für die nach dem TVöD die Rege-
                                                               reitschaftszeiten innerhalb ihrer regelmäßigen Arbeitszeit
      lungen des Tarifgebiets Ost Anwendung finden,
                                                               gelten fort. 2Dem Anhang zu § 9 TVöD widersprechende
      61,60 v. H.
                                                               Regelungen zur Arbeitszeit sind bis zum 31. Dezember 2005
2. 1Der sich nach Nr. 1 ergebende Betrag der Jahressonder-     entsprechend anzupassen.
   zahlung erhöht sich um einen Betrag in Höhe von
   255,65 Euro. 2Bei Beschäftigten, für die nach dem TVöD                               § 23
   die Regelungen des Tarifgebiets West Anwendung finden            Sonderregelungen für besondere Berufsgruppen
   und denen am 1. Juli 2006 Entgelt nach einer der Ent-
   geltgruppen 1 bis 8 zusteht, erhöht sich dieser Zusatz-     Die Überleitungs-, Übergangs- und Besitzstandsregelungen
   betrag auf 332,34 Euro. 3Satz 2 gilt entsprechend bei Be-   für besondere Berufsgruppen im Bereich des Bundes ergeben
   schäftigten – auch für Beschäftigte nach § 1 Abs. 2 – im    sich aus der Anlage 5 TVÜ-Bund.
   Tarifgebiet West, denen bei Weitergeltung des BAT
   Grundvergütung nach der Vergütungsgruppe Kr VI zu-
   gestanden hätte. Teilzeitbeschäftigte erhalten von dem                            5. Abschnitt
   Zusatzbetrag nach Satz 1 oder 2 den Teil, der dem Anteil                 Übergangs- und Schlussvorschrift
   ihrer Arbeitszeit an der Arbeitszeit vergleichbarer Voll-
   zeitbeschäftigter entspricht. 4Der Zusatzbetrag nach den                               § 24
   Sätzen 1 bis 3 ist kein zusatzversorgungspflichtiges Ent-                    In-Kraft-Treten, Laufzeit
   gelt.                                                       (1) Dieser Tarifvertrag tritt am 1. Oktober 2005 in Kraft.
                                                                   1
3. Der sich nach Nr. 1 ergebende Betrag der Jahressonder-      (2) Der Tarifvertrag kann ohne Einhaltung einer Frist je-
   zahlung erhöht sich für jedes Kind, für das Beschäftigte        derzeit schriftlich gekündigt werden, frühestens zum
                                                                                         2
   im September 2006 kinderbezogene Entgeltbestandteile            31. Dezember 2007. Die §§ 17 bis 19 einschließlich An-
   gemäß § 11 erhalten, um 25,56 Euro.                             lagen können ohne Einhaltung einer Frist, jedoch nur
                                                                   insgesamt, schriftlich gekündigt werden, frühestens zum
Protokollerklärung zu § 20:
                                                                   31. Dezember 2007; die Nachwirkung dieser Vorschrif-
Diese Regelung ersetzt die nachwirkenden Tarifverträge             ten wird ausgeschlossen.
über ein Urlaubsgeld sowie über eine Zuwendung mit Wir-
kung ab 1. Januar 2006.                                        Berlin, den 13. September 2005
54

Nr. 24 – 28                          GMBl 2006                             Seite 511

                                             Anlage 1 TVÜ-Bund Teil A

                             Anlage 1 TVÜ-Bund Teil A
              1. Bundes-Angestelltentarifvertrag (BAT) vom 23. Februar
                 1961, zuletzt geändert durch den 78. Tarifvertrag zur
                 Änderung des Bundes-Angestelltentarifvertrages vom
                 31. Januar 2003
              2. Tarifvertrag zur Anpassung des Tarifrechts – Mantel-
                 tarifliche Vorschriften – (BAT-O) vom 10. Dezember
                 1990, zuletzt geändert durch den Änderungstarifvertrag
                 Nr. 13 vom 31. Januar 2003 zum Tarifvertrag zur Anpas-
                 sung des Tarifrechts – Manteltarifliche Vorschriften –
                 (BAT-O)
              3. Manteltarifvertrag für Arbeiterinnen und Arbeiter des
                 Bundes und der Länder (MTArb) vom 6. Dezember 1995,
                 zuletzt geändert durch den Änderungstarifvertrag Nr. 4
                 vom 31. Januar 2003 zum Manteltarifvertrag für Ar-
                 beiterinnen und Arbeiter des Bundes und der Länder
                 (MTArb)
              4. Tarifvertrag zur Anpassung des Tarifrechts für Arbeiter
                 an den MTArb – (MTArb-O) vom 10. Dezember 1990,
                 zuletzt geändert durch den Änderungstarifvertrag Nr. 11
                 vom 31. Januar 2003 zum Tarifvertrag zur Anpassung des
                 Tarifrechts für Arbeiter an den MTArb – (MTArb-O)
55

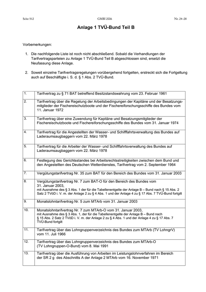
Seite 512                                           GMBl 2006                                             Nr. 24–28


                                      Anlage 1 TVÜ-Bund Teil B


Vorbemerkungen:

 1. Die nachfolgende Liste ist noch nicht abschließend. Sobald die Verhandlungen der
    Tarifvertragsparteien zu Anlage 1 TVÜ-Bund Teil B abgeschlossen sind, ersetzt die
    Neufassung diese Anlage.

 2. Soweit einzelne Tarifvertragsregelungen vorübergehend fortgelten, erstreckt sich die Fortgeltung
    auch auf Beschäftigte i. S. d. § 1 Abs. 2 TVÜ-Bund.



1.          Tarifvertrag zu § 71 BAT betreffend Besitzstandswahrung vom 23. Februar 1961

2.          Tarifvertrag über die Regelung der Arbeitsbedingungen der Kapitäne und der Besatzungs-
            mitglieder der Fischereischutzboote und der Fischereiforschungsschiffe des Bundes vom
            11. Januar 1972

3.          Tarifvertrag über eine Zuwendung für Kapitäne und Besatzungsmitglieder der
            Fischereischutzboote und Fischereiforschungsschiffe des Bundes vom 31. Januar 1974

4.          Tarifvertrag für die Angestellten der Wasser- und Schifffahrtsverwaltung des Bundes auf
            Laderaumsaugbaggern vom 22. März 1978

5.          Tarifvertrag für die Arbeiter der Wasser- und Schifffahrtsverwaltung des Bundes auf
            Laderaumsaugbaggern vom 22. März 1978

6.          Festlegung des Gerichtsstandes bei Arbeitsrechtsstreitigkeiten zwischen dem Bund und
            den Angestellten des Deutschen Wetterdienstes, Tarifvertrag vom 2. September 1964

7.          Vergütungstarifvertrag Nr. 35 zum BAT für den Bereich des Bundes vom 31. Januar 2003

8.          Vergütungstarifvertrag Nr. 7 zum BAT-O für den Bereich des Bundes vom
            31. Januar 2003,
            mit Ausnahme des § 3 Abs. 1 der für die Tabellenentgelte der Anlage B – Bund nach § 15 Abs. 2
            Satz 2 TVöD i. V. m. der Anlage 2 zu § 4 Abs. 1 und der Anlage 4 zu § 17 Abs. 7 TVÜ-Bund fortgilt

9.          Monatslohntarifvertrag Nr. 5 zum MTArb vom 31. Januar 2003

10.         Monatslohntarifvertrag Nr. 7 zum MTArb-O vom 31. Januar 2003,
            mit Ausnahme des § 3 Abs. 1, der für die Tabellenentgelte der Anlage B – Bund nach
            § 15 Abs. 2 Satz 2 TVöD i. V. m. der Anlage 2 zu § 4 Abs. 1 und der Anlage 4 zu § 17 Abs. 7
            TVÜ-Bund fortgilt

11.         Tarifvertrag über das Lohngruppenverzeichnis des Bundes zum MTArb (TV LohngrV)
            vom 11. Juli 1966

12.         Tarifvertrag über das Lohngruppenverzeichnis des Bundes zum MTArb-O
            (TV Lohngruppen-O-Bund) vom 8. Mai 1991
13.         Tarifvertrag über die Ausführung von Arbeiten im Leistungslohnverfahren im Bereich
            der SR 2 g des Abschnitts A der Anlage 2 MTArb vom 16. November 1971
56

Nr. 24–28                                           GMBl 2006                                            Seite 513


                                       Anlage 1 TVÜ-Bund Teil B


 14.        Tarifvertrag zur Überleitung der Arbeiter der Zoll- und Verbrauchssteuerverwaltung und der
            Bundesvermögensverwaltung der Oberfinanzdirektion Berlin sowie der Bundesmonopol-
            verwaltung für Branntwein in das Tarifrecht des Bundes vom 18. September 1991

 15.        Tarifvertrag über die Eingruppierung der Angestellten in den Warenfachabteilungen und
            bei den Außenstellen der Einfuhr- und Vorratsstellen, der Einfuhrstelle für Zucker und der
            Mühlenstelle vom 8. Dezember 1966

 16.        Tarifvertrag über Zusatzurlaub für gesundheitsgefährdende Arbeiten für Arbeiter des
            Bundes vom 26. Juli 1960

 17.        Tarifvertrag über Zulagen an Angestellte (Bund) vom 17. Mai 1982,
            mit Ausnahme der §§ 5 bis 10, die bis zum Inkrafttreten der Entgeltordnung fortgelten

 18.        Tarifvertrag über Zulagen an Angestellte (TV Zulagen Ang-O) (Bund) vom 8. Mai 1991,
            mit Ausnahme
             ƒ des Eingangssatzes des § 1 Abs. 1,
             ƒ des § 1 Abs. 1 Nr. 1, 1. Halbsatz entsprechend Nr. 20,
             ƒ des § 1 Abs. 1 Nr. 2 entsprechend Nr. 17 und
             ƒ des § 1 Abs. 1 Nr. 4, 5 und 7

 19.        Tarifvertrag über die Gewährung von Zulagen gemäß § 33 Abs. 1 Buchst. c BAT
            vom 11. Januar 1962
            - Fortgeltung bis zum Inkrafttreten einer tariflichen Neuregelung der Erschwerniszuschläge
              gemäß § 19 TVöD

 20.        Tarifvertrag über die Gewährung von Zulagen gemäß § 33 Abs. 1 Buchst. c BAT-O (TV
            Zulagen zu § 33 BAT-O) vom 8. Mai 1991
            - Fortgeltung bis zum Inkrafttreten einer tariflichen Neureglung der Erschwerniszuschläge gemäß
             § 19 TVöD

 21.        Tarifvertrag über Lohnzuschläge gemäß § 29 MTArb für Arbeiter des Bundes
            (LohnzuschlagsTV) vom 9. Mai 1969
            - Fortgeltung bis zum Inkrafttreten einer tariflichen Neuregelung der Erschwerniszuschläge
              gemäß § 19 TVöD

 22.        Tarifvertrag über Taucherzuschläge für Arbeiter des Bundes vom 13. September 1973
            - Fortgeltung bis zum Inkrafttreten einer tariflichen Neuregelung der Erschwerniszuschläge
              gemäß § 19 TVöD

 23.        Tarifvertrag über Lohnzuschläge gemäß § 29 MTArb-O und über Taucherzuschläge
            für Arbeiter des Bundes im Geltungsbereich des MTArb-O (TV Lohnzuschläge-O-Bund)
            vom 8. Mai 1991
            - Fortgeltung bis zum Inkrafttreten einer tariflichen Neuregelung der Erschwerniszuschläge
              gemäß § 19 TVöD

 24.        Tarifvertrag über vermögenswirksame Leistungen an Angestellte vom 17. Dezember 1970

 25.        Tarifvertrag über vermögenswirksame Leistungen an Angestellte (TV VL Ang-O) vom
            8. Mai 1991
 26.        Tarifvertrag über vermögenswirksame Leistungen an Arbeiter (Bund) vom
            17. Dezember 1970
57

Seite 514                                        GMBl 2006                                         Nr. 24–28


                                     Anlage 1 TVÜ-Bund Teil B


 27.        Tarifvertrag über vermögenswirksame Leistungen an Arbeiter (TV VL Arb-O) vom
            8. Mai 1991

 28.        Tarifvertrag über eine Zuwendung für Angestellte vom 12. Oktober 1973

 29.        Tarifvertrag über eine Zuwendung für Angestellte (TV Zuwendung Ang-O) vom
            10. Dezember 1990

 30.        Tarifvertrag über eine Zuwendung für Arbeiter des Bundes und der Länder vom
            12. Oktober 1973

 31.        Tarifvertrag über eine Zuwendung für Arbeiter (TV Zuwendung Arb-O) vom
            10. Dezember 1990

 32.        Tarifvertrag über ein Urlaubsgeld für Angestellte vom 16. März 1977

 33.        Tarifvertrag über ein Urlaubsgeld für Angestellte (TV Urlaubsgeld Ang-O) vom
            10. Dezember 1990

 34.        Tarifvertrag über ein Urlaubsgeld für Arbeiter vom 16. März 1977

 35.        Tarifvertrag über ein Urlaubsgeld für Arbeiter (TV Urlaubsgeld Arb-O) vom
            10. Dezember 1990

 36.        Beihilfetarifvertrag, TV vom 15. Juni 1959

 37.        Tarifvertrag über die Gewährung von Beihilfen an Arbeiter, Lehrlinge und Anlernlinge
            des Bundes vom 15. Juni 1959

 38.        Tarifvertrag zur Regelung der Rechtsverhältnisse der Ärzte/Ärztinnen im Praktikum
            vom 10. April 1987

 39.        Tarifvertrag zur Regelung der Rechtsverhältnisse der Ärzte/Ärztinnen im Praktikum
            (Mantel-TV AiP-O) vom 5. März 1991

 40.        Entgelttarifvertrag Nr. 12 für Ärzte/Ärztinnen im Praktikum vom 31. Januar 2003

 41.        Entgelttarifvertrag Nr. 7 für Ärzte/Ärztinnen im Praktikum (Ost) vom 31. Januar 2003

 42.        Tarifvertrag über vermögenswirksame Leistungen an Ärzte/Ärztinnen im Praktikum
            vom 10. April 1987

 43.        Tarifvertrag über eine Zuwendung für Ärzte/Ärztinnen im Praktikum vom 10. April 1987

 44.        Tarifvertrag über eine Zuwendung für Ärzte/Ärztinnen im Praktikum (TV Zuwendung
            AiP-O) vom 5. März 1991

 45.        Tarifvertrag über ein Urlaubsgeld für Ärzte/Ärztinnen im Praktikum vom 10. April 1987

 46.        Tarifvertrag über ein Urlaubsgeld für Ärzte/Ärztinnen im Praktikum (TV Urlaubsgeld AiP-O)
            vom 5. März 1991

 47.        Tarifvertrag über die Erhöhung der Löhne und Gehälter für Beschäftigte im öffentlichen
            Dienst vom 4. September 1990
58

Nr. 24–28                                       GMBl 2006                                       Seite 515


                                    Anlage 1 TVÜ-Bund Teil B


 48.        Tarifvertrag über die Eingruppierung der Angestellten des Bundesverbandes für den
            Selbstschutz vom 15. November 1978

 49.        Tarifvertrag über eine Zulage an Arbeiter bei der Bundesanstalt für Flugsicherung
            vom 20. September 1990

 50.        Tarifvertrag über eine Zulage an Arbeiter beim Bundesausfuhramt vom 15. April 1992

 51.        Tarifvertrag über eine Zulage für Angestellte mit Aufgaben nach dem Asylverfahrensgesetz
            (TV Zulage Asyl Ang-O) vom 3. Mai 1993

 52.        Tarifvertrag über eine Zulage an Auszubildende (TV-Zulage Azubi-O) vom 5. März 1991
 53.        Vereinbarung über die Schaffung zusätzlicher Ausbildungsplätze im öffentlichen Dienst
            vom 17. Juli 1996

 54.        Tarifvertrag über die Versorgung der Arbeitnehmer des Bundes und der Länder sowie von
            Arbeitnehmern kommunaler Verwaltungen und Betriebe (Versorgungs-TV) vom
            4. November 1966
59

Seite 516                                         GMBl 2006                                          Nr. 24–28


                                  Anlage 1 TVÜ-Bund Teil C

 Vorbemerkung:

 Die in dieser Anlage aufgeführten Tarifverträge sind in der jeweils geltenden Fassung zitiert.



  1.        Tarifvertrag für Arbeitnehmer des Bundes über die Arbeitsbedingungen bei besonderen
            Verwendungen im Ausland (AuslandsV-TV) vom 9. November 1993

  2.        Tarifvertrag zur Regelung der Arbeitsbedingungen der bei Auslandsvertretungen der
            Bundesrepublik Deutschland beschäftigten nicht entsandten Arbeitnehmer –Tarifvertrag
            Arbeitnehmer Ausland (TV AN Ausland) vom 30. November 2001

  3.        Tarifvertrag zur Regelung der Arbeitsbedingungen der bei Auslandsvertretungen der
            Bundesrepublik Deutschland beschäftigten deutschen nicht entsandten Angestellten
            (TV Ang Ausland) vom 28. September 1973

  4.        Tarifvertrag zur Regelung der Arbeitsbedingungen der bei Auslandsvertretungen der
            Bundesrepublik Deutschland beschäftigten deutschen nicht entsandten Arbeiter
            (TV Arb Ausland) vom 28.9.1973

  5.        Tarifvertrag über den Rationalisierungsschutz für Angestellte (RatSchTV Ang) vom
            9. Januar 1987

  6.        Tarifvertrag über den Rationalisierungsschutz für Arbeiter des Bundes und der Länder
            (RatSchTV Arb) vom 9. Januar 1987

  7.        Tarifvertrag zur Ergänzung der Lohn- und Vergütungssicherung in bestimmten Bereichen
            des Bundes vom 9. Januar 1987

  8.        Tarifvertrag zur sozialen Absicherung vom 6. Juli 1992

  9.        Tarifvertrag über sozialverträgliche Begleitmaßnahmen im Zusammenhang mit der
            Umgestaltung der Bundeswehr vom 18. Juli 2001

  10.       Tarifvertrag über die Geltung des Tarifvertrages über einen sozialverträglichen
            Personalabbau im Bereich des Bundesministers der Verteidigung vom 30. November
            1991 für die Fernleitungs-Betriebsgesellschaft m.b.H. vom 24. Februar 1994

  11.       Tarifvertrag über Begleitmaßnahmen im Zusammenhang mit dem Beschluss des
            deutschen Bundestages vom 20. Juni 1991 zur Vollendung der Einheit Deutschlands
            (UmzugsTV) vom 24. Juni 1996

  12.       Tarifvertrag zur Regelung der Altersteilzeitarbeit (TV ATZ) vom 5. Mai 1998

  13.       Tarifvertrag über die betriebliche Altersversorgung der Beschäftigten des öffentlichen
            Dienstes (Tarifvertrag Altersversorgung – ATV) vom 1. März 2002
60

Zur nächsten Seite