Polizeiinspektionen im Land Brandenburg

/ 3941
PDF herunterladen
Seite 50 von 60 Auszug aus der Polizeilichen Kriminalstatistik - Polizeirevier Zossen Frage 20: Erfasste Fälle, Aufklärungsquoten für Delikte der "Häuslichen Gewalt" 2016 Erfasste      Aufgeklärte Fälle          Fälle Schlüssel                                            Bezeichnung Anzahl AQ in % gesamt ------      Straftaten insgesamt                                                                          99            99,0 100000      ST gg. die sex. Selbstbestimmung                                                               2           100,0 110000      Straftaten gegen die sexuelle Selbstbestimmung §§ 174, 174a-c, 177, 178, 184i-j StGB           2           100,0 111000      Vergewaltigung und sexuelle Nötigung/Übergriffe §§ 177 Abs. 1-4 und 6-9, 178 StGB              2           100,0 111400      Sonstige Straftaten gem. § 177 Abs. 6 Nr. 1, Abs. 7 und 8 StGB                                 2           100,0 200000      Rohheitsdelikte und ST gg. die persönliche Freiheit                                           83           100,0 210000      Raub, räuberische Erpressung und räuberischer Angriff auf Kraftfahrer                          1           100,0 219000      Raubüberfälle in Wohnungen                                                                     1           100,0 219010      Raub in Wohnungen                                                                              1           100,0 220000      Körperverletzung                                                                              71           100,0 222000      Gefährliche und schwere Körperverletzung                                                       8           100,0 222010      Sonst. Tatörtlichkeit bei gefährl. Körperverletzung                                            8           100,0 223000      Misshandlung von Schutzbefohlenen                                                              5           100,0 223001      Misshandlung Schutzbefohlener ab 14 Jahren                                                     1           100,0 223100      Misshandlung von Kindern                                                                       4           100,0 224000      Vorsätzliche einfache Körperverletzung § 223 StGB                                             57           100,0 225000      Fahrlässige Körperverletzung                                                                   1           100,0 230000      ST gg. die persönliche Freiheit                                                               11           100,0 232000      Freiheitsber., Nötigung, Bedrohung, Zwangsheirat, Nachstellung (Stalking)                     11           100,0 232100      Freiheitsberaubung                                                                             1           100,0 232200      Nötigung                                                                                       2           100,0 232279      Sonstige Nötigung                                                                              2           100,0 232300      Bedrohung                                                                                      7           100,0 232400      Nachstellung                                                                                   1           100,0 232410      Nachstellung - z.B. räumliche Nähe -                                                           1           100,0 3*****      Diebstahl ohne erschwerende Umstände                                                           1           100,0 3**100      EDS insg. von Kraftwagen einschl. unbefugter Gebrauch                                          1           100,0 300100      EDS von Kraftwagen einschl. unbefugter Ingebrauchnahme                                         1           100,0 300140      EDS - Unbefugter Gebrauch von Kraftwagen                                                       1           100,0 ****00      Diebstahl insgesamt                                                                            1           100,0 ***100      Diebstahl insg. von Kraftwagen einschl. unbefugter Gebrauch                                    1           100,0 500000      Vermögens- und Fälschungsdelikte                                                               1           100,0 530000      Unterschlagung                                                                                 1           100,0 530079      Unterschlagung sonstiger Güter/Sachen gemäß §§ 246, 247 StGB - ohne von Kfz                    1           100,0 600000      Sonstige Straftatbestände (StGB)                                                              10            90,0 670000      Alle sonstigen ST gemäß StGB - ohne Verkehrsdelikte                                           10            90,0 672000      Verletzung der Fürsorge- oder Erziehungspflicht                                                1           100,0 673000      Beleidigung                                                                                    6           100,0 673010      Beleidigung ohne sex. Grundlage                                                                3           100,0 673100      Beleidigung auf sex. Grundlage                                                                 3           100,0 673110      Beleidigung auf sex. Grundlage                                                                 3           100,0 674000      Sachbeschädigung                                                                               3            66,7 674010      Sachbeschädigung (ohne 674100, 674300)                                                         3            66,7 674019      Sonstige Sachbeschäd. (ohne 674119, 674319)                                                    3            66,7 700000      Strafrechtliche Nebengesetze                                                                   2           100,0 720000      ST gg. sonstige strafrechtliche Nebengesetze -ohne Verkehrsdelikte-                            2           100,0 720011      ST gemäß § 4 Gewaltschutzgesetz                                                                2           100,0 890000      ST insgesamt, o. Verst. g. Aufenth.-, Asyl- u. FreizügigkeitsG/EU                             99            99,0 892000      Gewaltkriminalität                                                                            11           100,0 894000      KFZ-Kriminalität                                                                               1           100,0 899000      Straßenkriminalität                                                                            1           100,0 899200      Straßendiebstahl                                                                               1           100,0
3621

Seite 51 von 60 Auszug aus der Polizeilichen Kriminalstatistik - Polizeirevier Zossen Frage 20: Schadenstabelle für Delikte der "Häuslichen Gewalt" Berichtszeitraum:           01.01.2016       bis    31.12.2016 Schl.-                                                                                                                                                 Schadensklassen Zahl der Fälle zahl                                         Straftat                                                                         1      15  50   250       500        2500 5T  25T 50T  Schadenssumme der                                                                                                                                               bis unter Euro                und       in Euro insgesamt   vollendet    versucht Tat                                                                                                                          15      50 250   500       2500        5T  25T 50T mehr ------        Straftaten insgesamt                                                                      3              3                 2          1                                                        202 200000        Rohheitsdelikte und ST gg. die persönliche Freiheit                                       1              1                            1                                                        200 210000        Raub, räuberische Erpressung und räuberischer Angriff auf Kraftfahrer                     1              1                            1                                                        200 219000        Raubüberfälle in Wohnungen                                                                1              1                            1                                                        200 219010        Raub in Wohnungen                                                                         1              1                            1                                                        200 3*****        Diebstahl ohne erschwerende Umstände                                                      1              1                 1                                                                     1 3**100        EDS insg. von Kraftwagen einschl. unbefugter Gebrauch                                     1              1                 1                                                                     1 300100        EDS von Kraftwagen einschl. unbefugter Ingebrauchnahme                                    1              1                 1                                                                     1 300140        EDS - Unbefugter Gebrauch von Kraftwagen                                                  1              1                 1                                                                     1 ****00        Diebstahl insgesamt                                                                       1              1                 1                                                                     1 ***100        Diebstahl insg. von Kraftwagen einschl. unbefugter Gebrauch                               1              1                 1                                                                     1 500000        Vermögens- und Fälschungsdelikte                                                          1              1                 1                                                                     1 530000        Unterschlagung                                                                            1              1                 1                                                                     1 530079        Unterschlagung sonstiger Güter/Sachen gemäß §§ 246, 247 StGB - ohne von Kfz               1              1                 1                                                                     1 890000        ST insgesamt, o. Verst. g. Aufenth.-, Asyl- u. FreizügigkeitsG/EU                         3              3                 2          1                                                        202 892000        Gewaltkriminalität                                                                        1              1                            1                                                        200 894000        KFZ-Kriminalität                                                                          1              1                 1                                                                     1 899000        Straßenkriminalität                                                                       1              1                 1                                                                     1 899200        Straßendiebstahl                                                                          1              1                 1                                                                     1
3622

Seite 52 von 60 Auszug aus der Polizeilichen Kriminalstatistik - Polizeirevier Zossen Frage 20: Übersicht zur Alters- und Geschlechtsstruktur der ermittelten TV für Delikte der "Häuslichen Gewalt" 2016 Schlüssel                                        Kurzbezeichnung Heran-           Er- Schlüssel                                  gesamt    männl.    weibl.    Kinder   Jugdl. wachs.         wachs. ------       Straftaten insgesamt                                                                        67        51        16        1        2                        64 100000       ST gg. die sex. Selbstbestimmung                                                             2         2                                                     2 110000       Straftaten gegen die sexuelle Selbstbestimmung §§ 174, 174a-c, 177, 178, 184i-j StGB         2         2                                                     2 111000       Vergewaltigung und sexuelle Nötigung/Übergriffe §§ 177 Abs. 1-4 und 6-9, 178 StGB            2         2                                                     2 111400       Sonstige Straftaten gem. § 177 Abs. 6 Nr. 1, Abs. 7 und 8 StGB                               2         2                                                     2 200000       Rohheitsdelikte und ST gg. die persönliche Freiheit                                         63        48        15        1        2                        60 210000       Raub, räuberische Erpressung und räuberischer Angriff auf Kraftfahrer                        1         1                                                     1 219000       Raubüberfälle in Wohnungen                                                                   1         1                                                     1 219010       Raub in Wohnungen                                                                            1         1                                                     1 220000       Körperverletzung                                                                            60        45        15        1        2                        57 222000       Gefährliche und schwere Körperverletzung                                                     7         3         4                                           7 222010       Sonst. Tatörtlichkeit bei gefährl. Körperverletzung                                          7         3         4                                           7 223000       Misshandlung von Schutzbefohlenen                                                            4         2         2                                           4 223001       Misshandlung Schutzbefohlener ab 14 Jahren                                                   1                   1                                           1 223100       Misshandlung von Kindern                                                                     4         2         2                                           4 224000       Vorsätzliche einfache Körperverletzung § 223 StGB                                           51        41        10        1        2                        48 225000       Fahrlässige Körperverletzung                                                                 1         1                                                     1 230000       ST gg. die persönliche Freiheit                                                              9         9                                                     9 232000       Freiheitsber., Nötigung, Bedrohung, Zwangsheirat, Nachstellung (Stalking)                    9         9                                                     9 232100       Freiheitsberaubung                                                                           1         1                                                     1 232200       Nötigung                                                                                     2         2                                                     2 232279       Sonstige Nötigung                                                                            2         2                                                     2 232300       Bedrohung                                                                                    7         7                                                     7 232400       Nachstellung                                                                                 1         1                                                     1 232410       Nachstellung - z.B. räumliche Nähe -                                                         1         1                                                     1 3*****       Diebstahl ohne erschwerende Umstände                                                         1         1                                                     1 3**100       EDS insg. von Kraftwagen einschl. unbefugter Gebrauch                                        1         1                                                     1 300100       EDS von Kraftwagen einschl. unbefugter Ingebrauchnahme                                       1         1                                                     1 300140       EDS - Unbefugter Gebrauch von Kraftwagen                                                     1         1                                                     1 ****00       Diebstahl insgesamt                                                                          1         1                                                     1 ***100       Diebstahl insg. von Kraftwagen einschl. unbefugter Gebrauch                                  1         1                                                     1 500000       Vermögens- und Fälschungsdelikte                                                             1         1                                                     1 530000       Unterschlagung                                                                               1         1                                                     1 530079       Unterschlagung sonstiger Güter/Sachen gemäß §§ 246, 247 StGB - ohne von Kfz                  1         1                                                     1 600000       Sonstige Straftatbestände (StGB)                                                             6         5         1                                           6
3623

Seite 53 von 60 Auszug aus der Polizeilichen Kriminalstatistik - Polizeirevier Zossen Frage 20: Übersicht zur Alters- und Geschlechtsstruktur der ermittelten TV für Delikte der "Häuslichen Gewalt" 2016 Schlüssel                                       Kurzbezeichnung Heran-           Er- Schlüssel                       gesamt        männl.      weibl.    Kinder   Jugdl. wachs.         wachs. 670000      Alle sonstigen ST gemäß StGB - ohne Verkehrsdelikte                               6            5           1                                           6 672000      Verletzung der Fürsorge- oder Erziehungspflicht                                   1                        1                                           1 673000      Beleidigung                                                                       3            3                                                       3 673010      Beleidigung ohne sex. Grundlage                                                   2            2                                                       2 673100      Beleidigung auf sex. Grundlage                                                    2            2                                                       2 673110      Beleidigung auf sex. Grundlage                                                    2            2                                                       2 674000      Sachbeschädigung                                                                  2            2                                                       2 674010      Sachbeschädigung (ohne 674100, 674300)                                            2            2                                                       2 674019      Sonstige Sachbeschäd. (ohne 674119, 674319)                                       2            2                                                       2 700000      Strafrechtliche Nebengesetze                                                      1            1                                                       1 720000      ST gg. sonstige strafrechtliche Nebengesetze -ohne Verkehrsdelikte-               1            1                                                       1 720011      ST gemäß § 4 Gewaltschutzgesetz                                                   1            1                                                       1 890000      ST insgesamt, o. Verst. g. Aufenth.-, Asyl- u. FreizügigkeitsG/EU                67           51          16        1        2                        64 892000      Gewaltkriminalität                                                                9            5           4                                           9 894000      KFZ-Kriminalität                                                                  1            1                                                       1 899000      Straßenkriminalität                                                               1            1                                                       1 899200      Straßendiebstahl                                                                  1            1                                                       1
3624

Seite 54 von 60 Auszug aus der Polizeilichen Kriminalstatistik - Polizeirevier Zossen Frage 20: Straftaten und Staatsang. nichtdeutscher Tatverdächtiger für Delikte der "Häuslichen Gewalt" 2016 Anzahl nicht-   Tatverdächtige mit Staatsangehörigkeit Schlüsselzahl Straftat                              deutsche TV      Russische                              Kongo, der Tat                                                                                                                      Spanien      Ungarn                Afghanistan  Iran   Syrien insgesamt       Föderation                            Republik ------          Straftaten insgesamt                                                                              15            3            1           2           1            5      1        2 100000          ST gg. die sex. Selbstbestimmung                                                                   1                                                              1 110000          Straftaten gegen die sexuelle Selbstbestimmung §§ 174, 174a-c, 177, 178, 184i-j StGB               1                                                              1 111000          Vergewaltigung und sexuelle Nötigung/Übergriffe §§ 177 Abs. 1-4 und 6-9, 178 StGB                  1                                                              1 111400          Sonstige Straftaten gem. § 177 Abs. 6 Nr. 1, Abs. 7 und 8 StGB                                     1                                                              1 200000          Rohheitsdelikte und ST gg. die persönliche Freiheit                                               14            3            1           2           1            4      1        2 220000          Körperverletzung                                                                                  13            3            1           2           1            4      1        1 222000          Gefährliche und schwere Körperverletzung                                                           1                                                              1 222010          Sonst. Tatörtlichkeit bei gefährl. Körperverletzung                                                1                                                              1 223000          Misshandlung von Schutzbefohlenen                                                                  2            2 223100          Misshandlung von Kindern                                                                           2            2 224000          Vorsätzliche einfache Körperverletzung § 223 StGB                                                 10            1            1           2           1            3      1        1 230000          ST gg. die persönliche Freiheit                                                                    1                                                                              1 232000          Freiheitsber., Nötigung, Bedrohung, Zwangsheirat, Nachstellung (Stalking)                          1                                                                              1 232300          Bedrohung                                                                                          1                                                                              1 500000          Vermögens- und Fälschungsdelikte                                                                   1                                                                              1 530000          Unterschlagung                                                                                     1                                                                              1 530079          Unterschlagung sonstiger Güter/Sachen gemäß §§ 246, 247 StGB - ohne von Kfz                        1                                                                              1 600000          Sonstige Straftatbestände (StGB)                                                                   1                                                                              1 670000          Alle sonstigen ST gemäß StGB - ohne Verkehrsdelikte                                                1                                                                              1 673000          Beleidigung                                                                                        1                                                                              1 673100          Beleidigung auf sex. Grundlage                                                                     1                                                                              1 673110          Beleidigung auf sex. Grundlage                                                                     1                                                                              1 890000          ST insgesamt, o. Verst. g. Aufenth.-, Asyl- u. FreizügigkeitsG/EU                                 15            3            1           2           1            5      1        2 892000          Gewaltkriminalität                                                                                 2                                                              2
3625

Seite 55 von 60 Auszug aus der Polizeilichen Kriminalstatistik - Polizeirevier Zossen Frage 20: Erfasste Fälle, Aufklärungsquoten für Delikte der "Internetkriminalität" 2016 Erfasste     Aufgeklärte Fälle          Fälle Schlüssel                                            Bezeichnung Anzahl AQ in % gesamt ------        Straftaten insgesamt                                                                       149            73,8 100000        ST gg. die sex. Selbstbestimmung                                                            10           100,0 140000        Ausnutzen sexueller Neigung                                                                 10           100,0 143000        Verbreitung pornographischer Schriften (Erzeugnisse)                                        10           100,0 143100        Verbr. pornogr. Schriften (Erzeugnisse) an Personen unter 18 Jahren                          2           100,0 143200        Verbreitung, Erwerb, Besitz und Herstellung kinderpornographischer Schriften                 7           100,0 143230        Besitz oder sich Verschaffen von Kinderpornographie                                          7           100,0 143500        Verbreitung, Erwerb, Besitz und Herstellung jugendpornographischer Schriften                 1           100,0 143530        Besitz oder sich Verschaffen von Jugendpornographie                                          1           100,0 200000        Rohheitsdelikte und ST gg. die persönliche Freiheit                                          6            50,0 230000        ST gg. die persönliche Freiheit                                                              6            50,0 232000        Freiheitsber., Nötigung, Bedrohung, Zwangsheirat, Nachstellung (Stalking)                    6            50,0 232200        Nötigung                                                                                     1             0,0 232279        Sonstige Nötigung                                                                            1             0,0 232300        Bedrohung                                                                                    5            60,0 500000        Vermögens- und Fälschungsdelikte                                                            95            75,8 510000        Betrug                                                                                      91            76,9 511000        Waren- und Warenkreditbetrug                                                                57            93,0 511200        Sonstiger Warenkreditbetrug                                                                 16            87,5 511210        Weitere Arten des Warenkreditbetruges                                                       16            87,5 511211        Weitere Arten des Warenkreditbetruges § 263                                                 12            83,3 511212        Weitere Arten des Warenkreditbetruges § 263a                                                 4           100,0 511300        Warenbetrug                                                                                 41            95,1 516000        Betrug bzw. Computerbetrug mittels rechtswidrig erlangter unbarer Zahlungsmittel             5            60,0 516300        Computerbetrug mittels rechtswidrig erlanger Zahlungskarten mit PIN                          1           100,0 516500        Betrug bzw. Computerbetrug mittels rechtswidrig erlangter Daten von Zahlungskarten           4            50,0 516510        Betrug mittels rechtswidrig erlangter Daten von Zahlungskarten                               2             0,0 516520        Computerbetrug mittels rechtswidrig erlangter Daten von Zahlungskarten                       2           100,0 517000        Sonstiger Betrug                                                                            29            48,3 517100        Leistungsbetrug                                                                              4            75,0 517500        Computerbetrug (sonstiger)                                                                   7            42,9 517510        Computerbetrug (sonstiger) § 263a Abs. 1 und 2 StGB                                          7            42,9 517900        Missbräuchliche Nutzung von Telekommunikationsdiensten                                       1             0,0 518200        Einmietbetrug                                                                                1           100,0 518300        Überweisungsbetrug                                                                           1           100,0 518302        Überweisungsbetrug § 263a StGB                                                               1           100,0 518800        Kreditvermittlungsbetrug                                                                     1             0,0 518900        Sonstige weitere Betrugsarten                                                               14            42,9 530000        Unterschlagung                                                                               1           100,0 530079        Unterschlagung sonstiger Güter/Sachen gemäß §§ 246, 247 StGB - ohne von Kfz                  1           100,0 540000        Urkundenfälschung                                                                            3            33,3 540001        Sonstige Urkundenfälschung                                                                   2            50,0 543000        Fälsch. beweiserhebl. Daten, Täusch. im Rechtsverkehr b. Datenverarb.                        1             0,0 543010        Fälschung beweiserheblicher Daten                                                            1             0,0 600000        Sonstige Straftatbestände (StGB)                                                            33            63,6 610000        Erpressung                                                                                   2             0,0 610079        Sonstige Erpressung                                                                          2             0,0 620000        Widerstand gg. die Staatsgewalt und ST gg. die öff. Ordnung                                  8            75,0 620001        Störung des öffentl. Friedens durch Androhung von ST                                         2           100,0 621000        Widerstand gg. die Staatsgewalt                                                              2            50,0 621010        Öffentliche Aufforderung zu Straftaten                                                       2            50,0 627000        Volksverhetzung                                                                              4            75,0 630000        Begünstigung, Strafvereitelung, Hehlerei u. Geldwäsche                                       3           100,0 632000        Sonstige Hehlerei                                                                            2           100,0 632079        Sonstige Hehlerei                                                                            2           100,0 633000        Geldwäsche, Verschleierung unrechtmäßig erl. Vermögenswerte                                  1           100,0 670000        Alle sonstigen ST gemäß StGB - ohne Verkehrsdelikte                                         20            60,0
3626

Seite 56 von 60 Auszug aus der Polizeilichen Kriminalstatistik - Polizeirevier Zossen Frage 20: Erfasste Fälle, Aufklärungsquoten für Delikte der "Internetkriminalität" 2016 Erfasste     Aufgeklärte Fälle          Fälle Schlüssel                                             Bezeichnung Anzahl AQ in % gesamt 670034      Verl. des höchstpersönl. Lebensbereiches durch Bildaufnahmen                               2            50,0 670079      Sonstige weitere Straftaten gemäß StGB                                                     1             0,0 673000      Beleidigung                                                                               13            76,9 673010      Beleidigung ohne sex. Grundlage                                                            6            66,7 673020      Üble Nachrede ohne sex. Grundlage                                                          2           100,0 673030      Verleumdung ohne sex. Grundlage                                                            4            75,0 673100      Beleidigung auf sex. Grundlage                                                             1           100,0 673110      Beleidigung auf sex. Grundlage                                                             1           100,0 674000      Sachbeschädigung                                                                           3             0,0 674200      Datenveränderung, Computersabotage                                                         3             0,0 674210      Datenveränderung                                                                           1             0,0 674220      Computersabotage                                                                           2             0,0 678000      Ausspähen, Abfangen von Daten einschl. Vorbereitungshandlungen und Datenhehlerei           1           100,0 678010      Ausspähen von Daten gemäß § 202a StGB                                                      1           100,0 700000      Strafrechtliche Nebengesetze                                                               5            80,0 710000      ST gg. strafrechtl. Nebengesetze auf dem Wirtschaftssektor                                 3            66,7 715000      ST i.Z.m. Urheberrechtsbestimmungen                                                        3            66,7 715040      Kunsturheberrechtsgesetz                                                                   2           100,0 715050      UHG -sonstige Verstöße- (ohne Schl. 715100 u. 725200)                                      1             0,0 720000      ST gg. sonstige strafrechtliche Nebengesetze -ohne Verkehrsdelikte-                        1           100,0 720011      ST gemäß § 4 Gewaltschutzgesetz                                                            1           100,0 730000      Rauschgiftdelikte -BtMG-                                                                   1           100,0 731000      Allg. Verstöße gemäß § 29 BtMG (soweit nicht unter 7340 pp. zu erfassen)                   1           100,0 731800      Allg. Verstoß (§ 29 BtMG) - mit Cannabis und Zubereitungen                                 1           100,0 890000      ST insgesamt, o. Verst. g. Aufenth.-, Asyl- u. FreizügigkeitsG/EU                        149            73,8 891000      Rauschgiftkriminalität                                                                     1           100,0 893000      Wirtschaftskriminalität und zwar:                                                          2             0,0 893100      Wikri bei Betrug                                                                           1             0,0 896000      ST gegen Bestimmungen zum Schutze der Jugend                                               2           100,0 897000      Computerkriminalität                                                                      21            57,1 897100      Computerbetrug                                                                            14            71,4
3627

Seite 57 von 60 Auszug aus der Polizeilichen Kriminalstatistik - Polizeirevier Zossen Frage 20: Schadenstabelle für Delikte der "Internetkriminalität" Berichtszeitraum:           01.01.2016       bis      31.12.2016 Schl.-                                                                                                                                                          Schadensklassen Zahl der Fälle zahl                                            Straftat                                                                          1      15     50    250         500       2500   5T    25T 50T    Schadenssumme der                                                                                                                                                        bis unter Euro                    und          in Euro insgesamt   vollendet    versucht Tat                                                                                                                              15      50    250    500        2500        5T    25T   50T mehr ------        Straftaten insgesamt                                                                       97             86        11         5      12     24     19          18         5     2          1             184.198 500000        Vermögens- und Fälschungsdelikte                                                           92             83          9        2      12     24     19          18         5     2          1             184.177 510000        Betrug                                                                                     91             82          9        2      12     24     18          18         5     2          1             183.827 511000        Waren- und Warenkreditbetrug                                                               57             54          3        1       8     18     14           9         2     1          1             155.307 511200        Sonstiger Warenkreditbetrug                                                                16             16                           5      7      2           1         1                                5.100 511210        Weitere Arten des Warenkreditbetruges                                                      16             16                           5      7      2           1         1                                5.100 511211        Weitere Arten des Warenkreditbetruges § 263                                                12             12                           4      5      2                     1                                4.271 511212        Weitere Arten des Warenkreditbetruges § 263a                                                4              4                           1      2                  1                                            829 511300        Warenbetrug                                                                                41             38          3        1       3     11     12           8         1     1          1             150.207 516000        Betrug bzw. Computerbetrug mittels rechtswidrig erlangter unbarer Zahlungsmittel            5              5                                         1           4                                          5.075 516300        Computerbetrug mittels rechtswidrig erlanger Zahlungskarten mit PIN                         1              1                                                     1                                          1.027 516500        Betrug bzw. Computerbetrug mittels rechtswidrig erlangter Daten von Zahlungskarten          4              4                                         1           3                                          4.048 516510        Betrug mittels rechtswidrig erlangter Daten von Zahlungskarten                              2              2                                                     2                                          2.228 516520        Computerbetrug mittels rechtswidrig erlangter Daten von Zahlungskarten                      2              2                                         1           1                                          1.820 517000        Sonstiger Betrug                                                                           29             23          6        1       4      6      3           5         3     1                         23.445 517100        Leistungsbetrug                                                                             4              3          1                       1                  1         1                                4.946 517500        Computerbetrug (sonstiger)                                                                  7              5          2        1       1      1                  1         1                                4.274 517510        Computerbetrug (sonstiger) § 263a Abs. 1 und 2 StGB                                         7              5          2        1       1      1                  1         1                                4.274 517900        Missbräuchliche Nutzung von Telekommunikationsdiensten                                      1              1                                  1                                                               100 518200        Einmietbetrug                                                                               1              1                                                     1                                            547 518300        Überweisungsbetrug                                                                          1              1                                                               1                                4.420 518302        Überweisungsbetrug § 263a StGB                                                              1              1                                                               1                                4.420 518800        Kreditvermittlungsbetrug                                                                    1              1                                                     1                                          1.400 518900        Sonstige weitere Betrugsarten                                                              14             11          3                3      3      3           1               1                          7.758 530000        Unterschlagung                                                                              1              1                                         1                                                        350 530079        Unterschlagung sonstiger Güter/Sachen gemäß §§ 246, 247 StGB - ohne von Kfz                 1              1                                         1                                                        350 600000        Sonstige Straftatbestände (StGB)                                                            2                         2 610000        Erpressung                                                                                  2                         2 610079        Sonstige Erpressung                                                                         2                         2 700000        Strafrechtliche Nebengesetze                                                                3              3                   3                                                                               21 710000        ST gg. strafrechtl. Nebengesetze auf dem Wirtschaftssektor                                  3              3                   3                                                                               21 715000        ST i.Z.m. Urheberrechtsbestimmungen                                                         3              3                   3                                                                               21 715040        Kunsturheberrechtsgesetz                                                                    2              2                   2                                                                               20 715050        UHG -sonstige Verstöße- (ohne Schl. 715100 u. 725200)                                       1              1                   1                                                                                1 890000        ST insgesamt, o. Verst. g. Aufenth.-, Asyl- u. FreizügigkeitsG/EU                          97             86        11         5      12     24     19          18         5     2          1             184.198 893000        Wirtschaftskriminalität und zwar:                                                           1              1                                                     1                                          1.400 893100        Wikri bei Betrug                                                                            1              1                                                     1                                          1.400 897000        Computerkriminalität                                                                       16             14          2        1       2      4      1           4         2                               12.470 897100        Computerbetrug                                                                             14             12          2        1       2      3      1           3         2                               11.343
3628

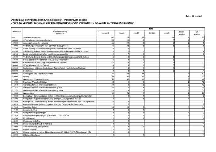
Seite 58 von 60 Auszug aus der Polizeilichen Kriminalstatistik - Polizeirevier Zossen Frage 20: Übersicht zur Alters- und Geschlechtsstruktur der ermittelten TV für Delikte der "Internetkriminalität" 2016 Schlüssel                                    Kurzbezeichnung                                                                                 Heran-           Er- Schlüssel                                   gesamt     männl.    weibl.    Kinder Jugdl. wachs.         wachs. ------       Straftaten insgesamt                                                                      107        75        32               14          6             87 100000       ST gg. die sex. Selbstbestimmung                                                           15        12         3                5          2              8 140000       Ausnutzen sexueller Neigung                                                                15        12         3                5          2              8 143000       Verbreitung pornographischer Schriften (Erzeugnisse)                                       15        12         3                5          2              8 143100       Verbr. pornogr. Schriften (Erzeugnisse) an Personen unter 18 Jahren                         2         2                                     2 143200       Verbreitung, Erwerb, Besitz und Herstellung kinderpornographischer Schriften                8         7         1                                          8 143230       Besitz oder sich Verschaffen von Kinderpornographie                                         8         7         1                                          8 143500       Verbreitung, Erwerb, Besitz und Herstellung jugendpornographischer Schriften                5         3         2                5 143530       Besitz oder sich Verschaffen von Jugendpornographie                                         5         3         2                5 200000       Rohheitsdelikte und ST gg. die persönliche Freiheit                                         4         3         1                3                         1 230000       ST gg. die persönliche Freiheit                                                             4         3         1                3                         1 232000       Freiheitsber., Nötigung, Bedrohung, Zwangsheirat, Nachstellung (Stalking)                   4         3         1                3                         1 232300       Bedrohung                                                                                   4         3         1                3                         1 500000       Vermögens- und Fälschungsdelikte                                                           61        43        18                           4             57 510000       Betrug                                                                                     59        42        17                           4             55 511000       Waren- und Warenkreditbetrug                                                               43        32        11                           3             40 511200       Sonstiger Warenkreditbetrug                                                                14         9         5                           2             12 511210       Weitere Arten des Warenkreditbetruges                                                      14         9         5                           2             12 511211       Weitere Arten des Warenkreditbetruges § 263                                                11         7         4                           1             10 511212       Weitere Arten des Warenkreditbetruges § 263a                                                4         3         1                           2              2 511300       Warenbetrug                                                                                30        24         6                           2             28 516000       Betrug bzw. Computerbetrug mittels rechtswidrig erlangter unbarer Zahlungsmittel            3         2         1                           1              2 516300       Computerbetrug mittels rechtswidrig erlanger Zahlungskarten mit PIN                         1                   1                           1 516500       Betrug bzw. Computerbetrug mittels rechtswidrig erlangter Daten von Zahlungskarten          2         2                                                    2 516520       Computerbetrug mittels rechtswidrig erlangter Daten von Zahlungskarten                      2         2                                                    2 517000       Sonstiger Betrug                                                                           15        10         5                           1             14 517100       Leistungsbetrug                                                                             4         3         1                                          4 517500       Computerbetrug (sonstiger)                                                                  3         2         1                           1              2 517510       Computerbetrug (sonstiger) § 263a Abs. 1 und 2 StGB                                         3         2         1                           1              2 518200       Einmietbetrug                                                                               2         1         1                                          2 518300       Überweisungsbetrug                                                                          1         1                                                    1 518302       Überweisungsbetrug § 263a StGB                                                              1         1                                                    1 518900       Sonstige weitere Betrugsarten                                                               5         3         2                                          5 530000       Unterschlagung                                                                              1         1                                                    1 530079       Unterschlagung sonstiger Güter/Sachen gemäß §§ 246, 247 StGB - ohne von Kfz                 1         1                                                    1 540000       Urkundenfälschung                                                                           1                   1                                          1
3629

Seite 59 von 60 Auszug aus der Polizeilichen Kriminalstatistik - Polizeirevier Zossen Frage 20: Übersicht zur Alters- und Geschlechtsstruktur der ermittelten TV für Delikte der "Internetkriminalität" 2016 Schlüssel                                     Kurzbezeichnung                                                                               Heran-           Er- Schlüssel                                 gesamt     männl.     weibl.    Kinder Jugdl. wachs.         wachs. 540001     Sonstige Urkundenfälschung                                                                1                    1                                          1 600000     Sonstige Straftatbestände (StGB)                                                         23        14          9                2                        21 620000     Widerstand gg. die Staatsgewalt und ST gg. die öff. Ordnung                               6         6                                                     6 620001     Störung des öffentl. Friedens durch Androhung von ST                                      2         2                                                     2 621000     Widerstand gg. die Staatsgewalt                                                           1         1                                                     1 621010     Öffentliche Aufforderung zu Straftaten                                                    1         1                                                     1 627000     Volksverhetzung                                                                           3         3                                                     3 630000     Begünstigung, Strafvereitelung, Hehlerei u. Geldwäsche                                    3         3                                                     3 632000     Sonstige Hehlerei                                                                         2         2                                                     2 632079     Sonstige Hehlerei                                                                         2         2                                                     2 633000     Geldwäsche, Verschleierung unrechtmäßig erl. Vermögenswerte                               1         1                                                     1 670000     Alle sonstigen ST gemäß StGB - ohne Verkehrsdelikte                                      14         5          9                2                        12 670034     Verl. des höchstpersönl. Lebensbereiches durch Bildaufnahmen                              1                    1                1 673000     Beleidigung                                                                              12         4          8                1                        11 673010     Beleidigung ohne sex. Grundlage                                                           4         3          1                1                         3 673020     Üble Nachrede ohne sex. Grundlage                                                         4                    4                                          4 673030     Verleumdung ohne sex. Grundlage                                                           3                    3                                          3 673100     Beleidigung auf sex. Grundlage                                                            1         1                                                     1 673110     Beleidigung auf sex. Grundlage                                                            1         1                                                     1 678000     Ausspähen, Abfangen von Daten einschl. Vorbereitungshandlungen und Datenhehlerei          1         1                                                     1 678010     Ausspähen von Daten gemäß § 202a StGB                                                     1         1                                                     1 700000     Strafrechtliche Nebengesetze                                                              5         4          1                4                         1 710000     ST gg. strafrechtl. Nebengesetze auf dem Wirtschaftssektor                                3         2          1                3 715000     ST i.Z.m. Urheberrechtsbestimmungen                                                       3         2          1                3 715040     Kunsturheberrechtsgesetz                                                                  3         2          1                3 720000     ST gg. sonstige strafrechtliche Nebengesetze -ohne Verkehrsdelikte-                       1         1                                                     1 720011     ST gemäß § 4 Gewaltschutzgesetz                                                           1         1                                                     1 730000     Rauschgiftdelikte -BtMG-                                                                  1         1                           1 731000     Allg. Verstöße gemäß § 29 BtMG (soweit nicht unter 7340 pp. zu erfassen)                  1         1                           1 731800     Allg. Verstoß (§ 29 BtMG) - mit Cannabis und Zubereitungen                                1         1                           1 890000     ST insgesamt, o. Verst. g. Aufenth.-, Asyl- u. FreizügigkeitsG/EU                       107        75         32               14          6             87 891000     Rauschgiftkriminalität                                                                    1         1                           1 896000     ST gegen Bestimmungen zum Schutze der Jugend                                              2         2                                      2 897000     Computerkriminalität                                                                     11         8          3                           3              8 897100     Computerbetrug                                                                            9         7          2                           2              7
3630

Zur nächsten Seite