Polizeiinspektionen im Land Brandenburg

/ 3941
PDF herunterladen
Seite 111 von 133 Schlüsselzahl der Tat  Mikronesien staatenlos   ungeklärt   ohne Angabe ------                                 1           1           1 100000 110000 111000 111400 112000 140000 141000 141100 200000                                 1           1           1 220000                                 1           1           1 222000 222010 223000 223100 224000                                 1           1 225000                                                         1 230000 231000 231200 232000 232300 232400 232410 600000 670000 674000 674010 674019 890000                                 1           1           1 892000
3891

Seite 112 von 133 Auszug aus der Polizeilichen Kriminalstatistik - Polizeiinspektion Potsdam Frage 20: Erfasste Fälle, Aufklärungsquoten für Delikte der "Internetkriminalität" 2016 Erfasste        Aufgeklärte Fälle            Fälle Schlüssel                                                 Bezeichnung Anzahl AQ in % gesamt ------      Straftaten insgesamt                                                                                702              76,1 000000      ST gg. das Leben                                                                                      1             100,0 040000      Abbruch der Schwangerschaft                                                                           1             100,0 040040      Werbung für den Abbruch der Schwangerschaft                                                           1             100,0 100000      ST gg. die sex. Selbstbestimmung                                                                     32              93,8 130000      Sexueller Missbrauch §§ 176, 176a, 176b, 182, 183, 183a StGB                                          5             100,0 131000      Sex. Missbr. von Kindern                                                                              5             100,0 131200      Exhibitionistische/sex. Handlungen vor Kindern                                                        1             100,0 131400      Einwirken auf Kinder                                                                                  4             100,0 140000      Ausnutzen sexueller Neigung                                                                          27              92,6 143000      Verbreitung pornographischer Schriften (Erzeugnisse)                                                 27              92,6 143100      Verbr. pornogr. Schriften (Erzeugnisse) an Personen unter 18 Jahren                                   3             100,0 143200      Verbreitung, Erwerb, Besitz und Herstellung kinderpornographischer Schriften                         21              90,5 143210      Verbreitung, Erwerb, Besitz und Herstellung von Kinderpornographie                                   14              92,9 143211      Verbreitung von Kinderpornographie                                                                   14              92,9 143230      Besitz oder sich Verschaffen von Kinderpornographie                                                   7              85,7 143500      Verbreitung, Erwerb, Besitz und Herstellung jugendpornographischer Schriften                          3             100,0 143510      Verbreitung, Erwerb, Besitz und Herstellung von Jugendpornographie                                    1             100,0 143512      Besitzverschaffung für andere von Jugendpornographie                                                  1             100,0 143530      Besitz oder sich Verschaffen von Jugendpornographie                                                   2             100,0 200000      Rohheitsdelikte und ST gg. die persönliche Freiheit                                                  37              67,6 230000      ST gg. die persönliche Freiheit                                                                      37              67,6 232000      Freiheitsber., Nötigung, Bedrohung, Zwangsheirat, Nachstellung (Stalking)                            37              67,6 232200      Nötigung                                                                                              7              71,4 232279      Sonstige Nötigung                                                                                     7              71,4 232300      Bedrohung                                                                                            17              76,5 232400      Nachstellung                                                                                         13              53,8 232410      Nachstellung - z.B. räumliche Nähe -                                                                 13              53,8 3*****      Diebstahl ohne erschwerende Umstände                                                                  2              50,0 310*00      EDS insg. in/aus Dienst-, Büro-, Fabrikations-, Werkstatt- und Lagerräumen                            1               0,0 310000      EDS - in/aus Dienst-/Büror. - Sonstiger                                                               1               0,0 325*00      EDS insg. in/aus Kiosken, Warenhäusern, Verkaufsräumen                                                1             100,0 325000      EDS - in/aus Warenhäusern - Sonstiger                                                                 1             100,0 ****00      Diebstahl insgesamt                                                                                   2              50,0 *10*00      Diebstahl insg. in/aus Dienst-, Büro-, Fabrikations-,Werkstatt- u. Lagerräumen                        1               0,0 *25*00      Diebstahl insg. in/aus Kiosken, Warenhäusern, Verkaufsräumen                                          1             100,0 500000      Vermögens- und Fälschungsdelikte                                                                    478              75,5 510000      Betrug                                                                                              452              75,4 511000      Waren- und Warenkreditbetrug                                                                        352              81,3 511100      Betrügerisches Erlangen von Kfz                                                                       1             100,0 511110      Betrügerisches Erlangen von Kfz § 263                                                                 1             100,0 511200      Sonstiger Warenkreditbetrug                                                                         173              67,6 511210      Weitere Arten des Warenkreditbetruges                                                               173              67,6 511211      Weitere Arten des Warenkreditbetruges § 263                                                         149              71,1 511212      Weitere Arten des Warenkreditbetruges § 263a                                                         24              45,8 511300      Warenbetrug                                                                                         178              94,4 514000      Geldkreditbetrug                                                                                      3             100,0 514300      Krediterlangungsbetrug                                                                                3             100,0 516000      Betrug bzw. Computerbetrug mittels rechtswidrig erlangter unbarer Zahlungsmittel                     42              61,9 516200      Betrug mittels rechtswidrig erlangter Zahlungskarten ohne PIN (Lastschriftverfahren)                  2              50,0 516500      Betrug bzw. Computerbetrug mittels rechtswidrig erlangter Daten von Zahlungskarten                   37              62,2 516510      Betrug mittels rechtswidrig erlangter Daten von Zahlungskarten                                       19              68,4 516520      Computerbetrug mittels rechtswidrig erlangter Daten von Zahlungskarten                               18              55,6 516900      Betrug bzw. Computerbetrug mittels rechtswidrig erlangter sonstiger unbarer Zahlungsmittel            3              66,7 516910      Betrug mittels mittels rechtswidrig erlangter sonstiger unbarer Zahlungsmittel                        1             100,0 516920      Computerbetrug mittels rechtswidrig erlangter sonstiger unbarer Zahlungsmittel                        2              50,0 517000      Sonstiger Betrug                                                                                     55              47,3 517100      Leistungsbetrug                                                                                       5              60,0 517200      Leistungskreditbetrug                                                                                13              38,5 517210      Leistungskreditbetrug § 263 StGB                                                                     13              38,5 517500      Computerbetrug (sonstiger)                                                                           12              75,0
3892

Seite 113 von 133 Auszug aus der Polizeilichen Kriminalstatistik - Polizeiinspektion Potsdam Frage 20: Erfasste Fälle, Aufklärungsquoten für Delikte der "Internetkriminalität" 2016 Erfasste        Aufgeklärte Fälle            Fälle Schlüssel                                              Bezeichnung Anzahl AQ in % gesamt 517510     Computerbetrug (sonstiger) § 263a Abs. 1 und 2 StGB                                        12              75,0 518100     Abrechnungsbetrug                                                                           1               0,0 518179     Sonstiger Abrechnungsbetrug                                                                 1               0,0 518300     Überweisungsbetrug                                                                          2               0,0 518301     Überweisungsbetrug § 263 StGB                                                               2               0,0 518900     Sonstige weitere Betrugsarten                                                              22              40,9 530000     Unterschlagung                                                                              5             100,0 530079     Unterschlagung sonstiger Güter/Sachen gemäß §§ 246, 247 StGB - ohne von Kfz                 5             100,0 540000     Urkundenfälschung                                                                          20              75,0 540001     Sonstige Urkundenfälschung                                                                  4              75,0 543000     Fälsch. beweiserhebl. Daten, Täusch. im Rechtsverkehr b. Datenverarb.                      16              75,0 543010     Fälschung beweiserheblicher Daten                                                          16              75,0 550000     Geld- und Wertzeichenfälschung                                                              1               0,0 553000     Fälsch. v. Zahlungskarten mit/ohne Garantiefunktion, Schecks u. Wechseln                    1               0,0 553100     Gebr. falscher Zahlungsk. mit oder ohne Garantiefunktion, Schecks und Wechsel               1               0,0 553120     Gebrauch falscher Zahlungskarten mit Garantiefunktion                                       1               0,0 600000     Sonstige Straftatbestände (StGB)                                                          131              75,6 610000     Erpressung                                                                                  2              50,0 610079     Sonstige Erpressung                                                                         1             100,0 611000     Erpressung auf sex. Grundlage                                                               1               0,0 620000     Widerstand gg. die Staatsgewalt und ST gg. die öff. Ordnung                                29              75,9 620001     Störung des öffentl. Friedens durch Androhung von ST                                        3              66,7 620004     Anleitung zu Straftaten                                                                     1             100,0 620006     Missbr. von Titeln, Berufsbezeichnungen, Abzeichen                                          1             100,0 620010     Nichtanzeige geplanter Straftaten                                                           1               0,0 621000     Widerstand gg. die Staatsgewalt                                                             1             100,0 621010     Öffentliche Aufforderung zu Straftaten                                                      1             100,0 624000     Vortäuschen einer Straftat                                                                  1             100,0 624079     Vortäuschen einer sonstigen Straftat                                                        1             100,0 627000     Volksverhetzung                                                                            21              76,2 630000     Begünstigung, Strafvereitelung, Hehlerei u. Geldwäsche                                      5             100,0 632000     Sonstige Hehlerei                                                                           3             100,0 632079     Sonstige Hehlerei                                                                           3             100,0 633000     Geldwäsche, Verschleierung unrechtmäßig erl. Vermögenswerte                                 2             100,0 670000     Alle sonstigen ST gemäß StGB - ohne Verkehrsdelikte                                        95              74,7 670007     Falsche Verdächtigung                                                                       5             100,0 670017     Verletzung des Briefgeheimnisses                                                            1             100,0 670034     Verl. des höchstpersönl. Lebensbereiches durch Bildaufnahmen                                7              71,4 673000     Beleidigung                                                                                63              82,5 673010     Beleidigung ohne sex. Grundlage                                                            40              87,5 673020     Üble Nachrede ohne sex. Grundlage                                                           7              57,1 673030     Verleumdung ohne sex. Grundlage                                                            11              90,9 673040     Verunglimpfung des Andenkens Verstorbener ohne sex. Grundlage                               1               0,0 673100     Beleidigung auf sex. Grundlage                                                              4              75,0 673110     Beleidigung auf sex. Grundlage                                                              2              50,0 673120     Üble Nachrede auf sex. Grundlage                                                            1             100,0 673130     Verleumdung auf sex. Grundlage                                                              1             100,0 674000     Sachbeschädigung                                                                            9              44,4 674200     Datenveränderung, Computersabotage                                                          9              44,4 674210     Datenveränderung                                                                            4              75,0 674220     Computersabotage                                                                            5              20,0 678000     Ausspähen, Abfangen von Daten einschl. Vorbereitungshandlungen und Datenhehlerei           10              40,0 678010     Ausspähen von Daten gemäß § 202a StGB                                                       8              37,5 678030     Vorbereiten des Ausspähens und Abfangens von Daten                                          2              50,0 700000     Strafrechtliche Nebengesetze                                                               21              81,0 710000     ST gg. strafrechtl. Nebengesetze auf dem Wirtschaftssektor                                 10              70,0 715000     ST i.Z.m. Urheberrechtsbestimmungen                                                        10              70,0 715010     Markengesetz                                                                                1               0,0 715040     Kunsturheberrechtsgesetz                                                                    4              75,0 715050     UHG -sonstige Verstöße- (ohne Schl. 715100 u. 725200)                                       5              80,0 720000     ST gg. sonstige strafrechtliche Nebengesetze -ohne Verkehrsdelikte-                         3             100,0
3893

Seite 114 von 133 Auszug aus der Polizeilichen Kriminalstatistik - Polizeiinspektion Potsdam Frage 20: Erfasste Fälle, Aufklärungsquoten für Delikte der "Internetkriminalität" 2016 Erfasste        Aufgeklärte Fälle            Fälle Schlüssel                                                Bezeichnung Anzahl AQ in % gesamt 726000     ST gg. das Sprengstoff-, das Waffen- und das KriegswaffenkontrollG                          3             100,0 726200     ST gg. das Waffengesetz                                                                     3             100,0 730000     Rauschgiftdelikte -BtMG-                                                                    8              87,5 731000     Allg. Verstöße gemäß § 29 BtMG (soweit nicht unter 7340 pp. zu erfassen)                    6             100,0 731200     Allgemeiner Verstoß (§ 29 BtMG) - mit Kokain einschl. Crack                                 2             100,0 731202     Allg. Verstoß (§ 29 BtMG) - Kokain                                                          2             100,0 731600     Allg. Verstoß mit Amphet. u. Deriv. in Pulver-/flüss.-/Tabl.-/Kapself. (Ecstasy)            2             100,0 731601     Allg. Verstoß mit Amphet. u. Deriv. in Pulver- oder flüssiger Form                          1             100,0 731602     Allg. Verstoß mit Amphet. u. Deriv. in Tabl.- bzw. Kapselform (Ecstasy)                     1             100,0 731800     Allg. Verstoß (§ 29 BtMG) - mit Cannabis und Zubereitungen                                  2             100,0 732000     Unerl. Handel/Schmuggel mit/von Rauschgiften gemäß § 29 BtMG                                2              50,0 732200     Unerl. Handel und Schmuggel mit/von Kokain einschl. Crack                                   1               0,0 732210     Unerl. Handel mit Kokain einschl. Crack                                                     1               0,0 732212     Unerl. Handel mit Kokain                                                                    1               0,0 732700     Unerl. Handel/Schmuggel Methamphet. in Pulver-/krist.-/flüss.-/Tabl.-/Kapselform            1             100,0 732710     Unerl. Handel mit Methamphet. in Pulver-/krist.-/flüss.-/Tabl.-/Kapselform                  1             100,0 732713     Unerl. Handel mit Methamphet. in Tabl.- bzw. Kapselform                                     1             100,0 890000     ST insgesamt, o. Verst. g. Aufenth.-, Asyl- u. FreizügigkeitsG/EU                         702              76,1 891000     Rauschgiftkriminalität                                                                      8              87,5 893000     Wirtschaftskriminalität und zwar:                                                           5              60,0 893100     Wikri bei Betrug                                                                            1             100,0 893400     Wikri - Wettbewerbsdelikte                                                                  3              66,7 894000     KFZ-Kriminalität                                                                            1             100,0 896000     ST gegen Bestimmungen zum Schutze der Jugend                                                3             100,0 897000     Computerkriminalität                                                                       96              53,1 897100     Computerbetrug                                                                             61              50,8
3894

Seite 115 von 133 Auszug aus der Polizeilichen Kriminalstatistik - Polizeiinspektion Potsdam Frage 20: Schadenstabelle für Delikte der "Internetkriminalität" Berichtszeitraum:            01.01.2016       bis      31.12.2016 Schl.-                                                                                                                                                                           Schadensklassen Zahl der Fälle zahl                                                    Straftat                                                                                  1      15    50      250        500        2500   5T    25T 50T    Schadenssumme der                                                                                                                                                                         bis unter Euro                    und          in Euro insgesamt    vollendet    versucht Tat                                                                                                                                              15      50    250     500        2500        5T    25T   50T mehr ------       Straftaten insgesamt                                                                                      471           445         26         30     33     136    109         123         9     5                       259.342 3*****       Diebstahl ohne erschwerende Umstände                                                                        2              2                                   1                  1                                            900 310*00       EDS insg. in/aus Dienst-, Büro-, Fabrikations-, Werkstatt- und Lagerräumen                                  1              1                                   1                                                               100 310000       EDS - in/aus Dienst-/Büror. - Sonstiger                                                                     1              1                                   1                                                               100 325*00       EDS insg. in/aus Kiosken, Warenhäusern, Verkaufsräumen                                                      1              1                                                      1                                            800 325000       EDS - in/aus Warenhäusern - Sonstiger                                                                       1              1                                                      1                                            800 ****00       Diebstahl insgesamt                                                                                         2              2                                   1                  1                                            900 *10*00       Diebstahl insg. in/aus Dienst-, Büro-, Fabrikations-,Werkstatt- u. Lagerräumen                              1              1                                   1                                                               100 *25*00       Diebstahl insg. in/aus Kiosken, Warenhäusern, Verkaufsräumen                                                1              1                                                      1                                            800 500000       Vermögens- und Fälschungsdelikte                                                                          457           431         26         22     32     135    108         120         9     5                       256.532 510000       Betrug                                                                                                    452           426         26         22     31     131    108         120         9     5                       255.804 511000       Waren- und Warenkreditbetrug                                                                              352           338         14         18     23     111     93          89         3     1                       150.096 511100       Betrügerisches Erlangen von Kfz                                                                             1              1                    1                                                                                1 511110       Betrügerisches Erlangen von Kfz § 263                                                                       1              1                    1                                                                                1 511200       Sonstiger Warenkreditbetrug                                                                               173           159         14          9      7      48     28          63         3     1                         95.005 511210       Weitere Arten des Warenkreditbetruges                                                                     173           159         14          9      7      48     28          63         3     1                         95.005 511211       Weitere Arten des Warenkreditbetruges § 263                                                               149           142           7         9      7      38     26          59         2     1                         84.919 511212       Weitere Arten des Warenkreditbetruges § 263a                                                               24             17          7                       10      2           4         1                               10.086 511300       Warenbetrug                                                                                               178           178                     8     16      63     65          26                                         55.090 514000       Geldkreditbetrug                                                                                            3              2          1                                                           2                         12.000 514300       Krediterlangungsbetrug                                                                                      3              2          1                                                           2                         12.000 516000       Betrug bzw. Computerbetrug mittels rechtswidrig erlangter unbarer Zahlungsmittel                           42             42                    1      2       9      6          18         5     1                         52.871 516200       Betrug mittels rechtswidrig erlangter Zahlungskarten ohne PIN (Lastschriftverfahren)                        2              2                                   1      1                                                        647 516500       Betrug bzw. Computerbetrug mittels rechtswidrig erlangter Daten von Zahlungskarten                         37             37                    1      1       8      4          18         4     1                         49.092 516510       Betrug mittels rechtswidrig erlangter Daten von Zahlungskarten                                             19             19                    1              3      2          10         3                               25.162 516520       Computerbetrug mittels rechtswidrig erlangter Daten von Zahlungskarten                                     18             18                           1       5      2           8         1     1                         23.930 516900       Betrug bzw. Computerbetrug mittels rechtswidrig erlangter sonstiger unbarer Zahlungsmittel                  3              3                           1              1                     1                                3.132 516910       Betrug mittels mittels rechtswidrig erlangter sonstiger unbarer Zahlungsmittel                              1              1                           1                                                                        49 516920       Computerbetrug mittels rechtswidrig erlangter sonstiger unbarer Zahlungsmittel                              2              2                                          1                     1                                3.083 517000       Sonstiger Betrug                                                                                           55             44        11          3      6      11      9          13         1     1                         40.837 517100       Leistungsbetrug                                                                                             5              5                           2       2                  1                                          1.026 517200       Leistungskreditbetrug                                                                                      13             13                    1      4       3      2           3                                          4.614 517210       Leistungskreditbetrug § 263 StGB                                                                           13             13                    1      4       3      2           3                                          4.614 517500       Computerbetrug (sonstiger)                                                                                 12             10          2                        2      2           5         1                                9.735 517510       Computerbetrug (sonstiger) § 263a Abs. 1 und 2 StGB                                                        12             10          2                        2      2           5         1                                9.735 518100       Abrechnungsbetrug                                                                                           1              1                                          1                                                        450 518179       Sonstiger Abrechnungsbetrug                                                                                 1              1                                          1                                                        450 518300       Überweisungsbetrug                                                                                          2                         2 518301       Überweisungsbetrug § 263 StGB                                                                               2                         2 518900       Sonstige weitere Betrugsarten                                                                              22             15          7         2              4      4           4               1                         25.012 530000       Unterschlagung                                                                                              5              5                           1       4                                                               728 530079       Unterschlagung sonstiger Güter/Sachen gemäß §§ 246, 247 StGB - ohne von Kfz                                 5              5                           1       4                                                               728 600000       Sonstige Straftatbestände (StGB)                                                                            2              2                                                      2                                          1.600 610000       Erpressung                                                                                                  2              2                                                      2                                          1.600 610079       Sonstige Erpressung                                                                                         1              1                                                      1                                            600 611000       Erpressung auf sex. Grundlage                                                                               1              1                                                      1                                          1.000 700000       Strafrechtliche Nebengesetze                                                                               10             10                    8      1              1                                                        310
3895

Seite 116 von 133 Auszug aus der Polizeilichen Kriminalstatistik - Polizeiinspektion Potsdam Frage 20: Schadenstabelle für Delikte der "Internetkriminalität" Berichtszeitraum:            01.01.2016       bis      31.12.2016 Schl.-                                                                                                                                                             Schadensklassen Zahl der Fälle zahl                                                    Straftat                                                                    1      15    50      250        500        2500   5T    25T 50T    Schadenssumme der                                                                                                                                                           bis unter Euro                    und          in Euro insgesamt    vollendet    versucht Tat                                                                                                                                15      50    250     500        2500        5T    25T   50T mehr 710000     ST gg. strafrechtl. Nebengesetze auf dem Wirtschaftssektor                                  10             10                    8      1              1                                                        310 715000     ST i.Z.m. Urheberrechtsbestimmungen                                                         10             10                    8      1              1                                                        310 715010     Markengesetz                                                                                 1              1                    1                                                                                1 715040     Kunsturheberrechtsgesetz                                                                     4              4                    3      1                                                                        27 715050     UHG -sonstige Verstöße- (ohne Schl. 715100 u. 725200)                                        5              5                    4                     1                                                        282 890000     ST insgesamt, o. Verst. g. Aufenth.-, Asyl- u. FreizügigkeitsG/EU                          471           445         26         30     33     136    109         123         9     5                       259.342 893000     Wirtschaftskriminalität und zwar:                                                            4              4                    2                     2                                                        677 893100     Wikri bei Betrug                                                                             1              1                                          1                                                        406 893400     Wikri - Wettbewerbsdelikte                                                                   3              3                    2                     1                                                        271 894000     KFZ-Kriminalität                                                                             1              1                    1                                                                                1 897000     Computerkriminalität                                                                        61             52          9                3      18      8          18         4     1                         47.908 897100     Computerbetrug                                                                              61             52          9                3      18      8          18         4     1                         47.908
3896

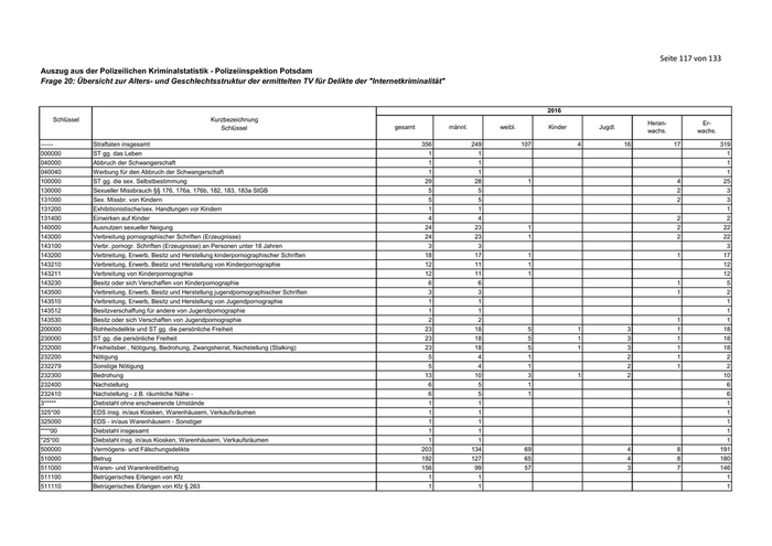
Seite 117 von 133 Auszug aus der Polizeilichen Kriminalstatistik - Polizeiinspektion Potsdam Frage 20: Übersicht zur Alters- und Geschlechtsstruktur der ermittelten TV für Delikte der "Internetkriminalität" 2016 Schlüssel                                            Kurzbezeichnung Heran-          Er- Schlüssel                          gesamt          männl.     weibl.     Kinder   Jugdl. wachs.         wachs. ------          Straftaten insgesamt                                                                      356            249        107        4        16         17            319 000000          ST gg. das Leben                                                                            1              1                                                       1 040000          Abbruch der Schwangerschaft                                                                 1              1                                                       1 040040          Werbung für den Abbruch der Schwangerschaft                                                 1              1                                                       1 100000          ST gg. die sex. Selbstbestimmung                                                           29             28          1                             4             25 130000          Sexueller Missbrauch §§ 176, 176a, 176b, 182, 183, 183a StGB                                5              5                                        2              3 131000          Sex. Missbr. von Kindern                                                                    5              5                                        2              3 131200          Exhibitionistische/sex. Handlungen vor Kindern                                              1              1                                                       1 131400          Einwirken auf Kinder                                                                        4              4                                        2              2 140000          Ausnutzen sexueller Neigung                                                                24             23          1                             2             22 143000          Verbreitung pornographischer Schriften (Erzeugnisse)                                       24             23          1                             2             22 143100          Verbr. pornogr. Schriften (Erzeugnisse) an Personen unter 18 Jahren                         3              3                                                       3 143200          Verbreitung, Erwerb, Besitz und Herstellung kinderpornographischer Schriften               18             17          1                             1             17 143210          Verbreitung, Erwerb, Besitz und Herstellung von Kinderpornographie                         12             11          1                                           12 143211          Verbreitung von Kinderpornographie                                                         12             11          1                                           12 143230          Besitz oder sich Verschaffen von Kinderpornographie                                         6              6                                        1              5 143500          Verbreitung, Erwerb, Besitz und Herstellung jugendpornographischer Schriften                3              3                                        1              2 143510          Verbreitung, Erwerb, Besitz und Herstellung von Jugendpornographie                          1              1                                                       1 143512          Besitzverschaffung für andere von Jugendpornographie                                        1              1                                                       1 143530          Besitz oder sich Verschaffen von Jugendpornographie                                         2              2                                        1              1 200000          Rohheitsdelikte und ST gg. die persönliche Freiheit                                        23             18          5        1         3          1             18 230000          ST gg. die persönliche Freiheit                                                            23             18          5        1         3          1             18 232000          Freiheitsber., Nötigung, Bedrohung, Zwangsheirat, Nachstellung (Stalking)                  23             18          5        1         3          1             18 232200          Nötigung                                                                                    5              4          1                  2          1              2 232279          Sonstige Nötigung                                                                           5              4          1                  2          1              2 232300          Bedrohung                                                                                  13             10          3        1         2                        10 232400          Nachstellung                                                                                6              5          1                                            6 232410          Nachstellung - z.B. räumliche Nähe -                                                        6              5          1                                            6 3*****          Diebstahl ohne erschwerende Umstände                                                        1              1                                                       1 325*00          EDS insg. in/aus Kiosken, Warenhäusern, Verkaufsräumen                                      1              1                                                       1 325000          EDS - in/aus Warenhäusern - Sonstiger                                                       1              1                                                       1 ****00          Diebstahl insgesamt                                                                         1              1                                                       1 *25*00          Diebstahl insg. in/aus Kiosken, Warenhäusern, Verkaufsräumen                                1              1                                                       1 500000          Vermögens- und Fälschungsdelikte                                                          203            134         69                  4          8            191 510000          Betrug                                                                                    192            127         65                  4          8            180 511000          Waren- und Warenkreditbetrug                                                              156             99         57                  3          7            146 511100          Betrügerisches Erlangen von Kfz                                                             1              1                                                       1 511110          Betrügerisches Erlangen von Kfz § 263                                                       1              1                                                       1
3897

Seite 118 von 133 Auszug aus der Polizeilichen Kriminalstatistik - Polizeiinspektion Potsdam Frage 20: Übersicht zur Alters- und Geschlechtsstruktur der ermittelten TV für Delikte der "Internetkriminalität" 2016 Schlüssel                                              Kurzbezeichnung Heran-          Er- Schlüssel                                 gesamt    männl.    weibl.    Kinder   Jugdl. wachs.         wachs. 511200        Sonstiger Warenkreditbetrug                                                                       67        42        25                 1          3            63 511210        Weitere Arten des Warenkreditbetruges                                                             67        42        25                 1          3            63 511211        Weitere Arten des Warenkreditbetruges § 263                                                       57        35        22                 1          3            53 511212        Weitere Arten des Warenkreditbetruges § 263a                                                      12         8         4                                         12 511300        Warenbetrug                                                                                       95        62        33                 2          6            87 514000        Geldkreditbetrug                                                                                   3         3                                                    3 514300        Krediterlangungsbetrug                                                                             3         3                                                    3 516000        Betrug bzw. Computerbetrug mittels rechtswidrig erlangter unbarer Zahlungsmittel                  21        14         7                            1            20 516200        Betrug mittels rechtswidrig erlangter Zahlungskarten ohne PIN (Lastschriftverfahren)               1         1                                                    1 516500        Betrug bzw. Computerbetrug mittels rechtswidrig erlangter Daten von Zahlungskarten                19        12         7                            1            18 516510        Betrug mittels rechtswidrig erlangter Daten von Zahlungskarten                                    12         7         5                            1            11 516520        Computerbetrug mittels rechtswidrig erlangter Daten von Zahlungskarten                            10         6         4                                         10 516900        Betrug bzw. Computerbetrug mittels rechtswidrig erlangter sonstiger unbarer Zahlungsmittel         2         2                                                    2 516910        Betrug mittels mittels rechtswidrig erlangter sonstiger unbarer Zahlungsmittel                     1         1                                                    1 516920        Computerbetrug mittels rechtswidrig erlangter sonstiger unbarer Zahlungsmittel                     1         1                                                    1 517000        Sonstiger Betrug                                                                                  26        20         6                 1          2            23 517100        Leistungsbetrug                                                                                    3         3                                                    3 517200        Leistungskreditbetrug                                                                              5         4         1                 1                        4 517210        Leistungskreditbetrug § 263 StGB                                                                   5         4         1                 1                        4 517500        Computerbetrug (sonstiger)                                                                         9         6         3                            1             8 517510        Computerbetrug (sonstiger) § 263a Abs. 1 und 2 StGB                                                9         6         3                            1             8 518900        Sonstige weitere Betrugsarten                                                                      9         7         2                            1             8 530000        Unterschlagung                                                                                     2         1         1                                          2 530079        Unterschlagung sonstiger Güter/Sachen gemäß §§ 246, 247 StGB - ohne von Kfz                        2         1         1                                          2 540000        Urkundenfälschung                                                                                 13         9         4                                         13 540001        Sonstige Urkundenfälschung                                                                         5         4         1                                          5 543000        Fälsch. beweiserhebl. Daten, Täusch. im Rechtsverkehr b. Datenverarb.                              8         5         3                                          8 543010        Fälschung beweiserheblicher Daten                                                                  8         5         3                                          8 600000        Sonstige Straftatbestände (StGB)                                                                  96        64        32        3        9          3            81 610000        Erpressung                                                                                         1         1                                                    1 610079        Sonstige Erpressung                                                                                1         1                                                    1 620000        Widerstand gg. die Staatsgewalt und ST gg. die öff. Ordnung                                       20        16         4        2        2                       16 620001        Störung des öffentl. Friedens durch Androhung von ST                                               2         2                  1                                 1 620004        Anleitung zu Straftaten                                                                            1         1                                                    1 620006        Missbr. von Titeln, Berufsbezeichnungen, Abzeichen                                                 1         1                                                    1 621000        Widerstand gg. die Staatsgewalt                                                                    1         1                  1 621010        Öffentliche Aufforderung zu Straftaten                                                             1         1                  1 624000        Vortäuschen einer Straftat                                                                         1                   1                                          1
3898

Seite 119 von 133 Auszug aus der Polizeilichen Kriminalstatistik - Polizeiinspektion Potsdam Frage 20: Übersicht zur Alters- und Geschlechtsstruktur der ermittelten TV für Delikte der "Internetkriminalität" 2016 Schlüssel                                             Kurzbezeichnung Heran-          Er- Schlüssel                          gesamt          männl.    weibl.    Kinder   Jugdl. wachs.         wachs. 624079        Vortäuschen einer sonstigen Straftat                                                         1                        1                                          1 627000        Volksverhetzung                                                                             14             11         3                 2                       12 630000        Begünstigung, Strafvereitelung, Hehlerei u. Geldwäsche                                       7              5         2                                          7 632000        Sonstige Hehlerei                                                                            5              4         1                                          5 632079        Sonstige Hehlerei                                                                            5              4         1                                          5 633000        Geldwäsche, Verschleierung unrechtmäßig erl. Vermögenswerte                                  2              1         1                                          2 670000        Alle sonstigen ST gemäß StGB - ohne Verkehrsdelikte                                         69             43        26        2        7          3            57 670007        Falsche Verdächtigung                                                                        4              3         1                                          4 670017        Verletzung des Briefgeheimnisses                                                             1                        1                                          1 670034        Verl. des höchstpersönl. Lebensbereiches durch Bildaufnahmen                                 5              4         1                            1             4 673000        Beleidigung                                                                                 51             29        22        2        7          2            40 673010        Beleidigung ohne sex. Grundlage                                                             32             23         9        2        5          1            24 673020        Üble Nachrede ohne sex. Grundlage                                                            5              3         2                                          5 673030        Verleumdung ohne sex. Grundlage                                                             11              3         8                 3          1             7 673100        Beleidigung auf sex. Grundlage                                                               4              1         3                                          4 673110        Beleidigung auf sex. Grundlage                                                               2                        2                                          2 673120        Üble Nachrede auf sex. Grundlage                                                             1                        1                                          1 673130        Verleumdung auf sex. Grundlage                                                               1              1                                                    1 674000        Sachbeschädigung                                                                             4              4                                                    4 674200        Datenveränderung, Computersabotage                                                           4              4                                                    4 674210        Datenveränderung                                                                             3              3                                                    3 674220        Computersabotage                                                                             1              1                                                    1 678000        Ausspähen, Abfangen von Daten einschl. Vorbereitungshandlungen und Datenhehlerei             4              3         1                                          4 678010        Ausspähen von Daten gemäß § 202a StGB                                                        3              3                                                    3 678030        Vorbereiten des Ausspähens und Abfangens von Daten                                           1                        1                                          1 700000        Strafrechtliche Nebengesetze                                                                17             14         3                            2            15 710000        ST gg. strafrechtl. Nebengesetze auf dem Wirtschaftssektor                                   7              6         1                                          7 715000        ST i.Z.m. Urheberrechtsbestimmungen                                                          7              6         1                                          7 715040        Kunsturheberrechtsgesetz                                                                     3              3                                                    3 715050        UHG -sonstige Verstöße- (ohne Schl. 715100 u. 725200)                                        4              3         1                                          4 720000        ST gg. sonstige strafrechtliche Nebengesetze -ohne Verkehrsdelikte-                          3              2         1                                          3 726000        ST gg. das Sprengstoff-, das Waffen- und das KriegswaffenkontrollG                           3              2         1                                          3 726200        ST gg. das Waffengesetz                                                                      3              2         1                                          3 730000        Rauschgiftdelikte -BtMG-                                                                     7              6         1                            2             5 731000        Allg. Verstöße gemäß § 29 BtMG (soweit nicht unter 7340 pp. zu erfassen)                     6              5         1                            1             5 731200        Allgemeiner Verstoß (§ 29 BtMG) - mit Kokain einschl. Crack                                  2              1         1                                          2 731202        Allg. Verstoß (§ 29 BtMG) - Kokain                                                           2              1         1                                          2 731600        Allg. Verstoß mit Amphet. u. Deriv. in Pulver-/flüss.-/Tabl.-/Kapself. (Ecstasy)             2              2                                      1             1
3899

Seite 120 von 133 Auszug aus der Polizeilichen Kriminalstatistik - Polizeiinspektion Potsdam Frage 20: Übersicht zur Alters- und Geschlechtsstruktur der ermittelten TV für Delikte der "Internetkriminalität" 2016 Schlüssel                                             Kurzbezeichnung Heran-          Er- Schlüssel                           gesamt          männl.     weibl.     Kinder   Jugdl. wachs.         wachs. 731601        Allg. Verstoß mit Amphet. u. Deriv. in Pulver- oder flüssiger Form                            1              1                                        1 731602        Allg. Verstoß mit Amphet. u. Deriv. in Tabl.- bzw. Kapselform (Ecstasy)                       1              1                                                       1 731800        Allg. Verstoß (§ 29 BtMG) - mit Cannabis und Zubereitungen                                    2              2                                                       2 732000        Unerl. Handel/Schmuggel mit/von Rauschgiften gemäß § 29 BtMG                                  1              1                                        1 732700        Unerl. Handel/Schmuggel Methamphet. in Pulver-/krist.-/flüss.-/Tabl.-/Kapselform              1              1                                        1 732710        Unerl. Handel mit Methamphet. in Pulver-/krist.-/flüss.-/Tabl.-/Kapselform                    1              1                                        1 732713        Unerl. Handel mit Methamphet. in Tabl.- bzw. Kapselform                                       1              1                                        1 890000        ST insgesamt, o. Verst. g. Aufenth.-, Asyl- u. FreizügigkeitsG/EU                           356            249        107        4        16         17            319 891000        Rauschgiftkriminalität                                                                        7              6          1                             2              5 893000        Wirtschaftskriminalität und zwar:                                                             3              3                                                       3 893100        Wikri bei Betrug                                                                              1              1                                                       1 893400        Wikri - Wettbewerbsdelikte                                                                    2              2                                                       2 894000        KFZ-Kriminalität                                                                              1              1                                                       1 896000        ST gegen Bestimmungen zum Schutze der Jugend                                                  3              3                                                       3 897000        Computerkriminalität                                                                         45             31         14                             1             44 897100        Computerbetrug                                                                               30             20         10                             1             29
3900

Zur nächsten Seite