GMBl Nr. 28 1966

Gemeinsames Ministerialblatt Nr. 28 vom 15. September 1966

/ 20
PDF herunterladen
Nr.28                                                 GMBI.1966                                                Seite 467

         Personenkreis               Oberste Dienstbehörde (§ 60 G 131)   Pensionsfestsetzungs- und Regelungsbehörde (§ 58 G 131)
                1                                    2                                               3

 9. Land Rheinland-Pfalz

    a) Angehörige der ehern.     Ministerium für Finanzen und             Oberfinanzdirektion Koblenz
       Reichssteuerverwaltung    Wiederaufbau,                             5400 Koblenz, Emil-Schüller-Straße         1~.
       und der Finanzverwal-     6500 Mainz,
       tungen fremder Staaten    Kaiser-Friedrich-Straße 1

   b) Angehörige der Justiz-     Ministerium der Justiz,                  Oberlandesgerichtspräsident
      verwaltung                 6500 Mainz, Ernst-Ludwig-Straße 3         5400 Koblenz, Stresemannstraße 1,
                                                                           6660 Zweibrücken, Schloßplatz.
                                                                           - je für ihren Dienstbereich -
    c) Angehörige der alten      Ministerium für Finanzen und             Bezirksregierung für Rheinhessen,
       Wehrmacht                 Wiederaufbau,                             6500 Mainz, Schillerstraße 44.
                                 6500 Mainz,
                                 Kaiser-Friedrich-Straße 1
    d) Berufssoldaten, berufs-                                            Bezirksregierung
       mäßige Angehörige des                                               5400 Koblenz, Stresemannstraße 3-5,
       Reichsarbeitsdienstes,                                              5500 Trier, Balduinstraße 10-12,
       Wehrmachtbeamte, An-                                                5430 Montabaur,
       gestellte und Arbeiter                                              für Rheinhessen, 6500 Mainz, Schillerstraße 44.
       der früheren Wehrmacht                                              der Pfalz, 6730 Neustadt (Weinstraße)
                                                                           - je für ihren Dienstbereich -
    e) übrige Versorgungs-       Fachminister                             wie d)
       empfänger

10. Saarland
   Alle Versorgungs-             Minister des Innern,                     Pensionsfestsetzungsbehörde :
   empfänger                     6600 Saarbrücken,                        Minister des Innern
                                 Hindenburgstraße 21                        6600 Saarbrücken, Hindenburgstraße 21.
                                                                          Pensionsregelungsbehörde :
                                                                          Oberfinanzdirektion
                                                                            6600 Saarbrücken 1, Am Neumarkt 15.

11. Land Schieswig-Hoistein
   Alle Versorgungs-             Innenminister,                           Pensionsamt Schleswig-Holstein,
   empfänger                     2300 Kiel, Landeshaus                      2300 Kiel, Sophienblatt 2.

                                                              111.
Für Angehörige der in der Anlage A zu § 2 G 131 aufgeführten Nichtgebietskörperschaften und sonstigen Einrichtungen

         Personenkreis
    Angehörige der Herkunfts-        Oberste Dienstbehörde (§ 60 G 131)   Pensionsfestsetzungs- und Regelungsbehörde (§ 58 G 131)
         einrichtungen
                                                     2                                               3

A. soweit durch besondere Gesetze geregelt:
 1. Nr. 11 der Anlage A          Vorstand der Bundesversicherungs-        wie nebenstehend
   zu §2                         anstalt für Angestellte,
   Reichsversicherungsanstalt    1000 Berlin 31, Ruhrstraße 2
   für Angestellte
 2. Nr.19 der Anlage A           Präsident der Deutschen Bundesbank,      Landeszentralbank in/im
   zu §2                         6000 Frankfurt (Main) 1,                   - Hauptverwaltung der Deutschen Bundes-
   Reichsbank                    Taunusanlage 4--6                          bank-
   Nationalbank für              Postfach 3611                            Baden-Würt'temberg
   Böhmen und Mähren                                                        7000 Stuttgart 1, Marstallstraße 3
   Ausländische Notenbanken                                                      (Postfach 207)
                                                                          Bayern
                                                                            8000 München 22, Ludwigstraße 13 (postfach)
                                                                          Berlin
                                                                            1000 Berlin 12, Leibnizstraße 7-10 (Postfach)
                                                                          Bremen
                                                                            2800 Bremen 1, Am Wall 122 (Postfach) 8)
                                                                          der Freien und Hansestadt Hamburg
                                                                            2000 Hamburg 1, Alter Wall 2-8 (Postfach 930)
11

Seite 468                                                GMBl.1966                                                         Nr.28


         Personenkreis
    Angehörige der Herkunfts-           Oberste Dienstbehörde (§ 60 G 131)        Pensionsfestsetzungs- und Regelungsbehörde (§ 58 G 131)
         einrichtungen
                                                                                                              3


                                                                                  Hessen
                                                                                    6000 Frankfurt (Main) 1,
                                                                                         Neue Mainzer Straße 47 (Postfach 2829)
                                                                                  Niedersachsen
                                                                                    3000 Hannover 1, Georgsplatz 5 (Postfach 245)
                                                                                  Nordrhein - West'falen
                                                                                    4000 Düsseldorf 1, Berliner Allee 14
                                                                                         (Postfach 1148)
                                                                                  Rheinland-Pfalz
                                                                                    6500 Mainz, Kaiserstraße 52 (Postfach 1583)
                                                                                  Saarland
                                                                                    6600 Saarbrücken, Keplerstraße 18
                                                                                         (Postfach 425)        .
                                                                                  Schieswig-Hoistein
                                                                                    2300 Kiel, Fleethörn 26 (Postfach 260)
                                                                                    - je für ihren Dienstbereich -
 3. Nr. 54 der Anlage A            Bundesminister der Justiz,                     Präsident des Bundesgerichtshofes
    zu §2                          5300 Bonn, Rosenburg                             7500 Karlsruhe, Herrenstraße 45 a
    Reichsrechtsanwalts-
    kammer




                    Personenkreis                         Oberste Dienstbehörde   (§   60 G 131)    Treuhänder oder Einrichtung, die die
        Angehörige der Herkunftseinrichtungen                                                      Aufgaben des Treuhänders wahrnimmt

                           1                                                 2


B. soweit durch Rechtsverordnungen nach § 61 Abs. 3 G 131 geregelt:

 1. Achte DV zum G 131                                   Minister für Wirtschaft, Mittel-          Der Treuhänder der öffentlich-recht-
   Nr. 14 der Anlage A zu § 2                            stand und Verkehr des Landes              lichen Lebens-, Unfall- und Haft-
                                                         N ordrhein -Westfalen,                    pflichtversicherungsanstal ten
   Öffentlich-rechtliche Lebensversicherungs-            4000 Düsseldorf, Haroldstraße 4           für das Gesetz zu Artikel 131 GG,
   anstalt. Ostpreußen                                   (dessen Befugnisse zur Fest-              4000 Düsseldorf,
   Lebensversicherungsanstal t Westpreußen               setzung und Regelung der                  Talstraße 25, Postfach 8024
   Schlesische Provinzial-Lebens-, Unfall- und           Versorgungsbezüge auf den
   Haftpflichtversicherungsanstalt                       Treuhänder (s. Spalte 3) über-
                                                         tragen sind)
   Pommersche Provinzial-Lebens-
   versicherunganstal t
   Provinzial-Lebensversicherungs anstalt
   Brandenburg
   Lebensversicherungsanstalt Sachsen-
   Thüringen-Anhalt
   ÖVA - Öffentliche Versicherungsanstalt
   der Sächsischen Sparkassen
   Öffentlich-rechtliche Sachversicherungs-
   anstalt der Sudetenländer
   (anteilig für die Versicherungszweige:
   Unfall, Haftpflicht und Kraftverkehr)
   Landesversicherungsanstalt in Brünn
   (anteilig für die Versicherungszweige:
   Leben, Unfall, Haftpflicht und Kraftverkehr)
   Öffentlich-rechtliche Lebens-
   versicherungsanstalt der Sudetenländer

 2. Neunte DV zum G 131                                  Senat der Freien und                      Der Treuhänder der öffentlich-recht-
    Nr. 15, 16 und 17 der Anlage A zu § 2                Hansestadt Hamburg,                       lichen Sachversicherungsanstal ten
                                                         Personal amt,                             für das Gesetz zu Artikel 131 GG,
    Anhaltische Landesbrandkasse in Dessau               2000 Hamburg 11, Steckelhörn 12           2000 Hamburg 13,
    Feuersozietät der Provinz Brandenburg                (dessen Befugnisse zur Fest-              Magdalenenstraße 2
    Städ tische Feuerversicherungsanstal t               stellung und Regelung der
    Breslau                                              Versorgungsbezüge auf den
    Danziger Feuersozietät                               Treuhänder (s. Spalte 3) über-
                                                         tragen sind)
    Mecklenburgische Landesbrandkasse
    Feuersozietät für die Provinz Ostpreußen
    Pommersche Feuersozietät
    Posensehe Feuersozietät
12

Nr.28                                           GMBl.1966                                                   Seite 469


                    Personenkreis                Oberste Dienstbehörde (§ 60 G 131)     Treuhänder oder Einrichtung, die die
       An/1ehörige der Herkunftseinrichtungen                                          Aufgaben des Treuhänders wahrnimmt

                                                                 2                                      3


   Rostocker Brandkasse
   Feuersozietät der Provinz Sachsen
   Sächsische Landes-Brandversicherungs-
   anstalt
   Abtl. Gebäudeversicherung
   AbU. Mobiliarversicherung
   Sächsischer Gemeindeschadenversicherungs-
   verband
   Schlesische Provinzial-Feuersozietät
   Thüringische Landesbrandversicherungs-
   anstalt
   Städtische Brandversicherungs-Gesellschaft
   Wismar
   Landesversicherungsanstalt in Brünn
   (anteilig für die Sachversicherungszweige,
   ausgenommen: Unfall, Haftpflicht und
   Kraftverkehr)
   Öffentlich-rechtliche Sachversicherungs-
   anstalt der Sudetenländer
   (anteilig für die Sachversicherungszweige,
   ausgenommen: Unfall, Haftpflicht und
   Kraftverkehr)
   Verband öffentlich-rechtlicher Feuer-,
   versicherungsanstalten in Deutschland
   Öffentlich-rechtlicher Hagelversicherungs-
   verband
   Öffentliche Sachversicherungsanstal t
   Westmark in Saarbrücken
   Allgemeine Versicherungsanstalt auf Gegen-
   seitigkeit in Warschau
3. Zehnte DV zum G 131                          Vorstand der Bundesversiche-
                                                rungsanstalt für Angestellte
   Nr. 12 der Anlage A zu § 2                   1000 Berlin 31, Ruhrstraße 2
   Allgemeine Pensionsanstalt in Prag (AP A)
   Pensionsanstalt der Privatbeamten
   in Preßburg, soweit sie die Pensions-
   versicherung der Angestellten durch-
   zuführen hatte
   Pensionsinstitut der tschechoslowakischen
   Zuckerindustrie in Prag
   Pensionsinstitut der Industriebeamten
   in Pr ag
   Pensionsinstitut der tschechoslowakischen
   Vorschußkassen in Prag
   Pensionsverein der deutschen Sparkassen
   in Prag
   Pensionsinstitut für die Angestellten der
   Sozialversicherungsanstalten in der
   Tschechoslowakei in Prag
4. Elfte DV zum G 131                           Minister für Wirtschaft, Mittel-      Deutscher Handwerkskammertag,
                                                stand und Verkehr des Landes          5300 Bonn, Johanniterstraße 1
   Nr. 1, 3 und 4 der Anlage A zu § 2           Nordrhein-Westfalen,
   Deutscher Handwerks- und Gewerbe-            4000 Düsseldorf, Haroldstraße 4
   kammertag                                    (dessen Befugnisse zur Fest-
   Handwerkskammern                             stellung und Regelung der
   Handwerkerinnungen                           Versorgungsbezüge auf den
                                                Treuhänder (s. Spalte 3) über-
   Kreishandwerkerschaften                      tragen sind)
5. Zwölfte DV zum G 131                         Befugnisse des Bundes-                Kassenzahnärztliche
   Nr. 48, 49 und 53 der Anlage A zu § 2        ministers für Arbeit und              Bundesvereinigung,
                                                Sozialordnung, Bonn,                  5000 Köln-Lindenthal,
   Kassendentistische Vereinigung               übertragen auf                        Universitätsstraße 73
   Deutschlands                                 Bundesversicherungsamt
   Kassenzahnärztliche Vereinigung              1000 Berlin 30,
   Deutschlands                                 Reichpietschufer 72-76
   Zahnärztekammer für Preußen                  (ausgenommen Befugnisse zur
                                                Festsetzung und Regelung der
                                                Versorgungsbezüge, die auf den
                                                Treuhänder (s. Spalte 3) über-
                                                tragen sind)
13

Seite 470                                        GMBl.1966                                                     Nr.28


                   Personenkreis                  Oberste Dienstbehörde (§ 60 G 131)    Treuhänder oder Einrichtung, die die
       Angehörige der Herkunftseinrichtungen                                           Aufgaben des Treuhänders wahrnimmt

                         1                                        2                                      3

6. Dreizehnte DV zum G 131                        Direktor des Landespersonal-         Arbeitsgemeinschaft der Berufs-
   Nr. 50 der Anlage A zu § 2                     amtes Hessen,                        vertretungen deutscher Apotheker,
   Reichsapothekerkammer                          6200 Wiesbaden,                      6000 Frankfurt (Main),
                                                  Frankfurter Straße 2                 Friedrich-Ebert-Anlage 42

7. Vierzehnte DV zum G 131                        Befugnisse des Bundes-               Kassenärztliche Bundesvereinigung,
   Nr. 47 der Anlage A zu § 2                     ministers für Arbeit und             5000 Köln-Lindenthal,
                                                  Sozialordnung, Bonn,                 Haedenkampstraße 3
   Kassenärztliche Vereinigung Deutschlands       übertragen auf
                                                  Bundesversicherungsamt
                                                  1000 Berlin 30,
                                                  Reichpietschufer 72-76
                                                  (ausgenommen Befugnisse zur
                                                  Festsetzung und Regelung der
                                                  Versorgungsbezüge, die auf den
                                                  Treuhänder (s. Spalte 3) über-
                                                  tragen sind)

 8. Fünfzehnte DV zum G 131                       Direktor des Landespersonal-         Deutsche Tierärzteschaft,
    Nr. 52 der Anlage A zu § 2                    amtes Hessen,                        6000 Frankfurt (Main)-Süd,
                                                  6200 Wiesbaden,                      Forsthausstraße 123
    Reichstierärztekammer                         Frankfurter Straße 2

 9. Sechzehnte DV zum G 131                       Bundesminister der Finanzen,         Pensionsfestsetzungs- und
    Nr. 34 der Anlage A zu § 2                    5300 Bonn,                           Regelungsbehörde:
                                                  Rheindorfer Straße 108               Deutsche Genossenschaftskasse,
    Deutsche Zentralgenossenschaftskasse                                               6000 Frankfurt (Main), Taunustor 3

10. Achtzehnte DV zum G 131                       Bayerisches Staatsministerium        Bundesarbeitsgemeinschaft
    Nr. 9 und 12 der Anlage A zu § 2              der Finanzen,                        der gemeindlichen Unfallversiche-
                                                  8000 München 22,                     rungsträger,
    Gemeindeunfallversicherungsverband            Odeonplatz 4                         8000 München 2, Barerstraße 24
      der Provinz Ostpreußen in Königsberg
      der Provinz Mark Brandenburg
      in Potsdam
      der Provinz Pommern in Stettin
      der Provinz Niederschlesien in Breslau
      der Provinz Oberschlesien in Königshütte
      der Provinz Sachsen in Merseburg
      Mecklenburg in Schwerin
      Wien in Wien
      Linz in Linz
      Salzburg in Salzburg
      Graz in Graz
      Sudetenland in Teplitz-Schönau
      Danzig-Westpreußen in Danzig
      Wartheland in Posen
      Westmark in Saarbrücken
    Sächsischer Gemeindeunfallversicherungs-
    verband in Dresden
    Thüringer Gemeindeunfallversicherungs-
    verband in Weimar
    Anhal tischer Gemeindeunfall versicherungs-
    verband in Dessau

11. Neunzehnte DV zum G 131                       Befugnisse des Bundes-               Arbeitsgemeinschaft der
    Nr. 8 und 12 der Anlage A zu § 2              ministers für Arbeit und             Knappschaften
    Reichsknappschaft                             Sozialordnung, Bonn,                 der Bundesrepublik Deutschland,
    Zentralbruderlade in Prag                     übertragen auf                       4630 Bochum,
    Sozialversicherungsanstalt Topoltschan        Bundesversicherungsamt               Wilhelm-Stumpf-Straße 70
    Bruderlade Jugoslawien                        1000 Berlin 30,
    Bruderlade Ungarn                             Reichpietschufer 72-76
    Bruderlade Rumänien                           (ausgenommen Befugnisse zur
    Pensionsinstitut der Ferdinands-Nordbahn      Festsetzung und Regelung der
    in Mährisch-Ostrau                            Versorgungsbezüge, die auf den
                                                  Treuhänder (s. Spalte 3) über-
                                                  tragen sind)

12. Einundzwanzigste DV zum G 131                 Befugnisse des Bundes-               Hauptverband der gewerblichen
    Nr.9 und 12 der Anlage A zu § 2               ministers für Arbeit und             Berufsgenossenschaften e. V.,
    Mitteldeutsche Eisen- und Stahl-              Sozialordnung, Bonn,                 5300 Bonn, Langwartweg 103
    Berufsgenossenschaft, Leipzig                 übertragen auf
14

Nr.28                                             GMBI.1966                                                  Seite 471


                   Personenkreis                   Oberste Dienstbehörde (§ 60 G 131)    Treuhänder oder Einrichtung, die die
       Angehörige der Herkunftseinrichtungen                                            Aufgaben des Treuhänders wahrnimmt

                         1                                         2                                      3

   Nordöstliche Eisen- und Stahl-Berufs-          Bundesversicherungsamt
   genossenschaft, Berlin                         1000 Berlin 30,
   Schlesische Eisen- und Stahl-Berufs-           Reichpietschufer 72-76
   genossenschaft, Breslau                        (ausgenommen Befugnisse zur
   Ostmärkische Eisen- und Metall-                Festsetzung und Regelung der
   Berufsgenossenschaft, Wien                     Versorgungsbezüge, die auf die
   Arbeiterunfallversicherungsanstal ten          nach § 3 Abs. 1 der 21. DV
   in Prag und Brünn                              zuständigen Aufnahmeeinrich-
   Unfallversicherungsanstalt Lemberg             tungen übertragen sind)
   Estnische Arbeiter-Unfallversicherungs-
   Genossenschaft in Reval

13. Zweiundzwanzigste DV zum G 131                Befugnisse des Bundes-                Bundesverband der landwirtschaft-
    Nr. 9 und 12 der Anlage A zu § 2              ministers für Arbeit und              lichen Berufsgenossenschaften e. V.,
                                                  Sozialordnung, Bonn,                  3500 Kassel, Goethestraße 21
    Ostpreußische landwirtschaftliche Berufs-     übertragen auf       .
    genossenschaft in Königsberg                  Bundesversicherungsamt
    Brandenburgische landwirtschaftliche          1000 Berlin 30,
    Berufsgenossenschaft in Potsdam               Reichpietschufer 72-76
    Pommersche landwirtschaftliche Berufs-        (ausgenommen Befugnisse zur
    genossenschaft in Stettin                     Festsetzung und Regelung der
    Landwirtschaftliche Berufsgenossenschaft      Versorgungsbezüge, die auf die
    für die Provinz Sachsen in Merseburg          nach § 3 Abs. 1 der 22. DV
    Verwaltungsstelle in Metz                     zuständigen Aufnahmeeinrich-
      der landwirtschaftlichen Berufsgenossen-    tungen übertragen sind)
      schaft Westmark in Speyer
    Sächsische landwirtschaftliche Berufs-
    genossenschaft in Dresden
    Anhaltische landwirtschaftliche Berufs-
    genossenschaft in Dessau
    Niederschlesische landwirtschaftliche
    Berufsgenossenschaft in Breslau
    Oberschlesische landwirtschaftliche
    Berufsgenossenschaft in Königshütte
    Mecklenburgische landwirtschaftliche
    Berufsgenossenschaft in Schwerin
    Thüringische land- und forstwirtschaftliche
    Berufsgenossenschaft in Weimar
    Landwirtschaftliche Berufsgenossenschaft
      Wien-Niederdonau in Wien
      Oberdonau in Linz
      Steiermark-Kärten in Graz
      Alpenland in Salzburg mit Außenstelle
      in Innsbruck
      Danzig-Westpreußen in Danzig
      Wartheland in Posen
    Sudetendeutsche landwirtschaftliche Berufs-
    genossenschaft in Teplitz-Schönau

14. Dreiundzwanzigste DV zum G 131                Befugnisse des Bundes-                Treuhänder nach § 7 der 23. DV
    Nr. 7, 12, 13 und 18 der Anlage A zu § 2      ministers für Arbeit und              zum G 131,
    Krankenkassen der Reichsversicherung:         Sozialordnung, Bonn,                  5320 Bad Godesberg,
    a) Ortskrankenkassen                          übertragen auf                        Scharnhorststraße 4
    b) Landkrankenkassen                          Bundesversicherungsamt
    c) Innungskrankenkassen
                                                  1000 Berlin 30,
    Reichsverbände der Orts-, Land- und           Reichpietschufer 72-76
    Innungskrankenkassen                          (ausgenommen Befugnisse zur
    Kassenverbände                                Festsetzung und Regelung der
    Versorgungskasse der Träger der               Versorgungsbezüge, die auf den
    Reichsversicherung in Berlin                  Treuhänder und den Bundes-
    Einrichtungen der gesetzlichen Versicherung   verband der Betriebskranken-
    (Sozialversicherung) mit Körperschaftsrech-   kassen (s. Spalte 3) übertragen
    ten in Böhmen und Mähren und in anderen       sind)
    fremden Staaten,
    insbesondere
    Bezirkskrankenversicherungsanstalten
    in Böhmen und Mähren
    Landwirtschaftliche Krankenversicherungs-
    anstalten in Böhmen und Mähren
    Genossenschafts- (Gremial-) Kranken-
    versicherungsanstalten in Böhmen und
    Mähren
    Krankenversicherungsanstalt der Privat-
    angestellten in Pr ag
15

Seite 472                                       GMBl.1966                                                         Nr.28


                    Personenkreis                Oberste Dienstbehörde   (§   60 G 131)    Treuhänder oder Einrichtung, die die
        Angehörige der Herkunftseinrichtungen                                             Aufgaben des Treuhänders wahrnimmt

                                                                2                                           3


   Reichsverband der deutschen
   Krankenversicherungsanstalt in Prag
   Vereinigung deutscher Kranken-
   versicherungsanstalten in Prag
   (Sitz Karlsbad)
   Landesverband der Mährisch-Schlesischen
   Krankenversicherungsanstal ten
   in Mährisch-Ostrau
   Zentralverband der Krankenversicherungs-
   anstalten in Prag
   Tschechoslowakische Zentrale der Kranken-
   versicherungsanstalten in Prag
   Vereinigung der landwirtschaftlichen
   KrankenversicherungsanstaIten in Prag
   Zentralverband der tschechischen Kranken-
   versicherungsanstalten in Prag
   Krankenversicherungsanstalt der Metall-
   industrie in Prag
   Allgemeine Krankenversicherungsanstalt
   in Prag
   Pensionsanstalt der Privatbeamten
   in Preßburg, soweit sie die Kranken-
   versicherung der Privatangestellten
   in höheren Diensten durchzuführen hatte
   Arbeitersozialversicherungsanstal t
   in Preßburg (Slowakei)
   Landessozialversicherungsanstalt
   in Ungarn
   Sozialversicherungskassen
   der Republik Polen
   Zentrale Arbeiterversicherung
   in Jugoslawien
   (mit Bezirks- und Kreisämtern)
   Sozialversicherungskassen in Rumänien
   Allgemeine Krankenkassen Lettlands
   und deren Verbände
   Vereinigte Krankenkassen in Reval
   (Estland)
   Reichsverband der Betriebskrankenkassen                                                Bundesverband der Betriebs-
                                                                                          krankenkassen,
                                                                                          4300 Essen, Kronprinzenstraße 6

15. Vierundzwanzigste DV zum G 131               Befugnisse des Bundes-                   Verband deutscher Rentenversiche-
    Nr. 10 und 12 der Anlage A zu § 2            ministers für Arbeit und                 rungsträger e. V.,
                                                 Sozialordnung, Bonn,                     6000 Frankfurt (Main),
    Landesversicherungsanstalten (Abteilung                                               Eysseneckstraße 55
    Invalidenversicherung und Abteilung          übertragen auf
    Krankenversicherung)                         Bundesversicherungsamt
    Gemeinschaftsstelle der Landes-              1000 Berlin 30,
    versicherungsanstalten, Berlin               Reichpietschufer 72-76
    Zentral-Sozial versicherungsanstal t Pr ag   (ausgenommen Befugnisse zur
    (mit Amtsstelle in Preßburg)                 Festsetzung und Regelung der
                                                 Versorgungsbezüge, die auf die
                                                 nach § 3 Abs. 1 der 24. DV
                                                 zuständigen Aufnahmeeinrich-
                                                 tungen übertragen sind)

16. Sechsundzwanzigste DV zum G 131              Bundesminister für Ernährung,            Pensionsfestsetzungs- und
    Nr. 94 der Anlage A zu § 2                   Landwirtschaft und Forsten               Regelungsbehörde ;
                                                 5300 Bonn-Duisdorf,                      Landwirtschaftliche Rentenbank,
    Deu tsche Rentenbank - Kreditanstalt         Bonner Straße                            6000 Frankfurt (Main), Hochstraße 2

17. Siebenundzwanzigste DV zum G 131             Minister für Wirtschaft, Mittel-         Deutscher Industrie- und Handelstag
    Nr. 2 und 80 der Anlage A zu § 2             stand und Verkehr des Landes             - Treuhandstelle -,
    Industrie- und Handelskammern                N ordr hein-Westfalen,                   5300 Bonn, Koblenzer Straße 148
    Handels- und Gewerbekammern                  4000 Düsseldorf, Haroldstraße 4
    Handelsgremien in der Tschechoslowakei       (dessen Befugnisse zur Fest-
    Rigaer Börsenverein                          setzung und Regelung der
    Rigaer Börsenkomitee                         Versorgungsbezüge auf den
    Litauische Handels-, Industrie- und          Treuhänder (s. Spalte 3) über-
    Handwerkskammer (anteilig für die Dienst-    tragen sind)
    angehörigen der Handelskörperschaft und
    Industriekörperschaft)
    Libauer Börsenverein
    Libauer Börsenkomitee
16

Nr.28                                                     GMB1.1966                                                     Seite 473


                    Personenkreis                          Oberste Dienstbehörde (§ 60 G 131)       Treuhänder oder Einrichtung, die die
        Angehörige der Herkunftseinrichtungen                                                      Aufgaben des Treuhänders wahrnimmt

                                                                                 2                                   3


18. Achtundzwanzigste DV zum G 131                     Minister für Wirtschaft, Mittel-           Deutscher Sparkassen- und Giro-
    Nr. 20, 20 a, 21, 22, 38, 88 und 116               stand und Verkehr des Landes               verband e. V.,
    der Anlage A zu § 2                                NOTdrhein-Westfalen,                       5300 Bonn, Buschstraße 32
    Öffentliche Sparkassen                             4000 Düsseldorf, Haroldstraße 4
    Böhmische Sparkasse, Prag                          (dessen Befugnisse zur Fest-
                                                       setzung und Regelung der
    Erste Mährische Sparkasse, Brünn
    Deutscher Sparkassen- und Giroverband              Versorgungsbezüge auf den
    Regionale Sparkassen- und Giroverbände             Treuhänder (s. Spalte 3) über-
                                                       tragen sind)
    Landwirtschaftliche Bezirksvorschußkassen
    in Böhmen
    Verband der Landwirtschaftlichen Bezirks-
    vorschußkassen in Teplitz-Schönau
    Stadt-Diskonto-Bank, Riga
    Landesbausparkasse Sachsen, Dresden

         Personenkreis
    Angehörige der Herkunfts-           Oberste Dienstbehörde   (§   60 G 131)       Pensionsfestsetzungs- und Rege]ungsbehörde   (§   58 G 131)
         einrichtungen

                                                       2                                                      3


19. Dreißigste DV zum G 131        1. für die in § 18 Abs. 1 Satz 2 des Reichsnährstandsabwicklungsgesetzes bezeichnet'en
     Nr. 5 und 6 der Anlage A         Personen mit Wohnsitz
     zu § 2
                                       a) im Geltungsbereich des G 131
     Reichsnährstand,
     Hauptabteilung I, II, III,    in Baden-Württemberg                              Regierungspräsidium
     Landwirtschaftskammern,       Finanzministerium,                                 N ordwürttemberg,
     Bauernkammern,                7000 Stuttgart 1, Neues Schloß                     7000 Stuttgart 1, Heustraße 1,
     Landwirtschaftlicher                                                             Nordbaden,
     Verein in Bayern                                                                 7500 Karlsruhe, Schloßplatz 1,
     Siebenbürgisch-sächsischer                                                       Südbaden,
     Landwirtschaftsverein                                                            7800 Freiburg (Breisgau), Bertholdstraße 43,
   _ in Hermannstadt                                                                  Südwürttemberg-Hohenzollern, Abt. II,
                                                                                      7400 Tübingen, Nauklerstraße 47.
                                                                                      - je für ihren Dienstbereich -

                                   in Bayern                                         Bezirksfinanzdirektion München,
                                   Bayerisches Staatsministerium                      8000 München 62,
                                   der Finanzen,                                       8000 München 22, Alexandrastraße 3
                                   8000 München 22, Odeonsplatz 4

                                   in Berlin                                         Landesverwaltungsamt Berlin,
                                   Senator für Inneres,                               - Abteilung II -
                                   1000 Berlin 31, Fehrbelliner Platz 2                1000 Berlin 31, Fehrbelliner Platz 1.

                                   in Bremen                                         wie nebenstehenrl
                                   Senatskommission für das
                                   Personalwesen,
                                   2800 Bremen, Auf der Brake 1

                                   in Hamburg                                        Senat der Freien und Hansestadt Hamburg
                                   Senat der Freien und Hansestadt                   - Personalamt -, Besoldungs- und
                                   Hamburg - Personalamt -,                          Versorgungs stelle,
                                   2000 Hamburg 11, Steckelhörn 12                     2000 Hamburg 36, Große Bleichen 23-27,

                                   in Hessen                                         Regierungspräsident
                                   Hessischer Minister der Finanzen,                  6100 Darmstadt, Luisenplatz 2,
                                   6200 Wiesbaden,                                    3500 Kassel, Kassel-W ilhelmshöhe,
                                   Friedrich-Ebert-Allee 8                                 Wal ter-Schücking -Pla tz,
                                                                                      6200 Wiesbaden, Taunusstraße 51.
                                                                                      - je für ihren Dienstbereich -

                                   in Niedersachsen                                  Niedersächsisches Landesverwal tungsam t
                                   Niedersächsischer Minister                         3000 Hannover, Auestraße 14,
                                   der Finanzen,
                                   3000 Hannover, Schiffgraben 6
                                   Niedersächsischer Minister
                                   des Innern,
                                   3000 Hannover, Lavesallee 6
                                   - nach besonderer Geschäfts-
                                   verteilung -
17

Seite 474                                                GMBl.1966                                                    Nr.28

           Personenkreis
      Angehörige der Herkunfts-           Oberste Dienstbehörde (§ 60 G 131)    Pensionsfestsetzungs- und Regelungsbehörde (§ 58 G 131)
           einrichtungen
                                                          2                                                3


                                      in Nordrhein-Westfalen                     Landesamt für Besoldung und Versorgung
                                      Minister für Ernährung, Land-               Nordrhein - Westfalen,
                                      wirtschaft und Forsten,                     4000 Düsseldorf, Bastionstraße 39
                                      4000 Düsseldorf, Roß straße 135

                                      in Rheinland-Pfalz                        Bezirksregierung
                                      Ministerium für Landwirtschaft,             5400 Koblenz, Stresemannstraße 3-5,
                                      Weinbau und Forsten,                        5500 Trier, Balduinstraße 10-12,
                                      6500 Mainz, Große Bleiche 55                5430 Montabaur,
                                                                                für Rheinhessen,
                                                                                  6500 Mainz, Schillergasse 44,
                                                                                der Pfalz,
                                                                                  6730 Neustadt (Weinstraße),
                                                                                  - je für ihren Dienstbereich -

                                      im Saarland                               wie nebenstehend
                                      Minister des Innern,
                                      6600 Saarbrücken,
                                      Hindenburgstraße 21

                                      in Schleswig-Holstein                     Pensionsamt Schleswig-Hoistein,
                                      Innenminister,                              2300 Kiel, Sophienblatt 2
                                      2300 Kiel, Landeshaus
                                         b) außerhalb des Geltungsbereiches des G 131
                                            (vgl. Abschnitt IV Satz 1)
                                      Minister für Ernährung, Land-              Landesamt für Besoldung und Versorgung
                                      wirtschaft und Forsten des Landes           N ordr hein -Westfalen,
                                      Nordrhein-Westfalen                         4000 Düsseldorf, Bastionstraße 39
                                      4000 Düsseldorf, Roßstraße 135

                                      2. für die in § 18 Abs. 1 Satz 1 des Reichsnährstandsabwicklungsgesetzes bezeichneten
                                         Personen mit Wohnsitz
                                         a) im Geltungsbereich des G 131
                                      wie zu la                                I wie zu 1 a
                                         b) außerhalb des Gelt'ungsbereiches des G 131
                                            (vgl. Abschnitt IV Satz 1)
                                      Bundesverwaltungsamt,                     für im Sowjetsektor oder in den Randgebieten
                                      5000 Köln, Habsburgerring 9                 von Berlin wohnende Personen:
                                                                                wie nebenstehend,
                                                                                im übrigen:
                                                                                  Oberfinanzdirektion Düsseldorf,
                                                                                  4000 Düsseldorf, Jürgensplatz 1




c.   Soweit nicht in vorstehenden Unterabschnitten A und B aufgeführt:

                                      Die in Abschnitt 11 aufgeführten obersten Dienstbehörden und Pensionsfestsetzungs-
                                      und Regelungsbehörden, falls sich aus Nachstehendem nicht etwas anderes ergibt:
 1. frühere Angehörige der in         in Nordrhein-Westfalen                     Der Direktor des Landwirtschaftsverbandes
      Nm. 4, 23 bis 33, 35 bis 37,    Innenminister des Landes Nordrhein-        Rheinland
      39 bis 46, 51, 55 bis 87, 89    Westfalen,                                  - Rheinische Versorgungskasse -
      bis 93, 95 bis 115, 117, 118,   4000 Düsseldorf,                            5000 Köln-Deutz, Mindener Straße 2
      120 bis 133 der Anlage A        Elisabethstraße 6-11                        für Personen mit Wohnsitz in Nordrhein
      zu § 2 aufgeführten Her-                                                   Westfälisch-Lippische Versorgungskasse
      kunftseinrichtungen, soweit                                                 4400 Münster (Westf.), Piusallee 1
      diese nicht bereits in Un-                                                  für Personen mit Wohnsitz in Westfalen-Lippe
      terabschnitt A und B auf-
      geführt sind
 2. frühere Angehörige der in         in Nordrhein-Westfalen                    Landesamt für Besoldung und Versorgung
    Nr. 119 der Anlage A zu § 2       Minister für Ernährung, Landwirt-          Nordrhein -Westfalen,
    aufgeführten Herkunfts-           schaft und Forsten des Landes              4000 Düsseldorf, Bastionstraße 39
    einrichtungen                     N ordrhein-Westfalen,
                                      4000 Düsseldorf, Roßstraße 135
18

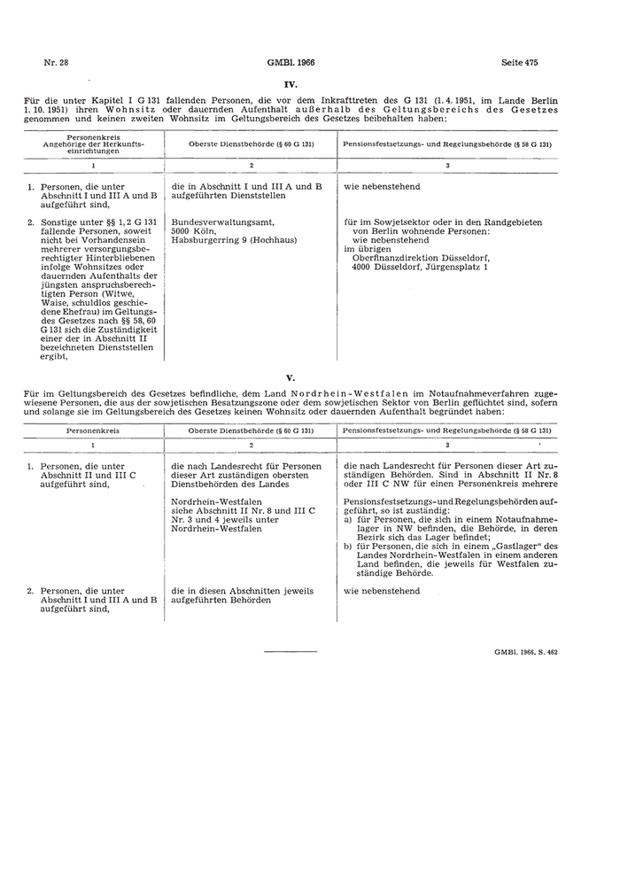
Nr.28                                                  GMBl.1966                                                Seite 475

                                                                IV.
Für die unter Kapitel I G 131 fallenden Personen, die vor dem Inkrafttreten des G 131 (1. 4. 1951, im Lande Berlin
1.10.1951) ihren Wohnsitz oder dauernden Aufenthalt außerhalb des Geltungsbereichs des Gesetzes
genommen und keinen zweiten Wohnsitz im Geltungsbereich des Gesetzes beibehalten haben:

         Personenkreis
    Angehörige der Herkunfts-         Oberste Dienstbehörde (§ 60 G 131)   Pensionsfestsetzungs- und Regelungsbehörde (§ 58 G 131)
         einrichtungen




1. Personen, die unter            die in Abschnitt I und 111 A und B       wie nebenstehend
   Abschnitt I und 111 A und B    aufgeführten Dienststellen
   aufgeführt sind,

2. Sonstige unter §§ 1,2 G 131    Bundesverwal tungsamt,                   für im Sowjetsektor oder in den Randgebieten
   fallende Personen, soweit      5000 Köln,                                 von Berlin wohnende Personen:
   nicht bei Vorhandensein        Habsburgerring 9 (Hochhaus)                wie nebenstehend
   mehrerer versorgungsbe-                                                 im übrigen
   rechtigter Hinterbliebenen                                                Oberfinanzdirektion Düsseldorf,
   infolge Wohnsitzes oder                                                   4000 Düsseldorf, Jürgensplatz 1
   dauernden Aufenthalts der
   jüngsten anspruchsberech-
   tigten Person (Witwe,
   Waise, schuldlos geschie-
   dene Ehefrau) im Geltungs-
   des Gesetzes nach §§ 58, 60
   G 131 sich die Zuständigkeit
   einer der in Abschnitt 11
   bezeichneten Dienststellen
   ergibt,

                                                                V.
Für im Geltungsbereich des Gesetzes befindliche, dem Land Nordrhein-Westfalen im Notaufnahmeverfahren zuge-
wiesene Personen, die aus der sowjetischen Besatzungszone oder dem sowjetischen Sektor von Berlin geflüchtet sind, sofern
und solange sie im Geltungsbereich des Gesetzes keinen Wohnsitz oder dauernden Aufenthalt begründet haben:

         Personenkreis                Oberste Dienstbehörde (§ 60 G 131)   Pensionsfestsetzungs- und Regelungsbehörde (§ 58 G 131)




1. Personen, die unter            die nach Landesrecht für Personen        die nach Landesrecht für Personen dieser Art zu-
   Abschnitt 11 und 111 C         dieser Art zuständigen obersten          ständigen Behörden. Sind in Abschnitt 11 Nr. 8
   aufgeführt sind,               Dienstbehörden des Landes                oder 111 C NW für einen Personenkreis mehrere

                                  N ordrhein-Westfalen                     Pensionsfestsetzungs- und Regel ungspehörden auf-
                                  siehe Abschnitt II Nr. 8 und 111 C       geführt, so ist zuständig:
                                  Nr. 3 und 4 jeweils unter                a) für Personen, die sich in einem Notaufnahme-
                                  N ordr hein - Westfalen                     lager in NW befinden, die Behörde, in deren
                                                                              Bezirk sich das Lager befindet;
                                                                           b) für Personen, die sich in einem "Gastlager" des
                                                                              Landes Nordrhein-Westfalen in einem anderen
                                                                              Land befinden, die jeweils für Westfalen zu-
                                                                              ständige Behörde.

2. Personen, die unter            die in diesen Abschnitten jeweils        wie nebenstehend
   Abschnitt I und 111 A und B    aufgeführten Behörden
   aufgeführt sind,



                                                                                                                   GMBI. 1966, S. 462
19

Seite 476                                              GMBl.1966                                                Nr.28

                                              Einunddreißigste Verordnung
                                       zur Durchführung des Gesetzes zur Regelung
                                       der Rechtsverhältnisse der unter Artikel 131
                                          des Grundgesetzes fallenden Personen
                                                  Vom 17. August 1966 1)

  Auf Grund des § 2 Abs. 1 des Gesetzes zur Regelung                    nuar 1933 im Reichsgebiet bestehenden Nicht-
der RechtsverhäItnisse der unter Artikel 131 des Grund-                 gebietskörperschaft gleichzuachten war
gesetzes fallenden Personen in der Fassung der Be-                 133. Volksbund der Deutschen in Ungarn, soweit
kanntmachung vom 21. August 1961 (Bundesgesetzbl. I                     sein im Heimatstaat anerkannter Aufgaben-
S. 1578) in Verbindung mit Artikel 12 Nr. 1 des Haus-                   kreis dem einer Reichs-, Länder- oder Ge-
haltssicherungsgesetzes vom 20. Dezember 1965 (Bun-                     meindedienststelle oder einer am 30. Januar
desgesetzbl. I S. 2065) verordnet die Bundesregierung                   1933 im Reichsgebiet bestehenden Nichtge-
mit Zustimmung des Bundesrates:                                         bietskörpersch.aft gleichzuachten war".

                              §1
                                                                                          §2
  Die Anlage A zu § 2 Abs. 1 des Gesetzes wird wie              Diese Verordnung gilt nach § 14 des Dritten über-
folgt ergänzt:
                                                              leitungsgesetzes vom 4. Januar 1952 (Bundesgesetz-
a) In Nummer 6 werden ein Komma und folgende                  blatt I S. 1) in Verbindung mit Artikel IV des Ersten,
   Worte angefügt:                                            Artikel VII des Zweiten und Artikel V des Dritten Ge-
      "Siebenbürgisch-sächsischer Landwirtschaftsver-         setzes zur Änderung des Gesetzes zur Regelung der
      ein in Hermannstadt";                                   Rechtsverhältnisse der unter Artikel 131 des Grund-
                                                              gesetzes fallenden Personen vom 19. August 1953 (Bun-
b) in Nummer 80 werden ein Komma und folgende                 desgesetzbl. I S. 980), vom 11. September 1957 (Bundes-
   Worte angefügt:                                            gesetzbl. I S. 1275) und vom 21. August 1961 (Bundes-
   "Libauer Börsenverein, Libauer Börsenkomitee";             gesetzbl. I S. 1557) auch im Land Berlin.
c) in Nummer 84 werden ein Komma und folgende
   Worte angefügt:                                                                        §3
      "soweit ihr im Heimatstaat anerkannter Aufgaben-          (1) Diese Verordnung tritt vorbehaltlich der Regelung
      kreis dem einer Reichs-, Länder- oder Gemeinde-         in Satz 2 mit Wirkung vom 1. April - in Berlin mit
      dienststeIle oder einer am 30. Januar 1933 im           Wirkung vom 1. Oktober - 1951, § 1 Buchstaben a, c, e
      Reichsgebiet    bestehenden   Nichtgebietskörper-       (Nummern 131 bis 133 der Anlage A) jedoch erst mit
      schaft gleichzuachten war";
                                                              Wirkung vom 1. September 1953 in Kraft. Im Saarland
d) in Nummer 98 wird das Wort "Eigenbetrieb" durch            tritt diese Verordnung mit Wirkung vom 6. Juli 1959
   das Wort "Eigenbetriebe" ersetzt;                          in Kraft.
e) hinter Nummer 122 werden folgende Nummern an-                (2) Zahlungen auf Grund der Ergänzung der An-
   gefügt:                                                    lage A zu § 2 Abs.1 des Gesetzes durch § 1 dieser Ver-
    ,,123. Deutsche Girozentrale -      Deutsche Kom-         ordnung werden nur auf Antrag gewährt, und zwar
           munalbank -                                        vom Ersten des Monats ab, in dem der Antrag gestellt
                                                              worden ist. Anträge auf Zahlungen, die bis zum Ablauf
      124. Deutsche Landesrentenbank
                                                              von drei Monaten nach Ende des Monats gestellt wer-
      125. Preußische Landespfandbriefanstalt                 den, in dem diese Verordnung verkündet worden ist,
      126. Deutsche Siedlungsbank                             gelten als im Zeitpunkt des Inkrafttretens der Verord-
      127. Stadt- und Girobank Leipzig                        nung gestellt.
      128. Zentralwirtschaftsbank in Rowno
      129. Offizierkleiderkasse der Kriegsmarine
                                                              Bonn, den 17. August 1966
      130. Kleiderkasse der Offiziere und der Beamten
           des Reichsheeres (Heereskleiderkasse)
      131. Deutsches Theologisch-Philosophisches Lu-                         Für den Bundeskanzler
           therinstitut in Dorpat (ohne Evangelistische              Der Bundesminister für Gesundheitswesen
           Abteilung)                                                                 Schwarzhaupt
      132. Deutsche Volksgruppen in Jugoslawien, so-
           weit ihr im Heimatstaat anerkannter Auf-                     Für den Bundesminister des Innern
           gabenkreis dem einer Reichs-, Länder- oder                Der Bundesminister für Gesundheitswesen
           Gemeindedienststelle oder einer am 30. Ja-
                                                                                      Schwarzhaupt
') (Verkündet im Bundesgesetzbl. I S. 511)                                                            GMBI. 1966, S. 476
20