nkf-handreichung7

Dieses Dokument ist Teil der Anfrage „NKF-Handreichung für Kommunen

/ 4808
PDF herunterladen
NEUES KOMMUNALES FINANZMANAGEMENT
                                       KOMMUNALE FINANZSTATISTIK



                                    Die Qualitätskriterien der Finanzstatistik


                    -        Örtliche objektive Kriterien.


                    -        Gewährleistung als Richtigkeit der Informationen.


                    -        Zusammenhang als Verbindung zwischen Art und Aufgabe.

                            Abbildung 956 „Die Qualitätskriterien der Finanzstatistik“

Die statistischen Daten ermöglichen den Aufbau von Handlungsgrundlagen für notwendige zukunftsbezogene
Entscheidungen. Sie sind jedoch in ihrer Qualität sehr stark von den haushaltswirtschaftlichen Abläufen, der Er-
fassung und Bearbeitung bei den Gemeinden abhängig. Die weitere Entwicklung der Anforderungen an die Ge-
meinden unter Berücksichtigung europäischer Erfordernisse bleibt abzuwarten.



1.2 Das europäische Statistikbedürfnis

1.2.1 Allgemeine Grundlagen

Das Finanz- und Personalstatistikgesetz des Bundes soll den neuen Entwicklungen im öffentlichen Rechnungs-
wesen ausreichend Rechnung tragen und für die laufende Verwaltungstätigkeit der Gemeinden eine Erfassung
unter Berücksichtigung der Rechengrößen „Erträge“ und „Aufwendungen“ sowie des „Europäischen Systems
Volkswirtschaftlicher Gesamtrechnungen“ (ESVG 2010) ermöglichen. Mit der Verordnung 549/2013 wurde das
Europäische System Volkswirtschaftlicher Gesamtrechnungen 2010 (ESVG 2010) eingeführt.

Die EU hat dabei eine Methodik (Anhang A) für die gemeinsamen Normen, Definitionen, Klassifikationen und
Buchungsregeln, die zur Erstellung von Konten und Tabellen auf vergleichbaren Grundlagen für die Zwecke der
Union festgelegt sowie ein Programm (Anhang B) mit den Fristen, innerhalb deren die Mitgliedstaaten der Kom-
mission (EuroStat) die zu erstellenden Konten und Tabellen zu übermitteln haben. Die Übermittlung von Daten
dabei durch die Verordnung (EG) Nr. 223/2009 des Europäischen Parlaments und des Rates vom 11. März 2009
über europäische Statistiken näher bestimmt worden.

Für die EU ist es nach den Erwägungen zur ESVG 2010 wichtig, die Bedeutung der Volkswirtschaftlichen Gesam-
trechnungen der Mitgliedstaaten auf regionaler Ebene für die Politik der Union zur Förderung des regionalen,
wirtschaftlichen und sozialen Zusammenhalts sowie die Analyse der Interdependenzen zwischen den Volkswirt-
schaften aufzuzeigen. Darüber hinaus soll die Transparenz der Volkswirtschaftlichen Gesamtrechnungen auf
regionaler Ebene, einschließlich der öffentlichen Rechnungslegung, verbessert werden. Eurostat soll daher den
Haushaltsdaten von Regionen in den Mitgliedstaaten, die über autonome Regionen oder Regierungen verfügen,
besondere Aufmerksamkeit widmen. Diese Aufgabe wird sich auch auf die Gemeinden in Nordrhein-Westfalen
auswirken.

Ein Beispiel dafür ist die in volkswirtschaftlicher Hinsicht vorzunehmende Trennung zwischen Mieten und Pach-
ten, denn die daraus entstehenden Zahlungen werden bei der Gemeinde unter einem Erhebungsmerkmal erfasst.
Der Unterschied zwischen diesen beiden zivilrechtlichen Formen besteht darin, dass Mieten als Dienstleistungs-
entgelte klassifiziert werden, weil der Eigentümer dem Mieter ein Gebäude oder eine der Wohnung zur Nutzung
zur Verfügung stellt. Pachten stellt volkswirtschaftlich dagegen eine Form des Vermögenseinkommens dar, weil
z. B. ein Grundstück als natürliche Ressource nutzbar gemacht worden ist. Gleichwohl wird Mieten von auf ge-
pachtetem Grund und Boden befindlichen Gebäuden und Wohnungen dadurch nicht ausgeschlossen. Im Rah-
men der „ESVG 2010“ ist dazu vorgesehen, „fehlt eine objektive Basis für die Aufteilung der Zahlungen in Pacht




FINANZSTATISTISCHE ERHEBUNGSMERKMALE                         4567
4567

NEUES KOMMUNALES FINANZMANAGEMENT
                                         KOMMUNALE FINANZSTATISTIK

und in Miete für die auf dem Grund und Boden befindlichen Gebäude, so wird der Gesamtbetrag nach dem ge-
schätzten Schwerpunkt entweder dem Pachteinkommen oder der Miete zugerechnet“.



1.2.2 Der Verhaltenskodex

Im Zusammenhang mit den europäischen Informationsbedürfnissen, die nicht unmittelbar durch die Gemeinde zu
erfüllen sind, steht der „Verhaltenskodex für Europäische Statistiken“, der für die statistischen Stellen gelten soll.
Er enthält fünfzehn Grundsätze für den institutionellen Rahmen, die statistischen Prozesse und die statistischen
Produkte. Der Verhaltenskodex wurde im Februar 2005 vom Ausschuss für das Europäische Statistische System
(Ess-Ausschuss) angenommen und in der Empfehlung der Kommission KOM (2005) 217 zur Unabhängigkeit,
Integrität und Rechenschaftspflicht der nationalen und gemeinschaftlichen statistischen Stellen verkündet. Zu
diesem Kodex gehören folgende Grundsätze (vgl. Abbildung 957).



                                Der Verhaltenskodex für europäische Statistiken


                     GRUNDSÄTZE                                          INHALTE

                                                 Die statistischen Stellen sollen eine fachliche Unabhän-
                Fachliche Unabhängigkeit         gigkeit gegenüber anderen politischen Stellen oder Ver-
                                                 waltungsstellen haben.


                                                 Die statistischen Stellen sollen ein gesetzliches Mandat
                                                 zur Erhebung von Angaben haben und die Auskunftge-
                Mandat zur Datenerhebung
                                                 benden gesetzlich verpflichtet sein, für Zwecke der Statis-
                                                 tik Daten zu liefern.


                                                 Den statistischen Stellen müssen ausreichende Ressour-
                Angemessene Ressourcen           cen zur Verfügung stehen, um den statistischen Erforder-
                                                 nissen zu entsprechen.


                                                 Die Verpflichtung zur Qualität fordert von den statistischen
                                                 Stellen, regelmäßig Stärken und Schwächen systematisch
                Verpflichtung zur Qualität
                                                 mit dem Ziel einer Verbesserung der Prozess- und Pro-
                                                 duktqualität zu ermitteln.


                                                 Die statistischen Stellen sollen die Anonymität der Daten-
                                                 lieferanten, die Geheimhaltung ihrer Angaben und die
               Statistische Geheimhaltung
                                                 Verwendung der Daten ausschließlich für statistische
                                                 Zwecke gewährleisten.


                                                 Die statistischen Stellen sollen in objektiver, professionel-
                                                 ler und transparenter Weise europäische Statistiken unter
             Unparteilichkeit und Objektivität
                                                 der Wahrung wissenschaftlicher Unabhängigkeit entwi-
                                                 ckeln, erstellen und verbreiten.


                                                 Die statistischen Stellen sollen qualitativ hochwertige
                                                 Statistiken auf einer soliden Methode aufbauen und dafür
                     Solide Methoden
                                                 geeignete Instrumente und Verfahren sowie ein entspre-
                                                 chendes Knowhow einsetzen.


                                                 Die statistischen Stellen sollen geeignete statistische
                                                 Verfahren, von der Erhebung bis zur Validierung der Da-
             Geeignete statistische Verfahren
                                                 ten, als Grundlagen für qualitativ hochwertige Statistiken
                                                 einsetzen.




FINANZSTATISTISCHE ERHEBUNGSMERKMALE                    4568
4568

NEUES KOMMUNALES FINANZMANAGEMENT
                                       KOMMUNALE FINANZSTATISTIK


                               Der Verhaltenskodex für europäische Statistiken


                                               Die statistischen Stellen sollen den Nutzern bedarfsge-
             Vermeidung einer übermäßigen      recht Auskunft geben. Der Aufwand dafür soll in einem
            Belastung der Auskunftgebenden     angemessenen Verhältnis zum Bedarf stehen. Sie sollen
                                               Ziele zur Verringerung des Aufwands festlegen.


                                               Die statistischen Stellen sollen die verfügbaren Ressour-
                   Wirtschaftlichkeit
                                               cen möglichst effektiv einsetzen.


                                               Die statistischen Stellen sollen dafür Sorge tragen, dass
                       Relevanz                die europäischen Statistiken dem Bedarf der Nutzer ent-
                                               sprechen.


                                               Die statistischen Stellen sollen dafür Sorge tragen, dass
            Genauigkeit und Zuverlässigkeit    die europäischen Statistiken die Realität genau und zuver-
                                               lässig widerspiegeln.


                                               Die statistischen Stellen sollen dafür Sorge tragen, dass
              Aktualität und Pünktlichkeit     die europäischen Statistiken aktuell sind und pünktlich
                                               veröffentlicht werden.


                                               Die statistischen Stellen sollen dafür Sorge tragen, dass
                                               die europäischen Statistiken untereinander und im Zeitab-
                                               lauf konsistent sowie vergleichbar sind. Aus verschiede-
             Kohärenz und Vergleichbarkeit
                                               nen Quellen stammende miteinander in Beziehung ste-
                                               hende Daten können kombiniert und gemeinsam verwen-
                                               det werden.


                                               Die statistischen Stellen sollen dafür Sorge tragen, dass
                                               die europäischen Statistiken klar und verständlich präsen-
               Zugänglichkeit und Klarheit     tiert, benutzerfreundlich veröffentlicht und entsprechend
                                               dem Grundsatz der Unparteilichkeit verfügbar und zu-
                                               gänglich sind.

                        Abbildung 957 „Der Verhaltenskodex für europäische Statistiken“

Der „Verhaltenskodex für Europäische Statistiken“ wurde im Jahre 2011 überarbeitet und aktualisiert (vgl. Infor-
mationsbroschüre des Statistischen Bundesamtes 2012). Der „Verhaltenskodex für Europäische Statistiken“ wur-
de im Jahre 2011 überarbeitet und aktualisiert (vgl. Informationsbroschüre des Statistischen Bundesamtes 2012).
In diesem Zusammenhang steht auch die strikte Geheimhaltung der zu statistischen Zwecken erhobenen Daten
während der Phase, in der ein möglicher Personenbezug noch bestehen könnte oder wiederherstellbar ist (Statis-
tikgeheimnis).

Diese Festlegung dient dem Schutz des Rechts auf Selbstbestimmung und der Qualität der Statistik. Eine Statis-
tik halt nur dann eine ausreichende Aussagekraft, wenn eine Kenntnisnahme und Verarbeitung von einzelnen
relevanten Daten durch die zuständigen Stellen möglich ist.

In diesem Zusammenhang bedarf es der „fachlichen Unabhängigkeit“ der Statistischen Stellen, die haushaltswirt-
schaftlichen Daten der Gemeinde weiterverarbeiten. Sie müssen sicherstellen, dass die Statistiken auf unabhän-
gige Weise entwickelt, erstellt und verbreitet werden. Dazu gehört auch, dass den Statistischen Stellen die Wahl
der zu verwendenden Verfahren, die Definitionen, die Methoden und die Festlegung der Quellen obliegt. Sie
müssen den Zeitpunkt und den Inhalt aller Verbreitungsformen bestimmen können, ohne dass politische Grup-
pen, Interessengruppen oder Sonstige dabei Druck ausüben können.




FINANZSTATISTISCHE ERHEBUNGSMERKMALE                  4569
4569

NEUES KOMMUNALES FINANZMANAGEMENT
                                       KOMMUNALE FINANZSTATISTIK



2. Der finanzstatistische Produktrahmen

Die finanzstatistischen Anforderungen folgen der haushaltsrechtlichen Festlegung, dass der gemeindliche Haus-
haltsplan in produktorientierte Teilpläne zu gliedern ist (vgl. § 79 Absatz 2 GO NRW). Auf Grund dessen ist ein
finanzstatistischer Produktrahmen entwickelt worden, bei dem ausgehend von den gemeindebezogenen Produkt-
feldern und den haushaltsmäßig relevanten Produktbereichen (vgl. § 4 Absatz 1 GemHVO NRW) die gebildeten
Produktgruppen als finanzstatistische Erhebungsmerkmale für die Abbildung der gemeindlichen Aufgabenerfül-
lung festgelegt wurden.

Im Rahmen der gemeindlichen Meldepflichten sind die Bezeichnungen der Produktgruppen und die diesen zuge-
ordneten Nummern verbindlich, um die Eindeutigkeit und Nachvollziehbarkeit der finanzstatistisch erforderlichen
Daten zu gewährleisten. Durch die vorgegebenen Zahlenangaben wird zudem die inhaltliche Abgrenzung der
einzelnen Produktgruppe unterstützt, aber auch deren Einordnung in das Gesamtsystem des finanzstatistischen
Produktrahmens gekennzeichnet. Der finanzstatistische Produktrahmen soll ab dem Berichtsjahr 2011 die Grund-
lage für die produktorientierte Zuordnung der Erhebungsmerkmale darstellen.



2.1 Die erste Stufe: Produktfelder

Die gemeindliche Aufgabenerfüllung erfolgt auf vielfältige Art und Weise und in einer Vielzahl unterschiedlichster
Aufgaben. Es ist dabei von den verwaltungsmäßigen Gegebenheiten in Nordrhein-Westfalen abhängig, ob eine
bestimmte Aufgabe zum Aufgabenkatalog der Gemeinde gehört und in welchem Umfang diese zu erfüllen ist.
Soweit die fachliche und organisatorische Verantwortung darüber der Gemeinde obliegt, kann sie unter Beach-
tung der einschlägigen Rechtsvorschriften festlegen, ob eine Aufgabe durch die gemeindliche Verwaltung oder
einen gemeindlichen Betrieb erfüllt bzw. erledigt wird. Die Gemeinde ist in diesem Zusammenhang - wie für den
gemeindlichen Gesamtabschluss vorgegeben - als eine einzige wirtschaftliche Einheit zu betrachten. Das gesam-
te Aufgabenspektrum der Gemeinde wird daher auf der ersten Stufe der Produktorientierung in die folgenden
sechs Produktfelder untergliedert (vgl. Abbildung 958).



                      Die Produktfelder im finanzstatistischen Produktrahmen


                   Nummer                                         BEZEICHNUNG

                       1              Zentrale Verwaltung


                       2              Schule und Kultur


                       3              Soziales und Jugend


                       4              Gesundheit und Sport


                       5              Gestaltung der Umwelt


                       6              Zentrale Finanzleistungen

                    Abbildung 958 „Die Produktfelder im finanzstatistischen Produktrahmen“




FINANZSTATISTISCHE ERHEBUNGSMERKMALE                      4570
4570

NEUES KOMMUNALES FINANZMANAGEMENT
                                       KOMMUNALE FINANZSTATISTIK

Aus diesen festgelegten Produktfeldern des finanzstatistischen Produktrahmens, die im Rahmen der Finanzstatis-
tik jedoch nicht gesondert in Summen erfasst werden, sind dann die weiteren Untergliederungen in Form von
Produktbereichen und Produktgruppen entwickelt worden.



2.2 Die zweite Stufe: Produktbereiche

Die in der ersten Stufe festgelegten einstelligen Produktfelder bilden die Grundlage, um für die zweite Stufe in
Einklang mit den gemeindlichen Aufgaben eine gemeindeübergreifende Struktur festlegen zu können. Diese
Struktur soll mit der Outputorientierung der gemeindlichen Haushalte kompatibel sein, denn die finanzstatisti-
schen Zahlungsdaten müssen für die Bearbeitung und Auswertung in einen Zusammenhang mit der gemeindli-
chen Aufgabenerfüllung gestellt werden. Daher wurden die folgenden 16 Produktbereiche sowohl für die Finanz-
statistik als auch für die gemeindlichen Haushalte gebildet (vgl. Abbildung 959).



                  Die Produktbereiche im finanzstatistischen Produktrahmen


                   NUMMER                                   BEZEICHNUNG

                       11             Innere Verwaltung


                       12             Sicherheit und Ordnung


                       21             Schulträgeraufgaben


                       25             Kultur und Wissenschaft


                       31             Soziale Leistungen


                       36             Kinder-, Jugend- und Familienhilfe


                       41             Gesundheitsdienste


                       42             Sportförderung


                       51             Räumliche Planung und Entwicklung, Geoinformationen


                       52             Bauen und Wohnen


                       53             Ver- und Entsorgung


                       54             Verkehrsflächen und -anlagen, ÖPNV


                       55             Natur- und Landschaftspflege


                       56             Umweltschutz


                       57             Wirtschaft und Tourismus




FINANZSTATISTISCHE ERHEBUNGSMERKMALE                   4571
4571

NEUES KOMMUNALES FINANZMANAGEMENT
                                        KOMMUNALE FINANZSTATISTIK


                   Die Produktbereiche im finanzstatistischen Produktrahmen


                   NUMMER                                  BEZEICHNUNG
                        61            Allgemeine Finanzwirtschaft

                   Abbildung 959 „Die Produktbereiche im finanzstatistischen Produktrahmen“

Auf diese vom Rechnungsstil unabhängigen einheitlichen Produktbereiche haben sich die Länder mit Beschluss
der Innenministerkonferenz vom 21. November 2003 geeinigt. Damit besteht sowohl für den Haushalt der Ge-
meinden als auch für ihre finanzstatistischen Meldepflichten die gleiche Ausgangsgrundlage, auch wenn die Pro-
duktbereiche im Rahmen der Finanzstatistik nicht gesondert erfasst werden.



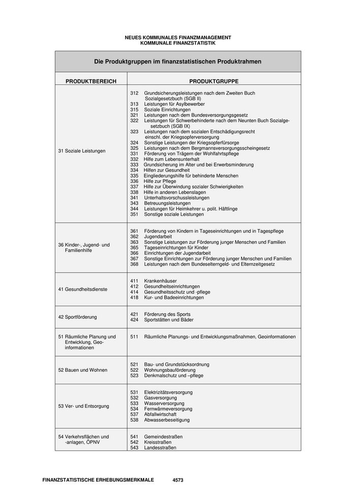
2.3 Die dritte Stufe: Produktgruppen

Die Produktgruppen sind als finanzstatistische Erhebungsmerkmale aus den auf der zweiten Stufe festgelegten
16 Produktbereichen entwickelt worden. Sie liegen innerhalb der Grenzen der Produktbereiche und sind ein-
schließlich ihrer Nummerierung verbindlich für die finanzstatistischen Meldepflichten (vgl. Abbildung 960).



                      Die Produktgruppen im finanzstatistischen Produktrahmen


         PRODUKTBEREICH                                       PRODUKTGRUPPE

      11 Innere Verwaltung          111   Verwaltungssteuerung und Service


                                    121   Statistik und Wahlen
                                    122   Ordnungsangelegenheiten
      12 Sicherheit und Ordnung     126   Brandschutz
                                    127   Rettungsdienst
                                    128   Katastrophenschutz


                                    211   Grundschulen
                                    212   Hauptschulen
                                    215   Realschulen
                                    216   Sekundarschulen
                                    217   Gymnasien
                                    218   Gesamtschulen
      21 Schulträgeraufgaben
                                    219   Primusschulen
                                    221   Sonderschulen
                                    231   Berufskollegs
                                    241   Schülerbeförderung
                                    242   Fördermaßnahmen für Schüler
                                    243   Sonstige schulische Aufgaben


                                    251   Wissenschaft und Forschung
                                    252   Museen, Sammlungen, Ausstellungen
                                    253   Zoologische und Botanische Gärten
                                    261   Theater
                                    262   Musikpflege (ohne Musikschulen)
      25 Kultur und Wissenschaft    263   Musikschulen
                                    271   Volkshochschulen
                                    272   Büchereien
                                    273   Sonstige Volksbildung
                                    281   Heimat- und sonstige Kulturpflege
                                    291   Förderung von Kirchengemeinden und
                                          sonstigen Religionsgemeinschaften




FINANZSTATISTISCHE ERHEBUNGSMERKMALE                   4572
4572

NEUES KOMMUNALES FINANZMANAGEMENT
                                     KOMMUNALE FINANZSTATISTIK


                     Die Produktgruppen im finanzstatistischen Produktrahmen


        PRODUKTBEREICH                                      PRODUKTGRUPPE

                                 312   Grundsicherungsleistungen nach dem Zweiten Buch
                                       Sozialgesetzbuch (SGB II)
                                 313   Leistungen für Asylbewerber
                                 315   Soziale Einrichtungen
                                 321   Leistungen nach dem Bundesversorgungsgesetz
                                 322   Leistungen für Schwerbehinderte nach dem Neunten Buch Sozialge-
                                           setzbuch (SGB IX)
                                 323   Leistungen nach dem sozialen Entschädigungsrecht
                                       einschl. der Kriegsopferversorgung
                                 324   Sonstige Leistungen der Kriegsopferfürsorge
                                 325   Leistungen nach dem Bergmannsversorgungsscheingesetz
     31 Soziale Leistungen
                                 331   Förderung von Trägern der Wohlfahrtspflege
                                 332   Hilfe zum Lebensunterhalt
                                 333   Grundsicherung im Alter und bei Erwerbsminderung
                                 334   Hilfen zur Gesundheit
                                 335   Eingliederungshilfe für behinderte Menschen
                                 336   Hilfe zur Pflege
                                 337   Hilfe zur Überwindung sozialer Schwierigkeiten
                                 338   Hilfe in anderen Lebenslagen
                                 341   Unterhaltsvorschussleistungen
                                 343   Betreuungsleistungen
                                 344   Leistungen für Heimkehrer u. polit. Häftlinge
                                 351   Sonstige soziale Leistungen


                                 361   Förderung von Kindern in Tageseinrichtungen und in Tagespflege
                                 362   Jugendarbeit
                                 363   Sonstige Leistungen zur Förderung junger Menschen und Familien
     36 Kinder-, Jugend- und
                                 365   Tageseinrichtungen für Kinder
        Familienhilfe
                                 366   Einrichtungen der Jugendarbeit
                                 367   Sonstige Einrichtungen zur Förderung junger Menschen und Familien
                                 368   Leistungen nach dem Bundeselterngeld- und Elternzeitgesetz


                                 411   Krankenhäuser
                                 412   Gesundheitseinrichtungen
     41 Gesundheitsdienste
                                 414   Gesundheitsschutz und -pflege
                                 418   Kur- und Badeeinrichtungen


                                 421   Förderung des Sports
     42 Sportförderung
                                 424   Sportstätten und Bäder


     51 Räumliche Planung und    511   Räumliche Planungs- und Entwicklungsmaßnahmen, Geoinformationen
        Entwicklung, Geo-
        informationen


                                 521   Bau- und Grundstücksordnung
     52 Bauen und Wohnen         522   Wohnungsbauförderung
                                 523   Denkmalschutz und –pflege


                                 531   Elektrizitätsversorgung
                                 532   Gasversorgung
                                 533   Wasserversorgung
     53 Ver- und Entsorgung
                                 534   Fernwärmeversorgung
                                 537   Abfallwirtschaft
                                 538   Abwasserbeseitigung


     54 Verkehrsflächen und      541   Gemeindestraßen
        -anlagen, ÖPNV           542   Kreisstraßen
                                 543   Landesstraßen




FINANZSTATISTISCHE ERHEBUNGSMERKMALE                4573
4573

NEUES KOMMUNALES FINANZMANAGEMENT
                                         KOMMUNALE FINANZSTATISTIK


                      Die Produktgruppen im finanzstatistischen Produktrahmen


         PRODUKTBEREICH                                       PRODUKTGRUPPE
                                     544   Bundesstraßen
                                     545   Straßenreinigung
                                     546   Parkeinrichtungen
                                     547   Öffentlicher Personennahverkehr (ÖPNV)
                                     548   Sonstiger Personen- und Güterverkehr
                                     549   Häfen


                                     551   Öffentliches Grün, Landschaftsbau
                                     552   Öffentliche Gewässer, Wasserbauliche Anlagen
      55 Natur- und Landschafts-
                                     553   Friedhofs- und Bestattungswesen
         pflege
                                     554   Naturschutz und Landschaftspflege
                                     555   Land- und Forstwirtschaft


                                     561   Allgemeine Umweltschutzmaßnahmen
      56 Umweltschutz
                                     562   Immissionsschutz


                                     571   Wirtschaftsförderung
      57 Wirtschaft und Tourismus    573   Allgemeine Einrichtungen und Unternehmen
                                     575   Tourismus


      61 Allgemeine Finanz-          611   Steuern, allgemeine Zuweisungen, allgemeine Umlagen
         wirtschaft                  612   Sonstige allgemeine Finanzwirtschaft

                   Abbildung 960 „Die Produktgruppen im finanzstatistischen Produktrahmen“



3. Die Vermögens-, Ergebnis- und Zahlungsarten

3.1 Die Identität mit der gemeindlichen Haushaltswirtschaft

Die neue Steuerung der Gemeinde einschließlich der Rolle des Haushaltsplans sowie der NKF-Kontenrahmen
lassen zu, dass bei der Festlegung der örtlichen Konten für die Aufstellung, Ausführung und Abrechnung des
gemeindlichen Haushalts auch die Anforderungen der Finanzstatistiken einbezogen werden können, aber nicht
müssen. Die finanzstatistischen Meldepflichten sind dabei unabhängig von der örtlichen Festlegung der gemeind-
lichen Buchungskonten zu erfüllen und deshalb dem Berichtswesen der Gemeinde zuzurechnen.

Entsprechend dem Drei-Komponenten-System des NKF soll dabei auch die statistische Erfassung erfolgen, so-
dass in Nordrhein-Westfalen haushaltsjahrbezogen und landesweit eine "Bilanzstatistik" über das Vermögen und
die Schulden der Gemeinden und eine "Ergebnisrechnungsstatistik" über die gemeindlichen Erträge und Aufwen-
dungen sowie eine „Finanzrechnungsstatistik“ über die Einzahlungen und Auszahlungen der Gemeinde durch IT
NRW zentral aufgestellt wird.

Für die Gemeinde könnte es sich ggf. unter Einbeziehung ihrer örtlichen Aufgaben und der Meldepflichten für die
Finanzstatistik anbieten, bei der Einrichtung der Konten in ihrem Buchungssystem auch die festgelegten finanz-
statistischen Erhebungsmerkmale zu berücksichtigen. Sie hätte dadurch die Möglichkeit, die notwendigen Daten
für die Finanzstatistiken unmittelbar aus ihrem Haushalt bzw. aus ihrem gemeindlichen Buchungssystem heraus
bereitstellen zu können.

Eine solche örtliche Vorgehensweise wird auch dadurch möglich, dass ein "finanzstatistischer Doppikrahmen"
(zweistellig) als Grundlage für Anforderungen bzw. die Erhebungsmerkmale der Finanzstatistik besteht, der mit
dem haushaltsrechtlichen zweistelligen NKF-Kontenrahmen identisch ist. Beide Systeme ergänzen sich gegen-




FINANZSTATISTISCHE ERHEBUNGSMERKMALE                   4574
4574

NEUES KOMMUNALES FINANZMANAGEMENT
                                         KOMMUNALE FINANZSTATISTIK

seitig, weil sie auf dem Drei-Komponentensystem des NKF aufbauen. Sie stellen daher insgesamt ein akzeptab-
les strukturiertes Ordnungsgerüst für die Buchungskonten der Gemeinde dar.

Von der Finanzstatistik wird der NKF-Kontenrahmen als "finanzstatistischer Doppikrahmen" genutzt, um - ver-
gleichbar wie beim Produktrahmen - die notwendigen finanzstatistischen Erhebungsmerkmale konkret bestimmen
zu können und systematisch zu gliedern. Es sollten gegenüber dem haushaltsrechtlichen NKF-Kontenrahmen
lediglich andere Begrifflichkeiten durch die Finanzstatistik verwendet werden, nicht unmittelbar nicht zwingend
notwendige Buchungsvorgaben zu erzeugen.

Die Ebene der finanzstatistisch benötigten Erhebungsmerkmale (mindestens vierstellig) wird dabei dadurch er-
reicht, dass dem gleichen Gliederungssystem wie im NKF-Kontenrahmen die einstelligen "Finanzbereiche" in
"Finanzgruppen" (zweistellig) und weiter in "Finanzarten" (dreistellig) untergliedert werden. Die Festlegung der
Erhebungsmerkmale auf der nächsten Ebene (vierstellig) ist dann identisch mit der Ebene im haushaltsrechtli-
chen NKF-Kontenrahmen, auf der von der Gemeinde regelmäßig die örtlichen Buchungskonten zu bilden sind.

Dieser Gleichklang führt jedoch nicht zu der Verpflichtung der Gemeinde, entsprechend der finanzstatistischen
Erhebungsmerkmale auch ihre Buchungskonten einrichten oder für die Finanzstatistik weitere bzw. besondere
Konten in ihrem Buchführungssystem vorhalten zu müssen. Die bundesweite Finanzstatistik erfordert jedoch
vielfach zwingend, anders als das örtliche Buchungsgeschehen der Gemeinde, eine über die vierstelligen Bu-
chungsmerkmale hinausgehende Differenzierung.

Bei der Ausgestaltung des örtlichen Buchungsgeschehens sind von der Gemeinde die unterschiedlichen Anforde-
rungen und Wünsche sowie die Transparenz und die Informationserfordernisse gegeneinander abzuwägen. Die
Gemeinde muss dabei eigenverantwortlich entscheiden, wie sie ihre örtliche haushaltswirtschaftlich zu prägende
Kontenbildung mit den Meldepflichten für die Finanzstatistik verknüpft. Sofern die Gemeinde ihr Buchungssys-
tems in vollem Umfang auf die finanzstatistischen Anforderungen ausrichten möchte, sollte sie ihre Buchungen
ggf. auf sechsstelligen Unterkonten vornehmen und für die Bestandteile des gemeindlichen Jahresabschlusses
oder zur Erfüllung von Meldepflichten auf einer höheren Ebene zusammenfassen.



3.2 Die Übersicht über die Grundlagen der statistischen Merkmale

Die nachfolgende Übersicht baut auf dem NKF-Kontenrahmen und den Grundlagen der Finanzstatistik auf. Auf
dieser Basis wurden die finanzstatistischen Erhebungsmerkmale entwickelt und festgelegt. Die Darstellung soll
dabei die Identität und Zusammenhänge zwischen der haushaltswirtschaftlichen Kontensystematik und dem fi-
nanzstatistischen Aufbau aufzeigen. Aus dieser einheitlichen Grundlage für die gemeindliche Haushaltswirtschaft
muss die Gemeinde ihre „vierstelligen“ Sachkonten für die Buchung ihrer Geschäftsvorfälle entwickeln.

Die Gemeinde hat dabei die durch IT-NRW als „Statistisches Landesamt“ festgelegten „vierstelligen“ Erhebungs-
merkmale zu berücksichtigen, denn diese sind der Gegenstand ihrer gesetzlichen Meldepflichten zur Finanzsta-
tistik. Zur Unterscheidung wird für die Finanzstatistik der Begriff „Finanz“ und nicht der Begriff „Konten“ verwen-
det. Die Übersicht zeigt den Zusammenhang zwischen der haushaltswirtschaftlichen Kontenbildung und den
Anforderungen der Finanzstatistik auf (vgl. Abbildung 961).



       Haushaltsrechtlicher Kontenrahmen/Finanzstatistischer Doppikrahmen

    Rah-
                    Kontenklasse/        Kontengruppe/                                                  Gemeinde-
    men-     Nr.                                                      Kontenart         Finanzart
                    Finanzbereich        Finanzgruppe                                                     konto
   bereich
      A              Immaterielle                                                                       Die Konten
      K       0      Vermögens-       00 ...                                                              sind von
      T              gegenstände      01 Immaterielle Ver-      011 Konzessionen     011 Immaterielle    jeder Ge-




FINANZSTATISTISCHE ERHEBUNGSMERKMALE                     4575
4575

NEUES KOMMUNALES FINANZMANAGEMENT
                                       KOMMUNALE FINANZSTATISTIK



     Haushaltsrechtlicher Kontenrahmen/Finanzstatistischer Doppikrahmen

   Rah-
                  Kontenklasse/        Kontengruppe/                                                       Gemeinde-
   men-     Nr.                                                       Kontenart            Finanzart
                  Finanzbereich        Finanzgruppe                                                          konto
  bereich
     I                und              mögensgegen-            012 DV-Software              Vermö-            meinde
     V            Sachanlagen          stände                  013 Nutzungsrechte           gensgegen-         selbst
     A                                                         018 Sonstige immateri-       stände         festzulegen.
                                                                   elle Vermögensge-                       Sie kann die
                                                                   genstände                                 Nummer
                                                               019 Geleistete Anzah-                         der Erhe-
                                                                   lungen auf immate-                         bungs-
                                                                   rielle Vermögens-                         merkmale
                                                                   gegenstände                              der Finanz-
                                                                                                              statistik
                                    02 Unbebaute Grund-        021 Grünflächen          021 Grünflächen      dazu nut-
                                       Stücke und grund-       022 Ackerland            022 Ackerland           zen.
                                       stücksgleiche           023 Wald und Forsten     023 Wald und
                                       Rechte                                               Forsten
                                                               029 Sonstige unbebaute   029 Sonstige
                                                                   Grundstücke              unbebaute
                                                                                            Grundstü-
                                                                                            cke

                                    03 Bebaute Grund-          031 Grundstücke mit      031 Grundstü-
                                       stücke und grund-           Kinder- und Ju-          cke mit Kin-
                                       stücksgleiche               gendeinrichtungen        der- und
                                       Rechte                                               Jugendein-
                                                                                            richtungen
                                                               032 Grundstücke mit      032 Grundstü-
                                                                   Schulen                  cke mit
                                                                                            Schulen
                                                               033 Grundstücke mit      033 Grundstü-
                                                                   Wohnbauten               cke mit
                                                                                            Wohn-
                                                                                            bauten
                                                               039 Grundstücke mit      039 Grundstü-
                                                                   sonstigen Dienst-,       cke mit
                                                                   Geschäfts- und Be-       sonstigen
                                                                   triebsgebäuden           Dienst-,
                                                                                            Geschäfts-
                                                                                            und Be-
                                                                                            triebsge-
                                                                                            bäuden

                                    04 Infrastruktur-          041 Grund und Boden      041 Grund und
                                       vermögen                    des Infrastruktur-       Boden des
                                                                   vermögens                Infrastruk-
                                                                                            turvermö-
                                                                                            gens
                                                               042 Brücken und Tunnel   042 Brücken
                                                                                            und Tunnel
                                                               043 Gleisanlagen mit     043 Gleisanla-
                                                                   Streckenausrüstung       gen mit
                                                                   und Sicherheitsan-       Strecken-
                                                                   lagen                    ausrüstung
                                                                                            und Sicher-
                                                                                            heitsanla-
                                                                                            gen
                                                               044 Entwässerungs-       044 Entwässe-
                                                                   und Abwasserbesei-       rungs- und
                                                                   tigungsanlagen           Abwasser-
                                                                                            beseiti-
                                                                                            gungsanla-
                                                                                            gen
                                                               045 Straßennetz mit      045 Straßennetz
                                                                   Wegen, Plätzen und       mit Wegen,
                                                                   Verkehrslenkungs-        Plätzen und
                                                                   anlagen                  Ver-
                                                                                            kehrslen-




FINANZSTATISTISCHE ERHEBUNGSMERKMALE                    4576
4576

Zur nächsten Seite