nkf-handreichung7

Dieses Dokument ist Teil der Anfrage „NKF-Handreichung für Kommunen

/ 4808
PDF herunterladen
NEUES KOMMUNALES FINANZMANAGEMENT
                                               § 78 GO NRW


dadurch die zweckbezogenen Stiftungsvorgaben nachvollziehbar erfüllt werden und der gesonderter Nachweis
darüber erbracht werden kann.

Die haushaltswirtschaftliche Abgrenzung darf bei der Gemeinde jedoch nicht so weit gehen, dass für die einzel-
nen rechtlich unselbstständigen Stiftungen oder insgesamt für alle diese Stiftungen in der gemeindlichen Haus-
haltssatzung ein eigener Abschnitt mit eigenen Festsetzungen eingerichtet wird. Die Vorgabe, dass die Stiftungen
den Vorschriften über die Haushaltswirtschaft unterliegen und im Haushaltsplan und der Gemeinde gesondert
nachzuweisen sind, stellt keine Grundlage dafür dar (vgl. § 97 Absatz 2 GO NRW). Es darf deshalb bei diesem
Vermögen keine Sonderrolle im Rahmen der gemeindlichen Haushaltswirtschaft entstehen.



II. Erläuterungen im Einzelnen

1. Zu Absatz 1 (Pflicht zur Aufstellung einer Haushaltssatzung):

1.1 Die Gliederung der Haushaltssatzung

1.1.1 Allgemeine Grundlagen

Die gemeindliche Haushaltssatzung hat auch im NKF eine herausragende Bedeutung für die Planung, Ausfüh-
rung und Abrechnung der gemeindlichen Haushaltswirtschaft im Haushaltsjahr. Deren Inhalte und Festsetzungen
beeinflussen die wirtschaftliche Entwicklung der Gemeinde über das Haushaltsjahr hinaus. Die Haushaltssatzung
gehört daher zu den wichtigen örtlichen Satzungen, die eigenverantwortlich vom Rat der Gemeinde erlassen
werden, denn die Gemeinde soll ihre örtlichen Angelegenheiten durch Satzung regeln (vgl. § 7 GO NRW).

Die gemeindliche Haushaltssatzung muss dabei eine Reihe von Inhalten und Grundlagen enthalten, die den
Rahmen für die jahresbezogene Haushaltswirtschaft der Gemeinde bilden. Einige Festsetzungen wirken sich
nicht nur auf die Gemeindeverwaltung, sondern auch unmittelbar auf Dritte aus, z. B. die in der Satzung festge-
setzten jahresbezogenen Hebesätze für die örtlichen Steuern. In die Haushaltssatzung ist der gemeindliche
Haushaltsplan eingebunden, denn er stellt die wichtigste Anlage zur Satzung dar. Gleichwohl entfaltet er bei einer
für das Haushaltsjahr beschlossenen Satzung nur eine bindende Vorgabe für die Gemeindeverwaltung für die
Ausführung der Haushaltswirtschaft im Haushaltsjahr (vgl. § 79 Absatz 3 GO NRW).

In ihrer rechtlichen Wirkung geht daher die Haushaltssatzung der Gemeinde über den gemeindlichen Haushalts-
plan hinaus. Die jahresbezogen festzulegenden Inhalte der gemeindlichen Haushaltssatzung sind haushaltsrecht-
lich vorgegeben worden. Sie sind von der Gemeinde unter Einbeziehung der örtlichen haushaltswirtschaftlichen
Verhältnisse zu konkretisieren. Zur Ordnungsmäßigkeit einer gemeindlichen Haushaltssatzung gehören verschie-
dene Festsetzungen, die nachfolgend aufgezeigt werden (vgl. Abbildung 81).



                            DIE GLIEDERUNG DER HAUSHALTSSATZUNG


                  §                                SATZUNGSREGELUNGEN

                         Ergebnisplan
                         Gesamtbetrag der Erträge                                                          ... EUR
                         Gesamtbetrag der Aufwendungen

                  1      Finanzplan
                         (lfd. Verwaltungstätigkeit)
                         Gesamtbetrag der Einzahlungen
                         Gesamtbetrag der Auszahlungen

                         (Investitionstätigkeit)




GEMEINDEORDNUNG                                        632
632

NEUES KOMMUNALES FINANZMANAGEMENT
                                              § 78 GO NRW




                            DIE GLIEDERUNG DER HAUSHALTSSATZUNG


                  §                            SATZUNGSREGELUNGEN
                         Gesamtbetrag der Einzahlungen
                         Gesamtbetrag der Auszahlungen

                         (Finanzierungstätigkeit)
                         Gesamtbetrag der Einzahlungen
                         Gesamtbetrag der Auszahlungen


                  2      Gesamtbetrag der Kredite für Investitionen


                  3      Gesamtbetrag der Verpflichtungsermächtigungen für Investitionen



                         Jahresfehlbetrag im Ergebnisplan
                         Inanspruchnahme der Ausgleichsrücklage
                  4
                         Verringerung der allgemeinen Rücklage


                  5      Höchstbetrag der Kredite zur Liquiditätssicherung


                  6      Steuersätze für die Gemeindesteuern


                  7      Haushaltsausgleich wieder hergestellt bis …


                  8      Örtliche Sonderregelungen

                              Abbildung 81 „Die Gliederung der Haushaltssatzung“

Für den Rat der Gemeinde muss vom Kämmerer eine beschlussfähige vollständige Haushaltssatzung mit ihren
Anlagen erstellt und vom Bürgermeister bestätigt werden. Der Rat kann die Haushaltssatzung nur rechtmäßig
beschließen, wenn die Satzung alle gesetzlich vorgesehenen und erforderlichen Regelungen für die gemeindliche
Haushaltswirtschaft im Haushaltsjahr enthält. Jedoch kann sich auch ergeben, dass im Einzelfall kein Bedarf für
eine satzungsmäßige Festsetzung besteht. Die Gemeinde muss dann eine alternative Aussage in die Satzung
aufnehmen, um dem Vollständigkeitsgrundsatz und der Haushaltsklarheit und Haushaltswahrheit zu genügen.

Der gemeindlichen Haushaltssatzung sind auch alle erforderlichen Anlagen beizufügen. Der Verzicht auf eine
ausdrückliche Aufzählung dieser Anlagen in den haushaltsrechtlichen Vorschriften steht dem Gebot der Beach-
tung des Grundsatzes der Vollständigkeit jedoch nicht entgegen. Die örtliche Ausgestaltung der gemeindlichen
Haushaltssatzung ist von der Gemeinde nach dem vom Innenministerium bekannt gegebenen und für verbindlich
erklärten Muster vorzunehmen (vgl. Nummer 1.1.1 des Runderlasses des Innenministeriums vom 24. Februar
2005; SMBl. NRW. 6300).



1.1.2 Die alternative Gestaltung

Der Aufbau der gemeindlichen Haushaltssatzung muss unter Einhaltung der Regelungsaussagen nach dem für
verbindlich erklärten Muster aufgezeigten Bestimmungen aufgebaut werden. Eine alternative Form der Gestal-
tung der örtlichen Haushaltssatzung ist zulässig, sofern die mit der haushaltsrechtlichen Vorschrift vorgegebenen
Inhalte in der gemeindlichen Haushaltssatzung enthalten sind (vgl. Nummer 1.1.1 des Runderlasses des Innen-
ministeriums vom 24. Februar 2005; SMBl. NRW. 6300).




GEMEINDEORDNUNG                                        633
633

NEUES KOMMUNALES FINANZMANAGEMENT
                                               § 78 GO NRW




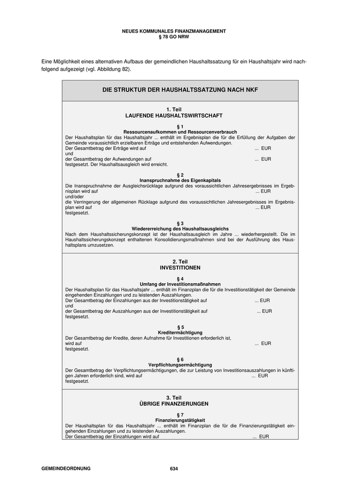
Eine Möglichkeit eines alternativen Aufbaus der gemeindlichen Haushaltssatzung für ein Haushaltsjahr wird nach-
folgend aufgezeigt (vgl. Abbildung 82).


                           DIE STRUKTUR DER HAUSHALTSSATZUNG NACH NKF


                                                  1. Teil
                                      LAUFENDE HAUSHALTSWIRTSCHAFT

                                                              §1
                                    Ressourcenaufkommen und Ressourcenverbrauch
         Der Haushaltsplan für das Haushaltsjahr ... enthält im Ergebnisplan die für die Erfüllung der Aufgaben der
         Gemeinde voraussichtlich erzielbaren Erträge und entstehenden Aufwendungen.
         Der Gesamtbetrag der Erträge wird auf                                                    ... EUR
         und
         der Gesamtbetrag der Aufwendungen auf                                                    ... EUR
         festgesetzt. Der Haushaltsausgleich wird erreicht.

                                                           §2
                                          Inanspruchnahme des Eigenkapitals
         Die Inanspruchnahme der Ausgleichsrücklage aufgrund des voraussichtlichen Jahresergebnisses im Ergeb-
         nisplan wird auf                                                                     ... EUR
         und/oder
         die Verringerung der allgemeinen Rücklage aufgrund des voraussichtlichen Jahresergebnisses im Ergebnis-
         plan wird auf                                                                        ... EUR
         festgesetzt.

                                                          §3
                                      Wiedererreichung des Haushaltsausgleichs
         Nach dem Haushaltssicherungskonzept ist der Haushaltsausgleich im Jahre ... wiederhergestellt. Die im
         Haushaltssicherungskonzept enthaltenen Konsolidierungsmaßnahmen sind bei der Ausführung des Haus-
         haltsplans umzusetzen.


                                                           2. Teil
                                                       INVESTITIONEN

                                                               §4
                                           Umfang der Investitionsmaßnahmen
         Der Haushaltsplan für das Haushaltsjahr ... enthält im Finanzplan die für die Investitionstätigkeit der Gemeinde
         eingehenden Einzahlungen und zu leistenden Auszahlungen.
         Der Gesamtbetrag der Einzahlungen aus der Investitionstätigkeit auf                           ... EUR
         und
         der Gesamtbetrag der Auszahlungen aus der Investitionstätigkeit auf                             ... EUR
         festgesetzt.

                                                            §5
                                                   Kreditermächtigung
         Der Gesamtbetrag der Kredite, deren Aufnahme für Investitionen erforderlich ist,
         wird auf                                                                                    ... EUR
         festgesetzt.

                                                            §6
                                                Verpflichtungsermächtigung
         Der Gesamtbetrag der Verpflichtungsermächtigungen, die zur Leistung von Investitionsauszahlungen in künfti-
         gen Jahren erforderlich sind, wird auf                                                ... EUR
         festgesetzt.


                                                      3. Teil
                                             ÜBRIGE FINANZIERUNGEN

                                                           §7
                                                 Finanzierungstätigkeit
         Der Haushaltsplan für das Haushaltsjahr ... enthält im Finanzplan die für die Finanzierungstätigkeit ein-
         gehenden Einzahlungen und zu leistenden Auszahlungen.
         Der Gesamtbetrag der Einzahlungen wird auf                                          ... EUR




GEMEINDEORDNUNG                                             634
634

NEUES KOMMUNALES FINANZMANAGEMENT
                                               § 78 GO NRW



                           DIE STRUKTUR DER HAUSHALTSSATZUNG NACH NKF

         und
         der Gesamtbetrag der Auszahlungen wird auf                                                   … EUR
         festgesetzt.


                                                               §8
                                                       Übrige Zahlungen
         Der Haushaltsplan für das Haushaltsjahr ... enthält im Finanzplan die für die laufende Verwaltungstätigkeit ein-
         gehenden Einzahlungen und zu leistenden Auszahlungen.
         Der Gesamtbetrag der Einzahlungen aus der laufenden Verwaltungstätigkeit                   ... EUR
         und
         der Gesamtbetrag der Auszahlungen aus der laufenden Verwaltungstätigkeit beträgt            ... EUR.
         Sie werden in dem Umfang festgesetzt, der nicht durch die in § 1 enthaltenen und festgesetzten Erträge und
         Aufwendungen zahlungswirksam erfasst wird.


                                                   4. Teil
                                 SICHERUNG DER LEISTUNG VON AUSZAHLUNGEN

                                                                §9
                                               Kredite zur Liquiditätssicherung
         Der Höchstbetrag der Kredite, die zur Liquiditätssicherung in Anspruch genommen werden darf, wird
         auf                                                                                    ... EUR
         festgesetzt.


                                                       5. Teil
                                                 GEMEINDESTEUERN

                                                                § 10
                                             Steuersätze für die Gemeindesteuern
         Die Steuersätze für die Gemeindesteuern werden für das Haushaltsjahr1)..... wie folgt festgesetzt:
               1.       Grundsteuer
               1.1      für die land- und forstwirtschaftlichen Betriebe (Grundsteuer A) auf         ... v. H.
               1.2      für die Grundstücke (Grundsteuer B) auf                                      ... v. H.
               2.       Gewerbesteuer auf                                                            ... v. H.


                                                   6. Teil
                                      SONSTIGE HAUSHALTSAUSFÜHRUNG

                                                          § 11 ff.
                                                            …

                         Abbildung 82 „Die alternative Gliederung der Haushaltssatzung“

Bei den Möglichkeiten der sachlichen Gliederung der örtlichen Haushaltssatzung für das Haushaltsjahr obliegt es
der Gemeinde, die notwendigen Festlegungen unter Berücksichtigung der örtlichen Verhältnisse und Bedürfnisse
in eigener Verantwortung zu treffen. Sie muss dabei sicherstellen, dass die notwendige Aussagekraft der Satzung
besteht und für die Adressaten der gemeindlichen Haushaltswirtschaft verständlich bleibt.



1.2 Der Begriff „Haushaltsjahr“

Durch die haushaltsrechtliche Vorschrift wird unter Einbeziehung des Jährlichkeitsprinzips das Kalenderjahr als
Haushaltsjahr und Geschäftsjahr der Gemeinde bestimmt. Das Haushaltsjahr umfasst deshalb den Zeitraum vom
1. Januar bis 31. Dezember, der jahresbezogenen der Haushaltswirtschaft zugrunde zu legen ist. Auf der Grund-
lage der vom Rat der Gemeinde beschlossenen Haushaltssatzung ist die haushaltswirtschaftliche Periode auf
einen Bewirtschaftungszeitraum von zwölf Monaten ausgerichtet, in der der gemeindliche Haushaltsplan auszu-
führen ist. Nach Ablauf des Haushaltsjahres bzw. der Periode muss eine Abrechnung erfolgen und daher zum




GEMEINDEORDNUNG                                             635
635

NEUES KOMMUNALES FINANZMANAGEMENT
                                             § 78 GO NRW


Abschlussstichtag 31. Dezember von der Gemeinde ein Jahresabschluss aufgestellt und vom Rat festgestellt
werden (vgl. §§ 95 und 96 GO NRW).

Durch die verbindliche Festlegung der zeitlichen Deckung des Haushaltsjahres mit dem Kalenderjahr werden die
periodengerechte Zuordnung und Buchungen von gemeindlichen Erträgen und Aufwendungen sowie der zeitliche
Rahmen der Buchungen von Einzahlungen und Auszahlungen bestimmt und gesichert. Durch die getroffene
Regelung besteht außerdem eine Übereinstimmung der haushaltswirtschaftlichen Periode des gemeindlichen
Haushalts mit den sonstigen öffentlichen Haushalten sowie mit dem Steuerjahr. Das in der Privatwirtschaft allge-
mein übliche Wirtschaftsjahr entspricht regelmäßig ebenfalls dem Kalenderjahr. Zudem besteht in der Forstwirt-
schaft kein vom Kalenderjahr abweichendes Wirtschaftsjahr (vgl. § 34 LFoG NRW).

Die gemeindlichen Betriebe, die eigenständig nach handelsrechtlichen Vorschriften ihren Jahresabschluss auf-
stellen und eigenverantwortlich ihr Geschäftsjahr bzw. Wirtschaftsjahr festlegen können, haben i. d. R. das Ka-
lenderjahr zu ihrem Wirtschaftsjahr gemacht. Eine Übereinstimmung des betrieblichen Geschäftsjahres mit dem
mit dem gemeindlichen Haushaltsjahr besteht daher bei den meisten gemeindlichen Betrieben, die in den Ge-
samtabschluss der Gemeinde einzubeziehen bzw. voll zu konsolidieren sind.

In Einzelfällen, in denen gemeindlichen Betriebe von diesem Zeitrahmen abweichen, ist vor Ort zu klären, welche
Auswirkungen das auf die Aufstellung des gemeindlichen Jahresabschlusses und des Gesamtabschlusses hat.
Es sind ggf. geeignete Maßnahmen zu ergreifen, damit die für die Haushaltswirtschaft der Gemeinde bzw. ihre
Abschlüsse benötigten Informationen zeitgerecht zur Verfügung gestellt werden. Ein gleiches Geschäftsjahr er-
leichtert die Zusammenführung der betrieblichen Abschlüsse im Rahmen des Gesamtabschlusses der Gemeinde.



1.3 Der Begriff „jährlich“

Nach der haushaltsrechtlichen Vorschrift hat die Gemeinde für jedes Haushaltsjahr eine Haushaltssatzung zu
erlassen. Daraus ist der Grundsatz der Jährlichkeit der gemeindlichen Haushaltswirtschaft abgeleitet worden, der
in doppelter Hinsicht auf den Zeitrahmen eines Jahres abgestellt wird. Die Festlegung wird einerseits dadurch
präzisiert, dass die zeitliche Geltungsdauer der Haushaltssatzung bestimmt wird, nach der die Haushaltssatzung
tritt mit Beginn des Haushaltsjahres in Kraft tritt und für das Haushaltsjahr gilt (vgl. § 78 Absatz 3 Satz 1 GO
NRW. Andererseits dadurch ausdrücklich bestimmt, dass das gemeindliche Haushaltsjahr mit dem Kalenderjahr
übereinstimmt (vgl. § 78 Absatz 4 GO NRW).

Durch solche Bestimmungen im gemeindlichen Haushaltsrecht wird das anzuwendende Jährlichkeitsprinzip in
zeitlicher Hinsicht abgegrenzt, sodass sich die gemeindliche Haushaltswirtschaft immer auf ein Jahr beziehen
muss. Der Grundsatz der Jährlichkeit stellt daher eine Vorgabe für die mittelfristige Ergebnis- und Finanzplanung
der Gemeinde dar, die beachten muss, dass trotz des Zeitrahmens von fünf Jahren immer jahresbezogene Pla-
nungsdaten zu ermitteln sind und der Haushaltsausgleich jährlich gegeben sein soll (vgl. § 84 GO NRW). Der
Grundsatz ist ebenso bei einer Haushaltssatzung für zwei Haushaltsjahre zu beachten, denn diese Satzung muss
die darin enthaltenen Festsetzungen nach Jahren getrennt aufweisen (vgl. § 78 Absatz 3 Satz 2 GO NRW).



1.4 Der Beschluss des Rates

Die Pflicht der Gemeinde, für jedes Haushaltsjahr eine Haushaltssatzung zu erlassen, wird dadurch erfüllt, dass
der Rat der Gemeinde im Rahmen seiner gesetzlichen Zuständigkeit einen entsprechenden Beschluss darüber
fasst und dadurch im Rahmen seines Budgetrechts die notwendigen Ermächtigungen erteilt. Er kann diese Auf-
gabe nicht übertragen (vgl. § 41 Absatz 1 Buchstabe h GO NRW). Der Bürgermeister hat dabei dafür Sorge zu
tragen, dass der Rat einen Beschluss über den Entwurf der Haushaltssatzung fasst bzw. die gemeindliche Haus-
haltssatzung fristgerecht beschlossen wird (vgl. § 80 Absatz 2 und 4 GO NRW).




GEMEINDEORDNUNG                                       636
636

NEUES KOMMUNALES FINANZMANAGEMENT
                                             § 78 GO NRW




Diese Pflichten und Rechte kann der Bürgermeister aufgrund seiner Stellung innerhalb der Gemeinde durchset-
zen. Als Verantwortlicher für die Gemeindeverwaltung trägt er die Verantwortung für den die Aufstellung des
Entwurfs der Haushaltssatzung (vgl. § 62 Absatz 1 Satz 2 GO NRW). Als Mitglied und Vorsitzender des Rates
(Mitglied kraft Gesetzes) muss er dafür sorgen, dass ein Beschluss des Rates über die gemeindliche Haushalts-
satzung im Rahmen der gesetzlichen Bestimmungen gefasst wird (vgl. § 40 Absatz 2 Satz 3 GO NRW). Dem
Bürgermeister steht dabei nicht das Recht zu, die Tagesordnung und die Beratungen so zu gestalten, dass ein
Beschluss des Rates über den Entwurf der Haushaltssatzung auf unbestimmte Zeit verschoben wird.



2. Zu Absatz 2 (Festsetzungen in der Haushaltssatzung):

2.1 Zu Satz 1 (Festsetzungen und Haushaltsplan)

2.01 Die Inhalte der Vorschrift

Die Haushaltssatzung der Gemeinde muss die haushaltswirtschaftlichen Rahmenfestsetzungen für das Haus-
haltsjahr enthalten, die durch den Haushaltsplan näher ausgefüllt werden (vgl. Nummer 1.1.1 des Runderlasses
des Innenministeriums vom 24. Februar 2005; SMBl. NRW. 6300). Bei den Festsetzungen in der gemeindlichen
Haushaltssatzung, die unter einer Berücksichtigung der Veranschlagungen im Haushaltsplan erfolgen, sind alle
einschlägigen haushaltsrechtlichen Bestimmungen zu beachten, z. B. die Planungsgrundsätze. Der Erreichung
des Haushaltsausgleichs im Haushaltsjahr hat die Gemeinde eine besondere Bedeutung beizumessen (vgl. § 75
Absatz 2 GO NRW).

Die Gemeinde kann auch aufgrund ihres Satzungsrechts nicht auf die gesetzlich vorgesehenen Festsetzungen
verzichten oder durch andere örtliche Bestimmungen ersetzen. Sie darf in ihrer Haushaltssatzung z. B. die haus-
haltsmäßigen Festsetzungen der Gesamtbeträge der Erträge und der Aufwendungen aus ihrem Ergebnisplan
nicht in getrennte Festsetzungen entsprechend der verbindlichen Produktbereiche aufteilen oder für ihre im
Haushaltsplan enthaltenen Sondervermögen abgetrennte Festsetzungen über Erträge und Aufwendungen sowie
die Einzahlungen und Auszahlungen treffen.

Durch die Festsetzungen der Gesamtbeträge der gemeindlichen Erträge und Aufwendungen aus dem Ergebnis-
plan und der Gesamtbeträge der Einzahlungen und Auszahlungen aus dem Finanzplan wird der Rahmen der
Haushaltswirtschaft festgesetzt. Dadurch wird die Gesamtsumme (Gesamtbetrag) der voraussichtlichen Erträge
der Gemeinde aufgezeigt, die der Deckung der Gesamtsumme der voraussichtlichen Aufwendungen dienen
sollen. Diese Darstellung verkörpert die Beachtung des Gesamtdeckungsprinzips durch die Gemeinde im Rah-
men ihrer Haushaltswirtschaft (vgl. § 20 GemHVO NRW).

Die Festsetzung des Gesamtbetrages der Kredite, deren Aufnahme für gemeindliche Investitionen erforderlich ist
(Kreditermächtigung), stellt ebenso eine Rahmenvorgabe dar. Des Weiteren ist der festzusetzende Gesamtbetrag
der Verpflichtungsermächtigungen, die zur Leistung von Investitionsauszahlungen in künftigen Haushaltsjahren
erforderlich sind, als Rahmenvorgabe anzusehen (vgl. § 85 GO NRW). Derartige Ermächtigungen sind aus Grün-
den der Durchführung von gemeindlichen Investitionen über mehrere Jahre erforderlich.



2.02 Fehlerhafte Festsetzungen

Die Gemeinde sollte möglichst unzutreffende und unzweckmäßige Festsetzungen in ihrer Haushaltssatzung ver-
meiden, z. B. weitere örtliche Vorgaben, wenn diese den betreffenden gesetzlichen Vorschriften einen anderen
Sinn geben und dadurch die gesetzlich vorgesehene Anwendung verfälschen. Es sollten auch nicht gesetzliche




GEMEINDEORDNUNG                                      637
637

NEUES KOMMUNALES FINANZMANAGEMENT
                                                § 78 GO NRW


Regelungen wiederholt werden, denn deren Bedeutung oder deren Vorgaben bzw. deren Einhaltung wird
dadurch nicht verändert.

Die gemeindliche Haushaltssatzung soll daher unter den „Weiteren Vorschriften“ keine Regelungen enthalten, die
nicht mit dem Haushaltsrecht vereinbar sind. Als Beispiel wird nur die letzte Festlegung genannt: Die gesetzliche
Informationspflicht gegenüber dem Rat über alle über- und außerplanmäßigen Aufwendungen und Auszahlungen
im Haushaltsjahr kann nicht ausgeschlossen oder begrenzt werden, auch wenn der Rat darüber eine satzungs-
rechtliche Regelung trifft (vgl. Beispiel 8).



      BEISPIEL:
      Fehlerhafte Festsetzungen
      -   Der Erhöhung der (festgesetzten) Verringerung der allgemeinen Rücklage im Rahmen der Haushaltsab-
          wicklung wird vorab zugestimmt.
      -    Bei einem höheren Fehlbetrag als dem geplanten Jahresfehlbetrag ist keine Nachtragssatzung zu erlas-
          sen.
      -    Der Kämmerer ist ermächtigt, bei der Inanspruchnahme von Bilanzpositionen der Passivseite der Bilanz,
          die Finanzmittel vorab bereitzustellen.
      -   Außerplanmäßige Auszahlungen für das Projekt … sind unabhängig von ihrer Höhe nicht erheblich und
          bedürfen nicht der vorherigen Zustimmung des Rates.
      -   Über- oder außerplanmäßige Auszahlungen aufgrund von Verpflichtungen aus Vorjahren fallen nicht unter
          die Vorschrift des § 83 GO NRW.
      -   Der Ausweis von Vermerken über „Mehrerträge“ und „Mehreinzahlungen“ ist zugelassen.
      -   Abweichend von den gebildeten Budgets werden jeweils für die Aufwendungen mit konsumtiven Auszah-
          lungen, für die Aufwendungen ohne Auszahlungen und für die Aufwendungen mit investiven Auszahlun-
          gen Deckungsringe gebildet.
      -   Die über- und außerplanmäßigen Ausgaben bis zu einer Betragsgrenze i. H. v. … sind gegenüber dem Rat
          nicht meldepflichtig.


                                         Beispiel 8 „Fehlerhafte Festsetzungen“

Zur Bewertung und Richtigstellung solcher Festsetzungen in der gemeindlichen Haushaltssatzung sind die betref-
fenden haushaltsrechtlichen Vorgaben heranzuziehen. Darauf wurde hier im Einzelnen verzichtet, weil ausrei-
chende Erläuterungen unter den jeweiligen Bestimmungen gegeben werden.



2.1.1 Zu Nummer 1 (Festsetzungen aus dem Haushaltsplan):

2.1.1.1 Zu Nummer 1a (Festsetzungen aus dem Ergebnisplan):

2.1.1.1.1 Allgemeine Sachlage

Die Gemeinde hat bei ihrer Haushaltsplanung das für das Haushaltsjahr voraussichtlich erzielbare Ressourcen-
aufkommen und den entstehenden Ressourcenverbrauch sorgfältig und möglichst vollständig und zutreffend zu
ermitteln. Sie hat die daraus erzielbaren Erträge und entstehenden Aufwendungen in ihrem Ergebnisplan zu
veranschlagen und dabei eine Aufteilung nach ordentlichen Erträgen und Aufwendungen, Finanzerträgen und
Finanzaufwendungen sowie nach außerordentlichen Erträge und Aufwendungen vorzunehmen (vgl. § 2 GemH-
VO NRW). Der Ergebnisplan ist deshalb der wichtigste Bestandteil des Haushaltsplans für das Haushaltsjahr.

Auf dieser Grundlage werden in der gemeindlichen Haushaltssatzung der Gesamtbetrag der Erträge und der
Gesamtbetrag der Aufwendungen für das Haushaltsjahr festgesetzt. Die Festsetzung des Gesamtbetrages in der




GEMEINDEORDNUNG                                           638
638

NEUES KOMMUNALES FINANZMANAGEMENT
                                             § 78 GO NRW


gemeindlichen Haushaltssatzung muss dabei nicht nach dieser Differenzierung erfolgen. Durch mögliche Be-
tragsunterschiede zwischen den Gesamtbeträgen lässt unmittelbar erkennen, ob die Gemeinde ihre Verpflichtung
zum Haushaltsausgleich erfüllt hat (vgl. § 75 Absatz 2 GO NRW). Ein entsprechender Differenzbetrag muss auch
im Ergebnisplan enthalten und dort als Jahresergebnis ausgewiesen sein. Dieses geplante haushaltswirtschaftli-
che Ergebnis ist dabei entweder als Jahresüberschuss (positiver Betrag) oder als Jahresfehlbetrag (negativer
Betrag) darzustellen.

Bei der Festsetzung der Gesamtbeträge von Erträgen und Aufwendungen in der gemeindlichen Haushaltssat-
zung müssen mögliche außerordentliche Erträge und Aufwendungen nicht gesondert festgesetzt werden. Vielfach
entstehen die außerordentlichen Erträge und Aufwendungen erst durch nicht von der Gemeinde planbare Ereig-
nisse im Haushaltsjahr (vgl. § 2 Absatz 1 Nummer 18 und 19 GemHVO NRW). Bei einer Planbarkeit sind die
voraussichtlichen außerordentlichen Erträge und Aufwendungen jedoch im gemeindlichen Ergebnisplan zu ver-
anschlagen, z. B. Erträge oder Aufwendungen aus einer vom Rat beschlossenen Veräußerung eines gemeindli-
chen Betriebes, die im Haushaltsjahr vollzogen werden soll. Der Vorbericht zum Haushaltsplan sollte dazu dann
nähere Angaben enthalten (vgl. § 7 GemHVO NRW).



2.1.1.1.2 Der Umgang mit dem Jahresergebnis

Die Gemeinde zeigt in der Haushaltssatzung durch die Angabe des Gesamtbetrages der Erträge und des Ge-
samtbetrages der Aufwendungen das voraussichtlich im Haushaltsjahr erzielbare Jahresergebnis auf, denn das
Ergebnis entspricht dem positiven oder negativen Differenzbetrag zwischen den beiden Gesamtbeträgen. Sie
muss dazu erkennbar und nachvollziehbar machen, wie mit diesem Jahresergebnis, das auch im Ergebnisplan
ausgewiesen wird, umgegangen werden soll.

Im Vorbericht zum Haushaltsplan kann die Gemeinde über den Umgang mit dem Jahresergebnis nähere Erläute-
rungen geben. Derartige Angaben sind insbesondere dann erforderlich, wenn ein positives Jahresergebnis bzw.
ein Jahresüberschuss voraussichtlich erzielt wird. In diesem Falle bedarf es im Rahmen der gemeindlichen
Haushaltssatzung keiner gesonderten Festsetzung durch den Rat, wie die Verrechnung mit dem gemeindlichen
Eigenkapital im Rahmen des Jahresabschlusses für das Haushaltsjahr erfolgen soll.

Bei einem voraussichtlichen negativen Jahresergebnis bedarf es einer gesonderten Festsetzung in der gemeind-
lichen Haushaltssatzung, denn dann hat der Rat, abhängig vom Bestand der Ausgleichsrücklage und/oder der
Allgemeinen Rücklage, die Verrechnung des Jahresfehlbetrages mit dem Eigenkapital der Gemeinde konkret
festzulegen. Der Verrechnung mit der Ausgleichsrücklage kommt immer ein Vorrang zu, weil dann der Haushalt-
sausgleich als erreicht gilt (vgl. § 75 Absatz 2 Satz 2 GO NRW). Mit einem Jahresfehlbetrag wird aufgezeigt, dass
Eigenkapital für die laufende Verwaltungstätigkeit der Gemeinde in Anspruch genommen werden muss.



2.1.1.2 Zu Nummer 1b (Festsetzungen aus dem Finanzplan):

2.1.1.2.1 Allgemeine Sachlage

Die Gemeinde hat bei ihrer Haushaltsplanung auch die im Haushaltsjahr voraussichtlichen Liquiditätsveränderun-
gen durch kassenmäßig wirksame Einzahlungen der Adressaten der gemeindlichen Haushaltswirtschaft sowie
durch zu leistende Auszahlungen an die Adressaten der gemeindlichen Haushaltswirtschaft einzuschätzen. Sie
muss solche erwarteten Zahlungen in ihrem gemeindlichen Finanzplan veranschlagen. Die Pflicht zur Aufstellung
des gemeindlichen Finanzplans ist insbesondere aus der Investitionstätigkeit und der Finanzierungstätigkeit der
Gemeinde hergeleitet und beinhaltet die Pflicht zur Sicherstellung einer ausreichenden Liquidität.




GEMEINDEORDNUNG                                       639
639

NEUES KOMMUNALES FINANZMANAGEMENT
                                             § 78 GO NRW


Das Aufzeigen der Finanzmittelherkunft und der Finanzmittelverwendung unter Beachtung des Grundsatzes der
Vollständigkeit ist unverzichtbar für die Ausführung der gemeindlichen Haushaltswirtschaft im Haushaltsjahr. In
der gemeindlichen Haushaltssatzung müssen daher bezogen auf den Finanzplan der Gemeinde die Gesamtbe-
träge der Einzahlungen und Auszahlungen festgesetzt werden. Die Liquiditätsveränderungen bei der Gemeinde
müssen dabei verständlich und nachvollziehbar aufgezeigt werden.

Die Gemeinde hat entsprechend der Gliederung des gemeindlichen Finanzplans gesonderte Festsetzungen für
die Zahlungen aus der laufenden Verwaltungstätigkeit, aus der Investitionstätigkeit und der Finanzierungstätigkeit
zu treffen (vgl. § 3 GemHVO NRW). Die Verpflichtung der Gemeinde zur Sicherstellung der Finanzierung von
Investitionen hat dabei eine erhebliche Bedeutung (vgl. § 75 Absatz 6 GO NRW). Ein besonderer Zusammen-
hang besteht dabei zwischen dem Saldo aus den Einzahlungen und Auszahlungen der gemeindlichen Investiti-
onstätigkeit und der Festlegung des Kreditbedarfs (Kreditermächtigung).



2.1.1.2.2 Der Umgang mit dem Fremdkapital

Im gemeindlichen Finanzplan sind von der Gemeinde im besonderen Zahlungsbereich „Einzahlungen und Aus-
zahlungen aus Finanzierungstätigkeit“ vorrangig die Einzahlungen aus der Aufnahme von Krediten für Investitio-
nen sowie die Auszahlungen für deren Tilgung getrennt voneinander zu veranschlagen. Deren Jahressummen
verändern zudem die betreffenden Passivposten in der gemeindlichen Bilanz (vgl. § 41 Absatz 3 Nummer 4.2
GemHVO NRW).

Über die haushaltsrechtliche Vorschrift zum gemeindlichen Finanzplan mit den Mindestanforderungen zur Veran-
schlagung der Einzahlungen und Auszahlungen aus der Ausnahme von Krediten für Investitionen bedarf es noch
einer gesonderten Ermächtigung des Rates, damit im Haushaltsjahr die notwendigen Kredite zur Finanzierung
der Investitionen ohne einen gesonderten Beschluss des Rates aufgenommen werden können. Gleichwohl kann
der Rat zusätzlich einen Vorbehalt für eine zusätzliche Beteiligung aussprechen oder aus anderen Gründe eine
gesonderte Beteiligung festlegen.

In diesem Zusammenhang ist zu beachten, dass im empfohlenen Muster für den Finanzplan durch die Verwen-
dung des Begriffes „Darlehen“ die von der Gemeinde im Rahmen ihrer Finanzierungstätigkeit zu veranschlagen-
den Einzahlungen und Auszahlungen inhaltlich insgesamt umrissen werden. Der Einzahlungsbetrag muss des-
halb nicht mit der Höhe der in der Haushaltssatzung festgelegten Kreditermächtigung als Höchstbetrag für die
Aufnahme von Krediten für Investitionen identisch sein.



2.1.1.3 Zu Nummer 1c (Festsetzung der Kreditermächtigung):

2.1.1.3.1 Allgemeine Grundlagen

In der jährlichen Haushaltssatzung der Gemeinde ist die Summe der im Haushaltsjahr vorgesehenen Kreditauf-
nahmen für Investitionen (Gesamtbetrag) durch den Rat der Gemeinde festzusetzen. Diese Kreditermächtigung
stellt eine Erlaubnis für die Gemeindeverwaltung dar, bei einem tatsächlichen Zahlungsbedarf für Investitionsaus-
zahlungen im Haushaltsjahr und nach der Prüfung, ob eine andere Finanzierung nicht möglich ist oder wirtschaft-
lich unzweckmäßig wäre, das erforderliche Fremdkapital aufnehmen zu dürfen (vgl. § 86 i. V. m. § 77 GO NRW).

Der satzungsmäßig festgesetzte Gesamtbetrag stellt dabei das zulässige Volumen dar, das nicht ausgeschöpft
werden muss. Er soll daher gewährleisten, dass die gemeindlichen Verpflichtungen aus solchen Geschäften auch
künftig noch mit der Leistungsfähigkeit der Gemeinde in Einklang stehen. Die Gesamthöhe der Kreditermächti-
gung als Fremdfinanzierungsbedarf der Gemeinde ist einerseits von der für das Haushaltsjahr vorgesehenen
Anschaffung oder Herstellung von Vermögensgegenständen für die gemeindliche Aufgabenerfüllung abhängig.




GEMEINDEORDNUNG                                        640
640

NEUES KOMMUNALES FINANZMANAGEMENT
                                             § 78 GO NRW




Im Finanzplan der Gemeinde müssen deshalb im vorgesehenen Umfang entsprechende Auszahlungsbeträge für
gemeindliche Investitionsmaßnahmen veranschlagt sein. Die Festsetzung der Kreditermächtigung in der ge-
meindlichen Haushaltssatzung und die Veranschlagung im Finanzplan bedeuten dabei keine Doppelerfassung
der Investitionskredite der Gemeinde. Die Zusammenfassung in einen Gesamtbetrag stellt eine Ermächtigung zur
bedarfsgerechten Finanzierung der Investitionen innerhalb der gemeindlichen Haushaltswirtschaft im Haushalts-
jahr dar. Das Gesamtdeckungsprinzip führt dabei dazu, dass die Kreditaufnahmen nicht bestimmten Investitions-
maßnahmen zugeordnet werden müssen (vgl. § 20 GemHVO NRW).

Der Gesamtbetrag der Kreditermächtigung in der gemeindlichen Haushaltssatzung muss entsprechend dem
haushaltsmäßigen Bedarf zur Finanzierung gemeindlicher Investitionen bemessen werden. Die Kreditermächti-
gung darf nicht mit einem geringeren Betrag ausgewiesen werden, wenn ein höherer Zahlungsbedarf im Haus-
haltsjahr für gemeindliche Investitionen besteht, der im gemeindlichen Haushaltsplan veranschlagt worden ist,
und nicht durch eine andere Finanzierung gedeckt werden kann. Es ist aber auch nicht zulässig, eine Krediter-
mächtigung für Investitionen in der Haushaltssatzung der Gemeinde festzulegen, die den negativen Saldo der
gemeindlichen Investitionstätigkeit übersteigt.

Der gemeindliche Kreditbedarf im Haushaltsjahr wird daher auch durch die Einzahlungen für gemeindliche Inves-
titionsmaßnahmen beeinflusst, z. B. Zuwendungen für gemeindliche Investitionen. Die tatsächliche Kreditaufnah-
me im Haushaltsjahr ist zudem auch von den verfügbaren Eigenmitteln der Gemeinde abhängig. Außerdem kann
die Gemeinde unterjährig ihre Liquidität durch die Aufnahme von Krediten zur Liquiditätssicherung verstärken und
dann kassenmäßig auch die Auszahlungen für Investitionen leisten, jedoch ohne dadurch eine haushaltsmäßige
Deckung zu erreichen.

Die Gemeinde muss daher spätestens in ihrer Finanzrechnung im Jahresabschluss des Haushaltsjahres nach-
weisen, dass ihren Auszahlungen aus Investitionstätigkeit unter Berücksichtigung des Grundsatzes der Gesamt-
deckung auch haushaltsmäßige Einzahlungen gegenüberstehen und daher gedeckt sind (vgl. §§ 20 und 39
GemHVO NRW). Eine mögliche geringere Kreditermächtigung als die Summe der veranschlagten Einzahlungen
aus der Aufnahme von Krediten für Investitionen lässt eine Aufnahme von Fremdkapital durch die Gemeinde in
Höhe des negativen Differenzbetrages jedoch nicht zu.

Die Gemeinde muss im Rahmen der Haushaltssatzung aber nicht zwingend eine Festsetzung über die Aufnahme
von Investitionskrediten treffen. In den Fällen, in denen von der Gemeinde nicht die Aufnahme von Krediten für
gemeindliche Investitionen im Haushaltsjahr vorgesehen ist, soll die gemeindliche Haushaltssatzung eine darauf
ausgerichtete Festsetzung enthalten, z. B. „Kredite für Investitionen werden nicht veranschlagt“. Dadurch wird die
Nachvollziehbarkeit der gemeindlichen Finanzierung zu erleichtert.

Im Zusammenhang mit einer festzusetzenden Kreditermächtigung sollen dem Rat sachgerechte Informationen
über die Art und ggf. die Volumina der Aufnahme von voraussichtlich benötigten Investitionskredite im Vergleich
zu den gemeindlichen Investitionsmaßnahmen gegeben werden. Dazu kann z. B. gehören, dass der Gesamtbe-
trag der Kreditermächtigung einen Zahlungsbedarf umfassen, der aufgrund von Investitionen auch bei den ge-
meindlichen Betrieben besteht. Bei solchen Maßnahmen kann die Gemeinde sich unterstützend in die Finanzie-
rungsmaßnahmen der gemeindlichen Betriebe einschalten und kann ihren Betrieben zweckbezogene Investiti-
onszuschüsse als rückzahlbare Darlehen oder nicht rückzahlbare Zuschüsse gewähren.

Bei größeren Kreditvolumen im Einzelfall oder bei einer speziellen Form der Kreditaufnahme durch die Gemeinde
kann es aber auch geboten sein, den Rat in ein einzelnes Rechtsgeschäft bzw. die haushaltsmäßige Abwicklung
einzubinden, sofern nicht allgemeine örtliche Richtlinien darüber bestehen. Der Rat kann ggf. aber auch in der
jährlichen Haushaltssatzung eine Vorbehaltsregelung zur Kreditaufnahme verankern, z. B. als weitere haushalts-
wirtschaftliche Bestimmung.




GEMEINDEORDNUNG                                        641
641

Zur nächsten Seite