zuwendungenandnr-mitglieder2014-2022

Dieses Dokument ist Teil der Anfrage „Informationen über die Finanzierung von NGOs

/ 20
PDF herunterladen
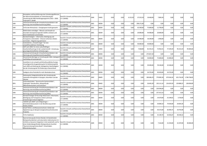
Konzeption und Durchführung einer Umsetzungsoffensive
      der Naturschutzverbände zur Unterstützung der               Bund für Umwelt und Naturschutz Deutschland
BFN                                                                                                           1604   54401   0,00   0,00   6.153,20    27.252,24    18.460,04     7.804,36         0,00         0,00          0,00
      Umsetzung des NBS-Handlungsprogramms 2015 – 2020;           e.V. (BUND)
      Teilprojekt 2; BUND
      Interessenvertretung der Umweltschutzverbände in der        Bund für Umwelt und Naturschutz Deutschland
UBA                                                                                                           1601   68504   0,00   0,00      0,00    298.171,00         0,00         0,00         0,00         0,00          0,00
      Normung und Umweltkennzeichnung (KNU)                       e.V. (BUND)
                                                                  Bund für Umwelt und Naturschutz Deutschland
UBA   Fit für den Klimaschutz – Energiesparen leicht gemacht!                                                 1601   68504   0,00   0,00      0,00     62.500,00    75.800,00    11.700,00         0,00         0,00           0,00
                                                                  e.V. (BUND)
      REACH-Ziele verteidigen - Mensch und Umwelt vor
                                                                  Bund für Umwelt und Naturschutz Deutschland
UBA   besonders besorgniserregenden Stoffen schützen und                                                      1601   68504   0,00   0,00      0,00     20.000,00    44.900,00    20.000,00         0,00         0,00           0,00
                                                                  e.V. (BUND)
      deren Substitution vorantreiben
      Nanotechnologien – Information, Beteiligung und
                                                                  Bund für Umwelt und Naturschutz Deutschland
UBA   Transparenz sicherstellen - Chancen erkennen, Risiken                                                   1601   68504   0,00   0,00      0,00     19.400,00    18.200,00     1.900,00         0,00         0,00           0,00
                                                                  e.V. (BUND)
      vermeiden – Regulierung optimieren
      Verbindliches „Tierwohl-Siegel “ für eine                   Bund für Umwelt und Naturschutz Deutschland
UBA                                                                                                           1601   68504   0,00   0,00      0,00     40.000,00    40.000,00         0,00         0,00         0,00          0,00
      umweltfreundlichere Tierhaltung                             e.V. (BUND)
      GAP nach 2020: Für einen zukunftsfähigen
                                                                  Bund für Umwelt und Naturschutz Deutschland
BFN   Gesellschaftsvertrag mit der Landwirtschaft - Umsetzung                                                 1604   54401   0,00   0,00      0,00      7.668,00    81.355,31    73.962,41    77.249,44    95.213,19     95.820,60
                                                                  e.V. (BUND)
      gesamtgesellschaftlicher Anforderungen.
      Interessenvertretung der Umweltschutzverbände in der        Bund für Umwelt und Naturschutz Deutschland
UBA                                                                                                           1601   68504   0,00   0,00      0,00          0,00   275.827,28         0,00         0,00         0,00          0,00
      Normung und Umweltkennzeichnung (KNU)                       e.V. (BUND)
      Deutschlands Beiträge zur Erreichung der SDGs: ökologisch   Bund für Umwelt und Naturschutz Deutschland
UBA                                                                                                           1601   68504   0,00   0,00      0,00          0,00    50.000,00    75.000,00    25.000,00         0,00           0,00
      nachhaltig und sozial gerecht                               e.V. (BUND)
      Investition in ein umwelt-und klimafreundliches Europa:
      Umweltgerechte Ausgestaltung der EU-Kohäsionspolitik        Bund für Umwelt und Naturschutz Deutschland
UBA                                                                                                           1601   68504   0,00   0,00      0,00          0,00    39.400,00    78.100,00    32.500,00         0,00           0,00
      nach 2020 und Stärkung der ökologischen Nachhaltigkeit      e.V. (BUND)
      bei der Umsetzung der EU-Förderung in Deutschland

                                                                  Bund für Umwelt und Naturschutz Deutschland
UBA   Stadtgrün ohne Pestizide für mehr Bestäuberschutz                                                       1601   68504   0,00   0,00      0,00          0,00    24.725,00    49.450,00    24.725,00         0,00           0,00
                                                                  e.V. (BUND)
      Stärkung der Zivilgesellschaft bei der Umsetzung der
                                                                  Bund für Umwelt und Naturschutz Deutschland
ZUG   nationalen Klimapolitik in Georgien, Kolumbien und der                                                  1602   89605   0,00   0,00      0,00          0,00   309.686,29   779.085,58   679.264,34   625.716,90   1.784.738,85
                                                                  e.V. (BUND)
      Ukraine
      Verbundvorhaben: "Spurensuche Gartenschläfer",
                                                                  Bund für Umwelt und Naturschutz Deutschland
BFN   Teilprojekt "Koordination, übergreifende                                                                1604   89402   0,00   0,00      0,00          0,00    36.465,28   192.111,16   156.659,50   139.880,23    138.830,89
                                                                  e.V. (BUND)
      Öffentlichkeitsarbeit und Evaluation"
      Interessenvertretung der Umweltschutzverbände in der        Bund für Umwelt und Naturschutz Deutschland
UBA                                                                                                           1601   68504   0,00   0,00      0,00          0,00         0,00   239.946,00         0,00         0,00          0,00
      Normung und Umweltkennzeichnung (KNU)                       e.V. (BUND)
      Interessenvertretung der Umweltschutzverbände in der        Bund für Umwelt und Naturschutz Deutschland
UBA                                                                                                           1601   68504   0,00   0,00      0,00          0,00         0,00   257.413,10         0,00         0,00          0,00
      Normung und Umweltkennzeichnung (KNU)                       e.V. (BUND)
      Nanotechnologien & Neuartige Materialien: Information,
                                                                  Bund für Umwelt und Naturschutz Deutschland
UBA   Beteiligung und Transparenz sichern und neue                                                            1601   68504   0,00   0,00      0,00          0,00         0,00    14.670,00    25.248,01     3.720,00          0,00
                                                                  e.V. (BUND)
      Entwicklungen kritisch begleiten
      "SAICM nach 2020" zum Erfolg bringen –
                                                                  Bund für Umwelt und Naturschutz Deutschland
UBA   Chemikalienbewusstsein in der Bevölkerung und der                                                       1601   68504   0,00   0,00      0,00          0,00         0,00    50.000,10    74.920,00    29.093,30          0,00
                                                                  e.V. (BUND)
      Politik erhöhen
      Smart? Klima- und Ressourcenschutz in Zeiten der
                                                                  Bund für Umwelt und Naturschutz Deutschland
UBA   Digitalisierung am Beispiel energieverbrauchsrelevanter                                                 1601   68504   0,00   0,00      0,00          0,00         0,00    50.272,00    66.904,75    18.793,98          0,00
                                                                  e.V. (BUND)
      Produkte.
                                                                  Bund für Umwelt und Naturschutz Deutschland
BFN   Fit für Stadtnatur                                                                                      1601   68504   0,00   0,00      0,00          0,00         0,00    35.189,70    63.926,07    48.448,32          0,00
                                                                  e.V. (BUND)
      Quervernetzung des Grünen Bandes mit bestehenden
      Biotopverbundachsen und naturnahen Lebensräumen im
      Umfeld zur besseren Integration in die Landschaft und für Bund für Umwelt und Naturschutz Deutschland
BFN                                                                                                         1604     89402   0,00   0,00      0,00          0,00         0,00     7.162,00    31.359,00    32.297,00     38.484,00
      einen länderübergreifenden Biotopverbund, Kurztitel:      e.V. (BUND)
      "Quervernetzung Grünes Band", Teilvorhaben:
      Öffentlichkeitsarbeit
3

Interessenvertretung der Umweltschutzverbände in der          Bund für Umwelt und Naturschutz Deutschland
UBA                                                                                                             1601     68504        0,00        0,00         0,00        0,00         0,00         0,00   203.094,54         0,00        0,00
      Normung und Umweltkennzeichnung (KNU)                         e.V. (BUND)
      Mehr als Effizienz und neue Technologien: Strategien, um
                                                                    Bund für Umwelt und Naturschutz Deutschland
UBA   die deutschen Klimaschutz- und Nachhaltigkeitsziele zu                                                    1601     68504        0,00        0,00         0,00        0,00         0,00         0,00    40.000,00         0,00        0,00
                                                                    e.V. (BUND)
      erreichen
      Naturpark pestizidfreie Kleingärten: vernetzte Gärten zum     Bund für Umwelt und Naturschutz Deutschland
UBA                                                                                                               1601   68504        0,00        0,00         0,00        0,00         0,00         0,00    33.115,69    69.087,15   35.176,84
      Schutz von Insekten                                           e.V. (BUND)
      Lebenswerte Stadt – junge Visionen für eine                   Bund für Umwelt und Naturschutz Deutschland
UBA                                                                                                               1601   68504        0,00        0,00         0,00        0,00         0,00         0,00    33.356,00    61.729,00   24.915,00
      Mobilitätswende                                               e.V. (BUND)
      Mobilitätswende im Dialog - ökologisch und                    Bund für Umwelt und Naturschutz Deutschland
UBA                                                                                                               1601   68504        0,00        0,00         0,00        0,00         0,00         0,00    29.992,15         0,00        0,00
      sozialverträglich                                             e.V. (BUND)
      Interessenvertretung der Umweltverbände in der                Bund für Umwelt und Naturschutz Deutschland
UBA                                                                                                               1601   68504        0,00        0,00         0,00        0,00         0,00         0,00         0,00   236.968,21        0,00
      Normung und Umweltkennzeichnung                               e.V. (BUND)
      Ökologisch und sozial: Nachhaltigkeitsziele erreichen –
                                                                    Bund für Umwelt und Naturschutz Deutschland
UBA   Ressourcenverbrauch senken und den Wandel sozial                                                          1601     68504        0,00        0,00         0,00        0,00         0,00         0,00         0,00    62.498,60   74.997,20
                                                                    e.V. (BUND)
      gerecht gestalten
      Stadt trifft Natur- nationale Aufgabe und lokale              Bund für Umwelt und Naturschutz Deutschland
BFN                                                                                                             1601     68504        0,00        0,00         0,00        0,00         0,00         0,00         0,00    20.166,88   81.384,12
      Herausforderung                                               e.V. (BUND)
      Nationale und EU-weite Schritte zu einem sicheren
      internationalen Chemikalienmanagement: UN-
      Nachhaltigkeitsziele erreichen, Chemie-, Ressourcen-,         Bund für Umwelt und Naturschutz Deutschland
UBA                                                                                                             1601     68504        0,00        0,00         0,00        0,00         0,00         0,00         0,00    24.569,61   49.971,65
      Produkt- und Abfallpolitik verbinden, die Bedeutung für       e.V. (BUND)
      Klimaschutz und Biodiversität darstellen, global und sozial
      gerechte Lösungsschritte entwickeln.
      Aufbau und Koordination eines Verbände-
                                                                    Bund für Umwelt und Naturschutz Deutschland
BFN   Kompetenznetzwerks "Umweltschutz und neue                                                                 1601     68504        0,00        0,00         0,00        0,00         0,00         0,00         0,00         0,00   27.546,38
                                                                    e.V. (BUND)
      Gentechniken"
      Selbstbestimmte Digitalisierung für Umweltschutz und die      Bund für Umwelt und Naturschutz Deutschland
UBA                                                                                                             1601     68504        0,00        0,00         0,00        0,00         0,00         0,00         0,00         0,00   57.902,44
      sozial-ökologische Transformation                             e.V. (BUND)
      Fit und Regional: die Zukunft von naturbasiertem              Bund für Umwelt und Naturschutz Deutschland
UBA                                                                                                             1601     68504        0,00        0,00         0,00        0,00         0,00         0,00         0,00         0,00   41.839,59
      Klimaschutz und lokaler Klimafolgenanpassung                  e.V. (BUND)
                                                                    Bund für Umwelt und Naturschutz Deutschland
UBA   Pestizidfreier Biotopverbund                                                                              1601     68504        0,00        0,00         0,00        0,00         0,00         0,00         0,00         0,00   21.826,28
                                                                    e.V. (BUND)
                                                                    Bundesdeutscher Arbeitskreis für
UBA   Auslobung des Wettbewerbs Büro & Umwelt 2021                                                            1601       68504        0,00        0,00         0,00        0,00         0,00         0,00    20.000,00         0,00        0,00
                                                                    umweltbewußtes Management (B.A.U.M.) e.V.

      Nachhaltigkeitsorientierte MobilityPolicies in                Bundesdeutscher Arbeitskreis für
UBA                                                                                                           1601       68504        0,00        0,00         0,00        0,00         0,00         0,00         0,00    43.669,59   18.330,89
      Unternehmen                                                   umweltbewußtes Management (B.A.U.M.) e.V.

      SDG-Scouts – Auszubildende und Trainees für                   Bundesdeutscher Arbeitskreis für
UBA                                                                                                           1601       68504        0,00        0,00         0,00        0,00         0,00         0,00         0,00         0,00   29.593,61
      Nachhaltigkeit                                                umweltbewußtes Management (B.A.U.M.) e.V.

                                                                    Bundesverband beruflicher Naturschutz (BBN)
BFN   Durchführung 32. Deutscher Naturschutztag                                                                   1602   68504   99.276,39   32.013,60         0,00        0,00         0,00         0,00         0,00         0,00        0,00
                                                                    e.V.
                                                                    Bundesverband beruflicher Naturschutz (BBN)
BFN   33. Deutscher Naturschutztag 2016, Vorbereitung                                                             1601   68504        0,00   26.180,00         0,00        0,00         0,00         0,00         0,00         0,00        0,00
                                                                    e.V.
      33. Deutscher Naturschutztag vom 13. bis 17.09.2016 in        Bundesverband beruflicher Naturschutz (BBN)
BFN                                                                                                               1601   68504        0,00        0,00   113.783,00   26.690,16         0,00         0,00         0,00         0,00        0,00
      Magdeburg.                                                    e.V.
      34. Deutscher Naturschutztag 2018; hier:                      Bundesverband beruflicher Naturschutz (BBN)
BFN                                                                                                               1601   68504        0,00        0,00         0,00   32.420,00     4.814,30         0,00         0,00         0,00        0,00
      Vorbereitungsarbeiten im Haushaltsjahr 2017                   e.V.
      Festveranstaltung "70 Jahre Bundesverband Beruflicher         Bundesverband beruflicher Naturschutz (BBN)
BFN                                                                                                               1601   68504        0,00        0,00         0,00    7.782,00         0,00         0,00         0,00         0,00        0,00
      Naturschutz"                                                  e.V.
                                                                    Bundesverband beruflicher Naturschutz (BBN)
BFN   34. Deutscher Naturschutztag 2018                                                                           1601   68504        0,00        0,00         0,00        0,00   130.099,79    27.758,10         0,00         0,00        0,00
                                                                    e.V.
      Vorbereitung und Durchführung des 35. Deutschen
                                                                    Bundesverband beruflicher Naturschutz (BBN)
BFN   Naturschutztages 2020 / Weiterentwicklung der                                                               1604   54401        0,00        0,00         0,00        0,00         0,00   114.959,36   160.629,08   174.942,65        0,00
                                                                    e.V.
      Konzeption der Deutschen Naturschutztage
4

Vorbereitung und Durchführung des 36. Deutschen
                                                                  Bundesverband beruflicher Naturschutz (BBN)
BFN   Naturschutztages 2022 / Weiterentwicklung der                                                             1604   54401         0,00         0,00         0,00        0,00        0,00        0,00         0,00   153.402,00   294.414,40
                                                                  e.V.
      Konzeption der Deutschen Naturschutztage
      Arbeitstreffen zu Vernetzung von Mitgliedern und
UBA                                                               Bundesvereinigung gegen Fluglärm e.V. (BVF)   1601   68504    13.300,00         0,00         0,00        0,00        0,00        0,00         0,00         0,00         0,00
      möglichen Kandidaten der deutschen
      Tagung zur Aus-und Weiterbildung von Mitgliedern und
UBA   Kandidaten der Beratungskommissionen gem. §32b              Bundesvereinigung gegen Fluglärm e.V. (BVF)   1601   68504         0,00         0,00    14.618,00        0,00        0,00        0,00         0,00         0,00         0,00
      LuftVG
      Fortbildung zum Thema Fluglärm, Möglichkeiten der
UBA                                                               Bundesvereinigung gegen Fluglärm e.V. (BVF)   1601   68504         0,00         0,00         0,00        0,00        0,00   13.400,00         0,00         0,00         0,00
      Vermeidung und Problematik von Ultrafeinstaub
      Fortbildungsveranstaltung Auswirkungen des Flugverkehrs
UBA                                                               Bundesvereinigung gegen Fluglärm e.V. (BVF)   1601   68504         0,00         0,00         0,00        0,00        0,00        0,00         0,00         0,00    13.370,00
      auf Klima, Umwelt und Gesundheit
      Aufbau und Kommunikation eines Netzwerks zur
      Erfassung, Qualifizierung und Weiterentwicklung von
                                                               Deutsche Gesellschaft für Gartenkunst und
BFN   bürgerschaftlichem Engagement für den Erhalt, die Pflege                                                  1601   68504         0,00         0,00         0,00   26.956,11   41.047,78   47.763,45         0,00         0,00         0,00
                                                               Landschaftskultur e.V.
      und die Entwicklung von gestalterisch und ökologisch
      bedeutsamen Park- und Gartenanlagen in Deutschland.
BFN   Fischereidialog Nordsee                                     Deutsche Umwelthilfe e.V.                     1602   68504    52.034,46         0,00         0,00        0,00        0,00        0,00         0,00         0,00         0,00

      Entwicklung von Methoden und Instrumenten zur
BFN   Förderung von Wildnisgebieten durch lokale Inwertsetzung Deutsche Umwelthilfe e.V.                        1604   89402   151.001,43         0,00         0,00        0,00        0,00        0,00         0,00         0,00         0,00
      am Beispiel der Region Stettiner Haff. Phase 1 - Vorstudie

      Plastiktüte war gestern – Ressourcen effizient nutzen ---
      Das Projekt soll Handlungsoptionen zur Verringerung des
UBA                                                             Deutsche Umwelthilfe e.V.                       1601   53205    38.479,00         0,00         0,00        0,00        0,00        0,00         0,00         0,00         0,00
      Plastiktütenverbrauchs in Deutschland und anderen EU-
      Mitgliedstaaten eruieren, zusammenfassen und bewerten.

      Auswertung deutschland- und EU-weiter Höchstspannungs-
      Erdkabelprojekte hinsichtlich vorhabenspezifischer
      Auswirkungen und Trassengestaltung aus Naturschutzsicht
BFN                                                           Deutsche Umwelthilfe e.V.                         1604   54401    10.893,66   157.127,53    24.921,11        0,00        0,00        0,00         0,00         0,00         0,00
      (z.B. Erfahrungen mit Erwärmung und Begrünung mit
      Gehölzen). Erarbeitung erster Hinweise für eine
      naturverträgliche Trassengestaltung mit Gehölzen.
BFN   Neue Wildnispotentiale in der Bergbaufolgelandschaft    Deutsche Umwelthilfe e.V.                         1601   68504    25.542,90         0,00         0,00        0,00        0,00        0,00         0,00         0,00         0,00
      Biotopverbindendes Trassenmanagement unter
      Freileitungen - Naturschutzfachlicher Mehrwert für
BFN   bundesweit bedeutsame Trocken- und Wald-                Deutsche Umwelthilfe e.V.                         1604   54401         0,00    50.242,37   132.032,17    6.406,88        0,00    1.230,95         0,00         0,00         0,00
      Lebensraumkorridore durch ökologisches Management
      anhand von Beispielen in Rheinland-Pfalz
      Dialogprozess Naturentwicklungspotentiale sächsische
BFN                                                           Deutsche Umwelthilfe e.V.                         1601   68504         0,00         0,00         0,00   17.770,03   10.339,77        0,00         0,00         0,00         0,00
      Lausitz
      Konzeption zum Mainstreaming eines biotopverbindenden
BFN                                                         Deutsche Umwelthilfe e.V.                           1601   68504         0,00         0,00         0,00        0,00   27.354,71        0,00         0,00         0,00         0,00
      Trassenmanagements unter Freileitungen

      Strategien zur Stickstoffreduktion im Rahmen der
UBA                                                               Deutsche Umwelthilfe e.V.                     1601   68504         0,00         0,00         0,00        0,00        0,00   37.497,57    66.966,36    15.000,00         0,00
      Nachhaltigkeitsziele
      Wieviel Soja steckt im Schnitzel? Innovative Kampagne für
UBA                                                               Deutsche Umwelthilfe e.V.                     1601   68504         0,00         0,00         0,00        0,00        0,00        0,00    39.989,94    59.516,96    14.190,78
      mehr Transparenz bei Futtermitteln
      F+E-Vorhaben "Mainstreaming der wissenschaftlichen
BFN                                                               Deutsche Umwelthilfe e.V.                     1604   54401         0,00         0,00         0,00        0,00        0,00        0,00   104.556,00   120.858,00         0,00
      Ergebnisse von Naturkapital Deutschland"
      Drei Mal am Tag Fleisch? Positivkampagne zur Stärkung
UBA                                                               Deutsche Umwelthilfe e.V.                     1601   68504         0,00         0,00         0,00        0,00        0,00        0,00         0,00         0,00    46.740,60
      von pflanzlicheren Ernährungsumgebungen
      Unterstützung und Untersuchung von
      Partizipationsprozessen für Kinder und Jugendliche in
UBA                                                               Deutsche Umwelthilfe e.V.                     1601   68504    21.365,00         0,00         0,00        0,00        0,00        0,00         0,00         0,00         0,00
      benachteiligten Quartieren im Hinblick auf
      Umweltgerechtigkeit und politische Synergien
5

Gezielte Informationsvermittlung für relevante Akteure
      und Entscheidungsträger zum Thema
UBA   Umweltgerechtigkeit. Austausch und Entwicklung von      Deutsche Umwelthilfe e.V.                          1601   68504    72.257,00    39.202,00         0,00         0,00         0,00         0,00        0,00         0,00         0,00
      konkreten Handlungsansätzen mit diesen Multiplikatoren-
      Gruppen. Aufbau eines Multiplikatoren-Netzwerkes.

      Konzeption und Durchführung einer Umsetzungsoffensive
      der Naturschutzverbände zur Unterstützung der
BFN                                                                Deutsche Umwelthilfe e.V.                     1604   54401         0,00         0,00     9.306,16    30.006,48    17.674,51     4.448,43        0,00         0,00         0,00
      Umsetzung des NBS-Handlungsprogramms 2015 – 2020;
      Teilprojekt III; DUH
      Stadtgrün: Artenreich und Vielfältig - Teilvorhaben:
BFN   Durchführung der Fachkongresse und Erarbeitung der           Deutsche Umwelthilfe e.V.                     1604   89402         0,00         0,00    39.575,70    69.500,70    54.576,90    55.476,00   55.758,60    32.842,55         0,00
      Projektmaterialien
      Etablierung eines kommunalen Bündnisses für biologische
BFN                                                                Deutsche Umwelthilfe e.V.                     1604   54401    15.312,35         0,00         0,00         0,00         0,00         0,00        0,00         0,00         0,00
      Vielfalt einschließlich Fachkongress
      Etablierung der ersten "grünen Crowdfunding Plattform",
      die umweltorientierten Bürgerinnen und Bürgern die
UBA                                                                Deutsche Umweltstiftung                       1601   68504    69.000,00    29.356,00         0,00         0,00         0,00         0,00        0,00         0,00         0,00
      Möglichkeit bietet, direkt und unmittelbar in
      Umweltschutzprojekte zu investieren.
      Aufbau einer Bürgerbeteiligungs-Plattform zur Beteiligung
UBA                                                             Deutsche Umweltstiftung                          1601   68504    49.103,00         0,00         0,00         0,00         0,00         0,00        0,00         0,00         0,00
      der Kommission "Lagerung hochradioaktiver Abfallstoffe"

      Weiterentwicklung einer Bürgerbeteiligungs-
UBA   Internetplattform Kommission „Lagerung hochradioaktiver Deutsche Umweltstiftung                            1601   68504         0,00    95.000,00   102.500,00         0,00         0,00         0,00        0,00         0,00         0,00
      Abfallstoffe“
UBA   Crowdfunding-Beratungsangebot für nachhaltige Projekte Deutsche Umweltstiftung                             1601   68504         0,00         0,00    25.050,00    24.750,00         0,00         0,00        0,00         0,00         0,00
UBA   Einfach machen – die Suffizienzdetektive                     Deutsche Umweltstiftung                       1601   68504         0,00         0,00         0,00         0,00         0,00         0,00   68.607,00    13.338,00         0,00
      Verbund: Alpenflusslandschaften - Vielfalt leben von
BFN   Ammersee bis Zugspitze; Teilvorhaben Hotspot                 Deutscher Alpenverein e.V.                    1604   89402         0,00         0,00         0,00    28.242,00    56.293,06     4.469,64    1.249,50         0,00         0,00
      Fachveranstaltung, Ausstellung alpines Museum
      Konzept und Durchführung einer Umsetzungsoffensive der       Deutscher Naturschutzring e. V. (DNR),
BFN   Naturschutzverbände zur Unterstützung der Umsetzung          Dachverband der deutschen Natur-, Tier- und 1604     54401         0,00         0,00    11.160,00    25.180,00    12.450,00    10.285,00        0,00         0,00         0,00
      des NBS Handlungsprogramms 2015-2010                         Umweltschutzorganisationen
                                                                   Deutscher Verband für Landschaftspflege (DVL)
BFN   Rotmilan - Land zum Leben. Dachvorhaben: Koordination                                                      1604   89402   221.567,90   190.747,45   162.973,26   166.082,67   183.414,51   213.159,02   35.287,21         0,00         0,00
                                                                   e.V.
      Erhalt der Kulturlandschaft in den Karpaten Rumäniens
                                                                   Deutscher Verband für Landschaftspflege (DVL)
UBA   durch KooperationenZwischen Landwirtschaft,                                                                1601   68787         0,00    32.408,41    42.527,66    36.232,11         0,00         0,00        0,00         0,00         0,00
                                                                   e.V.
      Landschaftspflege und Tourismus
      Umgang mit Kreuzkräutern auf relevanten Flächen des          Deutscher Verband für Landschaftspflege (DVL)
BFN                                                                                                              1601   68504         0,00         0,00    12.038,41    28.531,13         0,00         0,00        0,00         0,00         0,00
      Naturschutzes                                                e.V.
      Gemeinsame Agrarpolitik: Öffentliches Geld für öffentliche
      Leistungen –Weiterentwicklung eines Modells zur              Deutscher Verband für Landschaftspflege (DVL)
BFN                                                                                                              1604   54401         0,00         0,00         0,00     9.942,17    94.898,00   123.512,67    4.219,25         0,00         0,00
      Honorierung von Umweltleistungen der Landwirtschaft in       e.V.
      der Agrarpolitik (GAP)
      Landwirte informieren Landwirte - Natura 2000 geht in die    Deutscher Verband für Landschaftspflege (DVL)
BFN                                                                                                              1601   68504         0,00         0,00         0,00         0,00         0,00    37.978,29   17.443,28         0,00         0,00
      Praxis                                                       e.V.
      Natürlichen Wasserrückhalt in der Agrarlandschaft
                                                                   Deutscher Verband für Landschaftspflege (DVL)
UBA   verbessern - Katastrophen durch Starkregen und                                                             1601   68504         0,00         0,00         0,00         0,00         0,00         0,00   42.939,59    25.484,94         0,00
                                                                   e.V.
      Trockenheit verhindern
      Rebhuhn retten – Vielfalt fördern! Teilvorhaben A:           Deutscher Verband für Landschaftspflege (DVL)
BFN                                                                                                              1604   89402         0,00         0,00         0,00         0,00         0,00         0,00        0,00   123.159,56   155.244,19
      Koordination                                                 e.V.
      Ausbau von Leitungsnetzen - Kooperative Umsetzung von
                                                                   DVL (Deutscher Verband für Landschaftspflege
      Ausgleichsmaßnahmen und Entwicklung von
BFN                                                                e.V.) in Kooperation mit dem NABU            1602    68504    40.916,00         0,00         0,00         0,00         0,00         0,00        0,00         0,00         0,00
      Leitungstrassen als Flächen für Schaffung von
                                                                   (Naturschutzbund Deutschland e.V.)
      Biotopverbundes.
      Internationale Konferenz zum Jubiläum "10 Jahre Initiative
BFN                                                                EuroNatur - Stiftung Europäisches Naturerbe   1604   53205    14.160,00         0,00         0,00         0,00         0,00         0,00        0,00         0,00         0,00
      Grünes Band Europa"
6

Identifizierung von regionalen Potentialen zur Steigerung
      der Ressourceneffizienz - Beratung beim Aufbau regionaler
UBA   und dezentrler Wirtschafts- und Versorgungsstrukturen in EuroNatur - Stiftung Europäisches Naturerbe     1601    68787   141.207,46   169.511,14        0,00         0,00         0,00        0,00        0,00        0,00        0,00
      Podlassien, Polen (vorrangig am Beispiel erneuerbarer
      Energien)
      Naturschutz und nachhaltige Entwicklung am Grünen Band
BFN                                                             EuroNatur - Stiftung Europäisches Naturerbe    1604    53205         0,00    12.417,60   38.900,14    11.942,26         0,00        0,00        0,00        0,00        0,00
      in Albanien
BFN   Das Grüne Band Europa als Teil der Grünen Infrastruktur    EuroNatur - Stiftung Europäisches Naturerbe   1604    54401         0,00    13.578,71   51.659,31    30.756,35    24.768,79        0,00        0,00        0,00        0,00

      Ressourcenschonende Regionalentwicklung in Podlasien
UBA                                                              EuroNatur - Stiftung Europäisches Naturerbe   1601    68787         0,00         0,00   99.767,20   164.511,80   163.379,80   86.379,60        0,00        0,00        0,00
      (Polen)
UBA   Verbesserung der Konnektivität am Grünen Band Balkan       EuroNatur - Stiftung Europäisches Naturerbe   1601    68787         0,00         0,00        0,00         0,00         0,00        0,00        0,00    1.646,68   57.316,76

      Freisetzung des Potentials für erhöhte Förderung der
ZUG                                                              EuroNatur - Stiftung Europäisches Naturerbe   1601    53205         0,00         0,00        0,00         0,00         0,00        0,00        0,00        0,00   94.122,90
      Biodiversität
BFN   Zuschuss für Tierheime                                     Europäischer Tier- und Naturschutz e.V.        1604   68601         0,00         0,00        0,00         0,00         0,00        0,00        0,00    7.500,00        0,00
                                                                 Forum für internationale Entwicklung + Planung
UBA   „Umweltbildung: ganz einfach interkulturell“                                                              1601   68504         0,00         0,00        0,00         0,00    20.000,00   74.127,00   48.000,00        0,00        0,00
                                                                 - FINEP e.V.
      Blockaden lösen und Potenziale erschließen: Der Beitrag
                                                                 Forum Ökologisch-Soziale Marktwirtschaft e.V.
UBA   marktbasierter Lösungen zur Steigerung der                                                               1601    68504    51.325,00         0,00        0,00         0,00         0,00        0,00        0,00        0,00        0,00
                                                                 (FÖS)
      Energieeffizienz.
      Potentiale ökonomischer Instrumente im Straßenverkehr
                                                                 Forum Ökologisch-Soziale Marktwirtschaft e.V.
UBA   und ihr (möglicher) Beitrag zur Mobilitätsfinanzierung und                                               1601    68504    48.350,00    72.400,00   26.850,00         0,00         0,00        0,00        0,00        0,00        0,00
                                                                 (FÖS)
      der Internalisierung externer Kosten

      Neue Impulse für die Agrarwirtschaft — mit ökonomischen
                                                              Forum Ökologisch-Soziale Marktwirtschaft e.V.
UBA   Instrumenten auf dem Weg zu einer ökologischen                                                        1601       68504         0,00         0,00   54.000,00    74.000,00    21.500,00        0,00        0,00        0,00        0,00
                                                              (FÖS)
      Landwirtschaft und einer nachhaltigen Ernährung

      Verbesserung der Akzeptanz umweltökonomischer              Forum Ökologisch-Soziale Marktwirtschaft e.V.
UBA                                                                                                            1601    68504         0,00         0,00        0,00         0,00    46.161,00   78.497,00   73.107,80        0,00        0,00
      Politikinstrumente                                         (FÖS)
      Ökologisch-Soziale Verkehrswende – Impulse für eine        Forum Ökologisch-Soziale Marktwirtschaft e.V.
UBA                                                                                                            1601    68504         0,00         0,00        0,00         0,00         0,00        0,00        0,00   35.000,00   60.000,00
      gerechte Transformation während und nach der Krise         (FÖS)
      Gezielte Maßnahmen zur Unterstützung eines
                                                                 Forum Ökologisch-Soziale Marktwirtschaft e.V.
UBA   nachhaltigen Markthochlaufs für erneuerbaren                                                             1601    68504         0,00         0,00        0,00         0,00         0,00        0,00        0,00   26.135,96        0,00
                                                                 (FÖS)
      Wasserstoff zur Erreichung der deutschen Klimaziele
      Zivilgesellschaftliche Begleitung des Umsetzungs- und
      Überprüfungsprozesses der 2030-Agenda weltweit und in      Forum Umwelt und Entwicklung (FUE),
UBA                                                                                                            1601    68504         0,00         0,00        0,00    63.450,00    75.000,00   11.550,00        0,00        0,00        0,00
      Deutschland mit Fokus auf ökonomische Aspekte der          Rechtsträger: Deutscher Naturschutzring (DNR)
      Nachhaltigkeitspolitik
      Waldbiodiversität lebensraumtypisch erhalten, fördern,     Forum Umwelt und Entwicklung (FUE),
BFN                                                                                                            1602    68504    71.700,00    28.100,00        0,00         0,00         0,00        0,00        0,00        0,00        0,00
      entwickeln und vernetzen                                   Rechtsträger: Deutscher Naturschutzring (DNR)

      Nach Rio+20: Zivilgesellschaftliche Begleitung des UNCSD-
                                                                Forum Umwelt und Entwicklung (FUE),
UBA   Folgeprozesses mit Schwerpunkt auf Sustainable                                                          1601     68504    69.350,00    68.800,00   64.290,00    10.710,00         0,00        0,00        0,00        0,00        0,00
                                                                Rechtsträger: Deutscher Naturschutzring (DNR)
      Development Goals (SDGs)
                                                                 Forum Umwelt und Entwicklung (FUE),
UBA   Zukunfts-Konferenz „Schöne Neue Welt“                                                                    1601    68504         0,00         0,00        0,00         0,00    44.500,00        0,00        0,00        0,00        0,00
                                                                 Rechtsträger: Deutscher Naturschutzring (DNR)

      Zivilgesellschaftliche Dialog- und Informationsplattform
      zur internationalen und nationalen Waldpolitik für
                                                                 Forum Umwelt und Entwicklung (FUE),
BFN   Biodiversität und Klimaschutz. Einflussnahme auf                                                         1601    68504         0,00         0,00        0,00         0,00    19.255,00   45.420,00   26.385,00        0,00        0,00
                                                                 Rechtsträger: Deutscher Naturschutzring (DNR)
      Vorhaben der Waldpolitik, Informationsservice für mehr
      Waldnaturschutz
      Zivilgesellschaftliche Begleitung am Reformprozess des
      Strategischen Ansatzes zum Internationalen                 Forum Umwelt und Entwicklung (FUE),
UBA                                                                                                            1601    68504         0,00         0,00        0,00         0,00         0,00   40.993,00   82.904,00   34.717,00        0,00
      Chemikalienmanagement (SAICM) im Kontext umwelt-           Rechtsträger: Deutscher Naturschutzring (DNR)
      und entwicklungspolitischer Herausforderungen.
7

Zivilgesellschaftliche Begleitung der 2030-Agenda im          Forum Umwelt und Entwicklung (FUE),
UBA                                                                                                               1601   68504         0,00         0,00         0,00         0,00         0,00    63.110,00    75.000,00    11.890,00          0,00
      Kontext einer nachhaltigen Wirtschaftspolitik                 Rechtsträger: Deutscher Naturschutzring (DNR)

                                                                    Forum Umwelt und Entwicklung (FUE),
BFN   Die Waldklimakrise – Dialog- und Informationsstrategien                                                     1601   68504         0,00         0,00         0,00         0,00         0,00         0,00    19.050,00    50.110,00     28.260,00
                                                                    Rechtsträger: Deutscher Naturschutzring (DNR)

      Neuer Schwung bei der Umsetzung der
      Nachhaltigkeitsziele – Zivilgesellschaftliche Begleitung der Forum Umwelt und Entwicklung (FUE),
UBA                                                                                                              1601    68504         0,00         0,00         0,00         0,00         0,00         0,00         0,00    62.950,00     75.000,00
      SDG-Aktionsdekade in der Verknüpfung europäischer,           Rechtsträger: Deutscher Naturschutzring (DNR)
      internationaler und deutscher Politikprozesse

      SDG konkret: Maßnahmen zur Stärkung innovativer
      Ansätze und Sensibilisierung von Verbraucher/innen zur
UBA   Ermöglichung eines nachhaltigen Konsums und einer             Germanwatch e.V.                             1601    68504         0,00         0,00    46.875,00   111.708,00    20.838,00         0,00         0,00         0,00          0,00
      nachhaltigen Produktion und zur Reduktion des
      Ressourcenverbrauchs
      Erarbeitung eines intelligenten Mixes aus freiwilligen
      Maßnahmen von Vorreitern unter den Unternehmen und
UBA                                                            Germanwatch e.V.                                  1601    68504   104.437,00    67.451,00         0,00         0,00         0,00         0,00         0,00         0,00          0,00
      verbindlicher politischer Rahmensetzung für mehr
      Nachhaltigkeit und Ressourcenschonung in der IT-Branche.

      Unterstützung des deutsch-indischen wechselseitigen
      Verständnisses von Positionen, die für den Erfolg des
UBA                                                                 Germanwatch e.V.                             1601    68504    64.637,00    74.428,00    10.846,00         0,00         0,00         0,00         0,00         0,00          0,00
      geplanten UN-Klimaabkommens in Paris 2015 relevant
      sind.
      Begleitung der deutschen G7-Präsidentschaft zur
UBA                                                                 Germanwatch e.V.                             1601    68504         0,00    39.747,00         0,00         0,00         0,00         0,00         0,00         0,00          0,00
      Redynamisierung der internationalen Klimapolitik
      Deutsch-Indischer Zivilgesellschafts-Dialog zu nachhaltigen
UBA                                                                 Germanwatch e.V.                             1601    53205         0,00         0,00         0,00    58.340,00    73.306,00    18.330,00         0,00         0,00          0,00
      Lebensstilen
      Begleitung des Anpassungsfonds in der Zeit nach dem
ZUG                                                                 Germanwatch e.V.                             1602    89605         0,00         0,00         0,00         0,00   447.106,25   201.000,00   320.442,40   160.407,16    159.789,19
      Pariser Abkommen
      Ökologische und soziale Sorgfaltspflichten - zusammen
UBA   denken, wirksam und inklusiv gestalten und kohärent           Germanwatch e.V.                             1601    68504         0,00         0,00         0,00         0,00         0,00         0,00    50.000,00    82.000,00     16.000,00
      verankern
      Ansätze zu umweltbezogenen Sorgfaltspflichten
UBA   weiterentwickeln und konkretisieren und im Sinne der          Germanwatch e.V.                             1601    68504         0,00         0,00         0,00         0,00         0,00         0,00         0,00         0,00     55.493,54
      Betroffenen wirkungsvoll verankern
      Durchführung einer Expertenstudie mit dem Arbeitstitel
      "Langfristige Finanzierung für REDDplus - Analyse und
ZUG                                                            Germanwatch e.V.                                  1602    89605    10.871,00    33.221,00         0,00         0,00         0,00         0,00         0,00         0,00          0,00
      Konzeptentwicklung von alternativen Investitionsoptionen
      privater Akteure bei REDDplus-Vorhaben"

      Einrichtung eines Netzwerks zur Unterstützung des
ZUG                                                                 Germanwatch e.V.                             1602    89605   370.693,00   419.723,02   313.473,03         0,00         0,00         0,00         0,00         0,00          0,00
      Adaptation Fund
      Zivilgesellschaftliche Readiness für den Grünen Klimafonds
ZUG                                                                 Germanwatch e.V.                             1602    89605         0,00         0,00         0,00   549.125,25   416.294,82   229.736,93   189.000,00   491.690,74   1.020.815,41
      - Schwerpunkt Afrika
      Kreislaufwirtschaft und Digitalisierung in Europa
ZUG   transformativ und kohärent: Leitplanken setzen,               Germanwatch e.V.                             1601    53205         0,00         0,00         0,00         0,00         0,00         0,00         0,00     9.627,87    107.123,48
      Politikempfehlungen erarbeiten, Debatten gestalten
BFN   Online Informationsplattform für Biodiversitätsmärkte         Global Nature Fund (GNF)                     1602    68505    21.503,00         0,00         0,00         0,00         0,00         0,00         0,00         0,00          0,00
      Zur Integration von Biodiversität und Ökosystemleistungen
      in unternehmerische Entscheidungsfindung und
UBA                                                                 Global Nature Fund (GNF)                     1601    68504    15.913,00         0,00         0,00         0,00         0,00         0,00         0,00         0,00          0,00
      Rechnungslegung kann die ökonomische Bewertung ein
      hilfreiches Instrument sein.
      Nachwuchsjournalisten für die Umwelt - Entwicklung von
UBA   modernen Umweltbildungskonzepten mit Schwerpunkt              Global Nature Fund (GNF)                     1601    68504    33.556,00    32.940,00         0,00         0,00         0,00         0,00         0,00         0,00          0,00
      auf Natur-Journalismus und "Neue Medien".
8

Einrichtung eines Netzwerks zum Thema
      „Naturkapitalbilanzierung“, d.h. der ökonomischen
UBA   Bewertung von Biodiversität und Ökosystemleistungen mit Global Nature Fund (GNF)                        1601   68504   0,00   36.522,00   56.486,00   18.106,00        0,00        0,00         0,00         0,00         0,00
      dem Ziel, diese besser in betriebliche
      Entscheidungsfindungen und Management zu integrieren

      Naturkapitalbewertung im Hotel- und Gastgewerbe:
UBA                                                               Global Nature Fund (GNF)                    1601   68504   0,00        0,00        0,00        0,00   38.786,00   52.677,00    18.537,00         0,00         0,00
      Bereitstellung und Vermittlung von Daten und Methoden

      Untersuchung von neuen und innovativen
      Finanzierungsmechanismen im Waldbereich, die
      ökologische, soziale und ökonomische Aspekte gleichsam
BFN                                                               Global Nature Fund (GNF)                    1604   53205   0,00   21.610,00   32.090,00    7.480,00        0,00        0,00         0,00         0,00         0,00
      sinnvoll verbinden, um den Schutz und nachhaltige
      Nutzung der biologischen Vielfalt des Ökosystems Wald zu
      gewährleisten.
      Feuchtgebiete in Deutschland, Österreich und der Schweiz:
      Erfolge, Chancen und Herausforderungen- Gemeinsame
BFN                                                               Global Nature Fund (GNF)                    1604   53205   0,00        0,00        0,00   13.800,00        0,00        0,00         0,00         0,00         0,00
      Tagung der deutschsprachigen RAMSAR-Sites und des
      Netzwerk Lebendige Seen Deutschland
      Analyse von Forest Landscape Restoration Initiativen und
BFN   der ökologischen und sozialen Wirkung umgesetzter           Global Nature Fund (GNF)                    1604   53205   0,00        0,00        0,00   16.350,00   30.700,00   11.875,00         0,00         0,00         0,00
      Projekte
      Wiederaufbau von Waldlandschaften – Was können
BFN                                                               Global Nature Fund (GNF)                    1601   68504   0,00        0,00        0,00        0,00        0,00   11.484,00    15.463,90         0,00         0,00
      deutsche Unternehmen tun?

      Investments für den Wald- und Biodiversitätsschutz –
BFN                                                               Global Nature Fund (GNF)                    1601   68504   0,00        0,00        0,00        0,00        0,00        0,00         0,00    27.801,00    39.130,00
      Entwicklungen und Trends

      Abbau von Naturgips in Deutschland – künftige               Grüne Liga e. V. - Netzwerk ökologischer
UBA                                                                                                           1601   68504   0,00        0,00        0,00        0,00        0,00        0,00    40.959,50    65.215,14    13.393,50
      Anforderungen aufgrund des Kohleausstieges                  Bewegungen
      Mittelelbe-Schwarze Elster                                  Heinz Sielmann Stiftung                     1604   88201   0,00        0,00        0,00        0,00        0,00        0,00   399.486,00   700.470,00   793.248,00
      Verbundvorhaben: "Landschaft + Menschen verbinden –
      Kommunen für den bundesweiten Biotopverbund",
BFN                                                               Heinz Sielmann Stiftung                     1604   89402   0,00        0,00        0,00        0,00        0,00        0,00    50.357,89   118.476,97   130.643,73
      Teilprojekt: "Bundesweite Informations- und
      Imagekampagne"
      Baustoffwende – Intensivierung der zielgruppengerechten
      Fort- und Weiterbildung sowie breitenwirksame
                                                              Internationaler Verein für zukunftsfähiges
UBA   Wissensvermittlung zu den Themen Klima-, Ressourcen-                                                    1601   68504   0,00        0,00        0,00        0,00        0,00        0,00         0,00    29.996,81    34.998,28
                                                              Bauen und Wohnen – natureplus e.V.
      und Gesundheitsschutz bei Baumaterialien in Deutschland
      und in europäischen Partnerländern

      Demokratieförderung im Umweltschutz: Jugendliche          Kinder- und Jugendwerk der Naturfreunde,
UBA   gestalten Podcasts zu Themen der sozial-ökologischen      Verein zur Förderung der Naturfreundejugend   1601   68504   0,00        0,00        0,00        0,00        0,00        0,00    24.100,00    71.200,00    38.600,00
      Transformation der Gesellschaft                           Deutschlands e.V.
                                                                Kinder- und Jugendwerk der Naturfreunde,
      Mitreden. Mitwirken. Mitbestimmen – Ein Jugendprojekt
UBA                                                             Verein zur Förderung der Naturfreundejugend   1601   68504   0,00        0,00        0,00        0,00        0,00        0,00         0,00         0,00    20.000,00
      zum demokratischen Engagement für den Klimaschutz
                                                                Deutschlands e.V.
                                                                Komitee gegen den Vogelmord - Committee
BFN   Monitoring "Illegale Greifvogelverfolgung in Deutschland"                                               1601   68504   0,00   31.616,16   62.080,00   49.438,01    3.540,00        0,00         0,00         0,00         0,00
                                                                Against Bird Slaughter (CABS)
      F&U NBS-Verbund: "Biologische Vielfalt und
      Ökosystemleistungen von Wäldern mit Fokus auf Holz:
      Neue Wege der nachhaltigen Nutzung im Spannungsfeld Landesbund für Vogelschutz in Bayern e. V. -
BFN                                                                                                           1604   89402   0,00    2.278,50    4.932,75    6.807,75    7.257,75    5.312,71     5.221,30     5.020,24         0,00
      zwischen Ökologie, Ökonomie und Klimawandel (BioHolz)" Verband für Arten- und Biotopschutz - (LBV)
      Teilvorhaben F: Urwaldreliktarten und Totholzexperimente
      im Privatwald
      Grenzüberschreitende Zusammenarbeit im Natur- und
UBA   Umweltschutz zwischen Armenien und Iran sowie anderen Michael Succow Stiftung                           1601   68787   0,00        0,00   22.924,35        0,00        0,00        0,00         0,00         0,00         0,00
      Grenzgebieten der Region - Potentialanalyse
9

Machbarkeitsstudie zur Unterstützung der Nominierung
UBA   der georgischen Kolchiswälder und –moore als UNESCO          Michael Succow Stiftung               1601   68787        0,00         0,00   33.700,00    86.997,50   50.645,50         0,00        0,00        0,00         0,00
      Weltnaturerbe
      Entwicklung eines grenzüberschreitenden
UBA   Innovationszentrums für die Nutzung von Schilf-Biomasse      Michael Succow Stiftung               1601   68787        0,00         0,00   47.698,44    33.191,88   68.478,14         0,00        0,00        0,00         0,00
      (ReedBASE)
      Identifikation und Schutz altbestehender Wälder und
UBA                                                                Michael Succow Stiftung               1601   68787        0,00         0,00   51.344,50     2.703,00        0,00         0,00        0,00        0,00         0,00
      Urwälder der ukrainischen Karpaten (1. Projektphase)
      Studienreise zum Thema: Innovatives Forstmanagement
UBA   und integrierte Forst- und Naturschutzkonzepte in            Michael Succow Stiftung               1601   68787   33.704,86         0,00        0,00         0,00        0,00         0,00        0,00        0,00         0,00
      Deutschland
      Peatlands in the Regulatory Environment with a Case
UBA                                                                Michael Succow Stiftung               1601   68787        0,00    66.296,13   38.068,62         0,00        0,00         0,00        0,00        0,00         0,00
      Study from the New Member States (Poland)
      Identifikation und Schutz altbestehender Wälder und
UBA                                                                Michael Succow Stiftung               1601   68787        0,00         0,00        0,00   132.000,00   18.000,00         0,00        0,00        0,00         0,00
      Urwälder der ukrainischen Karpaten - Phase 2
      Rominter Heide - Vorbereitung zur Einrichtung eines
UBA                                                                Michael Succow Stiftung               1601   68787        0,00         0,00        0,00         0,00   18.167,00    72.138,00   54.674,00        0,00         0,00
      Biosphärenreferats im Gebiet Kaliningrad (Russland)
      Feasibility study for the World Heritage Nomination of the
UBA                                                                Michael Succow Stiftung               1601   68787        0,00         0,00        0,00         0,00        0,00    53.977,48   28.962,52        0,00         0,00
      Eastern Mongolian Steppes
      Stakeholder participation for rewetting and paludiculture
UBA                                                                Michael Succow Stiftung               1601   68787        0,00         0,00        0,00         0,00        0,00     2.780,51   22.244,05   11.122,03         0,00
      in the Neman river basin

      Unterstützung von Aserbaidschan und Iran bei der
UBA   transnationalen Erweiterung der Welterbestätte               Michael Succow Stiftung               1601   68787        0,00         0,00        0,00         0,00        0,00         0,00   79.541,00   19.040,00         0,00
      „Hyrcanian Forests"

      „Towards the World Heritage Nomination of the Eastern
UBA                                                                Michael Succow Stiftung               1601   68787        0,00         0,00        0,00         0,00        0,00         0,00        0,00    8.003,68   100.000,00
      Mongolian Steppes“
      Identifikation und Schutz altbestehender Wälder und
UBA                                                                Michael Succow Stiftung               1601   68787        0,00         0,00        0,00   132.000,00   73.228,00         0,00        0,00        0,00         0,00
      Urwälder der ukrainischen Karpaten - Phase 2
      Michael Succow Stiftung: Unterstützung der Erstellung
      eines Nominierungsdossiers für Irans Hyrkanische Wälder      Michael Succow Stiftung               1601   53205        0,00         0,00   25.752,00    39.320,00        0,00         0,00        0,00        0,00         0,00
      als UNESCO-Weltnaturerbestätte
BFN   Biodiversität auf Kirchenland                                Michael Succow Stiftung               1604   54401        0,00         0,00        0,00         0,00   22.688,29    16.134,40        0,00        0,00         0,00
      Verbundvorhaben: "Vernetzte Vielfalt an der Schatzküste
      – Vorpommersche Boddenlandschaft und Rostocker Heide
BFN                                                                Michael Succow Stiftung               1604   89402        0,00         0,00        0,00         0,00        0,00         0,00        0,00   31.357,68    31.357,68
      (Hotspot 29)", Teilprojekt: "Interkommunale
      Biotopvernetzung"
      Verbundprojekt: DAS: Moor-Revitalisierung als
ZUG   Greifswalder Anpassungsstrategie -                    Michael Succow Stiftung                      1601   68501        0,00         0,00        0,00         0,00   72.795,00   108.977,00   40.606,00    5.000,00    25.264,00
      Entwicklungsperspektiven durch nasse Nutzung (MORGEN)

      Entwicklung eines Biosphärenreservats "Indawgyi Lake",
BFN   Myanmar - Kooperation im Rahmen des UNESCO-             Michael Succow Stiftung                    1604   53205   50.600,51   106.554,49        0,00         0,00        0,00         0,00        0,00        0,00         0,00
      Programms der Mensch und die Biosphäre
      Unterstützung der deutschen Biosphärenreservate bei der
      internationalen Vernetzungen sowie beim effizient und
BFN                                                           Michael Succow Stiftung                    1604   53205        0,00         0,00        0,00         0,00        0,00     2.880,06   28.218,72        0,00         0,00
      wirksam Nutzen der Chancen der internationaler
      Zusammenarbeit.

      Verbundvorhaben: Schatz an der Küste - Nachhaltige
      Entwicklung zum Schutz der biologischen Vielfalt in der
      Region Vorpommersche Boddenlandschaft und Rostocker
BFN                                                           Michael Succow Stiftung                    1604   89402   21.013,75   132.516,75   74.466,00   122.180,82   60.468,40    69.374,29   42.863,87        0,00         0,00
      Heide; Teilvorhaben: Smartphone-App, Fest der
      biologischen Vielfalt und Technikanpassung
      Offenlandstandorte

      Gemeindebasierter Schutz der Saiga-Antilope und anderer
UBA   Arten durch Aufbau dörflicher Wildschutzgebiete in      NABU (Naturschutzbund Deutschland) e. V.   1601   68787        0,00         0,00        0,00         0,00    5.592,42    34.407,58    5.000,00        0,00         0,00
      Kasachstan
10

BFN   Neue Netze und Naturschutz                                  NABU (Naturschutzbund Deutschland) e. V.   1602   68504     13.250,00           0,00           0,00           0,00           0,00           0,00           0,00           0,00           0,00
      Neue Bündnisse für den Erhalt der Biodiversität im
UBA                                                               NABU (Naturschutzbund Deutschland) e. V.   1601   68787     48.416,00      38.164,00           0,00           0,00           0,00           0,00           0,00           0,00           0,00
      Hotspot Kaukasus
UBA   Nachhaltige Yak-Haltung im Tienshan-Gebirge Kirgisistans NABU (Naturschutzbund Deutschland) e. V.      1601   68787          0,00           0,00      13.238,40      41.356,80     100.678,40           0,00           0,00           0,00            0,00

      Gemeindebasierter Schutz der Saiga-Antilope und anderer
UBA   Arten durch Entwicklung dörflicher Wildschutzvereine in     NABU (Naturschutzbund Deutschland) e. V.   1601   68787          0,00           0,00           0,00           0,00           0,00           0,00           0,00      50.096,80      11.285,20
      Kasachstan
      „Gemeindebasiertes Weide- und Wildtiermanagement in
UBA                                                               NABU (Naturschutzbund Deutschland) e. V.   1601   68787          0,00           0,00           0,00           0,00           0,00      18.466,00      67.172,00      10.464,00           0,00
      den Bergregionen Kirgisistans“
      Langfristig orientierte, intelligente Strategien zur
      energetischen Gebäudesanierung durch
UBA                                                               NABU (Naturschutzbund Deutschland) e. V.   1601   68504      4.078,07            0,00          0,00           0,00           0,00           0,00           0,00           0,00           0,00
      qualitätsgesicherte Beratungsangebote vor allem auf
      regionaler Ebene
      Konkretisierung der UN-Ziele für nachhaltige Entwicklung
UBA   (Sustainabale Development Goals) und Stärkung der           NABU (Naturschutzbund Deutschland) e. V.   1601   68504          0,00           0,00      23.759,00      41.182,00       6.141,00           0,00           0,00           0,00            0,00
      gesellschaftlichen Verankerung in Deutschland
UBA   Ein Blaues Band für Wasserstraßen                           NABU (Naturschutzbund Deutschland) e. V.   1601   68504          0,00           0,00      55.254,00      64.214,00      15.203,00           0,00           0,00           0,00           0,00
      Ein Blaues Band für lebendige Flüsse - Mehr Natur an
UBA                                                               NABU (Naturschutzbund Deutschland) e. V.   1601   68504     55.000,00      73.901,00      10.506,00            0,00          0,00           0,00           0,00           0,00            0,00
      Bundeswasserstraßen
      Kampagne zur Stärkung umweltfreundlicher
      Einzelhandelskonzepte für Handelsbetriebe und zur
UBA   Motivation und Aufklärung von Konsumenten hinsichtlich      NABU (Naturschutzbund Deutschland) e. V.   1601   68504     33.101,00      69.813,00      36.367,00            0,00          0,00           0,00           0,00           0,00            0,00
      nachhaltiger Konsumentscheidungen am Beispiel Obst/
      Gemüse.
      "Kenne deinen Rucksack" - Förderung von nachhaltigem
      Konsum im Alltag: Beispiel für einen nachhaltigen
UBA                                                               NABU (Naturschutzbund Deutschland) e. V.   1601   68504     33.282,73            0,00          0,00           0,00           0,00           0,00           0,00           0,00           0,00
      Lebensstil am Beispiel der Themen elektronische
      Konsumgüter, Bauen/ Wohnen und Ernährung
      Mitarbeit in der Arbeitsgruppe 6 der Nationalen Plattform
      Elektromobilität und Koordinierungsfunktion der
UBA                                                               NABU (Naturschutzbund Deutschland) e. V.   1601   68504          0,00      15.000,00           0,00           0,00           0,00           0,00           0,00           0,00           0,00
      Mitarbeiter der anderen Umweltverbände in diesem
      Gremium.
      Bildung für Nachhaltige Entwicklung in den
UBA                                                               NABU (Naturschutzbund Deutschland) e. V.   1601   68504          0,00      43.884,00      74.632,00      33.789,00           0,00           0,00           0,00           0,00            0,00
      Freiwilligendiensten (JFDG, BFDG)
UBA   Von Wasserstraßen zu Flussauen                              NABU (Naturschutzbund Deutschland) e. V.   1601   68504          0,00           0,00           0,00           0,00      55.615,00      75.439,00      18.929,00           0,00           0,00
UBA   Nachhaltige Entwicklung in Deutschland                      NABU (Naturschutzbund Deutschland) e. V.   1601   68504          0,00           0,00           0,00           0,00      32.591,00      37.778,00      10.626,00           0,00           0,00
      Weltnaturerbe Westkaukasus-Klimaschutz durch
      nachhaltige Waldbewirtschaftung und dezentrale Nutzung
ZUG                                                               NABU (Naturschutzbund Deutschland) e. V.   1602   89605    301.645,20            0,00          0,00           0,00           0,00           0,00           0,00           0,00           0,00
      erneuerbarer Energieressourcen in der neu zu schaffenden
      Pufferzone
      Biodiversität im Klimawandel: Gemeindebasierte Schutz-,
      Management- und Entwicklungskonzepte für die
      Ursprungsregion des Wildkaffees
ZUG                                                               NABU (Naturschutzbund Deutschland) e. V.   6092   68701    534.347,41     945.699,59     787.834,00      96.114,00           0,00           0,00           0,00           0,00           0,00
      Biodiversity in a changing climate: community-based
      strategies for the protection, management and
      development of wild coffee’s region of origin
      Naturschutzschutzgroßprojekt "Untere Havelniederung
BFN   zwischen Pritzerbe und Gnevsdorf in den Ländern             NABU (Naturschutzbund Deutschland) e. V.   1602   88211   1.889.328,00   1.872.466,00   2.621.236,00   2.342.784,00   1.891.778,00   2.625.811,00   2.668.109,00   2.513.845,00   2.495.982,00
      Brandenburg und Sachsen-Anhalt"
      Förderung des Naturschutzes durch die EU in der
BFN   Förderperiode 2014-2020 mit besonderem Schwerpunkt          NABU (Naturschutzbund Deutschland) e. V.   1602   68504     87.708,00            0,00          0,00           0,00           0,00           0,00           0,00           0,00           0,00
      auf ELER
      Vorreiter für eine zukunftsfähige Bioökonomie –
ZUG   Lösungsideen für eine nachhaltige, naturverträgliche und    NABU (Naturschutzbund Deutschland) e. V.   1601   53205          0,00           0,00           0,00           0,00           0,00           0,00           0,00      33.886,00      91.878,00
      zirkuläre Bioökonomie
      "BatCities" Förderung/Ausbildung von ehrenamtlichen
BFN                                                               NABU (Naturschutzbund Deutschland) e. V.   1601   68504          0,00           0,00      37.432,00      43.923,00           0,00           0,00           0,00           0,00           0,00
      Fledermausschützern im urbanen Raum.
11

Konzeption und Durchführung einer Umsetzungsoffensive
      der Naturschutzverbände zur Unterstützung der
BFN                                                                NABU (Naturschutzbund Deutschland) e. V.   1604   54401         0,00         0,00     5.058,88   52.116,64   12.284,64        0,00        0,00         0,00         0,00
      Umsetzung des NBS-Handlungsprogramms 2015 – 2020;
      Teilprojekt 4; NABU
      Stadt – Natur – Plan! Wegweiser und Stolpersteine im
BFN                                                                NABU (Naturschutzbund Deutschland) e. V.   1601   68504         0,00         0,00         0,00        0,00        0,00   18.465,00   51.580,00    40.950,00         0,00
      Stadtnaturschutz
      Die unsichtbare Bedrohung sichtbar machen -
UBA   Umweltwirksame Chemikalien als Herausforderung für           NABU (Naturschutzbund Deutschland) e. V.   1601   68504         0,00         0,00         0,00        0,00        0,00   42.892,56   69.528,51     2.030,38         0,00
      eine erfolgreiche Naturschutzarbeit.
      Dokumentation des Generationenwechsels im Natur- und
UBA                                                                NABU (Naturschutzbund Deutschland) e. V.   1601   68504         0,00         0,00         0,00        0,00        0,00        0,00   33.875,00         0,00         0,00
      Umweltschutz
      Praktische Umsetzung naturschutzfachlicher
      Anforderungen bei Anlage und Bewirtschaftung von
BFN   Kurzumtriebsplantagen sowie deren Evaluierung aus            NABU (Naturschutzbund Deutschland) e. V.   1604   54401   134.366,93   172.913,00         0,00        0,00        0,00        0,00        0,00         0,00         0,00
      Naturschutzsicht. Ziel sind übertragbare Anforderungen an
      Kurzumtriebsplantagen.
      Stärkung des Wissensmanagements zur Energiewende:
      Anforderungen aus Sicht des Naturschutzes – Plattform
BFN   der Umweltverbände zur Stärkung der Naturschutzbelange       NABU (Naturschutzbund Deutschland) e. V.   1604   54401    72.029,47    24.820,98         0,00        0,00        0,00        0,00        0,00         0,00         0,00
      bei der Ausgestaltung und Umsetzung der Energiewende
      in Deutschland
      Afrikanische Biosphärenreservate als Modellregionen für
BFN                                                                NABU (Naturschutzbund Deutschland) e. V.   1604   54401         0,00         0,00     2.714,00   90.957,00   76.268,00   29.656,00        0,00         0,00         0,00
      Zugvogelmonitoring und -schutz (AfriBiRds)
      Revitalisierung der Havelaue bei Bölkershof durch laterale
BFN   Vernetzung der Rinnenstrukturen und Auengewässer mit         NABU (Naturschutzbund Deutschland) e. V.   1604   89402         0,00         0,00         0,00        0,00        0,00        0,00   32.276,06   218.238,70   127.064,10
      dem Hauptstrom.
      Fokus Biologische Vielfalt - von der Naturerfahrung zur
BFN                                                                NABU (Naturschutzbund Deutschland) e. V.   1604   89402   119.617,36    71.670,80    49.280,93        0,00        0,00        0,00        0,00         0,00         0,00
      politischen Bildung
      Fachliche Begleitung der EU-Naturschutzpolitik: Austausch,
      Aufbereitung und Kommunikation von Wissen und
      Erfahrungen aus der Umsetzung der EU-
BFN   Naturschutzrichtlinien, fachliche Beiträge für die Debatte   NABU (Naturschutzbund Deutschland) e. V.   1604   54401         0,00    94.964,18   128.560,00    6.687,08        0,00        0,00        0,00         0,00         0,00
      über die Zukunft der EU-Naturschutzpolitik, Vernetzung
      und Dialog von Akteuren EU-Bund-Länder,
      Akzeptanzförderun
      F+E-Vorhaben "Naturschutzfachliche Begleitung der
BFN   Bundesfachplanung Netz durch den verbandlichen               NABU (Naturschutzbund Deutschland) e. V.   1604   54401         0,00    60.229,00    55.636,46        0,00        0,00        0,00        0,00         0,00         0,00
      Naturschutz"
      Kinder und Jugendliche aktiv für Insekten –
BFN   Naturschutzaktionen gegen Flächenverbrauch und               NABU (Naturschutzbund Deutschland) e. V.   1601   68504         0,00         0,00         0,00        0,00        0,00   11.471,12   23.673,56    21.557,29         0,00
      Lichtverschmutzung
      Die marine Raumordnung als Instrument des
BFN                                                                NABU (Naturschutzbund Deutschland) e. V.   1601   68504         0,00         0,00         0,00        0,00        0,00        0,00   44.075,00    74.550,00    13.575,00
      Meeresnaturschutzes
      Junge Stimmen für Biologische Vielfalt - deutsche
BFN                                                                NABU (Naturschutzbund Deutschland) e. V.   1601   68504         0,00         0,00         0,00        0,00        0,00        0,00        0,00    13.689,20    43.845,20
      Jugenddelegation zur CBD COP 15
      Analyse und Bewertungen der Maßnahmen und
BFN                                                                NABU (Naturschutzbund Deutschland) e. V.   1614   53202         0,00         0,00         0,00        0,00        0,00        0,00        0,00   136.708,00   178.764,00
      Beschlüsse der Regionalabkommen OSPAR und HELCOM

      Zu Risiken und Nebenwirkungen - Pflanzenschutzmittel
UBA   und Biozide als unsichtbare Bedrohung für Umwelt- und       NABU (Naturschutzbund Deutschland) e. V.    1601   68504         0,00         0,00         0,00        0,00        0,00        0,00        0,00    34.515,00    49.966,00
      Naturschutz sichtbar machen
      Umsetzung eines zukunftsfähigen Vorsorgeprinzips
UBA   Innovationen hinsichtlich der Risiken für Umwelt und        NABU (Naturschutzbund Deutschland) e. V.    1601   68504         0,00         0,00         0,00        0,00        0,00        0,00        0,00    57.012,00    71.804,00
      Gesundheit bewerten und nachhaltig gestalten
      Konsum nachhaltig gestalten - ein digitales Bildungsprojekt
UBA                                                               NABU (Naturschutzbund Deutschland) e. V.    1601   68504         0,00         0,00         0,00        0,00        0,00        0,00        0,00    38.177,00    50.000,00
      für junge Menschen
12

Zur nächsten Seite