ordner-1

Dieses Dokument ist Teil der Anfrage „Akte zum Tankrabatt

/ 498
PDF herunterladen
d) Erforderlichkeit der beihilferechtlichen Genehmigung

Ob die geplante temporäre Absenkung der Verbrauchsteuern eine staatliche Beihilfe im Sinne
des Art. 107 Abs. 1 AEUV darstellt und damit vor ihrer Durchführung der Europäischen
Kommission angezeigt und durch sie genehmigt werden müsste, ist in der Kürze der Zeit
nicht abschließend zu klären (für Beihilfen gelten das Durchführungsverbot nach Art. 108
Abs. 3 Satz 3 AEUV sowie die Notifizierungspflicht nach Art. 108 Abs. 3 Satz 1 AEUV).

Es ließe sich jedoch argumentieren, dass die in Rede stehende steuerliche Maßnahme nicht
den Tatbestand des Art. 107 Abs. | AEUV erfüllt, da sie möglicherweise nicht „selektiv“
wirkt und nur bestimmte Unternehmen begünstigt, sondern neben Verbraucherinnen und
Verbrauchern grundsätzlich allen Unternehmen offensteht. Damit könnte sie als „allgemeine
Maßnahme“ nicht dem Regime des EU-Beihilfenrechts zu unterfallen.

Auf diesen Weg, derartige Maßnahmen so auszugestalten, dass sie nicht dem EU-
Beihilfenrecht unterliegen, hat die KOM die Mitgliedstaaten jüngst explizit verwiesen: In dem
„Befristeten Krisenrahmen für staatliche Beihilfen zur Stützung der Wirtschaft infolge der
Aggression Russlands gegen die Ukraine“ (Mitteilung der Europäischen Kommission
C(2022) 1890 final vom 23. März 2022 - sog. Temporary Crisis Framework) stellt die KOM,
klar, dass Maßnahmen, die auf gewerbliche Energieverbraucher abzielen, keine staatlichen
Beihilfen darstellen, sofern sie allgemeiner Art sind. Solche nichtselektiven Maßnahmen
können beispielsweise in Form allgemeiner Steuer- oder Abgabenermäßigungen, eines
ermäßigten Satzes für die Lieferung von Erdgas, Strom oder Fernwärme oder auch über
gesenkte Netzkosten gewährt werden.

Die vorliegende Senkung der Energiesteuer auf Kraftstoffe durch eine entsprechende
Anpassung im EnergieStG dürfte unter die vorgenannte Kategorie einer nichtselektiven
Steuerermäßigung fallen. Um ein höheres Maß an rechtlicher Sicherheit zu erlangen, müsste
die BReg jedoch mit der geplanten Maßnahme (vor ihrer Umsetzung) an KOM herantreten
und um Bestätigung bitten, dass es sich hierbei nicht um eine Beihilfe i.S.d. Art. 107 Abs.l
AEUV handelt.

3. Einbeziehung der GZD sowie der Mineralölwirtschaftsunternehmen

Die Zollverwaltung wird in die Gestaltung der Rechtsnorm zur Qualitätssicherung eng
eingebunden. Auch muss die GZD sicherstellen, dass die IT-Verfahren zur Steueranmeldung
und Abwicklung sowie etwaige Formulare rechtzeitig angepasst werden.

Eine frühzeitige Einbindung der Mineralölwirtschaft ist bereits erfolgt, um zu erfragen, ab
welchem Zeitpunkt die Umstellung der Steuersätze in den Abläufen der Lieferketten
umgesetzt werden kann.
215

Ewert, Udo (ZA 7)

Von: Weihs, Anja (Ill B 3)

Gesendet: Freitag, 25. März 2022 21:50

An: IN B3 - BSB

Cc: Herzog, Andre (Ill B 3)

Betreff: WG: Frist: 25.03., 15 Uhr; 2. Entlastungspaket; hier Senkung der

Energiesteuer auf Kraftstoffe

Priorität: Hoch

II B 3 - V 9905/22/10001 :001

2022/0335903

1. Vermerk:

2. Registratur (BSB):

a) Importierennach: 111B3-V 9905/22/10001:001
m Betreff: wie Betreff des Vorgangs

) Hier: an GZD D IV: Erlass zur Übermittlung Erfüllungsaufwand für Absenkung der Energiesteuer

d) Bezug: Automatisch vergeben

e) Stichwörter: J.

f) sonstiges: J.

3. 2.K. Koll. gem. Verteiler mit dieser Mail erledigt

4. z.Vg.

Besten Dank und Gruß
AW

0 ————————
Von: Weihs, Anja (Ill B 3)
Gesendet: Freitag, 25. März 2022 11:11
An: 'div.gzd@zoll.bund.de' <div.gzd@zoll.bund.de>
Cc: Jakobs, Dietmar (GZD - DIV - DO Bonn) <Dietmar.Jakobs@zoll.bund.de>; 'Makurath, Jan (GZD - DIV - DO Bonn)'
yrsjan-Makurath@zoll'bund.de>; Wielant, Martin (GZD - DIV - DO Bonn) <Martin.Wielant@zoll.bund.de>;
\tefan.aehringhaus@zoll.bund.de' <stefan.aehringhaus@zoll.bund.de>; Christian Hufen
(Christian. Hufen@bmf.bund.de) <Christian.Hufen@bmf.bund.de>; Carola Schürle (Carola.Schuerle@bmf.bund.de)
<Carola.Schuerle@bmf.bund.de>; Andre Herzog (Andre.Herzog@bmf.bund.de) <Andre.Herzog@bmf.bund.de>;
Klaus Ebner (Klaus.Ebner@bmf.bund.de) <Klaus.Ebner@bmf.bund.de>
Betreff: Frist: 25.03., 15 Uhr; 2. Entlastungspaket; hier Senkung der Energiesteuer auf Kraftstoffe
Priorität: Hoch

Bundesministerium der Finanzen Berlin, den 25. März 2022
IN B3- V 9905/22/10001:001

E-Mail
Generalzolldirektion
Direktion IV

Gestern haben sich die Parteien der Bundesregierung auf ein 2 Entlastungspaket geeinigt, um die Belastungen durch
aufgrund der Ukraine-Krieges gestiegenen Energiepreise für die Bürgerinnen und Bürger sowie die Wirtschaft zu

1
216

II B 3 - V 9905/22/10001 :001
2022/0335903, Anlage 1

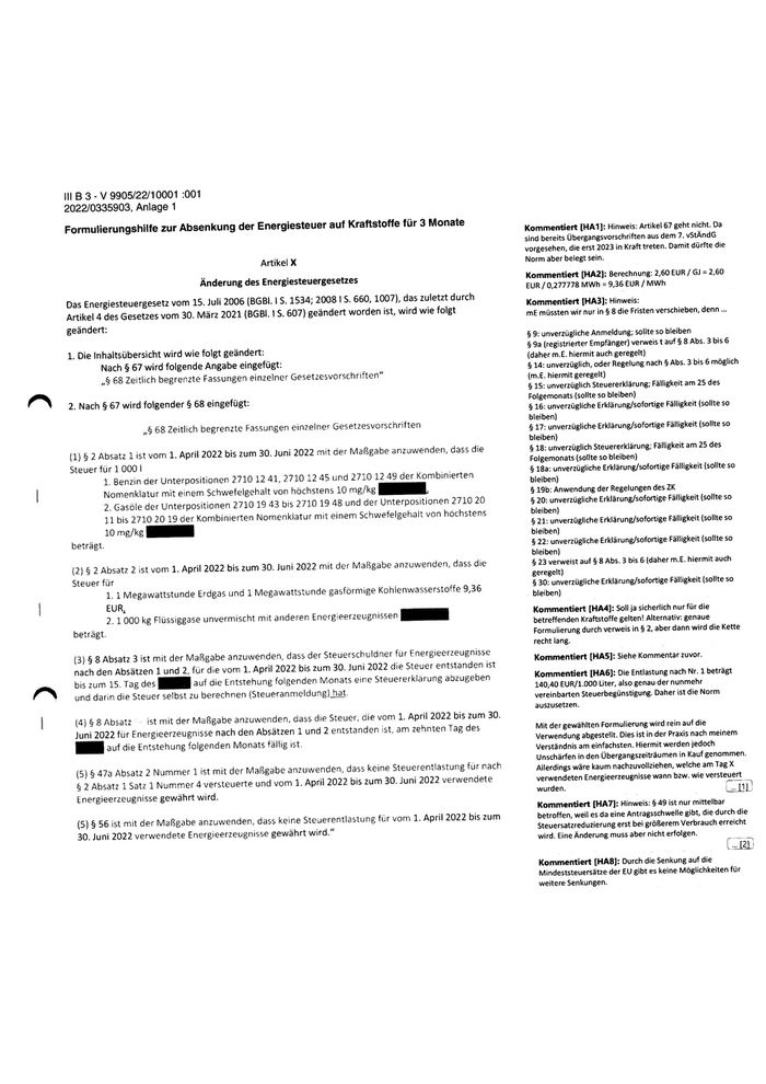
Formulierungshilfe zur Absenkung der Energiesteuer auf Kraftstoffe für 3 Monate

ArtikelX
Änderung des Energiesteuergesetzes

Das Energiesteuergesetz vom 15. Juli 2006 (BGBl. IS. 1534; 2008 IS. 660, 1007), das zuletzt durch
Artikel 4 des Gesetzes vom 30. März 2021 (BGBl. 1S. 607) geändert worden ist, wird wie folgt
geändert:

1. Die Inhaltsübersicht wird wie folgt geändert:
Nach 8 67 wird folgende Angabe eingefügt:
„5 68 Zeitlich begrenzte Fassungen einzelner Gesetzesvorschriften“

2. Nach 8 67 wird folgender & 68 eingefügt:
„5 68 Zeitlich begrenzte Fassungen einzelner Gesetzesvorschriften

(1) 8 2 Absatz Listvom1. April 2022 bis zum 30. Juni 2022 mit der Maßgabe anzuwenden, dass die
Steuer für 1000|
1, Benzin der Unterpositionen 2710 12 41, 271012 45 und 2710 12 49 der Kombinierten
Nomenklatur mit einem Schwefeigehalt von höchstens 10 mg/kg
2. Gasöle der Unterpositionen 2710 19 43 bis 2710 19 48 und der Unterpositionen 2710 20
11 bis 2710 20 19 der Kombinierten Nomenklatur mit einem Schwefelgehalt von höchstens
10 mg/kg
beträgt.

(2) 8 2 Absatz 2 ist vom 1. April 2022 bis zum 30. Juni 2022 mit der Maßgabe anzuwenden, dass die
Steuer für
1. 1 Megawattstunde Erdgas und 1 Megawattstunde gasförmige Kohlenwasserstoffe 9,36
EUR,
2.1000 kg Flüssiggase unvermischt mit anderen Energieerzeugnissen EEE
beträgt.

(3) $ 8 Absatz 3 ist mit der Maßgabe anzuwenden, dass der Steuerschuldner für Energieerzeugnisse
nach den Absätzen 1 und 2, für die vom1. April 2022 bis zum 30. Juni 2022 die Steuer entstanden ist
bis zum 15. Tag des auf die Entstehung folgenden Monats eine Steuererklärung abzugeben
und darin die Steuer selbst zu berechnen (Steueranmeldung)_hat.

(4) $ 8 Absatz '- ist mit der Maßgabe anzuwenden, dass die Steuer, die vom 1. April 2022 bis zum 30.
Juni 2022 für Energieerzeugnisse nach den Absätzen 1 und 2 entstanden ist, am zehnten Tag des
0] auf die Entstehung folgenden Monats fällig ist.

(5) 8 47a Absatz 2 Nummer 1 ist mit der Maßgabe anzuwenden, dass keine Steuerentlastung für nach
8 2 Absatz 1 Satz 1 Nummer 4 versteuerte und vom 1. April 2022 bis zum 30. Juni 2022 verwendete
Energieerzeugnisse gewährt wird.

(5) 8 56 ist mit der Maßgabe anzuwenden, dass keine Steuerentlastung für vom 1. April 2022 bis zum
30. Juni 2022 verwendete Energieerzeugnisse gewährt wird.“

Kommentiert [HA1]: Hinweis: Artikel 67 geht nicht. Da
sind bereits Übergangsvorschriften aus dem 7. vStÄndG
vorgesehen, die erst 2023 in Kraft treten. Damit dürfte die
Norm aber belegt sein.

Kommentiert [HA2]: Berechnung: 2,60 EUR 6) = 2,60
EUR / 0,277778 MWh = 9,36 EUR imwh

Kommentiert [HA3]: Hinweis:
mE müssten wir nur in 8 8 die Fristen verschieben, denn ...

8 9: unverzügliche Anmeldung; sollte so bleiben

5 9a (registrierter Empfänger) verweist auf 88 Abs. 3 bis 6
(daher m.E. hiermit auch geregelt)

& 14: unverzüglich, oder Regelung nach $ Abs. 3 bis 6 möglich
(m.E. hiermit geregelt)

& 15: unverzüglich Steuererklärung; Fälligkeit am 25 des
Folgemonats (sollte so bleiben)

8 16: unverzügliche Erklärung/sofortige Fälligkeit {sollte so
bleiben)

8 17: unverzügliche Erklärung/sofortige Fälligkeit (sollte so
bleiben)

8 18: unverzüglich Steuererklärung; Fälligkeit am 25 des
Folgemonats (sollte so bleiben)

$& 18a: unverzügliche Erklärung/sofortige Fälligkeit (sollte so
bleiben)

& 19b: Anwendung der Regelungen des ZK

8 20: unverzügliche Erklärung/sofortige Fälligkeit (sollte so
bleiben}

$ 21: unverzügliche Erklärung/sofortige Fälligkeit (sollte so
bleiben)

8 22: unverzügliche Erklärung/sofortige Fälligkeit (sollte so
bleiben)

8 23 verweist auf $ 8 Abs. 3 bis 6 (daher m.£. hiermit auch
geregelt)

8 30: unverzügliche Erklärung/sofortige Fälligkeit (sollte so
bleiben)

Kommentiert [HA4]: Soll ja sicherlich nur für die
betreffenden Kraftstoffe gelten! Alternativ: genaue
Formulierung durch verweis in $ 2, aber dann wird die Kette
recht lang.

Kommentiert [HA5]: Siehe Kommentar zuvor.

Kommentiert [HA6]: Die Entlastung nach Nr. 1 beträgt
140,40 EUR/1.000 Liter, also genau der nunmehr
vereinbarten Steuerbegünstigung. Daher ist die Norm
auszusetzen.

Mit der gewählten Formulierung wird rein auf die
Verwendung abgestellt. Dies ist in der Praxis nach meinem
Verständnis am einfachsten. Hiermit werden jedoch
Unschärfen in den Übergangszeiträumen in Kauf genommen.
Allerdings wäre kaum nachzuvoliziehen, welche am Tag X
verwendeten Energieerzeugnisse wann bzw. wie versteuert
wurden. .H

Kommentiert [HA7]: Hinweis: & 49 ist nur mittelbar
betroffen, weil es da eine Antragsschwelle gibt, die durch die
Steuersatzreduzierung erst bei größerem Verbrauch erreicht

wird. Eine Änderung muss aber nicht erfolgen.

. .. [2]
Kommentiert [HAB]: Durch die Senkung auf die
Mindeststeuersätze der EU gibt es keine Möglichkeiten für
weitere Senkungen.
217

Il B 3 - V 9905/22/10001 :001
2022/0335903, Anlage 1

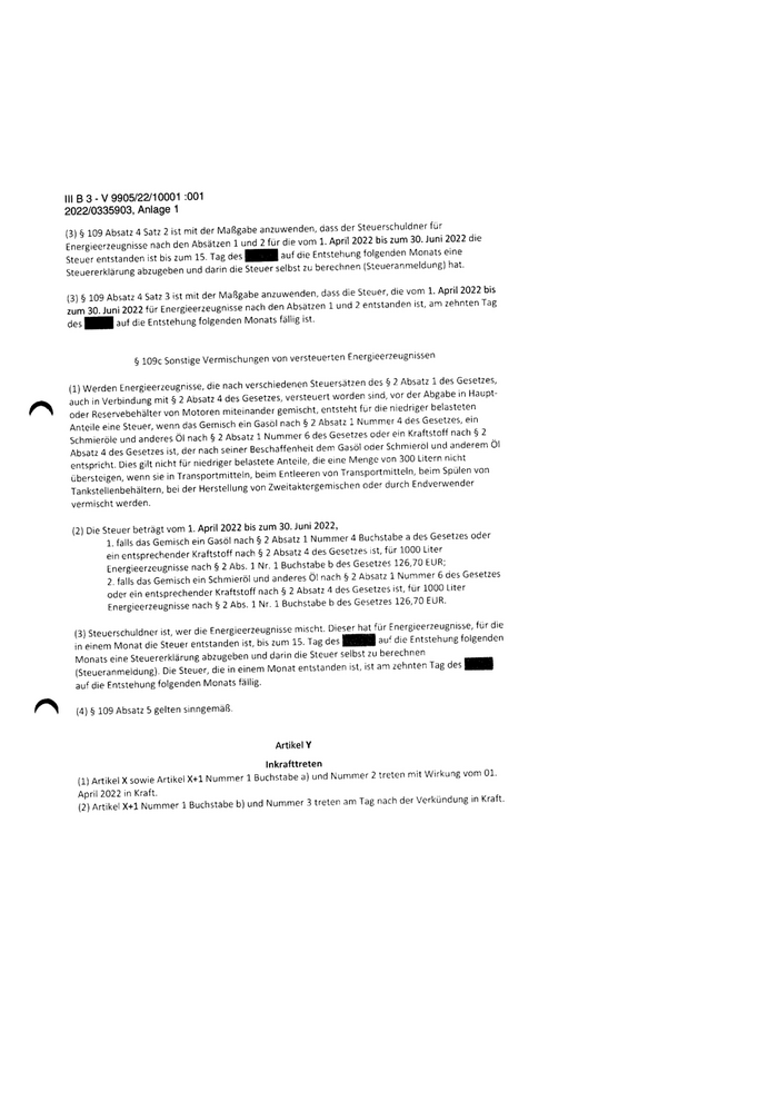
(3) 8 109 Absatz 4 Satz 2 ist mit der Maßgabe anzuwenden, dass der Steuerschuldner für
Energieerzeugnisse nach den Absätzen 1 und 2 für die vom 1. April 2022 bis zum 30. Juni 2022 die
Steuer entstanden ist bis zum 15. Tag des ol auf die Entstehung folgenden Monats eine
Steuererklärung abzugeben und darin die Steuer selbst zu berechnen (Steueranmeldung) hat.

(3) $ 109 Absatz 4 Satz 3 ist mit der Maßgabe anzuwenden, dass die Steuer, die vom 1. April 2022 bis
zum 30. Juni 2022 für Energieerzeugnisse nach den Absätzen 1 und 2 entstanden ist, am zehnten Tag
des EN auf die Entstehung folgenden Monats fällig ist.

8 109c Sonstige Vermischungen von versteuerten Energieerzeugnissen

(1) Werden Energieerzeugnisse, die nach verschiedenen Steuersätzen des 8 2 Absatz 1 des Gesetzes,
auch in Verbindung mit 8 2 Absatz 4 des Gesetzes, versteuert worden sind, vor der Abgabe in Haupt-
oder Reservebehälter von Motoren miteinander gemischt, entsteht für die niedriger belasteten
Anteile eine Steuer, wenn das Gemisch ein Gasöl nach & 2 Absatz 1 Nummer 4 des Gesetzes, ein
Schmieröle und anderes Öl nach $ 2 Absatz 1 Nummer 6 des Gesetzes oder ein Kraftstoff nach 82
Absatz 4 des Gesetzes ist, der nach seiner Beschaffenheit dem Gasöl oder Schmieröl und anderem Öl
entspricht. Dies gilt nicht für niedriger belastete Anteile, die eine Menge von 300 Litern nicht
übersteigen, wenn sie in Transportmittelin, beim Entleeren von Transportmitteln, beim Spülen von
Tankstellenbehältern, bei der Herstellung von Zweitaktergemischen oder durch Endverwender
vermischt werden.

(2) Die Steuer beträgt vom 1. April 2022 bis zum 30. Juni 2022,
1. falls das Gemisch ein Gasöl nach 8 2 Absatz 1 Nummer A Buchstabe a des Gesetzes oder
ein entsprechender Kraftstoff nach $ 2 Absatz 4 des Gesetzes ist, für 1000 Liter
Energieerzeugnisse nach 82 Abs. 1Nr. 1 Buchstabe b des Gesetzes 126,70 EUR;
2. falls das Gemisch ein Schmieröl und anderes Öl nach 8 2 Absatz 1 Nummer 6 des Gesetzes
oder ein entsprechender Kraftstoff nach $ 2 Absatz 4 des Gesetzes ist, für 1000 Liter
Energieerzeugnisse nach 82 Abs. INr. 1 Buchstabe b des Gesetzes 126,70 EUR.

(3) Steuerschuldner ist, wer die Energieerzeugnisse mischt. Dieser hat für Energieerzeugnisse, für die
in einem Monat die Steuer entstanden ist, bis zum 15. Tag des zu auf die Entstehung folgenden
Monats eine Steuererklärung abzugeben und darin die Steuer selbst zu berechnen
(Steueranmeldung). Die Steuer, die in einem Monat entstanden ist, ist am zehnten Tag des wu
auf die Entstehung folgenden Monats fällig.

(4) 8 109 Absatz 5 gelten sinngemäß.

Artikel Y

Inkrafttreten
(1) Artikel X sowie Artikel X+1 Nummer 1 Buchstabe a) und Nummer 2 treten mit Wirkung vom 01.
April 2022 in Kraft.
(2) Artike! X+1 Nummer 1 Buchstabe b) und Nummer 3 treten am Tag nach der Verkündung in Kraft.
218

I B 3 - V 9905/22/10001 :001
2022/0335903, Anlage 1

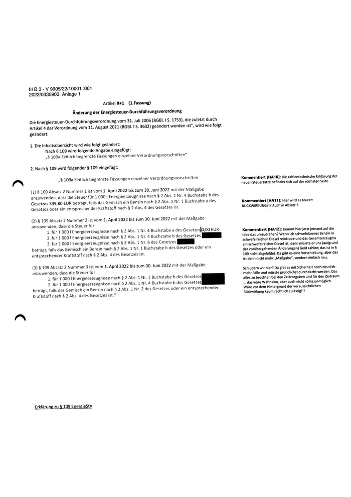
ArtikelX+1 (1.Fassung)
Änderung der Energiesteuer-Durchführungsverordnung

Die Energiesteuer-Durchführungsverordnung vom 31. Juli 2006 (BGBl. IS. 1753), die zuletzt durch
Artikel 4 der Verordnung vom 11. August 2021 (BGBl. 15. 3602) geändert worden ist", wird wie folgt
geändert:

1. Die Inhaltsübersicht wird wie folgt geändert:
Nach $ 109 wird folgende Angabe eingefügt:
„s 109a Zeitlich begrenzte Fassungen einzelner Verordnungsvorschriften“

2. Nach $ 109 wird folgender & 109 eingefügt:
„8 109a Zeitlich begrenzte Fassungen einzelner Verordnungsvorschriften

(1) & 109 Absatz 2 Nummer 1 istvom1. April 2022 bis zum 30. Juni 2022 mit der Maßgabe
anzuwenden, dass die Steuer für 1 000 | Energieerzeugnisse nach 8 2 Abs. 1 Nr. 4 Buchstabe b des
Gesetzes 339,80 EUR beträgt, falls das Gemisch ein Benzin nach 8 2 Abs. 1Nr. 1 Buchstabe a des
Gesetzes oder ein entsprechender Kraftstoff nach $ 2 Abs. 4 des Gesetzes ist.

(2) 8 109 Absatz 2 Nummer 2 ist vom 1. April 2022 bis zum 30. Juni 2022 mit der Maßgabe
anzuwenden, dass die Steuer für
1. für 1 000 | Energieerzeugnisse nach $ 2 Abs. 1Nr. 4 Buchstabe a des Gesetzesf0,00 EUR
2. für 1 000 | Energieerzeugnisse nach $ 2 Abs. INr. 4 Buchstabe b des Gesetzes
3. für 1 000 | Energieerzeugnisse nach 8 2 Abs. 1 Nr. 6 des Gesetzes
beträgt, falls das Gemisch ein Benzin nach $ 2 Abs. 1 Nr. 1 Buchstabe b des Gesetzes oder ein
entsprechender Kraftstoff nach 8 2 Abs. 4 des Gesetzes ist.

(3) 8 109 Absatz 2 Nummer 3 ist vom 1. April 2022 bis zum 30. Juni 2022 mit der Maßgabe
anzuwenden, dass die Steuer für

1. für 1000 I Energieerzeugnisse nach 82 Abs. 1 Nr. 1 Buchstabe b des |
2. für 1 000 | Energieerzeugnisse nach 8 2 Abs. 1 Nr. 4 Buchstabe b des Gesetzes
beträgt, falls das Gemisch ein Benzin nach 82 Abs. 1 Nr. 2 des Gesetzes oder ein entsprechender
Kraftstoff nach 8 2 Abs. 4 des Gesetzes ist.“

Erklärung zu $ 109 EnergieStV

Kommentiert [HA10]: Die zahlentechnische Erklärung der
neuen Steuersätze befindet sich auf der nächsten Seite.

Kommentiert [HA11]: Hier wird es teurer:
RÜCKWIRKUNG?!? Auch in Absatz 3

Kommentiert [HA12]: Kommt hier jetzt jemand auf die
Idee das umzudrehen? Wenn ich schwefelarmes Benzin in
schwefelreichen Diesel reinkippe und das Gesamterzeugnis
ein schwefelreicher Diesel ist, dann müsste er uns (aufgrund
der vorübergehenden Änderungen) Geld zahlen; das istin $
109 nicht abgebildet. Da gibt es eine Verschiebung, aber das
ist dann nicht mehr „Maßgabe“, sondern einfach neu.

Schludern wir hier? Da gibt es mit Sicherheit noch deutlich
mehr Fälle und müsste gründlichst durchdacht werden. Das
alles zu beachten bei den Zeitvorgaben und für den Zeitraum
... das wäre Wahnsinn, aber auch nicht völlig unmöglich.
Wäre vor dem Hintergrund der voraussichtlichen
Rückwirkung kaum rechtlich zulässig!!!
219

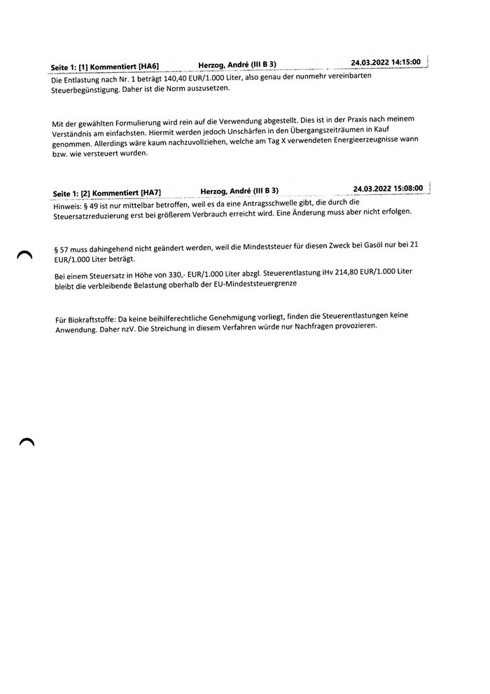
„Seite 1: [1] Kommentiert [HA6] „Herzog, Andre (IB 3) _

 

 

Die Entlastung nach Nr. 1 beträgt 140,40 EUR/1.000 Liter, also genau der nunmehr vereinbarten
Steuerbegünstigung. Daher ist die Norm auszusetzen.

Mit der gewählten Formulierung wird rein auf die Verwendung abgestellt. Dies ist in der Praxis nach meinem
Verständnis am einfachsten. Hiermit werden jedoch Unschärfen in den Übergangszeiträumen in Kauf
genommen. Allerdings wäre kaum nachzuvollziehen, welche am Tag X verwendeten Energieerzeugnisse wann
bzw. wie versteuert wurden.

„Seite 1: [2] Kommentiert [HAT]

Hinweis: $ 49 ist nur mittelbar betroffen, weil es da eine Antragsschwelle gibt, die durch die
Steuersatzreduzierung erst bei größerem Verbrauch erreicht wird. Eine Änderung muss aber nicht erfolgen.

8 57 muss dahingehend nicht geändert werden, weil die Mindeststeuer für diesen Zweck bei Gasöl nur bei 21
EUR/1.000 Liter beträgt.

Bei einem Steuersatz in Höhe von 330,- EUR/1.000 Liter abzgl. Steuerentlastung iHv 214,80 EUR/1.000 Liter
bleibt die verbleibende Belastung oberhalb der EU-Mindeststeuergrenze

Für Biokraftstoffe: Da keine beihilferechtliche Genehmigung vorliegt, finden die Steuerentlastungen keine
Anwendung. Daher nzV. Die Streichung in diesem Verfahren würde nur Nachfragen provozieren.

Herzog, Andre (I B3) 24.03.2022 15:08:00

ı

24.03.2022 14:15:00 |

|

ne
220

Ewert, Udo (ZA 7)

Von: Weihs, Anja (Ill B 3)

Gesendet: Freitag, 25. März 2022 21:52

An: IN B3 - BSB

Cc: Schürle, Carola (Ill B 3); Herzog, Andre (Ill B 3); Ebner, Klaus (Ill B 3);
Obermair Dr., Stefan (Ill C 2); Sszammetat, Melanie (III C 5)

Betreff: WG: 2. Entlastungspaket; hier Senkung der Energiesteuer auf Kraftstoffe

Anlagen: Rechtstext.docx; Schätzung des Erfüllungsaufwands.docx; Julia-Mail-
Pruefbericht.txt

11 B 3 - V 9905/22/10001 :001

2022/0335918
1. Vermerk:
2. Registratur (BSB):
a)Importierennach: I1B3-V 9905/22/10001:001
) Betreff: wie Betreff des Vorgangs
‚Hier: von GZD D IV: Bericht zum Erfüllungsaufwand und Ideen zur rechtlichen Umsetzung
d) Bezug: Automatisch vergeben
e) Stichwörter: !.
f) sonstiges: J.
3. 2.K. Koll. gem. Verteiler mit dieser Mail erledigt
4. z.Vg.

Besten Dank und Gruß
AW

.- Ursprüngliche Nachricht-----

Von: Hufen Dr., Christian (Ill B 3) <Christian.Hufen@bmf.bund.de>

Gesendet: Freitag, 25. März 2022 17:46

An: Weihs, Anja (Ill B3) <Anja.Weihs@bmf.bund.de>; Schürle, Carola (Ill B3) <Carola.Schuerle@bmf.bund.de>;

Ebner, Klaus (lil B 3) <Klaus.Ebner@bmf.bund.de>; Herzog, Andre (Ill B3) <Andre.Herzog@bmf.bund.de>; Obermair

Dr., Stefan (III C2) <Stefan.Obermair@bmf.bund.de>; Szammetat, Melanie (I C5)
yraMelanie.Szammetat@bmf.bund.ce>

}c: Verteiler Referat Ill B 3 <VerteilerReferatilliB3@bmf.bund.de>

Betreff: WG: 2. Entlastungspaket; hier Senkung der Energiesteuer auf Kraftstoffe

Z.W.V.
VG
CH

Dr. Christian Hufen
RLII B3
Durchwahl:

2751

- Ursprüngliche Nachricht-----
Von: DIVA32 (GZD) <DIVA32.gzd@zoll.bund.de>
Gesendet: Freitag, 25. März 2022 17:39
221

manuell zu korrigieren. Zudem könnten bestimmte automatisiert erzeugte Formschreiben für Steuerbescheide, die
eine einheitliche Fälligkeit für alle in den genannten Vordrucken genannten Tatbeständen zugrunde legen, nicht
verwendet werden. Die Schreiben müssten dann manuell erzeugt werden. Aus diesen Gründen - und weil
erfahrungsgemäß auch die Wirtschaftsbeteiligten kurzfristige Anpassungen in ihrer IT-Anwendungen kaum
umsetzen können - rate ich von der Einführung dieser Regelung dringend ab.

Sie führt nach meiner Einschätzung, weil vom aktuellen etablierten Regelverfahren der Steueranmeldung und
Fälligkeit abgewichen wird, zu keinem Gewinn und wird viel eher - entgegen der Intention der BReg ein einfaches
und verwaltungseffizientes Verfahren für eine kurze Zeit einzuführen - zu deutlichen Mehraufwänden und
Problemen führen.

Insoweit schlage ich vor, wenn man Wirtschaft wie Verwaltung hinreichend Zeit zur Umsetzung der Maßnahme
einräumen möchte, als Zeitpunkt den 1.5.2022 bei Fortsetzung der Regelverfahren zu Anmeldung und Fälligkeit
vorzusehen. Ich verweise insoweit auf Punkt 1.1. dieses Berichts.

4. Zu ergänzende Rechtsvorschriften
a) Relevanter Zeitpunkt für Entlastungen: Verwendung Der Gesetzesvorschlag hat nicht nur Auswirkungen im
Bereich der Steueranmeldungen, sondern wirkt sich auch für den Bereich der nachfolgenden Steuerentlastungen
us. Hier stellt sich das Problem, dass die Entlastungen, die sich auf die in Rede stehenden Kraftstoffe beziehen,
\\mer die nachweisliche Versteuerung als Merkmal vorsehen und dieses die Höhe ist, von der aus die Entlastung
gewährt werden soll. Senkt man für einen Zeitraum von drei Monaten die Steuer ab, schlägt sich dies auch zwingend
bei der Bearbeitung der Entlastungen nieder. Wird die abgesenkte Steuer bei den Entlastungen nicht berücksichtigt,
realisiert sich in einigen Entlastungsfällen ein „Windfall profit“ in dem Sinne, dass zu viel entlastet wird.

Eigentlich müsste der Beteiligte beim Entlastungsantrag die Steuer dann nachweisen. Dies wird ihm in aller Regel
nicht möglich sein, da keine Rechnungen vorliegen werden, die die konkrete Steuer auf die in Rede stehende Menge
des Kraftstoffes ausweisen. Ohne Ausweisung der konkreten Steuer auf der Rechnung, kann aber verwaltungsseitig
nicht sichergestellt werden, dass der richtige Betrag entlastet wird. Dies geht letztlich darauf zurück, dass
Versteuerung und Verwendung oft nicht gleichzeitig stattfinden. Wenn nach dem Gesetzesentwurf manche
Steuerbegünstigungen für denselben Zeitraum ausgesetzt werden, wie die Steuersätze ermäßigt sind, passt das
rechtssystematisch nicht zusammen. Das betrifft insbesondere Entlastungsnormen, wo der Steuerschuldner nicht
gleichzeitig Entlastungsberechtigter ist. Bei $ 105a EnergieStV verschärft sich zudem dieses Problem, weil dort
aufgrund aktueller BFH-Rechtsprechung die Vorgabe besteht, dass nur der tatsächlich weitergegebene Steuervorteil
einer Entlastung zugeführt werden darf.

rn: Lösung dieses rechtlichen Problems, das absehbar zu einer Vielzahl von Klagen und Beschwerden mit kaum

\schätzbaren finanziellen Folgen führen kann, halte ich es für erforderlich, dass das Problem im Rechtstext einer

Lösung zugeführt wird. Denkbar wäre es, dies im Rahmen einer Art „Verwendungsfiktion“ in einen eigenen Absatz
des 8 68 EnergieStG (neu) aufzunehmen, der fingiert, dass der Verwendungszeitraum identisch ist mit dem
Zeitraum, in dem die Steuersätze ermäßigt sind. Diese Fiktion wäre eine Vereinfachung des gesamten Verfahrens für
Wirtschaft wie Verwaltung. Andernfalls werden über die unter Il. getätigten Aussagen hinaus umfangreiche
Berechnungen, Prüfungen, Abgrenzungen erforderlich. Ob eine solche Regelung verfassungs- und steuerrechtlich
möglich ist, kann hier aufgrund der Fristsetzung und mangels Zuständigkeit für diese Themen nicht abschließend
gewürdigt werden.

Ich schlage daher die Aufnahme der folgenden Regelung in 8 68 Abs. 7 EnergieStG (neu) vor:
"(7) 88 8 Absatz 7, 46, 47, 48, 49, 52, 59 und 60 EnergieStG sowie $ 105a EnergieStV sind mit der Maßgabe
anzuwenden, dass die für diese Entlastungstatbestände im Zeitraum vom 1. Mai 2022 bis zum 31. Juli 2022

verwendeten Energieerzeugnisse als in diesem Zeitraum versteuert gelten.

Für die ab dem 1 August 2022 verwendeten Energieerzeugnisse zu den in Satz 1 genannten Entlastungstatbeständen
gilt die Maßgabe, dass diese auch als nach dem 1. August 2022 versteuert gelten."
222

In den Jahren 2023, 2024 und ggf. noch 2025 würde bei den Steuerbegünstigungen, die staatliche Beihilfen im Sinne
des Unionsrechts sind und bei den Kraftstoffe erfasst sind, durch die Absenkung des Steuersatzes das
Beihilfevolumen niedriger ausfallen als bei den bisherigen Steuersätzen.

Betroffen wären im IT-Fachverfahren EULE die Steuerbegünstigungen der 88 3, 3a, 47a, 56, 57 EnergieStG. Für das
IT-Fachverfahren EULE besteht seit Anfang 2019 eine Pflicht zur Nutzung durch die Beteiligten. Eine Lösung des
Problems durch Nutzung von papiergebundenen Formularen ist nicht möglich

Eine Abbildung der Absenkung für Mengen aus einem Zeitraum von drei Monaten ist nach kursorischer Prüfung
nicht im IT-Fachverfahren abbildbar und würde einen erheblichen Eingriff in die Struktur des Verfahrens bedeuten.

Ich rege daher an, die Meldungen in der EnSTransV unverändert laufen zu lassen. Im Ergebnis würden höhere
Beihilfen in dem besagten Zeitraum gemeldet und übermittelt, als dies tatsächlich der Fall war.

2. Aufwände GZD
Die Aufgaben werden absehbar bei der GZD ausschließlich von Beschäftigten des gD erledigt werden müssen.
Entsprechend habe ich dies im Rahmen der Kostensätze vorgesehen.

n Aufwände DIV.A.12
Die oben dargestellten Maßnahmen bedingen Arbeitsaufwände im Rahmen der Anpassung im IT-Fachverfahren
IVVA/MoeVe. Zudem wären entsprechende Einführungshinweise bzw. -verfügungen an die HZÄ zu fertigen.

Diese Aufwände schätze ich entsprechend dem Ergebnis aus der Anlage.

b) Aufwände im Referat DIV.A.3

Im Referat DIV.A.3 wären alle in Rede stehenden FMS-Vordrucke (Steueranmeldungen und Entlastungen) nebst
Hinweisen zur Einführung anzupassen, den HZÄ inkl. der Verfahren mitzuteilen, im Wege der Rechts- und
Fachaufsicht zu begleiten und das Procedere beim Auslaufen der Maßnahme - bei den Entlastungen mit deutlichen
zeitlichen Versatz wegen der Fristen für die Beantragung von Entlastungen - zu wiederholen.

Diese Aufwände schätze ich entsprechend dem Ergebnis aus der Anlage.

3. Aufwände der HZÄ

met bei den HZÄ habe ich ausschließlich die Bearbeitung durch Beschäftigten des gD kalkuliert, weil es sich hier
‘bsehbar um diffizile und komplexe Fälle in der Bearbeitung handeln wird und weil aufgrund der kurzen Frist zur
Schätzung des Aufwandes keine valide Einschätzung für eine Aufteilung der Aufgaben auf mD und gD möglich war.
Entsprechend habe ich dies im Rahmen der Kostensätze vorgesehen.

Diese Aufwände schätze ich entsprechend im Detail dem Ergebnis aus der Anlage.
Ergänzend folgende Hinweise:
a) Schätzung Aufwand der HZÄ für Steueranmeldungen Die Aufwände sind in der Anlage ausgewiesen.

b) Schätzung des Aufwandes der HZÄ für Steuerentlastungen Die hier ausgewiesenen Aufwände sind unter Bezug
auf meinem Vorschlag eines & 68 Abs. 7 EnergieStG (neu) (vgl. insoweit auch oben unter 1. 4. a) des Berichts) zu
verstehen. Sollten Sie diesem Vorschlag jedoch nicht folgen können, weise ich darauf hin, dass dies nicht dazu führt,
dass diese Bearbeitungsaufwände der HZÄ entfallen, sondern - im Gegenteil - durch die dann erforderlichen
Abgrenzungen, Schätzungen usw. höher ausfallen werden im Rahmen der Bearbeitung der Entlastungsanträge.
Ohne die vorgeschlagene Vereinfachungsregelung wird sich der Aufwand für die HZÄ um ein Mehrfaches erhöhen.
Mit Blick auf die Möglichkeit, dies ggf. administrativ durch die vorgeschlagene Regelung vermeiden zu können, habe
ich von einer zusätzlichen Schätzung abgesehen.
223

Fax: 0228/ 99 104
E-Mail: DIV.gzd@zoll.bund.de

www.zoll.de

En Ursprüngliche Nachricht-----
Von: Anja.Weihs@bmf.bund.de <Anja.Weihs@bmf.bund.de>
Gesendet: Freitag, 25. März 2022 11:11
An: DIV (GZD) <DIV.gzd@zoll.bund.de>
Cc: Jakobs, Dietmar (GZD - DIV - DO Bonn) <Dietmar.Jakobs@zoll.bund.de>; Makurath, Jan (GZD - DIV - DO Bonn)
<Jan.Makurath@zoll.bund.de>; Wielant, Martin (GZD - DIV - DO Bonn) <Martin.Wielant@zoll.bund.de>;
Aehringhaus, Stefan (GZD - DIV - DO Bonn) <Stefan.Aehringhaus@zoll.bund.de>; Christian. Hufen@bmf.bund.de;
Carola.Schuerle@bmf.bund.de; Andre.Herzog@bmf.bund.de; Klaus.Ebner@bmf.bund.de

etreff: Frist: 25.03., 15 Uhr; 2. Entlastungspaket; hier Senkung der Energiesteuer auf Kraftstoffe

\iorität: Hoch

Bundesministerium der Finanzen Berlin, den 25. März 2022
II B 3- V 9905/22/10001:001

E-Mail
Generalzolldirektion
Direktion IV

Gestern haben sich die Parteien der Bundesregierung auf ein 2 Entlastungspaket geeinigt, um die Belastungen durch
aufgrund der Ukraine-Krieges gestiegenen Energiepreise für die Bürgerinnen und Bürger sowie die Wirtschaft zu
senken. Als Teil des Pakets wurde beschlossen die Energiesteuer auf Kraftstoffe befristet auf drei Monate auf das
zulässige europäische Mindestmaß zu senken.

rX genauen Einzelheiten, insbesondere ab wann die Absenkung gelten soll, werden innerhalb der Regierung noch
„eklärt. Dennoch benötigt das Haushaltsreferat eine Einschätzung zum zusätzlichen Aufwand der Maßnahme für die
Bundesfinanzverwaltung (insbesondere Zollverwaltung und ITZBund), um die Ausgaben für den Nachtragshaushalt
für den Einzelplan 08 einbringen zu können.

Ich bitte daher bis heute, 25. März 2022 um 15.00 Uhr um einen Bericht mit einer Schätzung zum finanziellen
Aufwand zur Umsetzung der Maßnahme für die Änderung von IT-Verfahren sowie zusätzlichem Aufwand für die
Sachbearbeitung. Die Einbindung der Kost Erfüllung bitte ich eigener Zuständigkeit zu regeln.

Zur Orientierung übermittle ich den Arbeitsentwurf einer gesetzlichen Regelung zur befristeten Absenkung. Dieser
ist noch nicht finalisiert.

Auf das Gespräch mit Dr. Wielant und Dr. Aehringhaus nehme ich Bezug und stehe für telefonische Rückfragen
gerne zur Verfügung.

Im Auftrag

<https://www.bundesfinanzministerium.de/>

Anja Weihs

Bundesministerium der Finanzen

Referat Ill B 3 — Energie- und Stromsteuer Wilhelmstraße 97, 10117 Berlin

7
224

Zur nächsten Seite