ordner-1

Dieses Dokument ist Teil der Anfrage „Akte zum Tankrabatt

/ 498
PDF herunterladen
In den Jahren 2023, 2024 und ggf. noch 2025 würde bei den Steuerbegünstigungen, die staatliche Beihilfen im Sinne
des Unionsrechts sind und bei den Kraftstoffe erfasst sind, durch die Absenkung des Steuersatzes das
Beihilfevolumen niedriger ausfallen als bei den bisherigen Steuersätzen.

Betroffen wären im IT-Fachverfahren EULE die Steuerbegünstigungen der 88 3, 3a, 47a, 56, 57 EnergieStG. Für das
IT-Fachverfahren EULE besteht seit Anfang 2019 eine Pflicht zur Nutzung durch die Beteiligten. Eine Lösung des
Problems durch Nutzung von papiergebundenen Formularen ist nicht möglich

Eine Abbildung der Absenkung für Mengen aus einem Zeitraum von drei Monaten ist nach kursorischer Prüfung
nicht im IT-Fachverfahren abbildbar und würde einen erheblichen Eingriff in die Struktur des Verfahrens bedeuten.

Ich rege daher an, die Meldungen in der EnSTransV unverändert laufen zu lassen. Im Ergebnis würden höhere
Beihilfen in dem besagten Zeitraum gemeldet und übermittelt, als dies tatsächlich der Fall war.

2. Aufwände GZD
Die Aufgaben werden absehbar bei der GZD ausschließlich von Beschäftigten des gD erledigt werden müssen.
Entsprechend habe ich dies im Rahmen der Kostensätze vorgesehen.

n Aufwände DIV.A.12
Die oben dargestellten Maßnahmen bedingen Arbeitsaufwände im Rahmen der Anpassung im IT-Fachverfahren
IVVA/MoeVe. Zudem wären entsprechende Einführungshinweise bzw. -verfügungen an die HZÄ zu fertigen.

Diese Aufwände schätze ich entsprechend dem Ergebnis aus der Anlage.

b) Aufwände im Referat DIV.A.3

Im Referat DIV.A.3 wären alle in Rede stehenden FMS-Vordrucke (Steueranmeldungen und Entlastungen) nebst
Hinweisen zur Einführung anzupassen, den HZÄ inkl. der Verfahren mitzuteilen, im Wege der Rechts- und
Fachaufsicht zu begleiten und das Procedere beim Auslaufen der Maßnahme - bei den Entlastungen mit deutlichen
zeitlichen Versatz wegen der Fristen für die Beantragung von Entlastungen - zu wiederholen.

Diese Aufwände schätze ich entsprechend dem Ergebnis aus der Anlage.

3. Aufwände der HZÄ

met bei den HZÄ habe ich ausschließlich die Bearbeitung durch Beschäftigten des gD kalkuliert, weil es sich hier
‘bsehbar um diffizile und komplexe Fälle in der Bearbeitung handeln wird und weil aufgrund der kurzen Frist zur
Schätzung des Aufwandes keine valide Einschätzung für eine Aufteilung der Aufgaben auf mD und gD möglich war.
Entsprechend habe ich dies im Rahmen der Kostensätze vorgesehen.

Diese Aufwände schätze ich entsprechend im Detail dem Ergebnis aus der Anlage.
Ergänzend folgende Hinweise:
a) Schätzung Aufwand der HZÄ für Steueranmeldungen Die Aufwände sind in der Anlage ausgewiesen.

b) Schätzung des Aufwandes der HZÄ für Steuerentlastungen Die hier ausgewiesenen Aufwände sind unter Bezug
auf meinem Vorschlag eines & 68 Abs. 7 EnergieStG (neu) (vgl. insoweit auch oben unter 1. 4. a) des Berichts) zu
verstehen. Sollten Sie diesem Vorschlag jedoch nicht folgen können, weise ich darauf hin, dass dies nicht dazu führt,
dass diese Bearbeitungsaufwände der HZÄ entfallen, sondern - im Gegenteil - durch die dann erforderlichen
Abgrenzungen, Schätzungen usw. höher ausfallen werden im Rahmen der Bearbeitung der Entlastungsanträge.
Ohne die vorgeschlagene Vereinfachungsregelung wird sich der Aufwand für die HZÄ um ein Mehrfaches erhöhen.
Mit Blick auf die Möglichkeit, dies ggf. administrativ durch die vorgeschlagene Regelung vermeiden zu können, habe
ich von einer zusätzlichen Schätzung abgesehen.
223

Fax: 0228/ 99 104
E-Mail: DIV.gzd@zoll.bund.de

www.zoll.de

En Ursprüngliche Nachricht-----
Von: Anja.Weihs@bmf.bund.de <Anja.Weihs@bmf.bund.de>
Gesendet: Freitag, 25. März 2022 11:11
An: DIV (GZD) <DIV.gzd@zoll.bund.de>
Cc: Jakobs, Dietmar (GZD - DIV - DO Bonn) <Dietmar.Jakobs@zoll.bund.de>; Makurath, Jan (GZD - DIV - DO Bonn)
<Jan.Makurath@zoll.bund.de>; Wielant, Martin (GZD - DIV - DO Bonn) <Martin.Wielant@zoll.bund.de>;
Aehringhaus, Stefan (GZD - DIV - DO Bonn) <Stefan.Aehringhaus@zoll.bund.de>; Christian. Hufen@bmf.bund.de;
Carola.Schuerle@bmf.bund.de; Andre.Herzog@bmf.bund.de; Klaus.Ebner@bmf.bund.de

etreff: Frist: 25.03., 15 Uhr; 2. Entlastungspaket; hier Senkung der Energiesteuer auf Kraftstoffe

\iorität: Hoch

Bundesministerium der Finanzen Berlin, den 25. März 2022
II B 3- V 9905/22/10001:001

E-Mail
Generalzolldirektion
Direktion IV

Gestern haben sich die Parteien der Bundesregierung auf ein 2 Entlastungspaket geeinigt, um die Belastungen durch
aufgrund der Ukraine-Krieges gestiegenen Energiepreise für die Bürgerinnen und Bürger sowie die Wirtschaft zu
senken. Als Teil des Pakets wurde beschlossen die Energiesteuer auf Kraftstoffe befristet auf drei Monate auf das
zulässige europäische Mindestmaß zu senken.

rX genauen Einzelheiten, insbesondere ab wann die Absenkung gelten soll, werden innerhalb der Regierung noch
„eklärt. Dennoch benötigt das Haushaltsreferat eine Einschätzung zum zusätzlichen Aufwand der Maßnahme für die
Bundesfinanzverwaltung (insbesondere Zollverwaltung und ITZBund), um die Ausgaben für den Nachtragshaushalt
für den Einzelplan 08 einbringen zu können.

Ich bitte daher bis heute, 25. März 2022 um 15.00 Uhr um einen Bericht mit einer Schätzung zum finanziellen
Aufwand zur Umsetzung der Maßnahme für die Änderung von IT-Verfahren sowie zusätzlichem Aufwand für die
Sachbearbeitung. Die Einbindung der Kost Erfüllung bitte ich eigener Zuständigkeit zu regeln.

Zur Orientierung übermittle ich den Arbeitsentwurf einer gesetzlichen Regelung zur befristeten Absenkung. Dieser
ist noch nicht finalisiert.

Auf das Gespräch mit Dr. Wielant und Dr. Aehringhaus nehme ich Bezug und stehe für telefonische Rückfragen
gerne zur Verfügung.

Im Auftrag

<https://www.bundesfinanzministerium.de/>

Anja Weihs

Bundesministerium der Finanzen

Referat Ill B 3 — Energie- und Stromsteuer Wilhelmstraße 97, 10117 Berlin

7
224

Il B 3 - V 9905/22/10001 :001
2022/0335918, Anlage 1

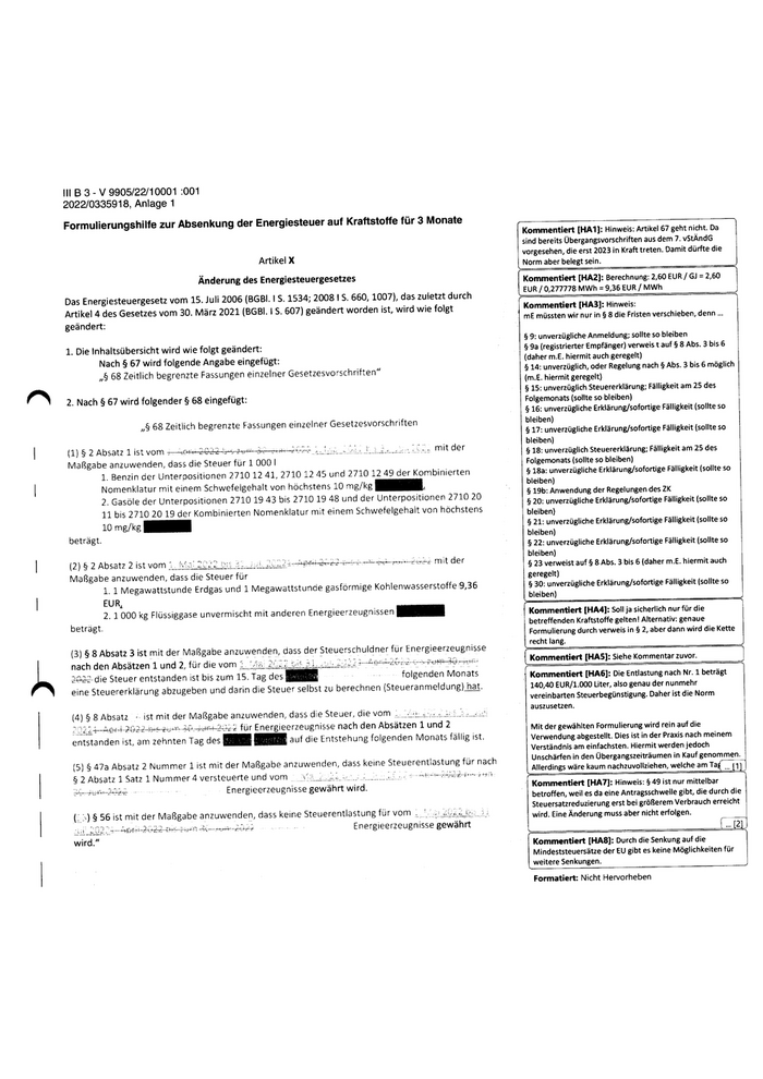
Formulierungshilfe zur Absenkung der Energiesteuer auf Kraftstoffe für 3 Monate

Artikel X
Änderung des Energiesteuergesetzes

Das Energiesteuergesetz vom 15. Juli 2006 (BGB. 15. 1534; 2008 IS. 660, 1007), das zuletzt durch
Artikel 4 des Gesetzes vom 30. März 2021 (BGBl. | S. 607) geändert worden ist, wird wie folgt
geändert:

1. Die Inhaltsübersicht wird wie folgt geändert:
Nach $ 67 wird folgende Angabe eingefügt:
„8 68 Zeitlich begrenzte Fassungen einzelner Gesetzesvorschriften“

2. Nach 8 67 wird folgender 8 68 eingefügt:

„s 68 Zeitlich begrenzte Fassungen einzelner Gesetzesvorschriften

 

;

   

(1) $ 2 Absatz 1 ist vom =
Maßgabe anzuwenden, dass die Steuer für 1 000 |
1. Benzin der Unterpositionen 2710 12 41, 2710 12 45 und 2710 12 49 der Kombinierten
Nomenklatur mit einem Schwefelgehalt von höchstens 10 mg/kg
2. Gasöle der Unterpositionen 2710 19 43 bis 2710 19 48 und der Unterpositionen 2710 20
11 bis 2710 20 19 der Kombinierten Nomenklatur mit einem Schwefelgehalt von höchstens
10 mg/kg
beträgt.

 

en 158 . mit der

(2) 8 2 Absatz 2 istvomi.
Maßgabe anzuwenden, dass die Steuer für
1. 1 Megawattstunde Erdgas und 1 Megawattstunde gasförmige Kohlenwasserstoffe 9,36
EUR,
2.1000 kg Flüssiggase unvermischt mit anderen Energieerzeugnissen 0]
beträgt.

See mit der

  

(3) &$ 8 Absatz 3 ist mit der Maßgabe anzuwenden, dass der Steuerschuldner für Energieerzeugnisse
nach den Absätzen 1 und 2, für die vom ! a Eule
2222 die Steuer entstanden ist bis zum 15. Tag ce folgenden Monats
eine Steuererklärung abzugeben und darin die Steuer selbst zu berechnen (Steueranmeldung) hat.

 
   

(4) $ 8 Absatz .- ist mit der Maßgabe anzuwenden, dass die Steuer, die vom . ı
1er a-kesenätoderär für Energieerzeugnisse nach den Absätzen 1 und 2
entstanden ist, am zehnten Tag des auf die Entstehung folgenden Monats fällig ist.

 

 

(5) 8 47a Absatz 2 Nummer 1 ist mit der Maßgabe anzuwenden, dass keine Steuerentlastung für nach
s 2 Absatz 1 Satz 1 Nummer 4 versteuerte und vom _
2 Energieerzeugnisse gewährt w wird.

   

 

    

»)8 56 ist mit der Maßgabe anzuwenden, dass keine Steuerentlastung für vom ..'- .
Energieerzeugnisse gewährt

   

N Een

| Kommentiert [HA6]: Die Entlastung nach Nr. 1 beträgt

' Kommentiert [HA7]: Hinweis: $ 49 ist nur mittelbar

 

Kommentiert [HA1]: Hinweis: Artikel 67 geht nicht. Da
sind bereits Übergangsvorschriften aus dem 7. vStÄndG
vorgesehen, die erst 2023 in Kraft treten. Damit dürfte die
Norm aber belegt sein.

[ Kommentiert [HA2]: Berechnung: 2,60 EUR / GJ = 2,60
EUR / 0,277778 MWh = 9,36 EUR /mwh

 

 

 

 

 

 

 

 

Kommentiert [HA3]: Hinweis:
{ mE müssten wir nur in $ 8 die Fristen verschieben, denn ...

8 9: unverzügliche Anmeldung; sollte so bleiben

$ 9a (registrierter Empfänger) verweist auf 88 Abs. 3bis6
(daher m.E. hiermit auch geregelt)

$ 14: unverzüglich, oder Regelung nach $ Abs. 3 bis 6 möglich
{m.E. hiermit geregelt)

8 15: unverzüglich Steuererklärung; Fälligkeit am 25 des
Folgemonats (sollte so bleiben)

& 16: unverzügliche Erklärung/sofortige Fälligkeit (solite so
bleiben)

8 17: unverzügliche Erklärung/sofortige Fälligkeit {sollte so
bleiben)

$ 18: unverzüglich Steuererklärung; Fälligkeit am 25 des
Folgemonats (sollte so bleiben)

& 183: unverzügliche Erklärung/sofortige Fälligkeit (sollte so
bleiben)

& 19b: Anwendung der Regelungen des ZK

& 20: unverzügliche Erklärung/sofortige Fälligkeit (sollte so
bleiben)

8 21: unverzügliche Erklärung/sofortige Fälligkeit (sollte so
bleiben)

8 22: unverzügliche Erklärung/sofortige Fälligkeit (sollte so
bleiben)

& 23 verweist auf $ 8 Abs. 3 bis 6 (daher m.E. hiermit auch
geregelt)

8 30: unverzügliche Erklärung/sofortige Fälligkeit (sollte so

 

 

bleiben)
Kommentiert [HA4]: Soil ja sicherlich nur für die
betreffenden Kraftstoffe gelten! Alternativ: genaue
Formulierung durch verweis in $ 2, aber dann wird die Kette
recht lang.

 

 

 

 

 

m

Kommentiert [HA5]: Siehe Kommentar zuvor.

 

 

 

140,40 EUR/1.000 Liter, also genau der nunmehr
vereinbarten Steuerbegünstigung. Daher ist die Norm
auszusetzen.

Mit der gewählten Formulierung wird rein auf die
Verwendung abgestellt. Dies ist in der Praxis nach meinem
Verständnis am einfachsten. Hiermit werden jedoch
Unschärfen in den Übergangszeiträumen in Kauf genommen.
‚Allerdings wäre kaum nachzuvollziehen, welche am Tag _.. [1] ]

 

 

 

 

betroffen, weil es da eine Antragsschweile gibt, die durch die
Steuersatzreduzierung erst bei größerem Verbrauch erreicht
wird. Eine Änderung muss aber nicht erfolgen.

. [2]

 

Kommentiert [HA8]: Durch die Senkung auf die
Mindeststeuersätze der EU gibt es keine Möglichkeiten für
|_weitere Senkungen.

 

 

 

Formatiert: Nicht Hervorheben
225

Ill B3- V 9905/22/10001 :001
2022/0335918, Anlage 1

(2) 8 109 Absatz 2 Nummer 3 ist vom 3. Ns
mit der Maßgabe anzuwenden, dass die Steuer für
1. 1.000 | Energieerzeugnisse nach $ 2 Abs. 1 Nr. 1 Buchstabe b des (u
2.1000 | Energieerzeugnisse nach & 2 Abs. 1 Nr. 4 Buchstabe b des Gesetzes
beträgt, falls das Gemisch ein Benzin nach 82 Abs. 1Nr. 2 des Gesetzes oder ein entsprechender
Kraftstoff nach 8 2 Abs. 4 des Gesetzes ist.

 
 

PO ERG RAR DEE An Eu un Cu an nz en ran

 

(3) 8 109 Absatz 4 Satz 2 ist mit der Maßgabe anzuwenden, dass der Steuerschuldner für
Energieerzeugnisse nach den Absätzen 1 und 2 für die vom .. ' NIE

ee die Steuer entstanden ist bis zum 15. Tag des :
folgenden Monats eine Steuererklärung abzugeben und darin die Steuer selbst zu berechnen
(Steueranmeldung) hat.

 
 

 

 

(3) 8 109 Absatz 4 Satz 3 ist mit der Maßgabe anzuwenden, dass die Steuer, die ..‘' £
2 een 30 Jumi-lE für Energieerzeugnisse nach den Absätzen 1 und 2

Ik

entstanden ist, am zehnten Tag des DEE EEE auf die Entstehung folgenden Monats fällig ist.

 

 

 

8 109c Sonstige Vermischungen von versteuerten Energieerzeugnissen

(1) Werden Energieerzeugnisse, die nach verschiedenen Steuersätzen des $ 2 Absatz 1 des Gesetzes,
auch in Verbindung mit $ 2 Absatz 4 des Gesetzes, versteuert worden sind, vor der Abgabe in Haupt-
oder Reservebehälter von Motoren miteinander gemischt, entsteht für die niedriger belasteten
Anteile eine Steuer, wenn das Gemisch ein Gasöl nach 8 2 Absatz 1 Nummer 4 des Gesetzes, ein
Schmieröle und anderes Öl nach 8 2 Absatz 1 Nummer 6 des Gesetzes oder ein Kraftstoff nach 82
Absatz 4 des Gesetzes ist, der nach seiner Beschaffenheit dem Gasöl oder Schmieröl und anderem Öl
entspricht. Dies gilt nicht für niedriger belastete Anteile, die eine Menge von 300 Litern nicht
übersteigen, wenn sie in Transportmitteln, beim Entleeren von Transportmitteln, beim Spülen von
Tankstellenbehältern, bei der Herstellung von Zweitaktergemischen oder durch Endverwender
vermischt werden.

(2} Die Steuer beträgt vom i. . >
1. falls das Gemisch ein Gasöl nach 5 2 Absatz 1 Nummer A A Buchstabe a des Gesetzes oder
ein entsprechender Kraftstoff nach $ 2 Absatz 4 des Gesetzes ist, für 1000 Liter
Energieerzeugnisse nach & 2 Abs. 1 Nr. 1 Buchstabe b des Gesetzes 126,70 EUR;
2. falls das Gemisch ein Schmieröl und anderes Öl nach 8 2 Absatz 1 Nummer 6 des Gesetzes
oder ein entsprechender Kraftstoff nach & 2 Absatz 4 des Gesetzes ist, für 1000 Liter
Energieerzeugnisse nach $ 2 Abs. 1 Nr. 1 Buchstabe b des Gesetzes 126,70 EUR.

 

BR en a hg
: rg

(3) Steuerschuldner ist, wer die Energieerzeugnisse mischt. Dieser hat für Energieerzeugnisse, für die
in einem Monat die Steuer entstanden ist, bis zum 15. Tag des folgenden
Monats eine Steuererklärung abzugeben und darin die Steuer selbst zu berechnen
(Steueranmeldung). Die Steuer, die in einem Monat entstanden ist, ist am zehnten Tag des
EEE: die Entstehung folgenden Monats fällig.

 

 

(A) & 109 Absatz 5 gelten sinngemäß.

Artikel Y

Inkrafttreten
(1) Artikel X sowie Artikel «#1 Nummer 1 Buchstabe a) und Nummer 2 treten mit Wirkung vom 01.
Apri! 2022 in Kraft.
226

11 B 3 - V 9905/22/10001 :001
2022/0335918, Anlage 1

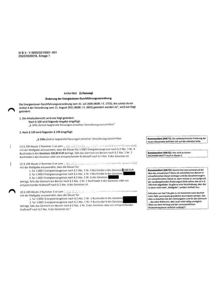
Artikel X+1 (1.Fassung)
Änderung der Energiesteuer-Durchführungsverordnung

Die Energiesteuer-Durchführungsverordnung vom 31. Juli 2006 (BGBl. 15. 1753), die zuletzt durch
Artikel 4 der Verordnung vom 11. August 2021 (BGBl. ! 5. 3602) geändert worden ist", wird wie folgt
geändert:

1. Die Inhaltsübersicht wird wie folgt geändert:
Nach & 109 wird folgende Angabe eingefügt:
„8 109a Zeitlich begrenzte Fassungen einzelner Verordnungsvorschriften”

2. Nach $ 109 wird folgender $ 109 eingefügt:

„8 109a Zeitlich begrenzte Fassungen einzelner Verordnungsvorschriften
(1) 8 109 Absatz 2 Nummer 1 ist vom ir e. et
mit der Maßgabe anzuwenden, dass die Steuer für 1 0001| Energieerzeugnisse nach 8 2 Abs. 1 Nr. 4

Buchstabe b des Gesetzes 339,80 EUR beträgt, falls das Gemisch ein Benzin nach 8 2 Abs. 1Nr. 1
Buchstabe a des Gesetzes oder ein entsprechender Kraftstoff nach 8 2 Abs. 4 des Gesetzes ist.

 

(2) 8 109 Absatz 2 Nummer 2 istvom; al
mit der Maßgabe anzuwenden, dass die Steuer für
1. für 1 000 | Energieerzeugnisse nach 8 2 Abs. 1 Nr. 4 Buchstabe a des Gesetzesho, 00 EUR
2. für 1000 I Energieerzeugnisse nach 8 2 Abs. 1 Nr. 4 Buchstabe b des Gesetzes
3. für 1000 | Energieerzeugnisse nach & 2 Abs. 1 Nr. 6 des Gesetzes
beträgt, falls das Gemisch ein Benzin nach $ 2 Abs. 1 Nr. 1 Buchstabe b des Gesetzes oder ein
entsprechender Kraftstoff nach & 2 Abs. 4 des Gesetzes ist.

ee

   

   

(3) 8 109 Absatz 2 Nummer 3 ist vom \. 'Y a u
mit der Maßgabe anzuwenden, dass die Steuer für
1. für 1.000 I Energieerzeugnisse nach 8 2 Abs. 1 Nr. 1 Buchstabe b des (u
2. für 1000 | Energieerzeugnisse nach 8 2 Abs. 1 Nr. 4 Buchstabe b des Gesetzes
beträgt, falls das Gemisch ein Benzin nach $ 2 Abs. 1 Nr. 2 des Gesetzes oder ein entsprechender
Kraftstoff nach $ 2 Abs. 4 des Gesetzes ist.”

Lenin a ihn et

 

 

Kommentiert [HA11]: Die zahlentechnische Erklärung der
neuen Steuersätze befindet sich auf der nächsten Seite.

 

 

ÜCKWIRKUNG?!? Auch in Absatz 3

(rm [HA12]: Hier wird es teurer:
R

 

 

Kommentiert [HA13]: Kommt hier jetzt jemand auf die
Idee das umzudrehen? Wenn ich schwefelarmes Benzin in
schwefelreichen Diesel reinkippe und das Gesamterzeugnis
ein schwefelreicher Diesel ist, dann müsste er uns (aufgrund
der vorübergehenden Änderungen) Geld zahlen; das ist in $
109 nicht abgebildet. Da gibt es eine Verschiebung, aber das
ist dann nicht mehr „Maßgabe“, sondern einfach neu.

Schludern wir hier? Da gibt es mit Sicherheit noch deutlich
mehr Fälle und müsste gründlichst durchdacht werden. Das
alles zu beachten bei den Zeitvorgaben und für den Zeitraum
.. das wäre Wahnsinn, aber auch nicht völlig unmöglich.
Wäre vor dem Hintergrund der voraussichtlichen
Rückwirkung kaum rechtlich zulässig!!!
227

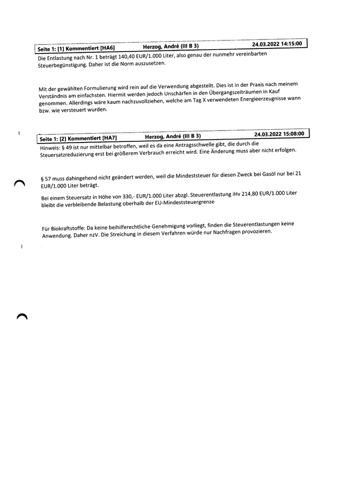
Seite 1: [1] Kommentiert [HA6] Herzog, Andre (Ill B 3) 24.03.2022 14:15:00

Die Entlastung nach Nr. 1 beträgt 140,40 EUR/1.000 Liter, also genau der nunmehr vereinbarten
Steuerbegünstigung. Daher ist die Norm auszusetzen.

 

Mit der gewählten Formulierung wird rein auf die Verwendung abgestellt. Dies ist in der Praxis nach meinem
Verständnis am einfachsten. Hiermit werden jedoch Unschärfen in den Übergangszeiträumen in Kauf
genommen. Allerdings wäre kaum nachzuvollziehen, welche am Tag X verwendeten Energieerzeugnisse wann
bzw. wie versteuert wurden.

 

    

Seite 1: [2] Kommentiert [HA7] Herzog, Andre (Ill B 3) 24.03.2022 15:08:00

Hinweis: $ 49 ist nur mittelbar betroffen, weil es da eine Antragsschwelle gibt, die durch die
Steuersatzreduzierung erst bei größerem Verbrauch erreicht wird. Eine Änderung muss aber nicht erfolgen.

   

8 57 muss dahingehend nicht geändert werden, weil die Mindeststeuer für diesen Zweck bei Gasöl nur bei 21
EUR/1.000 Liter beträgt.

Bei einem Steuersatz in Höhe von 330,- EUR/1.000 Liter abzgl. Steuerentlastung iHv 214,80 EUR/1.000 Liter
bleibt die verbleibende Belastung oberhalb der EU-Mindeststeuergrenze

Für Biokraftstoffe: Da keine beihilferechtliche Genehmigung vorliegt, finden die Steuerentlastungen keine
Anwendung. Daher nzV. Die Streichung in diesem Verfahren würde nur Nachfragen provozieren.
228

II B3- V 9905/22/10001 :001
2022/0335918, Anlage 2

Berechnung des Erfüllungsaufwands:

I. Erfüllungsaufwand HZÄ

Entlastungen:

88 Abs. 7: 17 Fälle
8 56: 1150 Fälle
81053 (58): 91 Fälle
859: 2032 Fälle
860: 25 Fälle

Insgesamt 3315 Fälle
Zusätzlicher Zeitaufwand je Fall= 30 Minuten

Berechnung: 3315 x 30 = 99450 Minuten ./. 95760 Minuten (Jahresarbeitszeit einer Vollzeitkraft in
Minuten) = 1 AK gehobener Dienst

Steueranmeldungen:
MN 3000 Fälle

Zusätzlicher Zeitaufwand je Fall= 30 Minuten

Berechnung: 3000 x 30 = 90.000 Minuten ./. 95760 Minuten (Jahresarbeitszeit einer Vollzeitkraft in
Minuten) = 1 AK gehobener Dienst

Erfüllungsaufwand HZÄ gesamt
Planstellen 2 AK gehobener Dienst

2AK=rd. 160.000 € Personalkosten
2 AK=rd. 50.000 € Sachkosten

Il. Erfüllungsaufwand GZD

Acht anzupassende Vordrucke:

a 1100_22 (umfangreich) Zeitansatz: 20. h
1100ze_22 (umfangreich) Zeitansatz 20 h
1103_22 Zeitansatz 15 h
1112 Zeitansatz 10h
1114 Zeitansatz 10 h
1138a Zeitansatz 10h
1138b Zeitansatz 10h
1144 Zeitansatz 10h

Berechnung: 105 h x 60 = 6300 Minuten ./. 95760 (Jahresarbeitszeit einer Vollzeitkraft in Minuten) =
weniger als 1 AK gehobener Dienst = rd. 5.000 € Personalkosten GZD

Erfüllungsaufwand GZD gesamt

Rd. 5.000 € Personalkosten
229

Rathgeber Dr., Viola (V B5) .

Von: Weihs, Anja (Ill B 3)

Gesendet: - Freitag, 25. März 2022 21:54

An: Il B3 - BSB

Cc: Schürle, Carola (Ill B 3); Herzog, Andre (Ill B 3); Ebner, Klaus (Ill B 3)
Betreff: WG: Befristete Absenkung der Energiesteuer auf Kraftstoffe -

Haushaltsauswirkungen Ep. 08

11 8 3 - V 9905/22/10001 :001

2022/0335928

1. Vermerk:

2. Registratur (BSB):

a) Importieren nach” I1B3- V 9905/22/10001:001
b) Betreff: wie Betreff des Vorgangs
c)Hier: an ZA 3: Übermittlung geschätzten Erfüllungsaufwand für Absenkung der Energiesteuer

X Bezug: Automatisch vergeben
e) Stichwörter: J.

f) sonstiges: J.

3. z.K. Koll. gem. Verteiler mit dieser Mail erledigt
4. z.V8.

Besten Dank und Gruß
AW

Von: Weihs, Anja (Ill B 3)

Gesendet: Freitag, 25. März 2022 18:01

. An: Hausmann, Jens (Z A 3) <Jens.Hausmann@bmf.bund.de>

Cc: Referat ZA3 <ZA3@bmf.bund.de>; Ebner, Klaus (Ill 8 3) <Klaus.Ebner@bmf.bund.de>; Herzog, Andre (N B 3)
<Andre.Herzog@bmf.bund.de>; Schürle, Carola (Ill B 3) <Carola. Schuerle@bmf.bund.de>; Hufen Dr., Christian (Ill B
3) <Christian.Hufen@bmf.bund.de>

Betreff: AW: Befristete Absenkung der Energiesteuer auf Kraftstoffe - Haushaltsauswirkungen Ep. 08

18 3-V 9905/22/10001:001
Lieber Herr Hausmann,

im Zusammenhang mit der beabsichtigten Änderung des Energiesteuergesetzes zur Absenkung der Energiesteuer
wird der Aufwand wie folgt geschätzt:

Erfüllungsaufwand Zollverwaltung:
- Aufwände IT-Verfahren (insgesamt): 35.000 EURO
- Personalkosten GZD (Einmalaufwände): 5.000 EURO
- Personalkosten HZÄ (Einmalaufwände): 160.000 EURO
- Sachkosten: 58.000 EURO.

Die Umstellungen im IT-Verfahren MoeVe können von der GZD, D IV eigenständig vorgenommen werden, so dass
nach überschlägiger Prüfung keine Aufwände des ITZ-Bund entstehen

Für Rückfragen stehe ich gerne zur Verfügung.

Viele Grüße
230

Zur Abfederung besonderer Härten für Familien soll schnellstmöglich für jedes Kind ergänzend zum Kindergeld ein
Einmalbonus in Höhe von 100 Euro über die Familienkassen ausgezahlt werden. Der Bonus wird auf den
Kinderfreibetrag angerechnet.

Die bereits beschlossene Einmalzahlung von 100 Euro für Empfängerinnen und Empfänger von Sozialleistungen soll

_ um 100 Euro pro Person erhöht werden. Weiter hieß es, bei den jetzigen Energiepreisen sei davon auszugehen, dass
zum 1. Januar 2023 die Regelbedarfe die hohen Preissteigerungen abbilden und damit angemessen erhöht werden.

Um in Zukunft einen einfachen und unbürokratischen Weg für Direktzahlungen an die Bürgerinnen und Bürger zu
ermöglichen, werde die Bundesregierung möglichst noch in diesem Jahr einen Auszahlungsweg über die Steuer-ID
für ein Klimageld entwickeln.

Die Koalition verständigte sich außerdem auf Maßnahmen für mehr Energieeffizienz. Das soll auch dazu beitragen,
wegen des russischen Angriffskriegs auf die Ukraine die Abhängigkeit von Gas, Öl und Kohle aus Russland zu
verringern. \ ‘

Ab dem Jahr 2024 soll jede neu eingebaute Heizung zu 65 Prozent mit erneuerbaren Energien betrieben werden.- im
Koalitionsvertrag war das bisher zum 1. Januar 2025 vorgesehen. Es soll zudem der Rahmen dafür geschaffen
werden, dass Eigentümerinnen und Eigentümer von Immobilien ihre über 20 Jahre alten Heizungsanlagen
austauschen können. Außerdem soll eine große Wärmepumpen-Offensive gestartet werden. Grünen-Chefin Ricarda
Lang'sprach von einem Ausstieg aus der Gasheizung.

Wirtschafts- und Klimaschutzminister Robert Habeck (Grüne) hatte mehr Anstrengungen beim Energiesparen als
Bedingung für ein Entlastungspaket genannt. Er hatte zum Beispiel Gasheizungen als "Auslaufmodell" bezeichnet.

FDP-Chef Christian Lindner sieht in der Einigung der Koalitionsspitzen einen Beweis für die Handlungsfähigkeit der
Regierung. "Die Koalition ist der’Überzeugung, dass wir die Menschen und die Wirtschaft angesichts dieser enormen
Preissteigerungen kurzfristig und befristet schützen müssen", sagte der Finanzminister.

Eine Arbeitsgruppe der Koalition hatte zuvor in mehreren Runden keine Einigung über Erleichterungen in Reaktion
auf steigende Preise erzielt. Man habe aber eine "breite Grundlage" nicht nur für neue Entlastungen, sondern auch
für entschlossene Maßnahmen zur Stärkung der energiepolitischen Unabhängigkeit erarbeitet, hieß es.

Die Koalition hatte sich im Februar vor Ausbruch des Ukraine-Krieges auf ein erstes Entlastungspaket geeinigt.

Dieses sah unter anderem vor, die milliardenschwere EEG-Umlage über die Stromrechnung ab Juli abzuschaffen.

Zuvor war dies für Anfang 2023 geplant. Außerdem ging es bei dem Paket um eine Erhöhung der Pendlerpauschale
eyfür Fernpendler.
231

Betreff: WG: WG: VERTRAULICH: Ergebnis / Text
Priorität: Hoch

Liebes Team,
Soeben habe ich von St Saebisch die offizielle Freigabe bekommen, Ihnen den anhängenden Text weiterleiten zu dürfen.

Wie Sie in der Mail unten sehen, soll im Kollegium am Montag über die Umsetzung gesprochen werden. Da ich auf meine
Rückfrage, welche gesetzestechnische Vorgehensweise gewünscht wird und ob schon ein Zeitplan angedacht ist, bisher
noch keine Antwort erhalten habe, wende ich mich nun mit folgender Bitte an Sie:

Bitte gehen Sie das Papier mit Ihren Teams daraufhin durch, zu welchen Themen Sie beitragen können und wo Sie die
Federführung vermuten bzw. ob Sie die Federführung bei sich sehen.

Zu den Themen, zu denen Sie beitragen können, bitte ich ferner JEWEILS um eine KURZE Darstellung, welche

weitere Vorgehensweise Sie AUS IHRER ERFAHRUNG vorschlagen. Angesichts der Entwicklung der letzten Wochen

könnte ich mir vorstellen, dass politisch ein Sammelgesetz „2. Energie-Entlastungspaket" angestrebt wird; das ist

aber nur eine Vermutung. Vermutlich geht es bei einzelnen Sachverhalten schneller, wenn wir sie an bestehende

Gesetzesläufe „anflanschen" (ich denke hier vor allem an das 1. Entlastungsgesetz) - allerdings sollten wir zur Zeit

nur die Details ausarbeiten, die wir später für verschiedene Vorgehensweisen gebrauchen können. Ich melde mich,
bald ich mehr weiß.

Kommen Sie bei Frage usw. bitte gerne (!) auf mich zu.

Herzlichen Dank und beste Grüße,
Luise Hölscher

Mit SecurePIM gesendet

Von: "Kothe, Marianne (L)" <Marianne.Kothe@bmf.bund.de>

Gesendet: 24. März 2022 11:07

An: "Saebisch, Steffen (St S)" <Steffen.Saebisch@bmf.bund.de>, "Hölscher Prof. Dr., Luise (Stin LH)"
Luise.Hoelscher@bmf.bund.de>, "Gatzer, Werner (St G)" <Werner.Gatzer@bmf.bund.de>, "Pillath Dr., Carsten (st P)"

_Carsten.Pillath@bmf.bund.de>, "Toncar Dr., Florian (PSt T)" <Florian.Toncar@bmf.bund.de>, "Hessel, Katja"

<PStin£kH@bmf.bund.de>

Cc: "Reymann, Carsten (L A)" <Carsten.Reymann@bmf.bund.de>, "Vorzimmer ALin L" <VorzimmerALinL@bmf.bund.de>,

"Röhrmann Dr., Konstanze (St S)" <Konstanze.Roehrmann@bmf.bund.de>, "Nübling, Nicole (St G)"

<Nicole.Nuebling@bmf.bund.de>, "Herbst Dr., Luisa (St P)" <Luisa.Herbst@bmf.bund.de>, "Schlüter Dr., Wiebke (Stin LH)"

<Wiebke.Schlueter@bmf.bund.de>

Betreff: WG: WG: VERTRAULICH: Ergebnis [Text

Liebe Staatssekretäre,

liebe Staatssekretärinnen,

anbei übersende ich Ihnen (bis zur Veröffentlichung vertraulich) die Ergebnisse des Koalitionsgespräche zum
Entlastungspaket.

In der nächsten Kollegiumssitzung am Mo, den 28.3. wollen wir über die Umsetzung, der im Zuständigkeitsbereich
des BMF liegenden Maßnahmen, sprechen. Deshalb die Bitte, dazu erste Vorschläge vorzubereiten und im Kollegium
zu berichten. Eine erste Auswertung zu den finanziellen Auswirkungen des Paktes liegt M bereits vor.

Besten Dank und Gruß

MaK
232

Zur nächsten Seite