ordner-1

Dieses Dokument ist Teil der Anfrage „Akte zum Tankrabatt

/ 498
PDF herunterladen
<Denise.Rennmann@bmf.bund.de>; Hausmann, Jens (ZA 3) <Jens.Hausmann@bmf.bund.de>; Erbe Dr., Katharina (!
A2) <Katharina.Erbe@bmf.bund.de>; Essen van Dr., Ulrich (1 A 6) <Ulrich.Essen@bmf.bund.de>; Höppner Dr.,
Florian (I A5) <Florian.Hoeppner@bmf.bund.de>; Poniatowski-Pers&, Sabine (I B 2) <Sabine.Poniatowski-
Perse@bmf.bund.de>; Scholz Dr., Stephan (III A 1) <Stephan.Scholz@bmf.bund.de>; Lang Dr., Bettina (Ill B 4)
<Bettina.Lang@bmf.bund.de>; Keisinger, Winfried (II C 2) <Winfried.Keisinger@bmf.bund.de>; Hadrisch, Thomas
(vıA1) <Thomas.Hadrisch@bmf.bund.de>; Germelmann Dr., Peter Philipp (E A 8)
<Philipp.Germelmann@bmf.bund.de>; Hufen Dr., Christian (Ill B 3) <Christian.Hufen@bmf.bund.de>; Schürle, Carola
(1 B3) <Carola.Schuerle@bmf.bund.de>; Obermair Dr., Stefan (N C 2) <Stefan.Obermair@bmf.bund.de>; Herzog,
Andre (Ill B 3) <Andre.Herzog@bmf.bund.de>; Szammetat, Melanie {Ill C 5) <Melanie.Szammetat@bmf.bund.de>;
Ebner, Klaus (Ill B 3) <Klaus.Ebner@bmf.bund.de>

Betreff: Eilt! Frist: 4. April 10 Uhr; Bitte MZ M-Vorlage zur Billigung Entwurf EnergieStSenkungG

Priorität: Hoch

ze perl Jb.. Bsgiot abi Tane tables. rtuniggt a Fronten

Te ER In en B LE mn ec rn

 

II B 3 - V 9905/22/10001:001
Liebe Kolleginnen und Kollegen,

das Entlastungspaket II enthält zur Abfederung der Belastung der gestiegenen Energiepreise auch die temporäre
Absenkung der Energiesteuer auf Kraftstoffe auf das europäische Mindestmaß. Ich bitte um Mitzeichnung der
anliegenden M-Vorlage zur Billigung des Diskussionsentwurfs zur Änderung des Energiesteuergesetzes nebst
Anlagen bis

IN nneenersersstMontag, 4. April 2022, 10 Uhr (Verschweigensfrist)****** ++ *

Die kurze Frist bitte ich zu entschuldigen. Die Vorlage muss M noch vor dem Urlaub erreichen.

Im Anschluss an die M-Vorlage folgen die Abstimmung der Kabinettvorlage und dem Kabinettvermerk ebenfalls mit
kurzer Frist.

Für Rückfragen stehen Ihnen Frau Weihs (-2812) und Herr Herzog (-1469) gerne zur Verfügung.
Viele Grüße

Christian Hufen

Dr. Christian Hufen

RLIIB3
Durchwahl: 2751
328

III B 3 - V 9905/22/10001 :001
2022/0368133, Anlage

III B 3 - V 9905/22/10001 :001

RD Dr. Hufen

RDin Schürle

RDin Weihs

RA Ebner/ RA Herzog

1469

1.
M

über

PStin H

SS

Stin LH

auf dem Dienstweg

mit der Bitte um Billigung zu I.

- Bund-Länder-Verhältnis nicht betroffen -

Weihs / 2022/0353181 / Weihs

2751
3927
2812 Fax: 882812

3944/

Gesetz zur Änderung des Energiesteuergesetzes zur temporären Absenkung der Energiesteuer

für Kraftstoffe;

Diskussionsentwurf und Bitte um Frühkoordinierung

4 Anlagen

(Diskussionsentwurf des EnergieStSenkungG, Zeitplan, Synopse, FAQs)
329

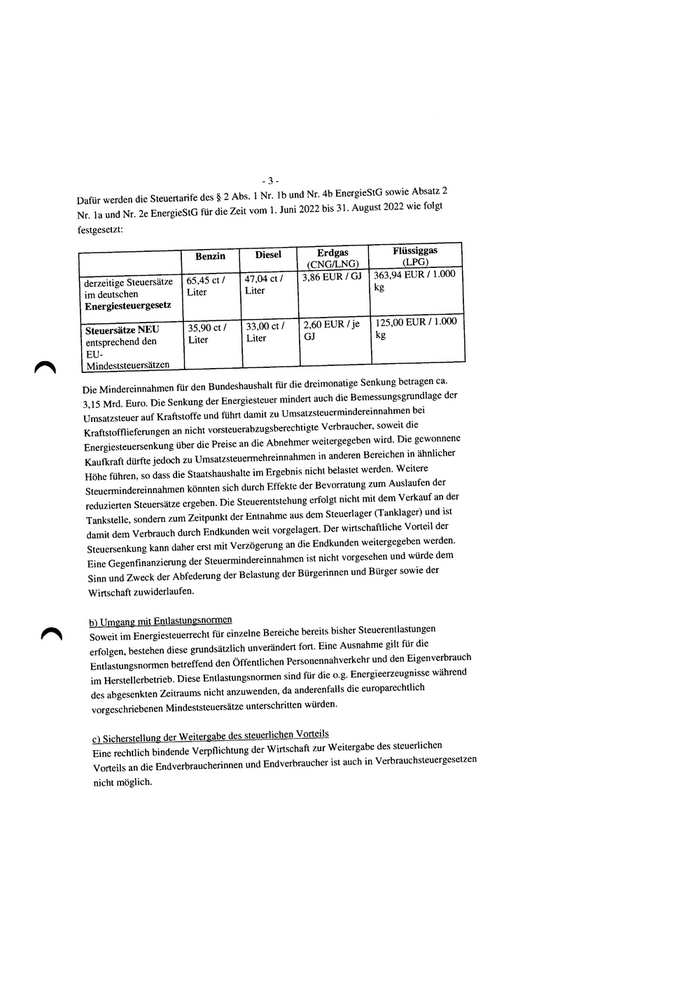
-3-

Dafür werden die Steuertarife des $ 2 Abs. 1 Nr. 1b und Nr. 4b EnergieStG sowie Absatz 2
Nr. la und Nr. 2e EnergieStG für die Zeit vom 1. Juni 2022 bis 31. August 2022 wie folgt
festgesetzt:

         
 
   

     
       

Erdgas Flüssiggas
(CNG/LNG) LPG)
363,94 EUR / 1.000

47,04 ct/ 3,86 EUR /GJ
Liter kg
33,00 ct / 2,60 EUR / je
Liter GJ

Die Mindereinnahmen für den Bundeshaushalt für die dreimonatige Senkung betragen ca.

  
 
  

  
 

65,45 ct /
Liter

derzeitige Steuersätze
im deutschen
Energiesteuergesetz

     
 

  

  
    
   
   

Steuersätze NEU
entsprechend den
EU-

Mindeststeuersätzen

35,90 ct /
Liter

125,00 EUR / 1.000
kg

   

     

3,15 Mrd. Euro. Die Senkung der Energiesteuer mindert auch die Bemessungsgrundlage der
Umsatzsteuer auf Kraftstoffe und führt damit zu Umsatzsteuermindereinnahmen bei
Kraftstofflieferungen an nicht vorsteuerabzugsberechtigte Verbraucher, soweit die
Energiesteuersenkung über die Preise an die Abnehmer weitergegeben wird. Die gewonnene
Kaufkraft dürfte jedoch zu Umsatzsteuermehreinnahmen in anderen Bereichen in ähnlicher
Höhe führen, so dass die Staatshaushalte im Ergebnis nicht belastet werden. Weitere
Steuermindereinnahmen könnten sich durch Effekte der Bevorratung zum Auslaufen der
reduzierten Steuersätze ergeben. Die Steuerentstehung erfolgt nicht mit dem Verkauf an der
Tankstelle, sondern zum Zeitpunkt der Entnahme aus dem Steuerlager (Tanklager) und ist
damit dem Verbrauch durch Endkunden weit vorgelagert. Der wirtschaftliche Vorteil der
Steuersenkung kann daher erst mit Verzögerung an die Endkunden weitergegeben werden.
Eine Gegenfinanzierung der Steuermindereinnahmen ist nicht vorgesehen und würde dem
Sinn und Zweck der Abfederung der Belastung der Bürgerinnen und Bürger sowie der
Wirtschaft zuwiderlaufen.

b) Umgang mit Entlastungsnormen

Soweit im Energiesteuerrecht für einzelne Bereiche bereits bisher Steuerentlastungen
erfolgen, bestehen diese grundsätzlich unverändert fort. Eine Ausnahme gilt für die
Entlastungsnormen betreffend den Öffentlichen Personennahverkehr und den Eigenverbrauch
im Herstellerbetrieb. Diese Entlastungsnormen sind für die o.g. Energieerzeugnisse während
des abgesenkten Zeitraums nicht anzuwenden, da anderenfalls die europarechtlich
vorgeschriebenen Mindeststeuersätze unterschritten würden.

c) Sicherstellung der Weitergabe des steuerlichen Vorteils

Eine rechtlich bindende Verpflichtung der Wirtschaft zur Weitergabe des steuerlichen
Vorteils an die Endverbraucherinnen und Endverbraucher ist auch in Verbrauchsteuergesetzen
nicht möglich.
330

-5-
Die vorliegende Senkung der Energiesteuersätze für Kraftstoffe durch eine entsprechende
Anpassung im EnergieStG dürfte in die vorgenannte Kategorie einer nichtselektiven
Steuerermäßigung fallen. Um ein höheres Maß an rechtlicher Sicherheit zu erlangen, müsste
die BReg jedoch mit der geplanten Maßnahme (vor ihrer Umsetzung) an KOM herantreten
und um Bestätigung bitten, dass es sich hierbei nicht um eine Beihilfe i.S.d. Art. 107 Abs.1

 

AEUV handelt. - 1 Kommentiert [WA1]: @E A 8: wäre dieser Schritt wirklich
erforderlich?

 

3. Einbeziehung der Generalzolldirektion (GZD) sowie der
Mineralölwirtschaftsunternehmen
Die Zollverwaltung wurde in die Gestaltung der Rechtsnorm zur Qualitätssicherung eng

eingebunden. Die GZD wird sicherstellen, dass die IT-Verfahren zur Steueranmeldung und
Abwicklung sowie etwaige Formulare rechtzeitig angepasst werden.

Eine frühzeitige Einbindung der Mineralölwirtschaft ist bereits informell erfolgt, um zu
erfragen, ab welchem Zeitpunkt die Umstellung der Steuersätze in den Abläufen der
Lieferketten umgesetzt werden kann. Die Mineralölwirtschaft hat im Ergebnis darum gebeten,
zur Administration der Umsetzung der Steuersenkung ein Inkrafttreten für die Zukunft und
einen Monatsanfang vorzusehen. Der 1. Juni 2022 wäre für die Wirtschaft ein realisierbares
Datum.

4. Information der Verbraucherinnen und Verbraucher sowie der Wirtschaft

Mittels anliegender FAQs sollen die Verbraucherinnen und Verbraucher sowie die Wirtschaft
durch Veröffentlichung auf der Homepage des BMF und in den sozialen Medien zu den
wichtigsten Fragestellungen im Zusammenhang mit der beabsichtigten Absenkung der
Steuersätze informiert werden. Die FAQs sollen möglichst zeitnah, noch vor dem
Kabinettsbeschluss, veröffentlicht und fortlaufend aktualisiert werden.

Die Referate LA3,LB2,ZA3, JA2 IA6,UA5,IB2, HA1,MB4MC2,VIAI
und E A 8 haben mitgezeichnet.

 

 

 

 

 

 

 

Dr. Hufen
Vig- Verfü; B: N Erledigungs- Name, |
g- eı gung / \ ernerkung ame, rledigungs Bemerkung ame,
Pkt Anweisung (einschl. Empfänger) Datum vermerk Datum
2 Mitzeichnung Referate AW, . , | \ |
“© mitFrist 1.4.2022 ” | j
— i a
3:0 Bill | 11 B3 ’
| uns | 1.4.2022 |
| | AW,
4 | Billigung | UAL IIIB warhı i
| \ | 1.4.2022 | |
331

Ewert, Udo (ZA 7)

Von: Herzog, Andre (Ill B 3)

Gesendet: Montag, 4. April 2022 11:04

An: IN B3 - BSB

Cc: Weihs, Anja (Ill B 3); Schürle, Carola (Ill B 3); Obermair Dr., Stefan (III C 2);
Ebner, Klaus (Ill B 3)

Betreff: von I A 2: Mz. der M-Vorlage zur Billigung Entwurf EnergieStSenkungG

Anlagen: 1A2_2022_0353181_Haus (002).docx; 1A2_Referentenentwurf_01042022_

1700 (002).docx; IA2_FAQ_IIIB3 final (002).docx

Kennzeichnung: Zur Nachverfolgung
Kennzeichnungsstatus: Erledigt
Kategorien: Margy

11 B3 - V 9905/22/10001 :001
„368134

1. Vermerk: Änderungen im RefE werden übernommen. Änderungen in den FAQ werden nicht
übernommen. Änderungen in der M-Vorlage werden nur z.T. und angepasst übernommen. Abstimmung erfolgte
telefonisch zwischen Frau Dr. Erbe und AW

2. Registratur (BSB):
a) Importieren nach: II B3- V 9905/22/10001:001
b) Betreff: wie Betreff des Vorgangs
c) Hier: von IA 2: Mz. der M-Vorlage zur Billigung Entwurf EnergieStSenkungG
d) Bezug: automatisch vergeben
e) Stichwörter: J.
f) sonstiges: J.
3. 2.K. Koll. gem. Verteiler mit dieser Mail erledigt
4. z.VB.
Vielen Dank
Im Auftrag
N

Indr& Herzog
Referat III B3
Telefon: 030 18 682-1469

Von: Hufen Dr., Christian (Ill B 3)

Gesendet: Montag, 4. April 2022 09:53

An: Weihs, Anja (Ill B3) <Anja.Weihs@bmf.bund.de>; Herzog, Andre (Ill B 3) <Andre.Herzog@bmf.bund.de>;
Obermair Dr., Stefan (Ill C 2) <Stefan.Obermair@bmf.bund.de>

Cc: Verteiler Referat Ill B 3 <VerteilerReferatilIB3@bmf.bund.de>

Betreff: WG: Eilt! Frist: 4. April 10 Uhr; Bitte MZ M-Vorlage zur Billigung Entwurf EnergieStSenkungG

2.w.V. Bei Bedarf gerne R.
VG

CH
332

< Datei: 2022_0353181_Haus.docx >> < Datei: Referentenentwurf_01042022_1700.docx >> < Datei:
Synopse_EnergieStEntlastungG.docx >> < Datei: FAQ_IIIB3 final.docx >> < Datei: 220329 Zeitplanentwurf
Absenkung EnergieSt.pdf >>

II B 3 - V 9905/22/10001:001

Liebe Kolleginnen und Kollegen,

das Entlastungspaket Il enthält zur Abfederung der Belastung der gestiegenen Energiepreise auch die temporäre

Absenkung der Energiesteuer auf Kraftstoffe auf das europäische Mindestmaß. Ich bitte um Mitzeichnung der
anliegenden M-Vorlage zur Billigung des Diskussionsentwurfs zur Änderung des Energiesteuergesetzes nebst
Anlagen bis

ek ontag, 4. April 2022, 10 Uhr (Verschweigensfrist) rk,

Die kurze Frist bitte ich zu entschuldigen. Die Vorlage muss M noch vor dem Urlaub erreichen.

Im Anschluss an die M-Vorlage folgen die Abstimmung der Kabinettvorlage und dem Kabinettvermerk ebenfalls mit
kurzer Frist.

Nr Rückfragen stehen Ihnen Frau Weihs (-2812) und Herr Herzog (-1469) gerne zur Verfügung.
Viele Grüße

Christian Hufen

Dr. Christian Hufen

RLIIB3
Durchwahl: 2751
PN
333

III B3- V 9905/22/10001 :001

2022/0368134, Anlage 1

II B3- V 9905/22/10001 :001

 

 

 

 

 

 

 

RD Dr. Hufen 2751
RDin Schürle 3927
RBir Sehürl 3927
RDin Weihs 2812
RDin-Weihs- 2812
RA Ebner/ RA Herzos
3944/
1469
R Y Ebner RK r Herzoe
3944
4469
1.
M
über
PStinH
StS
Stin LH

auf dem Dienstweg

mit der Bitte um Billigung zu I.

- Bund-Länder-Verhältnis nicht betroffen -

Weihs / 2022/0353181 / Weihs

Fax: 882812

Gesetz zur Änderung des Energiesteuergesetzes zur temporären Absenkung der Energiesteuer

für Kraftstoffe;

Diskussionsentwurf und Bitte um Frühkoordinierung

4 Anlagen

(Diskussionsentwurf des EnergieStSenkungG, Zeitplan, Synopse, FAQs)
334

-3-
a) Wesentlicher Inhalt des EnergieStSenkungG
Für drei Monate werden die Energiesteuersätze für die hauptsächlich im Straßenverkehr

verwendeten Kraftstoffe auf das europäische Mindestrmaß abgesenkt.

Dafür werden die Steuertarife des $ 2 Abs. 1 Nr. 1b und Nr. 4b EnergieS$tG sowie Absatz 2
Nr. la und Nr. 2e EnergieStG für die Zeit vom 1. Juni 2022 bis 31. August 2022 wie folgt
festgesetzt:

   
 

  
   

   
 
 
 
 

(CNG/LNG} (LPG)
65,45 c1/ |47,04ct/ | 3,86 EUR /GJ | 363,94 EUR / 1.000
Liter Liter kg

  
  
 
 

derzeitige Steuersätze
im deutschen
Energjesteuergesetz

 

         
    
   

      
    

  
  
 

   
     

 

Steuersätze NEU 35,90 ct / 33,00 ct / 2,60 EUR /je | 125,00 EUR / 1.000
entsprechend den Liter Liter GJ kg
EU-

 

Mindeststeuersätzen

Die Mindereinnahmen für den Bundeshaushalt für die dreimonatige Senkung betragen ca.
3,15 Mrd. Euro. Die Senkung der Energiesteuer mindert auch die Bemessungsgrundlage der
Umsatzsteuer auf Kraftstoffe und führt damit zu Umsatzsteuermindereinnahmen bei
Kraftstofflieferungen an nicht vorsteuerabzugsberechtigie Verbraucher, soweit die

en wird. Die gewennene

Energiesteuersenkung über die Preise an die Abnehmer weitergegeb

fkraft-dürfte-+edoen

      

S 5 Shie af Weitere
Steuermindereinnahmen könnten sich durch Effekte der Bevorratung zum Auslaufen der
reduzierten Steuersätze ergeben. Die Steuerentstehung erfolgt nicht mit dem Verkauf an der
Tankstelle, sondern zum Zeitpunkt der Entnahme aus dem Steuerlager (Tanklager) und ist
damit dem Verbrauch durch Endkunden weit vorgelagert. Der wirtschaftliche Vorteil der
Steuersenkung kann daher erst mit Verzögerung an die Endkunden weitergegeben werden.
Eine Gegenfinanzierung der Steuermindereinnahmen ist nicht vorgesehen und würde dem
Sinn und Zweck der Abfederung der Belastung der Bürgerinnen und Bürger sowie der
Wirtschaft zuwiderlaufen.

b) Umgang mit Entlastungsnormen

Soweit im Energiesteuerrecht für einzelne Bereiche bereits bisher Steuerentlastungen
erfolgen, bestehen diese grundsätzlich unverändert fort. Eine Ausnahme gilt für die
Entlastungsnormen betreffend den Öffentlichen Personennahverkehr und den Eigenverbrauch
im Herstellerbetrieb. Diese Entlastungsnormen sind für die 0.g. Energieerzeugnisse während
des abgesenkten Zeitraums nicht anzuwenden, da anderenfalls die europarechtlich
vorgeschriebenen Mindeststeuersätze unterschritten würden.

c) Sicherstellung der Weitergabe des steuerlichen Vorteils

       
   
   
   
   
   

 

Kommentiert [EK1]: Gibt es dazu empirische Evidenz?
Erscheint mir sehr unsicher. Von der Energiesteuersenkung
profitieren eher Personen mit niedrigen Konsurnquoten, so dass eine
Erhöhung der Kaufkraft nicht unbedingt zu höherem Konsum führt.
Falls keine valide Studie dafür vorliegt, bitte diesen Satz streichen.
335

-5-

klar, dass Maßnahmen, die auf gewerbliche Energieverbraucher abzielen, keine staatlichen
Beihilfen darstellen, sofern sie allgemeiner Art sind. Solche nichtselektiven Maßnahmen
können beispielsweise in Form allgemeiner Steuer- oder Abgabenermäßigungen, eines
ermäßigten Satzes für die Lieferung von Erdgas, Strom oder Fernwärme oder auch über
gesenkte Netzkosten gewährt werden.

Die vorliegende Senkung der Energiesteuersätze für Kraftstoffe durch eine entsprechende
Anpassung im EnergieStG dürfte in die vorgenannte Kategorie einer nichtselektiven
Steuerermäßigung fallen. Um ein höheres Maß an rechtlicher Sicherheit zu erlangen, müsste
die BReg jedoch mit der geplanten Maßnahme (vor ihrer Umsetzung) an KOM herantreten
und um Bestätigung bitten, dass es sich hierbei nicht um eine Beihilfe i.S.d. Art. 107 Abs.1

AEUV handelt. Kommentiert [WA2]: @E A 8: wäre dieser Schritt wirklich
erforderlich?

3, Einbeziehung der Generalzolldirektion (GZD) sowie der
Mineralölwirtschaftsunternehmen
Die Zollverwaltung wurde in die Gestaltung der Rechtsnorm zur Qualitätssicherung eng

eingebunden. Die GZD wird sicherstellen, dass die IT-Verfahren zur Steueranmeldung und
Abwicklung sowie etwaige Formulare rechtzeitig angepasst werden.

Eine frühzeitige Einbindung der Mineralölwirtschaft ist bereits informell erfolgt, um zu
erfragen, ab welchem Zeitpunkt die Umstellung der Steuersätze in den Abläufen der
Lieferketten umgesetzt werden kann. Die Mineralölwirtschaft hat im Ergebnis darum gebeten,
zur Administration der Umsetzung der Steuersenkung ein Inkrafttreten für die Zukunft und
einen Monatsanfang vorzusehen. Der 1. Juni 2022 wäre für die Wirtschaft ein realisierbares
Datum.

4. Information der Verbraucherinnen und Verbraucher sowie der Wirtschaft

Mittels anliegender FAOs sollen die Verbraucherinnen und Verbraucher sowie die Wirtschaft
durch Veröffentlichung auf der Homepage des BMF und in den sozialen Medien zu den
wichtigsten Fragestellungen im Zusammenhang mit der beabsichtigten Absenkung der
Steuersätze informiert werden. Die FAQs sollen möglichst zeitnah, noch vor dem
Kabinettsbeschluss, veröffentlicht und fortlaufend aktualisiert werden.

Die Referate LA3,LB 2,ZA3,1A2,IA6,1 A5,1B2, II A 1,mMB4,MC2,VIAI
und E A 8 haben mitgezeichnet.

Dr. Hufen

Vig-
Bi kun;
Pkt Anweisung emerkung

Verfügung / | Bemerkung Name, Erledigungs- Name,
| (einschl. Empfänger) Datum vermerk Datum
336

M.33 -V aa05] 12] A00M 004
WOILIOICHA3N | Anlage ı

Referentenentwurf

des Bundesministeriums der Finanzen

Entwurf eines Gesetzes zur Änderung des Energiesteuergesetzes zur
temporären Absenkung der Energiesteuer für Kraftstoffe

(Energiesteuersenkungsgesetz — EnergieStSenkungG)

A. Problem und Ziel

Der völkerrechtswidrige Angriff auf die Ukraine hat die ehrehir-angespannte Lage auf den
Energiemärkten drastiseh-verschärft. Die Bestrebungen, Deutschland schnellstmöglich un-
abhängig von russischem Erdöl zu machen, kann diese Entwicklung verstärken. Die auf-
grund des Krieges nochmals erheblich gestiegenen Kraftstoffpreise sind für viele Bürgerin-
nen und Bürger sowie die Wirtschaft kurzfristig zu einer greßer-_unvorhersehbaren Belas-
tung geworden.

B. Lösung

Zur kurzfristigen Abfederung der Belastung der Bürgerinnen und Bürger sowie der Wirt-
schaft, insbesondere im Handwerk und in der Logistikbranche, durch die gestiegenen Kraft-
stoffpreise werden die Energiesteuersätze für die im Wesentlichen im Straßenverkehr ver-
wendeten Kraftstoffe befristet auf die Höhe der Mindeststeuersätze der Energiesteuerricht-
linie (Richtlinie 2003/96/EG des Rates vom 27. Oktober 2003 zur Restrukturierung der ge-
meinschaftlichen Rahmenvorschriften zur Besteuerung von Energieerzeugnissen und
elektrischem Strom) reduziert.

Die Energiesteuer als Verbrauchsteuer ist als indirekte Steuern darauf angelegt, dass sie
von den Steuerpflichtigen grundsätzlich auf die Verbraucherinnen und Verbraucher abge-
wälzt werden. Eine temporäre Steuersenkung hat zur Folge, dass eine vollständige Weiter-
gabe an die Verbraucherinnen und Verbraucher auch eine entsprechende Preissenkung
und damit Entlastung für die Bürgerinnen und Bürger sowie die Wirtschaft ermöglicht.

©. Alternativen

Keine.

D. Haushaltsausgaben ohne Erfüllungsaufwand

Dem Bund (Zollverwaltung) entstehen durch das Gesetz im Kalenderjahr 2022 einmalige
Ausgaben in Höhe von 37.000 Euro. Die einmaligen sonstigen Personalausgaben betragen
rund 151.000 Euro.

Der Mehrbedarf an Sach- und Personalmitteln wird finanziell und stellenmäßig im Einzel-
plan 08 ausgeglichen.

Die temporäre Senkung der Energiesteuersätze für die Kraftstoffe Diesel, Benzin, Erdgas
und Flüssiggas und deren steuerlich gleichgestellte Aquivalente hat Steuermindereinnah-
men für den Bundeshaushalt in Höhe von 3,15 Mrd. Euro zur Folge. Die Steuerentstehung

Formatiert: Schriftart: 9 Pt.
337

Zur nächsten Seite