ordner-1

Dieses Dokument ist Teil der Anfrage „Akte zum Tankrabatt

/ 498
PDF herunterladen
-5-
Die vorliegende Senkung der Energiesteuersätze für Kraftstoffe durch eine entsprechende
\ Anpassung in im Frergiesie dürfte in die vorgenannte Kategorie © einer »r nichtselekti

  
   

ui um Bestätigung bitten, ‚dass
AEUV handelt)

Ser Schr varklich

 

3. Einbeziehung der Generalzolldirektion (GZD) sowie der
Mineralölwirtschaftsunternehmen

Die Zollverwaltung wurde in die Gestaltung der Rechtsnorm zur Qualitätssicherung eng
eingebunden. Die GZD wird sicherstellen, dass die IT-Verfahren zur Steueranmeldung und

Abwicklung s sowie etwaige Formulare > rechtzeitig angepasst werden. Die srforderlichen

  
 

Haushaltsmitte STW irtschaftet,

Eine frühzeitige Einbindung der Mineralölwirtschaft ist bereits informell erfolgt, um zu
erfragen, ab welchem Zeitpunkt die Umstellung der Steuersätze in den Abläufen der
Lieferketten umgesetzt werden kann. Die Mineralölwirtschaft hat im Ergebnis darum gebeten,
zur Administration der Umsetzung der Steuersenkung ein Inkrafttreten für die Zukunft und
einen Monatsanfang vorzusehen. Der 1. Juni 2022 wäre für die Wirtschaft ein realisierbares
Datum. \ \

4. Information der Verbraucherinnen und Verbraucher sowie der Wirtschaft

Mittels anliegender FAQs sollen die Verbraucherinnen und Verbraucher sowie die Wirtschaft
durch Veröffentlichung auf der Homepage des BMF und in den sozialen Medien zu den
wichtigsten Fragestellungen im Zusammenhang mit der beabsichtigten Absenkung der
Steuersätze informiert werden. Die FAQs sollen möglichst zeitnah, noch vor dem
Kabinettsbeschluss, veröffentlicht und fortlaufend aktualisiert werden.

Die Referate LA3,LB2,ZA3,IA2, IA6,1IA5,1B2, II AL, B4, III C2, VIA
und E A 8 haben mitgezeichnet.

Dr. Hufen

 

 

AW,

 

 

 

Referate Auswahl
1.4.2022
AW,
I1B3 Auswahl
1.4.2022
AW,
4. Billigung UALIIIB Auswahl

1.4.2022
350

Ewert, Udo (ZA 7)

EEE

Von: Herzog, Andre (Ill B 3)

Gesendet: Montag, 4. April 2022 11:05

An: II B3- BSB

Cc: Weihs, Anja (Ill B 3); Schürle, Carola (Ill B 3); Obermair Dr., Stefan (III C 2);
Ebner, Klaus (Ill B 3)

Betreff: von E A 8: Mz. der M-Vorlage zur Billigung Entwurf EnergieStSenkungG

Kennzeichnung: Zur Nachverfolgung

Kennzeichnungsstatus: Erledigt

Kategorien: Margy

11 B3-V 9905/22/10001:001

2022/0368139
ri Vermerk: J.
. Registratur (BSB):
a) Importieren nach: 111 B 3- V 9905/22/10001:001
b) Betreff: wie Betreff des Vorgangs
c) Hier: von EA 8: Mz. der M-Vorlage zur Billigung Entwurf EnergieStSenkungG
d) Bezug: automatisch vergeben
e) Stichwörter: J.
f) sonstiges: f.
3. z.K. Koll. gem. Verteiler mit dieser Mail erledigt
4. 2.V8.
Vielen Dank
Im Auftrag

Andre Herzog

Referat II! B3
Telefon: 030 18 682-1469
PN

 

Von: Hufen Dr., Christian (Ill B 3)

Gesendet: Montag, 4. April 2022 10:04

An: Weihs, Anja (Ill B 3) <Anja.Weihs@bmf.bund.de>

Cc: Verteiler Referat Ill B 3 <VerteilerReferatillB3@bmf.bund.de>

Betreff: WG: Eilt! Frist: 4. April 10 Uhr; Bitte MZ M-Vorlage zur Billigung Entwurf EnergieStSenkungG

2.w.V.w.b.

VG

CH

Dr. Christian Hufen

RLINB3
351

Betreff: Eilt! Frist: 4. April 10 Uhr; Bitte MZ M-Vorlage zur Billigung Entwurf EnergieStSenkungG
Priorität: Hoch

< Datei: 2022_0353181_Haus.docx >> < Datei: Referentenentwurf_01042022_1700.docx >> < Datei:
Synopse_EnergieStEntlastungG.docx >> < Datei: FAQ_IIIB3 final.docx >> < Datei: 220329 Zeitplanentwurf
Absenkung EnergieSt.pdf >>

Ill B 3 - V 9905/22/10001:001

Liebe Kolleginnen und Kollegen,

das Entlastungspaket II enthält zur Abfederung der Belastung der gestiegenen Energiepreise auch die temporäre
Absenkung der Energiesteuer auf Kraftstoffe auf das europäische Mindestmaß. Ich bitte um Mitzeichnung der
anliegenden M-Vorlage zur Billigung des Diskussionsentwurfs zur Änderung des Energiesteuergesetzes nebst
Anlagen bis

KrHrFRRFFFRERR EN ontag, A. April 2022, 10 Uhr (Verschweigensfrist)*** +++,

pr’ kurze Frist bitte ich zu entschuldigen. Die Vorlage muss M noch vor dem Urlaub erreichen.

Im Anschluss an die M-Vorlage folgen die Abstimmung der Kabinettvorlage und dem Kabinettvermerk ebenfalls mit
kurzer Frist.

Für Rückfragen stehen Ihnen Frau Weihs (-2812) und Herr Herzog (-1469) gerne zur Verfügung.
Viele Grüße

Christian Hufen

Dr. Christian Hufen

RLIIB3
Durchwahl: 2751

N
352

III B 3 - V 9905/22/10001 :001
2022/0368139, Anlage 1

III B 3 - V 9905/22/10001 :001

RD Dr. Hufen

RDin Schürle

RDin Weihs

RA Ebner/ RA Herzog

1469

1.
M

über

PStinH

StS

Stin LH

auf dem Dienstweg

mit der Bitte um Billigung zu I.

- Bund-Länder-Verhältnis nicht betroffen -

Weihs / 2022/0353181 / Weihs

2751
3927
2812 Fax: 882812

3944/

Gesetz zur Änderung des Energiesteuergesetzes zur temporären Absenkung der Energiesteuer

für Kraftstoffe;

Diskussionsentwurf und Bitte um Frühkoordinierung

4 Anlagen

(Diskussionsentwurf des EnergieStSenkungG, Zeitplan, Synopse, FAQs)
353

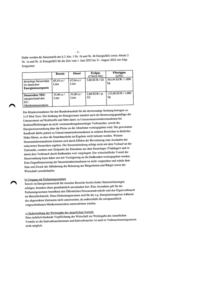
-3-
Dafür werden die Steuertarife des $ 2 Abs. 1 Nr. 1b und Nr. 4b EnergieStG sowie Absatz 2
Nr. 1a und Nr. 2e EnergieStG für die Zeit vom 1. Juni 2022 bis 31. August 2022 wie folgt

festgesetzt:
Te TE |
(CNG/LNG) (LPG)
47,04 ct/ 3,86 EUR /GJ | 363,94 EUR / 1.000

derzeitige Steuersätze | 65,45 ct /
im deutschen Liter Liter
Energiesteuergesetz

       
   
 

         

      

      

 

 

     
  
 
    

    
 

 

 

   

    

Steuersätze NEU
entsprechend den
EU-
Mindeststeuersätzen

35,90 ct /
Liter

125,00 EUR / 1.000
kg

33,00 ct / 2,60 EUR / je
Liter GJ

         

Die Mindereinnahmen für den Bundeshaushalt für die dreimonatige Senkung betragen ca.
3,15 Mrd. Euro. Die Senkung der Energiesteuer mindert auch die Bemessungsgrundlage der
Umsatzsteuer auf Kraftstoffe und führt damit zu Umsatzsteuermindereinnahmen bei
Kraftstofflieferungen an nicht vorsteuerabzugsberechtigte Verbraucher, soweit die
Energiesteuersenkung über die Preise an die Abnehmer weitergegeben wird. Die gewonnene
Kaufkraft dürfte jedoch zu Umsatzsteuermehreinnahmen in anderen Bereichen in ähnlicher
Höhe führen, so dass die Staatshaushalte im Ergebnis nicht belastet werden. Weitere
Steuermindereinnahmen könnten sich durch Effekte der Bevorratung zum Auslaufen der
reduzierten Steuersätze ergeben. Die Steuerentstehung erfolgt nicht mit dem Verkauf an der
Tankstelle, sondern zum Zeitpunkt der Entnahme aus dem Steuerlager (Tanklager) und ist
damit dem Verbrauch durch Endkunden weit vorgelagert. Der wirtschaftliche Vorteil der
Steuersenkung kann daher erst mit Verzögerung an die Endkunden weitergegeben werden.
Eine Gegenfinanzierung der Steuermindereinnahmen ist nicht vorgesehen und würde dem
Sinn und Zweck der Abfederung der Belastung der Bürgerinnen und Bürger sowie der
Wirtschaft zuwiderlaufen.

b) Umgang mit Entlastungsnormen
Soweit im Energiesteuerrecht für einzelne Bereiche bereits bisher Steuerentlastungen

erfolgen, bestehen diese grundsätzlich unverändert fort. Eine Ausnahme gilt für die
Entlastungsnormen betreffend den Öffentlichen Personennahverkehr und den Eigenverbrauch
im Herstellerbetrieb. Diese Entlastungsnormen sind für die o.g. Energieerzeugnisse während
des abgesenkten Zeitraums nicht anzuwenden, da anderenfalls die europarechtlich
vorgeschriebenen Mindeststeuersätze unterschritten würden.

c) Sicherstellung der Weitergabe des steuerlichen Vorteils

Eine rechtlich bindende Verpflichtung der Wirtschaft zur Weitergabe des steuerlichen
Vorteils an die Endverbraucherinnen und Endverbraucher ist auch in Verbrauchsteuergesetzen
nicht möglich.
354

-5-

Die vorliegende Senkung der Energiesteuersätze für Kraftstoffe durch eine entsprechende
Anpassung im EnergieStG dürfte in die vorgenannte Kategorie einer nichiselektiven
Steuerermäßigung fallen.

Es ist jedoch nicht mit Sicherheit auszuschließen, dass die KOM die geplanten Maßnahmen
anders bewerten könnte. Um ein höheres Maß an rechtlicher Sicherheit zu erlangen, müsste
könnte die BReg jedeeh-zusätzlich mit der geplanten Maßnahme (vor ihrer Umsetzung) an
KOM herantreten und um Bestätigung bitten, dass es sich hierbei nicht um eine Beihilfe 1.S.d.
Art. 107 Abs.1 AEUV handelt. Ob die KOM jedoch rechtzeitig eine eindeutige Aussage zur
Energiesteuersenkung abgeben würden ist ebenfalls ungewiss. Insofern wird auch das Votum
des für EU-Beihilfefrasen in der Bundesresierung federführenden BMWK in der

Hausabstimmung von Bedeutung sein.

 

3. Einbeziehung der Generalzolldirektion (GZD) sowie der
Mineralölwirtschaftsunternehmen
Die Zollverwaltung wurde in die Gestaltung der Rechtsnorm zur Qualitätssicherung eng

eingebunden. Die GZD wird sicherstellen, dass die IT-Verfahren zur Steueranmeldung und
Abwicklung sowie etwaige Formulare rechtzeitig angepasst werden.

Eine frühzeitige Einbindung der Mineralölwirtschaft ist bereits informell erfolgt, um zu
erfragen, ab welchem Zeitpunkt die Umstellung der Steuersätze in den Abläufen der
Lieferketten umgesetzt werden kann. Die Mineralölwirtschaft hat im Ergebnis darum gebeten,
zur Administration der Umsetzung der Steuersenkung ein Inkrafttreten für die Zukunft und
einen Monatsanfang vorzusehen. Der 1. Juni 2022 wäre für die Wirtschaft ein realisierbares
Datum.

4. Information der Verbraucherinnen und Verbraucher sowie der Wirtschaft

Mittels anliegender FAQs sollen die Verbraucherinnen und Verbraucher sowie die Wirtschaft
durch Veröffentlichung auf der Homepage des BMF und in den sozialen Medien zu den
wichtigsten Fragestellungen im Zusammenhang mit der beabsichtigten Absenkung der
Steuersätze informiert werden. Die FAQs sollen möglichst zeitnah, noch vor dem
Kabinettsbeschluss, veröffentlicht und fortlaufend aktualisiert werden.

Die Referate LA3,LB2,ZA3,IA2 IA6,I A5,IB2, TA1,MB4,1C2,VIAI
und E A 8 haben mitgezeichnet.

 

 

 

 

Dr. Hufen
| |
Vig.- Verfügung / \ Bemerkung Name, Erledigungs- Bemerkung Name, |
Pkt Anweisung (einschl. Empfänger) Datum vermerk Datum |
- }
Mitzi i W, h {
| 2. itzeichnung | Referate AW, Bann | |

mit Frist | 1.4.2022

 

Kommentiert [WA1]: @E A 8: wäre dieser Schritt wirklich
erforderlich?

 

Kommentiert [GP2R1]: Dies ist letztendlich eine
Risikoabwägung. Aus unserer Sicht sprechen gute Gründe für eine
Beihilfeneutralität der Maßnahme, weshalb eine Vorstellung bei der
KOM wohl nicht erforderliche sein dürfte - zumal nicht gesichert
wäre, ob KOM überhaupt eine belastbare Aussage in der kurzen Frist
abgeben würde. Wir würden vorschlagen, diesen Punkt direkt mit
dem BMWK aufzunehmen und (möglichst noch vor der
Hausabstimmung) unsere Rechtsauffassung sowie die Frage der
Einschaltung der KOM dort vorzulegen.
355

Ewert, Udo (ZA 7)

Von: Herzog, Andre (Ill B 3)

Gesendet: Montag, 4. April 2022 11:06

An: IIı B 3 - BSB

Cc: Weihs, Anja (Ill B 3); Schürle, Carola (Ill B 3); Obermair Dr., Stefan (III C 2);
Ebner, Klaus (Ill B 3)

Betreff: von | B 2: Mz. der M-Vorlage zur Billigung Entwurf EnergieStSenkungG

Anlagen: 2022_0353181_Haus.docx; Referentenentwurf_01042022_1700.docx;

Synopse_EnergieStEntlastungG.docx; FAQ_IIIB3 final.docx; 220329
Zeitplanentwurf Absenkung EnergieSt.pdf

Priorität: Hoch
Kennzeichnung: Zur Nachverfolgung
Kennzeichnungsstatus: Erledigt
Kategorien: Margy
N
Ill B3- V 9905/22/10001:001
2022/0368140
1. Vermerk: |.
2. Registratur (BSB):
a) Importieren nach: IIB3-V 9905/22/10001:001
b) Betreff: wie Betreff des Vorgangs
c) Hier: von | B 2: Mz. der M-Vorlage zur Billigung Entwurf EnergieStSenkungG
d) Bezug: automatisch vergeben
e) Stichwörter: fl.
f) sonstiges: J.
3. 2.K. Koll. gem. Verteiler mit dieser Mail erledigt
4. z.Vg.
Vielen Dank

mx Auftrag

Andre Herzog
Referat Il B3
Telefon: 030 18 682-1469

Von: Hufen Dr., Christian (Ill B 3)

Gesendet: Montag, 4. April 2022 10:30

An: Weihs, Anja (Ill B 3) <Anja.Weihs@bmf.bund.de>

Cc: Verteiler Referat III B3 <VerteilerReferatillB3@bmf.bund.de>

Betreff: WG: Eilt! Frist: 4. April 10 Uhr; Bitte MZ M-Vorlage zur Billigung Entwurf EnergieStSenkungG
Priorität: Hoch

7.w.V. Betrifft das BMWK-Gesetz, sieht nicht so schlimm aus.
VG

CH
356

Die kurze Frist bitte ich zu entschuldigen. Die Vorlage muss M noch vor dem Urlaub erreichen.

Im Anschluss an die M-Vorlage folgen die Abstimmung der Kabinettvorlage und dem Kabinettvermerk ebenfalls mit
kurzer Frist.

Für Rückfragen stehen Ihnen Frau Weihs (-2812) und Herr Herzog (-1469) gerne zur Verfügung.
Viele Grüße

Christian Hufen

Dr. Christian Hufen

RLINB3
Durchwahl: 2751
357

2022/0368140, Anlage 1

II B 3 - V 9905/22/10001 :001

RD Dr. Hufen

RDin Schürle

RDin Weihs

RA Ebner/ RA Herzog

1469

1.
M

über

PStinH

StS

Stin LH

auf dem Dienstweg

mit der Bitte um Billigung zu I.

- Bund-Länder-Verhältnis nicht betroffen -

Gesetz zur Änderung des Energiesteuergesetze:

für Kraftstoffe;

Weihs / 2022/0353181 / Weihs

2751
3927
2812 Fax: 882812

3944

s zur temporären Absenkung der Energiesteuer

Diskussionsentwurf und Bitte um Frühkoordinierung

4 Anlagen

(Diskussionsentwurf des EnergieStSenkungG, Zeitplan, Synopse, FAQs)
358

-3-
Dafür werden die Steuertarife des $ 2 Abs. I Nr. 1b und Nr. 4b EnergieStG sowie Absatz ?
Nr. la und Nr. 2e EnergieStG für die Zeit vom 1. Juni 2022 bis 31. August 2022 wie folgt

festgesetzt:
(CNG/LNG (LPG)
derzeitige Steuersätze | 65,45 cı/ 47,04 ct/ 363,94 EUR / 1.000
kg

3,86 EUR /G)J
im deutschen Liter Liter

Energiesteuergesetz
33,00 ct/ | 2,60 EUR / je
Liter GJ

Die Mindereinnahmen für den Bundeshaushalt für die dreimonatige Senkung betragen ca.

   
 

  
 
  
 

          

   
  

  
  

    
  
   
 

  
  

   
  

   
  

  
 
   
   

Steuersätze NEU
entsprechend den
EU-

Mindeststeuersätzen

35,90 ct /
Liter

125,00 EUR / 1.000
kg

 
  

3,15 Mrd. Euro. Die Senkung der Energiesteuer mindert auch die Bemessungsgrundlage der
Umsatzsteuer auf Kraftstoffe und führt damit zu Umsatzsteuermindereinnahmen bei
Kraftstofflieferungen an nicht vorsteuerabzugsberechtigte Verbraucher, soweit die
Energiesteuersenkung über die Preise an die Abnehmer weitergegeben wird. Die gewonnene
Kaufkraft dürfte jedoch zu Umsatzsteuermehreinnahmen in anderen Bereichen in ähnlicher
Höhe führen, so dass die Staatshaushalte im Ergebnis nicht belastet werden. Weitere
Steuermindereinnahmen könnten sich durch Effekte der Bevorratung zum Auslaufen der
reduzierten Steuersätze ergeben. Die Steuerentstehung erfolgt nicht mit dem Verkauf an der
Tankstelle, sondern zum Zeitpunkt der Entnahme aus dem Steuerlager (Tanklager) und ist
damit dem Verbrauch durch Endkunden weit vorgelagert. Der wirtschaftliche Vorteil der
Steuersenkung kann daher erst mit Verzögerung an die Endkunden weitergegeben werden.
Eine Gegenfinanzierung der Steuermindereinnahmen ist nicht vorgesehen und würde dem
Sinn und Zweck der Abfederung der Belastung der Bürgerinnen und Bürger sowie der
Wirtschaft zuwiderlaufen.

b) Umgang mit Entlastungsnormen

Soweit im Energiesteuerrecht für einzelne Bereiche bereits bisher Steuerentlastungen
erfolgen, bestehen diese grundsätzlich unverändert fort. Eine Ausnahme gilt für die
Entlastungsnormen betreffend den Öffentlichen Personennahverkehr und den Eigenverbrauch
im Herstellerbetrieb. Diese Entlastungsnormen sind für die 0.g. Energieerzeugnisse während
des abgesenkten Zeitraums nicht anzuwenden, da anderenfalls die europarechtlich
vorgeschriebenen Mindeststeuersätze unterschritten würden.

c) Sicherstellung der Weitergabe des steuerlichen Vorteils

Eine rechtlich bindende Verpflichtung der Wirtschaft zur Weitergabe des steuerlichen
Vorteils an die Endverbraucherinnen und Endverbraucher ist auch in Verbrauchsteuergesetzen
nicht möglich.
359

Zur nächsten Seite