ordner-1

Dieses Dokument ist Teil der Anfrage „Akte zum Tankrabatt

/ 498
PDF herunterladen
<Bettina.Lang@bmf.bund.de>; Keisinger, Winfried (111 C 2) <Winfried.Keisinger@bmf.bund.de>; Hadrisch, Thomas
(VI A 1) <Thomas.Hadrisch@bmf.bund.de>; Germelmann Dr., Peter Philipp (E A 8)
<Philipp.Germelmann@bmf.bund.de>; Hufen Dr., Christian (Ill B3) <Christian.Hufen@bmf.bund.de>; Schürle, Carola
(N! B 3) <Carola.Schuerle@bmf.bund.de>; Obermair Dr., Stefan (Ill C 2) <Stefan.Obermair@bmf.bund.de>; Herzog,
Andre (Ill B 3) <Andre.Herzog@bmf.bund.de>; Szammetat, Melanie (Ill C 5) <Melanie.Szammetat@bmf.bund.de>;
Ebner, Klaus (il B 3) <Klaus.Ebner@bmf.bund.de>

Betreff: Eilt! Frist: 4. April 10 Uhr; Bitte MZ M-Vorlage zur Billigung Entwurf EnergieStSenkungG

Priorität: Hoch

< Datei: 2022_0353181_Haus.docx >> < Datei: Referentenentwurf_01042022_1700.docx >> < Datei:
Synopse_EnergieStEntlastungG.docx >> < Datei: FAQ_IIIB3 final.docx >> < Datei: 220329 Zeitplanentwurf
Absenkung EnergieSt.pdf >>

111 B3 - V 9905/22/10001:001

Liebe Kolleginnen und Kollegen,

das Entlastungspaket Il enthält zur Abfederung der Belastung der gestiegenen Energiepreise auch die temporäre
Absenkung der Energiesteuer auf Kraftstoffe auf das europäische Mindestmaß. Ich bitte um Mitzeichnung der
pran\iegenden M-Vorlage zur Billigung des Diskussionsentwurfs zur Änderung des Energiesteuergesetzes nebst
ınlagen bis

rk lontag, 4. April 2022, 10 Uhr (Verschweigensfrist)**** + *

Die kurze Frist bitte ich zu entschuldigen. Die Vorlage muss M noch vor dem Urlaub erreichen.

Im Anschluss an die M-Vorlage folgen die Abstimmung der Kabinettvorlage und dem Kabinettvermerk ebenfalls mit
kurzer Frist.

Für Rückfragen stehen Ihnen Frau Weihs (-2812) und Herr Herzog (-1469) gerne zur Verfügung.
Viele Grüße
Christian Hufen

N Christian Hufen

RLII B 3
Durchwahl: 2751
384

Ewert, Udo (ZA 7)

Von: Weihs, Anja (Ill B 3)

Gesendet: Montag, 4. April 2022 09:21

An: II B3 - BSB

cc: Verteiler Referat Ill B 3

Betreff: Einleitung Hausabstimmung der M-Vorlage
Priorität: Hoch

Kennzeichnung: Zur Nachverfolgung
Kennzeichnungsstatus: Gekennzeichnet

Kategorien: Margy

Dok. 0368432

r% Vermerk:

Registratur (BSB):
a) Importierennach: IN1B3-V 9905/22/10001 :001
b) Betreff: wie Betreff des Vorgangs
c) Hier: Einleitung Hausabstimmung der M-Vorlage
d) Bezug: Automatisch vergeben
e) Stichwörter: J.
f) sonstiges: J.
3. z.K. Koll. gem. Verteiler mit dieser Mail erledigt
4. z.V8.

Besten Dank und Gruß
AW

 

Von: Referat IIIB3
Gesendet: Freitag, 1. April 2022 17:52

n: Referat LA3 <LA3@bmf.bund.de>; Referat ZA3 <ZA3@bmf.bund.de>; Referat IA2 <lA2@bmf.bund.de>; Referat

6 <IA6b@bmf.bund.de>; Referat IIAS <lIA5@bmf.bund.de>; Referat IB2 <!B2@bmf.bund.de>; Referat IIIA1
<IIIA1@bmf.bund.de>; Referat IIIBA <11IBA@bmf.bund.de>; Referat IIIC2 <IIIC2@bmf.bund.de>; Referat VIA1
<VIA1@bmf.bund.de>; Referat EA8 <EA8@bmf.bund.de>
Cc: Strack Dr., Astrid (LA 3) <Astrid.Strack@bmf.bund.de>; Rennmann, Denise (L B 2)
<Denise.Rennmann@bmf.bund.de>; Hausmann, Jens (ZA 3) <Jens.Hausmann@bmf.bund.de>; Erbe Dr., Katharina (I
A 2) <Katharina.Erbe@bmf.bund.de>; Essen van Dr., Ulrich (1 A 6) <Ulrich.Essen@bmf.bund.de>; Höppner Dr.,
Florian (Il A 5) <Florian.Hoeppner@bmf.bund.de>; Poniatowski-Perse, Sabine (I B 2) <Sabine.Poniatowski-
Perse@bmf.bund.de>; Scholz Dr., Stephan (Ill A 1) <Stephan.Scholz@bmf.bund.de>; Lang Dr., Bettina (II B4)
<Bettina.Lang@bmf.bund.de>; Keisinger, Winfried (Ill C 2) <Winfried.Keisinger@bmf.bund.de>; Hadrisch, Thomas
(VI A 1) <Thomas.Hadrisch@bmf.bund.de>; Germelmann Dr., Peter Philipp (E A 8)
<Philipp.Germelmann@bmf.bund.de>; Christian Hufen (Christian. Hufen@bmf.bund.de)
<Christian.Hufen@bmf.bund.de>; Carola Schürle (Carola.Schuerle@bmf.bund.de) <Carola.Schuerle@bmf.bund.de>;
Obermair Dr., Stefan (Ill C 2) <Stefan.Obermair@bmf.bund.de>; Andre Herzog (Andre.Herzog@bmf.bund.de)
<Andre.Herzog@bmf.bund.de>; Szammetat, Melanie (III C 5) <Melanie.Sszammetat@bmf.bund.de>; Klaus Ebner
(Klaus.Ebner@bmf.bund.de) <Klaus.Ebner@bmf.bund.de>
Betreff: Eilt! Frist: 4. April 10 Uhr; Bitte MZ M-Vorlage zur Billigung Entwurf EnergieStSenkungG
Priorität: Hoch
385

2022/0368432, Anlage 1

II B 3 - V 9905/22/10001 :001

RD Dr. Hufen

RDin Schürle

RDin Weihs

RA Ebner/ RA Herzog

1469

1.
M

über

PStinH

StS

Stin LH

auf dem Dienstweg

mit der Bitte um Billigung zu I.

- Bund-Länder-Verhältnis nicht betroffen -

Weihs / 2022/0353181 / Weihs

. Oktober 2022
2751
3927
2812 Fax: 882812
3944)

Gesetz zur Änderung des Energiesteuergesetzes zur temporären Absenkung der Energiesteuer

für Kraftstoffe;

Diskussionsentwurf und Bitte um Frühkoordinierung

4 Anlagen

(Diskussionsentwurf des EnergieStSenkungG, Zeitplan, Synopse, FAQs)
386

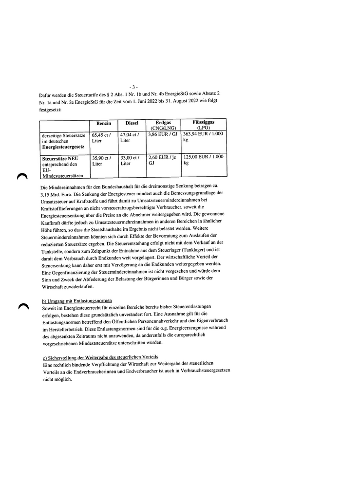
-3-
Dafür werden die Steuertarife des $ 2 Abs. 1 Nr. Ib und Nr. 4b EnergieStG sowie Absatz 2
Nr. la und Nr. 2e EnergieStG für die Zeit vom 1. Juni 2022 bis 31. August 2022 wie folgt
festgesetzt:

derzeitige Steuersätze | 65,45 ct / 47,04 ct/
im deutschen Liter Liter
Energiesteuergesetz

Steuersätze NEU 35,90 ct / 33,00 ct/ 2,60 EUR /je | 125,00 EUR / 1.000
entsprechend den Liter Liter GJ kg
EU-

 

Mindeststeuersätzen

Die Mindereinnahmen für den Bundeshaushalt für die dreimonatige Senkung betragen ca.
3,15 Mrd. Euro. Die Senkung der Energiesteuer mindert auch die Bemessungsgrundlage der
Umsatzsteuer auf Kraftstoffe und führt damit zu Umsatzsteuermindereinnahmen bei
Kraftstofflieferungen an nicht vorsteuerabzugsberechtigte Verbraucher, soweit die
Energiesteuersenkung über die Preise an die Abnehmer weitergegeben wird. Die gewonnene
Kaufkraft dürfte jedoch zu Umsatzsteuermehreinnahmen in anderen Bereichen in ähnlicher
Höhe führen, so dass die Staatshaushalte im Ergebnis nicht belastet werden. Weitere
Steuermindereinnahmen könnten sich durch Effekte der Bevorratung zum Auslaufen der
reduzierten Steuersätze ergeben. Die Steuerentstehung erfolgt nicht mit dem Verkauf an der
Tankstelle, sondern zum Zeitpunkt der Entnahme aus dem Steuerlager (Tanklager) und ist
damit dem Verbrauch durch Endkunden weit vorgelagert. Der wirtschaftliche Vorteil der
Steuersenkung kann daher erst mit Verzögerung an die Endkunden weitergegeben werden.
Eine Gegenfinanzierung der Steuermindereinnahmen ist nicht vorgesehen und würde dem
Sinn und Zweck der Abfederung der Belastung der Bürgerinnen und Bürger sowie der
Wirtschaft zuwiderlaufen.

b) Umgang mit Entlastungsnormen

Soweit im Energiesteuerrecht für einzelne Bereiche bereits bisher Steuerentlastungen
erfolgen, bestehen diese grundsätzlich unverändert fort. Eine Ausnahme gilt für die
Entlastungsnormen betreffend den Öffentlichen Personennahverkehr und den Eigenverbrauch
im Herstellerbetrieb. Diese Entlastungsnormen sind für die o.g. Energieerzeugnisse während
des abgesenkten Zeitraums nicht anzuwenden, da anderenfalls die europarechtlich
vorgeschriebenen Mindeststeuersätze unterschritten würden.

c) Sicherstellung der Weitergabe des steuerlichen Vorteils

Eine rechtlich bindende Verpflichtung der Wirtschaft zur Weitergabe des steuerlichen
Vorteils an die Endverbraucherinnen und Endverbraucher ist auch in Verbrauchsteuergesetzen
nicht möglich.
387

-5-

Die vorliegende Senkung der Energiesteuersätze für Kraftstoffe durch eine entsprechende
Anpassung im EnergieStG dürfte in die vorgenannte Kategorie einer nichtselektiven
Steuerermäßigung fallen. Um ein höheres Maß an rechtlicher Sicherheit zu erlangen, müsste
die BReg jedoch mit der geplanten Maßnahme (vor ihrer Umsetzung) an KOM herantreten
und um Bestätigung bitten, dass es sich hierbei nicht um eine Beihilfe i.S.d. Art. 107 Abs.1

 

AEUV handelt. . Kommentiert [WA1]: @E A 8: wäre dieser Schritt wirklich
erforderlich?

 

3. Einbeziehung der Generalzolldirektion (GZD) sowie der
Mineralölwirtschaftsunternehmen
Die Zollverwaltung wurde in die Gestaltung der Rechtsnorm zur Qualitätssicherung eng

eingebunden. Die GZD wird sicherstellen, dass die IT-Verfahren zur Steueranmeldung und
Abwicklung sowie etwaige Formulare rechtzeitig angepasst werden.

Eine frühzeitige Einbindung der Mineralölwirtschaft ist bereits informell erfolgt, um zu
erfragen, ab welchem Zeitpunkt die Umstellung der Steuersätze in den Abläufen der
Lieferketten umgesetzt werden kann. Die Mineralölwirtschaft hat im Ergebnis darum gebeten,
zur Administration der Umsetzung der Steuersenkung ein Inkrafttreten für die Zukunft und
einen Monatsanfang vorzusehen. Der 1. Juni 2022 wäre für die Wirtschaft ein realisierbares
Datum.

4. Information der Verbraucherinnen und Verbraucher sowie der Wirtschaft

Mittels anliegender FAQs sollen die Verbraucherinnen und Verbraucher sowie die Wirtschaft
durch Veröffentlichung auf der Homepage des BMF und in den sozialen Medien zu den
wichtigsten Fragestellungen im Zusammenhang mit der beabsichtigten Absenkung der
Steuersätze informiert werden. Die FAQs sollen möglichst zeitnah, noch vor dem
Kabinettsbeschluss, veröffentlicht und fortlaufend aktualisiert werden.

Die Referate LA3,LB2,ZA3,IA2, IA6,1AS5,IB2, II A 1,1B4,11C2,VIAI
und E A 8 haben mitgezeichnet.

 

 

 

 

 

 

 

 

 

Dr. Hufen
r 7
Vig- Verfügung / Bemerkung Name, Erledigungs- Bemerku Name,
Pkt Anweisung (einschl. Empfänger) Datum vermerk n8 Datum
| ==
\ itzei \ AW, i
2... Mi eichnung i Referate W id | |
; mit Frist ! 1.4.2022 }
|
3. Billi, | B3 AW,
0 un | 14.2022
I —
4 | Billi; UAL IIIB AW, | \ I
ol en 14.2022 En |
I
sim | Alin II AW, u ]
oo uns | 1.4.2022 |
388

Bearbeitungsstand: 01.04.2022 17:02

II B3- V 9905/22/10001:001
2022/0368432, Anlage 2

Referentenentwurf

des Bundesministeriums der Finanzen

Entwurf eines Gesetzes zur Änderung des Energiesteuergesetzes zur
temporären Absenkung der Energiesteuer für Kraftstoffe

(Energiesteuersenkungsgeseiz — EnergieStSenkungG)

A. Problem und Ziel

Der völkerrechtswidrige Angriff auf die Ukraine hat die ohnehin angespannte Lage auf den
Energiemärkten drastisch verschärft. Die Bestrebungen, Deutschland schnellstmöglich un-
abhängig von russischem Erdöl zu machen, kann diese Entwicklung verstärken. Die auf-
grund des Krieges nochmals erheblich gestiegenen Kraftstoffpreise sind für viele Bürgerin-
nen und Bürger sowie die Wirtschaft zu einer großen Belastung geworden.

B. Lösung

Zur Abfederung der Belastung der Bürgerinnen und Bürger sowie der Wirtschaft, insbeson-
dere im Handwerk und in der Logistikbranche, durch die gestiegenen Kraftstoffpreise wer-
den die Energiesteuersätze für die im Wesentlichen im Straßenverkehr verwendeten Kraft-
stoffe befristet auf die Höhe der Mindeststeuersätze der Energiesteuerrichtlinie (Richtlinie
2003/96/EG des Rates vom 27. Oktober 2003 zur Restrukturierung der gemeinschaftlichen
Rahmenvorschriften zur Besteuerung von Energieerzeugnissen und elektrischem Strom)
reduziert.

Die Energiesteuer als Verbrauchsteuer ist als indirekte Steuern darauf angelegt, dass sie
von den Steuerpflichtigen grundsätzlich auf die Verbraucherinnen und Verbraucher abge-
wälzt werden. Eine temporäre Steuersenkung hat zur Folge, dass eine vollständige Weiter-
gabe an die Verbraucherinnen und Verbraucher auch eine entsprechende Preissenkung
und damit Entlastung für die Bürgerinnen und Bürger sowie die Wirtschaft ermöglicht.

C. Alternativen

Keine.

D. Haushaltsausgaben ohne Erfüllungsaufwand

Dem Bund (Zollverwaltung) entstehen durch das Gesetz im Kalenderjahr 2022 einmalige
Ausgaben in Höhe von 37.000 Euro. Die einmaligen sonstigen Personalausgaben betragen
rund 151.000 Euro.

Der Mehrbedarf an Sach- und Personalmitteln wird finanziell und stellenmäßig im Einzel-
plan 08 ausgeglichen.
389

-3- Bearbeitungsstand: 01.04.2022 17:02

Referentenentwurf des Bundesministeriums der Finanzen

Entwurf eines Gesetzes zur Änderung des Energiesteuergesetzes zur
temporären Absenkung der Energiesteuer für Kraftstoffe

(Energiesteuersenkungsgesetz — EnergieStSenkungG)

Vom ...

Der Bundestag hat das folgende Gesetz beschlossen:

Artikel 1

Änderung des Energiesteuergesetzes

Das Energiesteuergesetz vom 15. Juli 2006 (BGBl. | S. 1534; 2008 I S. 660, 1007), das
zuletzt durch Artikel 4 des Gesetzes vom 30. März 2021 (BGBl. | S. 607) geändert worden
ist, wird wie folgt geändert:

1. Inder Inhaltsübersicht wird nach $ 67 folgende Angabe eingefügt:
„8 68 Zeitlich begrenzte Fassungen einzelner Gesetzesvorschriften“.

2. Nach 8 67 wird folgender $ 68 eingefügt:

„8 68
Zeitlich begrenzte Fassungen einzelner Gesetzesvorschriften

(1) 8 2 Absatz 1 ist vom 1. Juni 2022 bis 31. August 2022 mit der Maßgabe anzu-
wenden, dass die Steuer für 1 000 |

1. Benzin der Unterpositionen 2710 12 41, 2710 12 45 und 2710 12 49 der Kombi-
nierten Nomenklatur mit einem Schwefelgehalt von höchstens 10 mg/kg nach $ 2
Absatz 1 Nummer 1 Buchstabe b 359,00 EUR,

2. Gasöle der Unterpositionen 2710 19 43 bis 2710 19 48 und der Unterpositionen
2710 20 11 bis 2710 20 19 der Kombinierten Nomenklatur mit einem Schwefelgeh-
alt von höchstens 10 mg/kg nach $ 2 Absatz 1 Nummer 4 Buchstabe b 330,00
EUR

beträgt.

(2) 8 2 Absatz 2 ist vom 1. Juni 2022 bis 31. August 2022 mit der Maßgabe anzu-
wenden, dass die Steuer für

1. 1 Megawattstunde Erdgas und 1 Megawattstunde gasförmige Kohlenwasserstoffe
nach & 2 Absatz 2 Nummer 1 Buchstabe a 9,36 EUR,

2. 1.000 Kilogramm Flüssiggas unvermischt mit anderen Energieerzeugnissen nach
8 2 Absatz 2 Nummer 2 Buchstabe e 125,00 EUR
390

-5- Bearbeitungsstand: 01.04.2022 17:02
„g 109a

Zeitlich begrenzte Fassungen einzelner Verordnungsvorschriften

(1) 8 105a ist mit der Maßgabe anzuwenden, dass sich die Entlastung für die in $
68 Absatz 1 und 2 des Gesetzes genannten Energieerzeugnisse, für die im Zeitraum
vom 1. Juni 2022 bis 30. Juni 2022 der Entlastungsanspruch entstanden ist, nach den
dort genannten Steuersätzen bemisst.

(2) & 109 Absatz 2 Nummer 1 Buchstabe c ist vom 1. Juni 2022 bis 31. August
2022 mit der Maßgabe anzuwenden, dass die Steuer für 1 000 I Energieerzeugnisse
nach $ 2 Absatz 1 Nummer 4 Buchstabe b des Gesetzes 339,80 EUR beträgt, falls das
Gemisch ein Benzin nach & 2 Absatz 1 Nummer 1 Buchstabe a des Gesetzes oder ein
entsprechender Kraftstoff nach $ 2 Absatz 4 des Gesetzes ist.

(3) & 109 Absatz 2 Nummer 2 ist vom 1. Juni 2022 bis 31. August 2022 mit der
Maßgabe anzuwenden, dass die Steuer für

1. 1.000 | Energieerzeugnisse nach & 2 Absatz 1 Nummer 4 Buchstabe a des Geset-
zes 0,00 EUR,

2. 1000| Energieerzeugnisse nach $ 2 Absatz 1 Nummer 4 Buchstabe b des Geset-
zes 29,00 EUR,

3. 1.000 I Energieerzeugnisse nach $ 2 Absatz 1 Nummer 6 des Gesetzes 0,00 EUR

beträgt, falls das Gemisch ein Benzin nach $ 2 Absatz 1 Nummer 1 Buchstabe b des
Gesetzes oder ein entsprechender Kraftstoff nach $ 2 Absatz 4 des Gesetzes ist.

(4) 8 109 Absatz 2 Nummer 3 Buchstabe b ist vom 1. Juni 2022 bis 31. August
2022 mit der Maßgabe anzuwenden, dass die Steuer für 1 000 | Energieerzeugnisse
nach & 109 Absatz 2 Nummer 3 Buchstabe b 362,00 EUR beträgt, falls das Gemisch
ein Benzin nach & 2 Absatz 1 Nummer 2 des Gesetzes oder ein entsprechender Kraft-
stoff nach $ 2 Absatz 4 des Gesetzes ist.

(5) $ 109 Absatz 2 Nummer 3 Buchstabe e ist vom 1. Juni 2022 bis 31. August
2022 mit der Maßgabe anzuwenden, dass die Steuer für 1 000 I Energieerzeugnisse
nach $ 2 Absatz 1 Nummer 4 Buchstabe b des Gesetzes 391 ‚00 EUR beträgt, falls das
Gemisch ein Benzin nach $ 2 Absatz 1 Nummer 2 des Gesetzes oder ein entsprechen-
der Kraftstoff nach $ 2 Absatz 4 des Gesetzes ist.

S 109b
Sonstige Vermischungen von versteuerten Energieerzeugnissen

(1) Werden Energieerzeugnisse, die nach verschiedenen Steuersätzen des $ 2
Absatz 1 des Gesetzes, auch in Verbindung mit $ 2 Absatz 4 des Gesetzes, versteuert
worden sind, vor der Abgabe in Haupt- oder Reservebehälter von Motoren miteinander
gemischt, entsteht für die niedriger belasteten Anteile eine Steuer, wenn das Gemisch
ein Gasöl nach 8 2 Absatz 1 Nummer 4 des Gesetzes, ein Schmieröl und anderes Öl
nach $ 2 Absatz 1 Nummer 6 des Gesetzes oder ein Kraftstoff nach 8 2 Absatz 4 des
Gesetzes ist, der nach seiner Beschaffenheit dem Gasöl oder Schmieröl und anderem
Öl entspricht. Dies gilt nicht für niedriger belastete Anteile, die eine Menge von 300
Litern nicht übersteigen, wenn sie in Transportmitteln, beim Entleeren von
391

-7- Bearbeitungsstand: 01.04.2022 17:02

Begründung

A. Allgemeiner Teil

l. Zielsetzung und Notwendigkeit der Regelungen

Der völkerrechtswidrige Angriff auf die Ukraine hat die ohnehin angespannte Lage auf den
Energiemärkten drastisch verschärft. Die Bestrebungen, Deutschland schnellstmöglich un-
abhängig von russischem Erdöl zu machen, kann diese Entwicklung verstärken. Die auf-
grund des Krieges nochmals erheblich gestiegenen Kraftstoffpreise sind für viele Bürgerin-
nen und Bürger sowie die Wirtschaft zu einer großen Belastung geworden.

Zur Abfederung der Belastungen von Bürgerinnen und Bürger sowie der Wirtschaft werden
die Energiesteuersätze für die im Wesentlichen im Straßenverkehr verwendeten Kraftstoffe
befristet auf die Höhe der Mindeststeuersätze der Energiesteuerrichtlinie (Richtlinie
2003/96/EG des Rates vom 27. Oktober 2003 zur Restrukturierung der gemeinschaftlichen
Rahmenvorschriften zur Besteuerung von Energieerzeugnissen und elektrischem Strom)

reduziert.

ll. Wesentlicher Inhalt des Entwurfs

Die Energiesteuer gehört zu den harmonisierten Verbrauchsteuern und beruhen auf der
Energiesteuerrichtlinie. Diese legt für alle definierten Energieerzeugnisse unionsweit gel-
tende Mindeststeuersätze fest. Die nationalen Steuersätze für die wesentlichen Kraftstoffe
sollen temporär auf die Höhe dieser Mindeststeuersätze reduziert werden.

Die Energiesteuer als Verbrauchsteuer ist als indirekte Steuern darauf angelegt, dass sie
vom Steuerpflichtigen grundsätzlich auf die Verbraucherinnen und Verbraucher abgewälzt
werden. Eine temporäre Steuersenkung hat zur Folge, dass eine vollständige Weitergabe
an die Verbraucherinnen und Verbraucher insoweit auch eine entsprechende Preissenkung
und damit Entlastung für die Bürgerinnen und Bürger sowie die Wirtschaft ermöglicht wird.
Die Preisgestaltung an der Tankstelle ist unter anderem abhängig von der vorhergehenden
Lieferkette der bezogenen Kraftstoffe und obliegt dem entsprechenden Betreiber und re-
gelmäßig nicht nur dem Steuerpflichtigen.

m. Alternativen
Keine.

Die Steuererhebung für die Energiesteuer obliegt allein dem Bund. Ohne Wegfall der Ursa-
chen für die erhöhten Energiepreise ist eine Verringerung der Preise für fossile Energien
nicht zu erwarten.

Daher kann eine befriste Reduzierung der Energiesteuersätze für Kraftstoffe zum Ausgleich
der kriegsbedingten Mehrbelastung der Bürgerinnen und Bürger sowie der Wirtschaft bei-
tragen. Die Belastungen für den Bundeshaushalt und damit für die Steuerzahlerinnen und
Steuerzahler werden durch die temporäre Befristung auf das erforderliche Maß begrenzt.
392

-9- Bearbeitungsstand: 01.04.2022 17:02

detaillierten Nachweise über die jeweilige Höhe der konkreten Versteuerung zu führen. Le-
diglich die verwendeten Mengen müssen nach den betroffenen Zeiträumen getrennt wer-
den.

2. Nachhaltigkeitsaspekte

Die Bundesregierung misst den Erfolg ihrer Bemühungen um eine nachhaltige Entwicklung
anhand von bestimmten Indikatoren und darauf bezogenen Zielen, die sich in ihrer Syste-
matik an den globalen Zielen für nachhaltige Entwicklung (Sustainable Development Goals,
SDGs) der Vereinten Nationen orientieren. Das Gesetz dient der sozialen Gerechtigkeit und
gleichberechtigten Teilhabe.

Das Gesetz steht in Einklang mit der Deutschen Nachhaltigkeitsstrategie der Bundesregie-
rung (Aktualisierung 2018) und fördert die Verwirklichung der darin enthaltenen Ziele. Im
Einzelnen trägt das Gesetz wie folgt zur Verwirklichung der Schlüsselindikatoren der glo-
balen Ziele für nachhaltige Entwicklung sowie der Prinzipien einer nachhaltigen Entwicklung
als Bestandteile der Deutschen Nachhaltigkeitsstrategie der Bundesregierung bei:

- SDG 7 (Bezahlbare und saubere Energie): Das Gesetz trägt zur Erreichung der Ziele im
Bereich bezahlbare Energie bei, indem durch die Senkung der Energiesteuersätze die steu-
erliche Belastung für Kraftstoffe gesenkt wird und die bezahlbare Mobilität der Bürgerinnen
und Bürger, aber auch der Unternehmen, gewährleistet wird.

- Beim Regelungsvorhaben bestehen mögliche Zielkonflikte mit den Bereichen Reduktion
der Emissionen des Jahres 2005 auf 55 Prozent bis 2030 (Indikator 3.2.a), Primärenergie-
verbrauch (Indikator 7.1.b), Energieverbrauch und CO2-Emissionen des Konsums (Indika-
tor 12.1.b) sowie Treibhausgasemissionen (Indikatorbereich 13.1.a). Durch die Senkung
der Energiesteuersätze wird der Einsatz von fossilen Energien vorübergehend begünstigt.
Dies könnte zu einem Anstieg des Verbrauchs dieser Kraftstoffe führen. Durch die tempo-
räre Ausgestaltung der Maßnahme ist das Ziel der Reduktion der Emissionen bis 2030 je-
doch nicht gefährdet.

3. Haushaltsausgaben ohne Erfüllungsaufwand

Bei der Zollverwaltung entstehen durch das Gesetz folgende Haushaltsmittelbedarfe im HH
2022 im Einzelplan 08.

        
   
   
   
    
       
   
      
     

Titel 427 09 (Tarifbeschäf-
tigte) einmalig für 4 AK ver-
gleichbar gD

Titel 511 01 (Sachausga-
ben)

Titel 532 01 (Dienstleis-
tungsaufträge im Bereich

  

Summe Epl. 08 / HH-Jahr

anteiliger Umstellungsauf-
wand

 

anteiliger laufender Auf-
wand
393

Zur nächsten Seite