ordner-1

Dieses Dokument ist Teil der Anfrage „Akte zum Tankrabatt

/ 498
PDF herunterladen
Ewert, Udo (ZA 7)

Von: Weihs, Anja (Ill B 3)
Gesendet: Mittwoch, 6. April 2022 10:15
An: II B3 - BSB

Cc: Verteiler Referat Ill B 3
Betreff: Billigung von M

Anlagen: [Untitled].pdf
Kennzeichnung: Zur Nachverfolgung
Kennzeichnungsstatus: Erledigt

Kategorien: Margy

Il B3 - V 9905/22/10001 :001, Dok. 2022/0379744

1. Vermerk: J.
2. Registratur (BSB):
N Importieren nach: I11B3- V 9905/22/10001:001
b) Betreff: wie Betreff des Vorgangs
c) Hier: Billigung von M
d) Bezug: automatisch vergeben
e) Stichwörter: J.
f) sonstiges: J.
3. z.K. Koll. gem. Verteiler mit dieser Mail erledigt
4. 2.V8.

Besten Dank und Gruß
AW

Von: Vorzimmer AL Ill
Gesendet: Mittwoch, 6. April 2022 10:12
An: Referat 11183 <IIIB3@bmf.bund.de>

r“ Mildenberger, Tanja (Ill) <Tanja.Mildenberger@bmf.bund.de>; Unterabteilungsleiter III B <IIIB@bmf.bund.de>;
‚iufen Dr., Christian (Ill B 3) <Christian.Hufen@bmf.bund.de>; Schürle, Carola (Ill B 3)
<Carola.Schuerle@bmf.bund.de>; Weihs, Anja (Ill B 3) <Anja.Weihs@bmf.bund.de>; Ebner, Klaus (Ill B 3)
<Klaus.Ebner@bmf.bund.de>; Herzog, Andre (Ill B 3) <Andre.Herzog@bmf.bund.de>; Kersten, Madeleine (Ill B)
<Madeleine.Kersten@bmf.bund.de>
Betreff: WG: Rücklauf M-Vorlage IIIB3_Gesetz zur Änderung des Energiesteuergesetzes zur temporären Absenkung
der Energiesteuer für Kraftstoffe

Liebe Kolleginnen,
liebe Kollegen,

beigefügten Rücklauf übersende ich ihnen vorab per E-Mail zur Kenntnis.
Der Papiervorgang folgt auf den Dienstweg.

Beste Grüße
Viktoria Nieren

\Vorzimmer Alin Il
444

‚Anlage / j-i.004

   
    
   
   

MI/IISG
2022/0353181

III B 3 - V 9905/22/10001 :001 4. April 2022
RD Dr. Hufen 2751
RDin Schürle 3927 -\JAb
RDin Weihs 2812 Eingang im Büro
RA Ebner/ RA Herzog 3944/1469

04. APR. 2022

Stin Prof. Dr. Luise Hölscher
Try. UV CN. Ar ur
‘te Eilt!
PER 77

 

he fr‘ \ 0%
auf dem Dienstweg DY

mit der Bitte um Billigung zu I.

- Bund-Länder-Verhältnis nicht betroffen -

Gesetz zur Änderung des Energiesteuergesetzes zur temporären Absenkung der Energiesteuer

für Kraftstoffe;
Diskussionsentwurf und Bitte um Frühkoordinierung

4 Anlagen
(Diskussionsentwurf des EnergieStSenkungG, Zeitplan. Synopse, FAQs)

I. Votum
e _BMF wird anliegenden Diskussionsentwurf zur Frühkoordinierung an BKAmt geben,
445

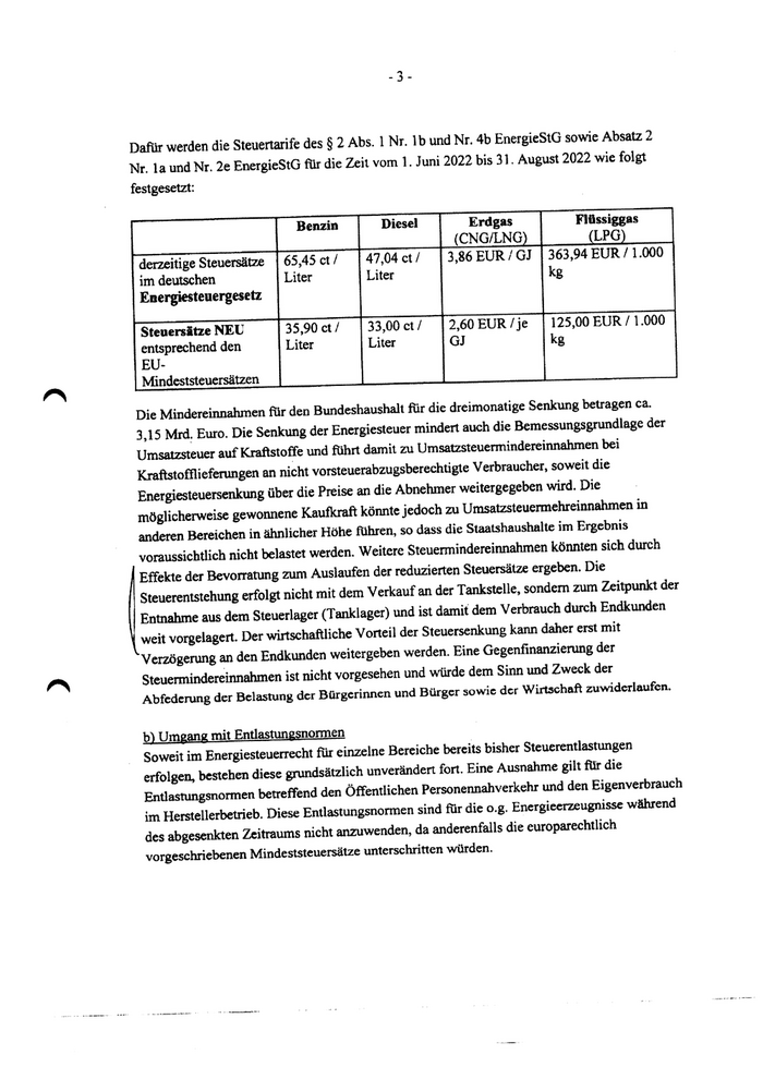
Dafür werden die Steuertarife des $ 2 Abs. 1 Nr. Ib und Nr. 4b EnergieStG sowie Absatz 2
Nr. la und Nr. 2e EnergieStG für die Zeit vom 1. Juni 2022 bis 31. August 2022 wie folgt
festgesetzt:

 
   
    
  

   
 
    
 

Te
(CNG/LNG
derzeitige Steuersätze | 65,45 ct / 47,04 ct/ 3,86 EUR /GJ | 363,94 EUR / 1.000
im deutschen Liter Liter
Energiesteuergesetz

  

   

   

      
  
    
   

    
  

     
    
  

   
    
 

  
      

   
 

Steuersätze NEU
entsprechend den
EU-

Mindeststeuersätzen

35,90 ct /
Liter

33,00 et /
Liter

2,60 EUR / je
GJ

125,00 EUR / 1.000
kg

Die Mindereinnahmen für den Bundeshaushalt für die dreimonatige Senkung betragen ca.
3,15 Mrd. Euro. Die Senkung der Energiesteuer mindert auch die Bemessungsgrundlage der
Umsatzsteuer auf Kraftstoffe und führt damit zu Umsatzsteuermindereinnahmen bei
Kraftstofflieferungen an nicht vorsteuerabzugsberechtigte Verbraucher, soweit die
Energiesteuersenkung über die Preise an die Abnehıner weitergegeben wird. Die
möglicherweise gewonnene Kaufkraft könnte jedoch zu Umsatzsteuermehreinnahmen in
anderen Bereichen in ähnlicher Höhe führen, so dass die Staatshaushalte im Ergebnis
voraussichtlich nicht belastet werden. Weitere Steuermindereinnahmen könnten sich durch
Effekte der Bevorratung zum Auslaufen der reduzierten Steuersätze ergeben. Die
Steuerentstehung erfolgt nicht mit dem Verkauf an der Tankstelle, sondern zum Zeitpunkt der
Entnahme aus dem Steuerlager (Tanklager) und ist damit dem Verbrauch durch Endkunden
weit vorgelagert. Der wirtschaftliche Vorteil der Steuersenkung kann daher erst mit
Verzögerung an den Endkunden weitergeben werden. Eine Gegenfinanzierung der
Steuermindereinnahmen ist nicht vorgesehen und würde dem Sinn und Zweck der
Abfederung der Belastung der Bürgerinnen und Bürger sowie der Wirtschaft zuwiderlaufen.

b) Umgang mit Entlastungsnormen
Soweit im Energiesteuerrecht für einzelne Bereiche bereits bisher Steuerentlastungen

erfolgen, bestehen diese grundsätzlich unverändert fort. Eine Ausnahme gilt für die
Entlastungsnormen betreffend den Öffentlichen Personennahverkehr und den Eigenverbrauch
im Herstellerbetrieb. Diese Entlastungsnormen sind für die o.g. Energieerzeugnisse während
des abgesenkten Zeitraums nicht anzuwenden, da anderenfalls die europarechtlich
vorgeschriebenen Mindeststeuersätze unterschritten würden.
446

Auf die Möglichkeit, derartige Maßnahmen so auszugestalten, dass sie nicht dem EU-
Beihilfenrecht unterliegen, hat die KOM die Mitgliedstaaten jüngst explizit verwiesen. In dem
„Befristeten Krisenrahmen für staatliche Beihilfen zur Stützung der Wirtschaft infolge der
Aggression Russlands gegen die Ukraine“ (Mitteilung der Europäischen Kommission
C(2022) 1890 final vom 23. März 2022 - sog. Temporary Crisis Framework) stellt die KOM,
klar, dass Maßnahmen, die auf gewerbliche Energieverbraucher abzielen, keine staatlichen
Beihilfen darstellen, sofern sie allgemeiner Art sind. Solche nichtselektiven Maßnahmen
können beispielsweise in Form allgemeiner Steuer- oder Abgabenermäßigungen, eines
ermäßigten Satzes für die Lieferung von Erdgas, Strom oder Fernwärme oder auch über
gesenkte Netzkosten gewährt werden.

Die vorliegende Senkung der Energiesteuersätze für Kraftstoffe durch eine entsprechende
Anpassung im EnergieStG dürfte in die vorgenannte Kategorie einer nichtselektiven

Steuerermäßigung fallen._ —— uL

2 BEE

BD
Es ist jedoch nicht mit Sicherheit auszuschließen, dass die KOM die geplanten Maßnahmen
anders bewerten könnte. Um ein höheres Maß an rechtlicher Sicherheit zu erlangen, könnte
die BReg zusätzlich mit der geplanten Maßnahme (vor ihrer Umsetzung) an KOM herantreten
und um Bestätigung bitten, dass es sich hierbei nicht um eine Beihilfe i.S.d. Art. 107 Abs.1
AEUV handelt. Ob die KOM jedoch rechtzeitig eine eindeutige Aussage zur
‚, Energiesteuersenkung abgeben würden, ist ebenfalls ungewiss. Insofern wird auch das Votum
des für EU-Beihilfefragen in der Bundesregierung federführenden BMWK in der
Ressortabstimmung von Bedeutung sein.

3. Einbeziehung der Generalzolldirektion (GZD) sowie der
Mineralölwirtschaftsunternehmen

Die Zollverwaltung wurde in die Gestaltung der Rechtsnorm zur Qualitätssicherung eng
eingebunden. Die GZD wird sicherstellen, dass die IT-Verfahren zur Steueranmeldung und
Abwicklung sowie etwaige Formulare rechtzeitig angepasst werden. Die dafür erforderlichen
Ausgaben werden durch die Zollverwaltung im Rahmen der zur Verfügung stehenden
Haushaltsmittel erwirtschaftet.

Eine frühzeitige Einbindung der Mineralölwirtschaft ist bereits informell erfolgt, um zu
erfragen, ab welchem Zeitpunkt die Umstellung der Steuersätze in den Abläufen der
Lieferketten umgesetzt werden kann. Die Mineralölwirtschaft hat im Ergebnis darum gebeten,
Zur Administration der Umsetzung der Steuersenkung ein Inkrafttreten für die Zukunft und
einen Monatsanfang vorzusehen. Der 1. Juni 2022 wäre für die Wirtschaft ein realisierbares
Datum.
447

BMF Stand: 29.03.22
-LA3-

Entwurf eines Zeitplans
GE Absenkung Energiesteuer

Koalitionsinitiative

BT-FA 1. Dg. (Vorrafsbeschluss)

Anhörung im BT-Finanzausschuss on |

Abschließende Beratung Im BT-Finanzausschuss 18.05.22

Bundestag, 2./3. Lesung 19.05.22
(Fristverzicht erforderlich oder 2/3-Mehrheit der Anwesenden) —_
Beschlussfassung Bundesrat

(Fristverkürzung) 20.05.22
Hinweis: Üblicherweise wird eine zusätzliche Beratung im Finanzausschuss anberaumt.

Dieser Termin müsste hier entfallen. Ggfs. ist begleitende politische Kommunikation
sinnvoll.

     
  

Termin
448

-2- Bearbeitungsstand: 04.04.2022 10:57

durch die Endkunden vorgelagert. Daher können sich weitere Steuermindereinnahmen
durch Effekte der Bevorratung zum Auslaufen der reduzierten Steuersätze ergeben.

E. Erfüllungsaufwand

E.1 Erfüllungsaufwand für Bürgerinnen und Bürger

Der Gesetzentwurf wirkt sich nicht auf den Erfüllungsaufwand für die Bürgerinnen und Bür-
ger aus.

E.2 Erfüllungsaufwand für die Wirtschaft

Der Wirtschaft entsteht durch die temporäre Änderung der Energiesteuersätze Erfüllungs-
aufwand in Höhe von einmalig rund 115.000 Euro, insbesondere durch den vorübergehend
geänderten Zeitaufwand für die Abgabe der Steueranmeldungen sowie der Entlastungsan-
träge. Bürokratiekosten aus Informationspflichten entstehen nicht.

E.3 Erfüllungsaufwand der Verwaltung

Für die Zollverwaltung entsteht einmaliger Personalaufwand in Höhe von rund 153.000
Euro. Jährlicher Personalaufwand entsteht aufgrund der temporären Senkung der Energie-
steuersätze nicht.

Ferner entsteht für die Zollverwaltung einmaliger Sachaufwand für die Umstellung von For-
mularen in Höhe von 10.000 Euro und für Beratungsdienstleistungen im Bereich IT in Höhe
von 27.000 Euro. Jährlicher Sachaufwand entsteht aufgrund der temporären Senkung der
Steuersätze nicht.

F. Weitere Kosten

Der Wirtschaft, einschließlich mittelständischer Unternehmen, entstehen keine direkten
sonstigen Kosten.

Auswirkungen auf Einzelpreise und das Preisniveau, insbesondere das Verbraucherpreis-
niveau, sind zu erwarten und Zweck des Gesetzes. Durch das Gesetz sollen die Endpreise
für im Straßenverkehr verwendete Kraftstoffe an der Tankstelle signifikant sinken und die
Belastung der Bürgerinnen und Bürger sowie der Wirtschaft durch die zuletzt stark gestie-
genen Energiepreise abgefedert werden.
449

-4- Bearbeitungsstand: 04.04.2022 10:57

beträgt.

(3) $ 47a Absatz 2 Satz 1 Nummer 1 ist mit der Maßgabe anzuwenden, dass
keine Steuerentlastung für nach $ 2 Absatz 1 Nummer 4 Buchstabe b versteuerte und
vom 1. Juni 2022 bis 31. August 2022 bezogene Energieerzeugnisse gewährt wird.

(4) $ 56 ist mit der Maßgabe anzuwenden, dass keine Steuerentlastung für vom
1. Juni 2022 bis 31. August 2022 bezogene

1. Benzine nach $ 2 Absatz 1 Nummer 1 Buchstabe b,
2. Gasöle nach $ 2 Absatz 1 Nummer 4 Buchstabe b,

3. Erdgas oder gasförmige Kohlenwasserstoffe nach $ 2 Absatz 2 Nummer 1 Buch-
stabe a oder

4. Flüssiggase nach $ 2 Absatz 2 Nummer 2 Buchstabe e
gewährt wird.

(5) $ 8 Absatz 7 und $$ 46, 47, 48, 49, 52, 59 sowie 60 sind mit der Maßgabe
anzuwenden, dass sich die Entlastung für die in den Absätzen 1 und 2 genannten
Energieerzeugnisse, für die im Zeitraum vom 1. Juni 2022 bis 31. August 2022 der
Entlastungsanspruch entstanden ist, nach den in diesen Absätzen genannten Steuers-
ätzen bemisst.

(6) $$ 58 und 58a sind mit der Maßgabe anzuwenden, dass sich die Entlastung
für die in den Absätzen 1 und 2 genannten Energieerzeugnisse, für die im Zeitraum
vom 1. Juli 2022 bis 31. August 2022 der Entlastungsanspruch entstanden ist, nach
den in diesen Absätzen genannten Steuersätzen bemisst.

(7) Unbeschadet der Regelungen in den $$ 47a, 48, 49, 56, 57 bemisst sich die
Entlastung für die in den Absätzen 1 und 2 genannten Energieerzeugnisse, für die ab
dem 1. September 2022 der Entlastungsanspruch entstanden ist, nach dem zutreffen-
den Steuersatz in $ 2 Absatz 1 und 2.“

Artikel 2

Änderung der Energiesteuer-Durchführungsverordnung

Die Energiesteuer-Durchführungsverordnung vom 31. Juli 2006 (BGBl. I S. 1753), die
zuletzt durch Artikel 4 der Verordnung vom 11. August 2021 (BGBi. I S. 3602) geändert
worden ist, wird wie folgt geändert:

4. Inder Inhaltsübersicht werden nach $ 109 folgende Angaben eingefügt:
„$ 109a Zeitlich begrenzte Fassungen einzelner Verordnungsvorschriften

& 109b Sonstige Vermischungen von versteuerten Energieerzeugnissen‘.

2. Nach $ 109 werden die folgenden $$ 109a und 109b eingefügt:
450

-6- Bearbeitungsstand: 04.04.2022 10:57

Transportmitteln, beim Spülen von Tankstellenbehältern, bei der Herstellung von Zwei-
taktergemischen oder durch Endverwender vermischt werden.

(2) Die Steuer beträgt vom 1. Juni 2022 bis 31. August 2022, falls das Gemisch

ein

1. Gasöl nach $ 2 Absatz 1 Nummer 4 Buchstabe a des Gesetzes oder ein entspre-
chender Kraftstoff nach $ 2 Absatz 4 des Gesetzes ist, für 1000 Liter Energieer-
zeugnisse nach $ 2 Absatz 1 Nummer 1 Buchstabe b des Gesetzes 126,70 EUR,

2. Schmieröl und anderes Öl nach & 2 Absatz 1 Nummer 6 des Gesetzes oder ein
entsprechender Kraftstoff nach $ 2 Absatz 4 des Gesetzes ist, für 1000 Liter Ener-
gieerzeugnisse nach $ 2 Absatz 1 Nummer 1 Buchstabe b des Gesetzes 126,70
EUR.

(3) $ 109 Absätze 4 und 5 gelten sinngemäß.“

Artikel 3

Inkrafttreten

„Dieses Gesetz tritt am 1. Juni 2022 in Kraft.“
451

-8- Bearbeilungsstand: 04.04.2022 10:57

IV.  Gesetzgebungskompetenz

Die Gesetzgebungskompetenz des Bundes folgt aus Artikel 105 Absatz 2 Satz 2 erste Al-
ternative in Verbindung mit Artikel 106 Absatz 1 Nummer 2 des Grundgesetzes.

V. Vereinbarkeit mit dem Recht der Europäischen Union und völkerrechtlichen
Verträgen

Durch das Gesetz werden die Regelungen des europäischen Rechts der Energiesteuer-
richtlinie weiterhin eingehalten.

Die temporäre Absenkung der Energiesteuersätze stellt keine staatliche Beihilfe im Sinne
des Artikel 107 Absatz 1 Vertrag über die Arbeitsweise der Europäischen Union (AEUV)
dar. Sie muss damit vor ihrer Durchführung der Europäischen Kommission weder angezeigt
und noch durch sie genehmigt werden. Die Maßnahme erfüllt nicht den Tatbestand des
Artikel 107 Absatz 1 AEUV, da sie nicht „selektiv“ wirkt. Damit unterfällt die Absenkung als
„allgemeine Maßnahme“ nicht dem Regime des Beihilfenrechts der Europäischen Union.

Auf diesen \WVeg, derartige Maßnahmen so auszugestalten, dass sie nicht dem Beihilfen-
recht der Europäischen Union unterliegen, hat die Europäische Kommission die Mitglied-
staaten jüngst explizit verwiesen: In dem „Befristeten Krisenrahmen für staatliche Beihilfen
zur Stützung der Wirtschaft infolge der Aggression Russlands gegen die Ukraine" {Mittei-
lung der Europäischen Kommission C(2022) 1890 final vom 23. März 2022 — sog. Tempo-
rary Crisis Framework) stellt die Europäische Kommission klar, dass Maßnahmen, die auf
gewerbliche Energieverbraucher abzielen, keine staatlichen Beihilfen darstellen, sofern sie
allgemeiner Art sind. Solche nichtselektiven Maßnahmen können beispielsweise in Form
allgemeiner Steuer- oder Abgabenermäßigungen, eines ermäßigten Satzes für die Liefe-
rung von Erdgas, Strom oder Fernwärme oder auch über gesenkte Netzkosten gewährt
werden.

Die Senkung der Energiesteuersätze für Kraftstoffe durch eine entsprechende Anpassung
des Energiesteuergesetzes (EnergieStG) fällt unter die vorgenannte Kategorie einer nicht-
selektiven Steuerermäßigung.

Vi. _ Gesetzesfolgen

Es ist nicht auszuschließen, dass sich die Steuersatzsenkung verzögert und schleichend in
den Verbrauchspreisen widerspiegelt. Die Steuerentstehung erfolgt zum Zeitpunkt der Ent-
nahme aus dem Steuerlager und ist damit dem Verbrauch durch die Endkundinnen und
Endkunden weit vorgelagert. Dies kann dazu führen, dass Kraftstoff, der in den ersten Ta-
gen nach der Steuersenkung verkauft wird, noch mit dem originären Steuersatz versteuert
worden ist. Dieser Effekt sollte sich zu Gunsten der Endverbraucher bei Auslaufen der Maß-
nahme jedoch ebenfalls widerspiegeln, da dann trotz Wegfalls der Steuersatzsenkung für
einen vorübergehenden Zeitraum noch zum niedrigeren Steuersatz versteuerte Energieer-
zeugnisse an der Tankstelle erhältlich sind.

1. Rechts- und Verwaltungsvereinfachung

Die Steuererhebung bleibt unverändert bestehen. Lediglich die Energiesteuersätze der im
Wesentlichen im Straßenverkehr verwendeten Kraftstoffe werden temporär angepasst.

Zur Vermeidung bürokratischer Hemmnisse werden nach $ 68 Absatz 5 und 6 EnergieStG
sowie $ 109a der Energiesteuer-Durchführungsverordnung (EnergieStV) mögliche Steu-
erentlastungen für die Kraftstoffe, für die im Zeitraum der Absenkung der Entlastungsan-
spruch entstanden ist, unter der Maßgabe gewährt, dass sich die Entlastung nach den ab-
gesenkten Steuersätzen bemisst. Somit sind durch die Entlastungsberechtigten keine
452

- 10 - Bearbeitungsstand: 04.04.2022 10:57

anteiliger laufender Auf-

wand

 

Der Mehrbedarf an Sach- und Personalmitteln wird finanziell und stellenmäßig im Einzel-
plan 08 ausgeglichen.

Im Einzelnen:

Dem Bund (Zollverwaltung) entstehen durch das Gesetz im Kalenderjahr 2022 einmalige
Personal- und Sachausgaben in Höhe von rund 161.000 Euro. Darüber hinaus entstehen
einmalige Ausgaben für Dienstleistungsaufträge im Bereich IT in Höhe von 27.000 Euro.

Die temporäre Senkung der Steuersätze für die Kraftstoffe Diesel, Benzin, Erdgas und Flüs-
siggas und deren steuerlich gleichgestelite Äquivalente hat Steuermindereinnahmen für
den Bundeshaushalt in Höhe von 3,15 Mrd. Euro zur Folge. Weitere Steuermindereinnah-
men können sich durch Effekte der Bevorratung zum Auslaufen der reduzierten Steuersätze
ergeben. Die Steuerentstehung erfolgt zum Zeitpunkt der Entnahme aus dem Steuerlager
und ist damit dem Verbrauch durch Endkunden vorgelagert. Eine Gegenfinanzierung der
Steuermindereinnahmen ist nicht vorgesehen und würde dem Sinn und Zweck der Abfede-
rung der Belastung der Bürgerinnen und Bürger sowie der Wirtschaft zuwideriaufen.

  
 
   
  

        
       

      
     
     
      

Steuerminderein-
nahmen in Mio.

durchschnittliche
Einnahmen je Mo-

durchschnittliche
Einnahmen je Mo-
nat  (Regelsteuer- | nat (Mindeststeuer-
satz} in Mio. Euro satz) in Mio. Euro

an af
a
anna fan from fs

Die Senkung der Energiesteuer mindert auch die Bemessungsgrundlage der Umsatzsteuer
auf Kraftstoffe und führt damit zu Umsatzsteuermindereinnahmen bei Kraftstofflieferungen
an nicht vorsteuerabzugsberechtigte Verbraucher, soweit die Energiesteuersenkung über
die Preise an die Abnehmer weitergegeben wird. Die möglicherweise gewonnene Kaufkraft
könnte jedoch zu Umsatzsteuermehreinnahmen in anderen Bereichen in ähnlicher Höhe
führen, so dass die Staatshaushalte im Ergebnis voraussichtlich nicht belastet werden.

Energieerzeugnis

  

   

  

4. Erfüllungsaufwand
Erfüllungsaufwand für die Verwaltung:

Bei der Ermittlung des Erfüllungsaufwandes der Verwaltung wurden die Lohnkosten für Mit-
arbeiterinnen und Mitarbeiter des gehobenen Dienstes entsprechend den Angaben zu den
Personal- und Sachkosten in der Bundesverwaltung für Wirtschaftlichkeitsuntersuchungen
und Kostenberechnungen des Bundesministeriums der Finanzen vom 28. Mai 2021,11A3
-H 1012-10/07/0001 :023 zugrunde gelegt.

Für die Zollverwaltung entsteht insgesamt einmaliger Personalaufwand in Höhe von rund
453 000 Euro für erhöhten Aufwand bei der Bearbeitung von Anträgen auf Steuerentlastun-
gen und Steueranmeldungen sowie für die Umstellung von Formularen. Zusätzlich
453

Zur nächsten Seite