ordner-1

Dieses Dokument ist Teil der Anfrage „Akte zum Tankrabatt

/ 498
PDF herunterladen
-3-
Der Nationale Normenkontrollrat (NKR) wurde beteiligt. Er hat im Rahmen seines
gesetzlichen Prüfauftrags keine Einwände gegen den Gesetzentwurf erhoben. Der NKR wird
seine formelle Stellungnahme nachreichen.

Der Bundesbeauftragte für Wirtschaftlichkeit in der Verwaltung wurde ebenfalls beteiligt.

Der Gesetzesentwurf wird nicht von der Bundesregierung, sondern über die
Koalitionsfraktionen in den Bundestag eingebracht. Eine förmliche Beteiligung der Verbände
nach $ 47 GGO ist insoweit entbehrlich. Gleichwohl wurde der Gesetzesentwurf den
betroffenen Verbänden zur Kenntnis gegeben werden, um.eine breite Akzeptanz und
Einstellung der Wirtschaft auf die befristete Maßnahme zu ermöglichen sowie die Umsetzung
der Maßnahme durch die Mineralölwirtschaft zu gewährleisten.

3. Verbliebene Konfliktpunkte mit den Ressorts
Keine.

4. Weitere Informationen

 

Unter Berücksichtigung der unterschiedlichen Lebenssituation von Frauen und Männern sind
keine Auswirkungen erkennbar, die gleichstellungspolitischen Zielen gemäß $ 2 der
Gemeinsamen Geschäftsordnung der Bundesministerien zuwiderlaufen.

Die Beschlussfassung zu dem Gesetzentwurf soll vom Bundeskabinett am 27. April 2022
erfolgen.

Das Gesetz soll am 1. Juni 2022 in Kraft treten.
Das Gesetz bedarf nicht der Zustimmung des Bundesrates.

Die Referate LA 3, LB2,ZA3,IA2,IA6,1IB2, AS, MA1,11B4,1IC2,VIAI
und E A 8 haben mitgezeichnet.

Dr. Hufen

I. Entwurf

Kopf: M April 2022
Az.: III B 3 - V 9905/22/10001 :004
. Dok-Nr.: 2022/0362602
46

-5-
Restrukturierung der gemeinschaftlichen Rahmenvorschriften zur Besteuerung von
Energieerzeugnissen und elektrischem Strom) reduziert.

Die Enefgiesteuer als Verbrauchsteuer ist als indirekte Steuer darauf angelegt, dass sie von
den Steuerpflichtigen grundsätzlich auf die Verbraucherinnen und Verbraucher abgewälzt
wird. Eine temporäre Steuersenkung hat zur Folge, dass eine vollständige Weitergabe an die

- Verbraucherinnen und Verbraucher auch eine entsprechende Preissenkung und.damit
Entlastung für die Bürgerinnen und Bürger sowie die Wirtschaft ermöglicht.

Zur Weitergabe des steuerlichen Vorteils an die Endkunden hät BMWK aufgrund des
Beschlusses der Koalitionsfraktion vom 23. März die Änderung des Gesetzes gegen
Wettbewerbsverzerrungen (GWB) auf den Weg gebracht. Die Aufgabe der
Markttransparenzstelle für Kraftstoffe beim Bundeskartellamt wird auf die
Wertschöpfungsstufen der Herstellung von Kraftstoffen und des Handels mit Kraftstoffen
erweitert. Gleichzeitig wird die Meldepflicht der Tankstellenbetreiber ausgeweitet. Die
Markttransparenzstelle für Kraftstoffe soll neben den bereits seit dem Jahr 2013 zu meldenden .
Preisdaten künftig auch Mengendaten zu den verkauften Kraftstoffen erhalten. Damit wird die
Grundlage geschaffen, die gesamte für die Versorgung von Endkunden mit Kraftstoffen
maßgebliche Wertschöpfungskette von der Beschaffung von Rohöl über die Verarbeitung des
Rohöls zu den verschiedenen Kraftstoffsorten bis hin zum Groß- und Einzelhandel dieser
‚Kraftstoffe zu beobachten und zu analysieren. Der Kabinettbeschluss ist dazu am 6. April
2022 erfolgt. Der Gesetzesentwurf ist insoweit in Zusammenhang mit der Absenkung der
Energiesteuer auf Kraftstoffe zu betrachten.

Der Gesetzentwurf wurde mit allen Ressorts einvernehmlich abgestimmt.
Das Bundesministerium der Justiz hat den Gesetzentwurf in rechtsförmlicher und
rechtssystematischer Hinsicht geprüft (Rechtsprüfung nach $ 46 Absatz 1 GGO). Erforderliche

Anpassungen des Gesetzentwurfs wurden berücksichtigt.

Der Nationale Normenkontrollrat wurde beteiligt und wird seine formelle Stellungnahme
nachreichen.

Der Bundesbeauftragte für Wirtschaftlichkeit in der Verwaltung wurde ebenfalls beteiligt.
Der Gesetzentwurf bedarf nicht der Zustimmung des Bundesrates.
- Unter Berücksichtigung der unterschiedlichen Lebenssituation von Frauen und Männern sind

keine Auswirkungen erkennbar, die gleichstellungspolitischen Zielen gemäß $ 2 der GGO
zuwiderlaufen.
47

11 B3- V 9905/22/10001 :004
2022/0411432, Anlage 1

Anlage |
Beschlussvorschlag

Die Bundesregierung beschließt den von dem Bundesminister der Finanzen vorgelegten
Entwurf eines Gesetzes zur Änderung des Energiesteuerrechts zur temporären Absenkung der
‚Energiesteuer für Kraftstoffe; hier: Formulierungshilfe für die Koalitionsfraktionen für einen
aus der Mitte des Bundestages einzubringenden Gesetzesentwurf.
48

RS und
Absendung 44.2022

Obermair,
49

Bearbeitungsstand: 1 3.04.2022 _ 11:56Bearbeitungs-

11 B 3 - V 9905/22/10001 :004
2022/0411432, Anlage 2

Referentenentwurf

des Bundesministeriums der Finanzen

Entwurf eines Gesetzes zur Änderung des Energiesteuerrechts zur tem-
porären Absenkung der Energiesteuer für Kraftstoffe

(Energiesteuersenkungsgesetz — EnergieStSenkG)

A. Problem und Ziel

Der völkerrechtswidrige Angriff auf die Ukraine hat die angespannte Lage auf den Energie-
märkten verschärft. Die Bestrebungen, Deutschland schnellstmöglich unabhängig von rus-
sischern Erdöl zu machen, kann diese Entwicklung verstärken. Die aufgrund des Krieges
nochmals erheblich gestiegenen Kraftstofipreise sind für viele Bürgerinnen und Bürger so-
wie die Wirtschaft kurzfristig zu einer unvorhersehbaren Belastung geworden.

B. Lösung

Zur kurzfristigen Abfederung der Belastung der Bürgerinnen und Bürger sowie der Wirt-
schaft, insbesondere im Handwerk und in der Logistikbranche, durch die gestiegenen Kraft-
stoffpreise werden die Energiesteuersätze für die im Wesentlichen im Straßenverkehr ver-
wendeten Kraftstoffe befristet auf die Höhe der Mindeststeuersätze der Energiesteuerricht-
linie (Richtlinie 2003/96/EG des Rates vom 27. Oktober 2003 zur Restrukturierung der ge-
meinschaftlichen Rahmenvorschriften zur Besteuerung von Energieerzeugnissen und
elektrischem Strom) reduziert.

Die Energiesteuer als Verbrauchsteuer ist als indirekte Steuer darauf angelegt, dass sie
von den Steuerpflichtigen grundsätzlich auf die Verbraucherinnen und Verbraucher abge-
wälzt werden. Eine temporäre Steuersenkung hat zur Folge, dass eine vollständige Weiter-
gabe an die Verbraucherinnen und Verbraucher auch eine entsprechende Preissenkung
und damit Entlastung für die Bürgerinnen und Bürger sowie die Wirtschaft ermöglicht.

€. Alternativen

Keine.

D. Haushaltsausgaben ohne Erfüllungsaufwand

Dem Bund (Zollverwaltung) entstehen durch das Gesetz im Kalenderjahr 2022 einmalige
Ausgaben in Höhe von 37.000 Euro. Die einmaligen sonstigen Personalausgaben betragen
rund 151.000 Euro.

Der Mehrbedarf an Sach- und Personalmitteln wird finanziell und stellenmäßig im Einzel-
plan 08 ausgeglichen.

Die temporäre Senkung der Energiesteuersätze für die Kraftstoffe Diesel, Benzin, Erdgas
und Flüssiggas und deren steuerlich gleichgestellte Äquivalente hat

 

| Formatiert: Schriftart: 9 Pt.
50

- 3 -Bearbeitungsstand: 13.04.2022 11:56Bearbeitungs- . - | Formatiert: Schriftart: 9 Pt.

 

Referentenentwurf des Bundesministeriums der Finanzen

Entwurf eines Gesetzes zur Änderung des Energiesteuerrechts zur
temporären Absenkung der Energiesteuer für Kraftstoffe

(Energiesteuersenkungsgesetz — EnergieStSenkG)

Vom ...

Der Bundestag hat das folgende Gesetz beschlossen:

Artikel 1

Änderung des Energiesteuergesetzes

Das Energiesteuergesetz vom 15. Juli 2006 (BGBl. | S. 1534; 2008 I S. 660, 1007), das
zuletzt durch Artikel 4 des Gesetzes vom 30. März 2021 (BGBl. | S. 607) geändert worden
ist, wird wie folgt geändert:

1. In der Inhaltsübersicht wird nach der Angabe zu $ 67 folgende Angabe eingefügt:
„8 68 Zeitlich begrenzte Fassungen einzelner Gesetzesvorschriften".

2. Nach 8 67 wird folgender $ 68 eingefügt:

„8 68
Zeitlich begrenzte Fassungen einzelner Gesetzesvorschriften

(1) 8 2 Absatz 1 ist vom 1. Juni 2022 bis 31. August 2022 mit der Maßgabe anzu-
wenden, dass die Steuer für 1 000 I

1. Benzin der Unterpositionen 2710 12 41, 2710 12 45 und 2710 12 49 der Kombi-
nierten Nomenklatur mit einem Schwefelgehalt von höchstens 10 mg/kg nach 8 2
Absatz 1 Nummer 1 Buchstabe b 359,00 EUR,

2. Gasöle der Unterpositionen 2710 19 43 bis 2710 19 48 und der Unterpositionen
2710 20 11 bis 2710 20 19 der Kombinierten Nomenklatur mit einem Schwefelgeh-
alt von höchstens 10 mg/kg nach $ 2 Absatz 1 Nummer 4 Buchstabe b 330,00
EUR

beträgt.

(2) $ 2 Absatz 2 ist vom 1. Juni 2022 bis 31. August 2022 mit der Maßgabe anzu-
wenden, dass die Steuer für

1. 1 Megawattstunde Erdgas und 1 Megawattstunde gasförmige Kohlenwasserstoffe
nach & 2 Absatz 2 Nummer 1 Buchstabe a 9,36 EUR,

2. 1000 Kilogramm Flüssiggase unvermischt mit anderen Energieerzeugnissen nach
& 2 Absatz 2 Nummer 2 Buchstabe e 125,00 EUR
51

- 5 -Bearbeitungsstand: 13.04.2022 11:56Bearbeitungs _ - | Formatiert: Schriftart: 9 Pt. )

„8 109a

 

Zeitlich begrenzte Fassungen einzelner Verordnungsvorschriften

(1) $ 105a ist mit der Maßgabe anzuwenden, dass sich die Steuerentlastung für
die in $ 68 Absatz 1 und 2 des Gesetzes genannten Energieerzeugnisse, für die im
Zeitraum vom 1. Juni 2022 bis 30. Juni 2022 der Entlastungsanspruch entsteht, nach
den in & 68 Absatz 1 und 2 des Gesetzes genannten Steuersätzen bemisst.

(2) 8 109 Absatz 2 Nummer 1 Buchstabe c ist vom 1. Juni 2022 bis 31. August
2022 mit der Maßgabe anzuwenden, dass die Steuer für 1 000 | Energieerzeugnisse
nach 8 2 Absatz 1 Nummer 4 Buchstabe b des Gesetzes 339,80 EUR beträgt, falls das
Gemisch ein Benzin nach & 2 Absatz 1 Nummer 1 Buchstabe a des Gesetzes oder ein
entsprechender Kraftstoff nach $ 2 Absatz 4 des Gesetzes ist.

(3) 8 109 Absatz 2 Nummer 2 ist vom 1. Juni 2022 bis 31. August 2022 mit der
Maßgabe anzuwenden, dass die Steuer für

1. 1.000 | Energieerzeugnisse nach $ 2 Absatz 1 Nummer 4 Buchstabe a des Geset-
zes 0,00 EUR,

2. 1.000 I Energieerzeugnisse nach $ 2 Absatz 1 Nummer 4 Buchstabe b des Geset-
zes 29,00 EUR,

3. 1000 I Energieerzeugnisse nach & 2 Absatz 1 Nummer 6 des Gesetzes 0,00 EUR
beträgt, falls das Gemisch ein Benzin nach $ 2 Absatz 1 Nummer 1 Buchstabe b des
Gesetzes oder ein entsprechender Kraftstoff nach $ 2 Absatz 4 des Gesetzes ist.

(4) & 109 Absatz 2 Nummer 3
1. Buchstabe b ist vom 1. Juni 2022 bis 31. August 2022 mit der Maßßgabe anzuwen-

den, dass die Steuer für 1 000 I Energieerzeugnisse nach & 2 Absatz 12 Nummer | Kommentiert [MIC1]: Vgl. $ 109.

1 Buchstabe b des Gesetztes 362,00 EUR beträgt,

 

2. Buchstabe e ist vom 1. Juni 2022 bis 31. August 2022 mit der Maßgabe anzuwen-
den, dass die Steuer für 1 000 | Energieerzeugnisse nach $ 2 Absatz 1 Nummer 4
Buchstabe b des Gesetzes 391,00 EUR beträgt,

falls das Gemisch ein Benzin nach $ 2 Absatz 1 Nummer 2 des Gesetzes oder ein
entsprechender Kraftstoff nach $ 2 Absatz 4 des Gesetzes ist.

& 109b
Sonstige Vermischungen von versteuerten Energieerzeugnissen

(1) Werden Energieerzeugnisse, die nach verschiedenen Steuersätzen des $ 2
Absatz 1 des Gesetzes, auch in Verbindung mit $ 2 Absatz 4 des Gesetzes, versteuert
worden sind, vor der Abgabe in Haupt- oder Reservebehälter von Motoren miteinander
gemischt, entsteht für die niedriger belasteten Anteile eine Steuer, wenn das Gemisch
ein Gasöl nach & 2 Absatz 1 Nummer 4 des Gesetzes, ein Schmieröl und anderes Öl
nach 8 2 Absatz 1 Nummer 6 des Gesetzes oder ein Kraftstoff nach $ 2 Absatz 4 des
Gesetzes ist, der nach seiner Beschaffenheit dem Gasöl oder Schmieröl und anderem
Öl entspricht. Dies gilt nicht für niedriger belastete Anteile, die eine Menge von 300 |
nicht übersteigen, wenn sie in Transportmitteln, beim Entleeren von Transportmitteln,
52

- 7 -Bearbeitungsstand: 13.04.2022 11:56Bearbeitungs-

Begründung

A. Allgemeiner Teil

l. Zielsetzung und Notwendigkeit der Regelungen

Der völkerrechtswidrige Angriff auf die Ukraine hat die angespannte Lage auf den Energie-
märkten verschärft. Die Bestrebungen, Deutschland schnellstmöglich unabhängig von rus-
sischem Erdöl zu machen, kann diese Entwicklung verstärken. Die aufgrund des Krieges
nochmals erheblich gestiegenen Kraftstoffpreise sind für viele Bürgerinnen und Bürger so-
wie die Wirtschaft kurzfristig zu einer unvorhersehbaren Belastung geworden.

Zur kurzfristigen Abfederung der Belastungen von Bürgerinnen und Bürger sowie der Wirt-
schaft werden die Energiesteuersätze für die im Wesentlichen im Straßenverkehr verwen-
deten Kraftstoffe befristet auf die Höhe der Mindeststeuersätze der Energiesteuerrichtlinie
(Richtlinie 2003/96/EG des Rates vom 27. Oktober 2003 zur Restrukturierung der gemein-
schaftlichen Rahmenvorschriften zur Besteuerung von Energieerzeugnissen und elektri-
schem Strom) reduziert.

ll. Wesentlicher Inhalt des Entwurfs

Die Energiesteuer gehört zu den harmonisierten Verbrauchsteuern und beruhen auf der
Energiesteuerrichtlinie. Diese legt für alle definierten Energieerzeugnisse unionsweit gel-
tende Mindeststeuersätze fest. Die nationalen Steuersätze für die wesentlichen Kraftstoffe
sollen ternporär auf die Höhe dieser Mindeststeuersätze reduziert werden.

Die Energiesteuer als Verbrauchsteuer ist als indirekte Steuern darauf angelegt, dass sie
vom Steuerpflichtigen grundsätzlich auf die Verbraucherinnen und Verbraucher abgewälzt
werden. Eine temporäre Steuersenkung hat zur Folge, dass eine vollständige Weitergabe
an die Verbraucherinnen und Verbraucher insoweit auch eine entsprechende Preissenkung
und damit Entlastung für die Bürgerinnen und Bürger sowie die Wirtschaft ermöglicht wird.
Die Preisgestaltung an der Tankstelle ist unter anderem abhängig von der vorhergehenden
Lieferkette der bezogenen Kraftstoffe und obliegt dem entsprechenden Betreiber und re-
gelmäßig nicht nur dem Steuerpflichtigen.

m. Alternativen
Keine.

Die Steuererhebung für die Energiesteuer obliegt allein dem Bund. Ohne Wegfall der Ursa-
chen für die erhöhten Energiepreise ist eine Verringerung der Preise für fossile Energien
nicht zu erwarten. In der sehr kurzen Frist ist eine Anpassung an die plötzlich kriegsbedingt
gestiegenen Energiepreise teilweise nicht möglich oder mit hohen Belastungen verbunden.
Der kurzfristige Übergang zu einer Verhaltensanpassung kann durch eine befristete Ener-
giesteuersenkung flankiert werden, um unbillige Härten abzufedern.

Daher kann eine befriste Reduzierung der Energiesteuersätze für Kraftstoffe zum Ausgleich
der kriegsbedingten Mehrbelastung der Bürgerinnen und Bürger sowie der Wirtschaft bei-
tragen. Die Belastungen für den Bundeshaushalt und damit für die Steuerzahlerinnen und
Steuerzahler werden durch die temporäre Befristung auf das erforderliche Maß begrenzt.

 

L Formatiert: Schriftart: 9 Pt.
53

- 9 -Bearbeitungsstand: 13.04.2022 11:56Bearbeitungs-
2. Nachhaltigkeitsaspekte

Die Bundesregierung misst den Erfolg ihrer Bemühungen um eine nachhaltige Entwicklung
anhand von bestimmten Indikatoren und darauf bezogenen Zielen, die sich in ihrer Syste-
matik an den globalen Zielen für nachhaltige Entwicklung (Sustainable Development Goals,
SDGs) der Vereinten Nationen orientieren. Das Gesetz dient der sozialen Gerechtigkeit und
gleichberechtigten Teilhabe.

Das Gesetz steht in Einklang mit der Deutschen Nachhaltigkeitsstrategie der Bundesregie-
rung (Aktualisierung 2018) und fördert die Vemirklichung der darin enthaltenen Ziele. Im
Einzelnen trägt das Gesetz wie folgt zur Verwirklichung der Schlüsselindikatoren der glo-
balen Ziele für nachhaltige Entwicklung sowie der Prinzipien einer nachhaltigen Entwicklung
als Bestandteile der Deutschen Nachhaltigkeitsstrategie der Bundesregierung bei:

- SDG 7 (Bezahlbare und saubere Energie): Das Gesetz trägt zur Erreichung der Ziele im
Bereich bezahlbare Energie bei, indem durch die Senkung der Energiesteuersätze die steu-
erliche Belastung für Kraftstoffe gesenkt wird und die bezahlbare Mobilität der Bürgerinnen
und Bürger, aber auch der Unternehmen, unterstützt wird. Durch die Befristung der Steuer-
satzsenkung werden unbillige Härten durch den kriegsbedingten Preisschock bei der kurz-
fristigen Anpassung zu einer nachhaltigeren Energienutzung abgefedert. Durch die vo-
rübergehende Begünstigung des Einsatzes fossiler Energie kann ein Zielkonflikt zu den
Zielen im Bereich saubere Energie entstehen.

- Beim Regelungsvorhaben bestehen mögliche Zielkonflikte mit den Bereichen Reduktion
der Emissionen des Jahres 2005 auf 55 Prozent bis 2030 (Indikator 3.2.a), Primärenergie-
verbrauch (Indikator 7.1.b), Energieverbrauch und CO2-Emissionen des Konsums (Indika-
tor 12.1.b) sowie Treibhausgasemissionen (Indikatorbereich 13.1.a). Durch die Senkung
der Energiesteuersätze wird der Einsatz von fossilen Energien vorübergehend begünstigt.
Dies könnte zu einem Anstieg des Verbrauchs dieser Kraftstoffe führen. Durch die tempo-
räre Ausgestaltung der Maßnahme ist das Ziel der Reduktion der Emissionen bis 2030 je-
doch nicht gefährdet.

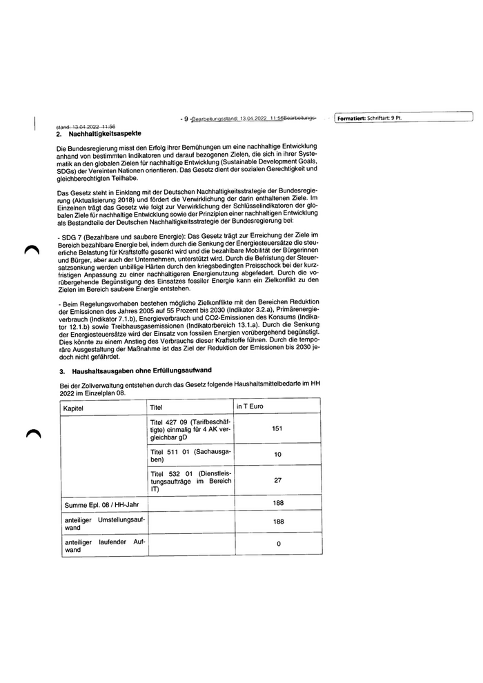
3. Haushaltsausgaben ohne Erfüllungsaufwand

Bei der Zollverwaltung entstehen durch das Gesetz folgende Haushaltsmittelbedarfe im HH
2022 im Einzelplan 08.

  

 

    
  
     
 
  
  
  
    
   

 
 

 

 

 

 

 

 

  
   
 

 

Kapitel in T Euro

Titel 427 09 (Tarifbeschäf-

tigte) einmalig für 4 AK ver- 151

gleichbar gD

Titel 511 01 (Sachausga- 10

ben)

BE ——

Titel 532 01 (Dienstleis-

tungsaufträge im Bereich 27

IT)
Summe Epl. 08 / HH-Jahr 188

+ —

anteiliger Umstellungsauf- 188
wand

u —— = — — —
anteiliger laufender Auf- 0
wand |

 

 

 

 

- 1 Formatiert: Schriftart: 9 Pt.
54

- 11 -Bearbeitungsstand: 13.04.2022 _11:56Bearbeitungs-

(Lohnkosten von 77.400 Euro bei 1 600 Arbeitsstunden pro Jahr nach Lohnkosten pro
Stunde aus dem Leitfaden zum Erfüllungsaufwand, Anhang IX). Der insoweit entstehende
einmalige Erfüllungsaufwand beträgt daher 77 376 Euro. Für die 3 000 erwarteten Steuer-
anmeldungen nach 88 8, 38 EnergieStG wird ebenfalls ein durchschnittlicher Mehraufwand
von 30 Minuten angenommen. Unter Berücksichtigung der durchschnittlichen Lohnkosten
für Mitarbeiter des gehobenen Dienstes ergibt sich hieraus ein einmaliger Erfüllungsauf-
wand in Höhe von 69 936 Euro. Die Umstellung der betroffenen 10 Formulare hat einen
Zeitaufwand von 105 Stunden für Mitarbeiter des gehobenen Dienstes zur Folge. Hieraus
ergibt sich ein einmaliger Erfüllungsaufwand in Höhe von 5 208 Euro.

Zusätzlich entstehen einmalige Sachkosten für die Umstellung von zehn Formularen in
Höhe von 10.000 Euro und für Beratungsdienstleistungen im Bereich IT in Höhe von 27.000
Euro.

Erfüllungsaufwand für die Wirtschaft:

Der Wirtschaft entsteht durch die temporäre Änderung der Steuersätze Erfüllungsaufwand
in Höhe von einmalig rund 115.000 Euro, insbesondere durch den vorübergehend geän-
derten Zeitaufwand für die Abgabe der Steueranmeldungen sowie der Entlastungsanträge.

Für den Zeitraum der temporären Änderungen werden insgesamt 3 315 Anträge der Wirt-
schaftsbeteiligten auf Entlastung nach $$ 8 Absatz 7, 46, 47, 48, 49, 52, 59 sowie & 60
EnergieStG erwartet. Durch die geänderten Steuersätze wird hierbei von einem durch-
schnittlichen Mehraufwand von 30 Minuten pro Fall ausgegangen. Hierfür wird ein Lohnsatz
von 36,30 Euro je Stunde (Durchschnitt der Lohnkosten der Gesamtwirtschaft aus dem
Leitfaden zum Erfüllungsaufwand, Anhang VII) zugrunde gelegt. Der insoweit entstehende
einmalige Erfüllungsaufwand wird auf 60 167 Euro geschätzt. Für die 3 000 erwarteten
Steueranmeldungen nach 8$ 8, 38 EnergieStG wird ebenfalls ein durchschnittlicher Mehr-
aufwand von 30 Minuten angenommen. Unter Berücksichtigung des Durchschnitts der
Lohnkosten der Gesamtwirtschaft ergibt sich hieraus ein einmaliger Erfüllungsaufwand in
Höhe von 54 450 Euro.

5. Weitere Kosten

Der Wirtschaft, einschließlich mittelständischer Unternehmen, entstehen keine direkten
sonstigen Kosten.

Auswirkungen auf Einzelpreise und das Preisniveau, insbesondere das Verbraucherpreis-
niveau, sind zu erwarten und Zweck des Gesetzes. Durch das Gesetz sollen die Endpreise
für Kraftstoffe an der Tankstelle signifikant sinken und die Belastung der Bürgerinnen und
Bürger sowie der Wirtschaft durch die zuletzt stark gestiegenen Energiepreise abgefedert
werden.

6. Weitere Gesetzesfolgen

Keine.

vi. Befristung; Evaluierung

Das Gesetz ist befristet, da die Regelungen nicht dauerhaft wirken sollen.

 

\ Formatiert: Schriftart: 9 Pt.
55

Zur nächsten Seite