ordner-1

Dieses Dokument ist Teil der Anfrage „Akte zum Tankrabatt

/ 498
PDF herunterladen
Ewert, Udo (ZA 7)

Von: Herzog, Andre (Ill B 3)

Gesendet: Dienstag, 17. Mai 2022 14:08

An: II B3- BSB

Cc: Weihs, Anja (Ill B 3); Szammetat, Melanie (III C 5); Ebner, Klaus (Ill B 3)
Betreff: WG: T: Heute DS - Rechner für Energiesteuerentlastung

Anlagen: Energiesteuerrechner_IIIB3.docx

Ill B3- V 9905/22/10001 :002

2022/0529644
1. Vermerk: J.
2. Registratur (BSB):
a) Importieren nach: IIIB3-V 9905/22/10001 :002
b) Betreff: wie Betreff des Vorgangs
c) Hier: II A1anLB 2: Bewertung des Rechners für die Energiesteuerentlastung
) Bezug: automatisch vergeben
Stichwörter: J.
f) sonstiges: [.
3, 2.K. Koll, gem. Verteiler mit dieser Mail erledigt
4. 2.Vg.
Vielen Dank
Im Auftrag

Andre Herzog
Referat III B3
Telefon: 030 18 682-1469

Von: Ostmann, Benedict (III A 1) <Benedict.Ostmann@bmf.bund.de>
Gesendet: Dienstag, 17. Mai 2022 12:35

g\n: Neuhaus, Nikolas (LB 2) <Nikolas.Neuhaus@bmf.bund.de>
cc: Brandenburger-Rüdisühli, Karola (L B 2) <Karola.Brandenburger-Ruedisuehli@bmf.bund.de>; Hufen Dr., Christian
(N 83) <Christian.Hufen@bmf.bund.de>; Weihs, Anja (Ill B 3) <Anja.Weihs@bmf.bund.de>; Herzog, Andre (Ill B 3)
<Andre.Herzog@bmf.bund.de>; Scholz Dr., Stephan (III A 1) <Stephan.Scholz@bmf.bund.de>; Nastola, Nadine (III A
1) <Nadine.Nastola@bmf.bund.de>
Betreff: WG: T: Heute DS - Rechner für Energiesteuerentlastung

Lieber Herr Neuhaus,

in der Anlage senden wir Ihnen einige Änderungsvorschläge und Anregungen, die das Referat III B3 im
Änderungsmodus in dem beigefügten Dokument dargestellt hat und von uns unterstützt werden.

Mit besten Grüßen
Benedict Ostmann

Benedict Ostmann

Referat II A 1
Durchwahl: 3868
479

Von: Brandenburger-Rüdisühli, Karola (LB2) <Karola.Brandenburger-Ruedisuehli@bmf.bund.de>
Gesendet: Mittwoch, 11. Mai 2022 10:51

An: Ostmann, Benedict (III A 1) <Benedict.Ostmann@bmf.bund.de>

Cc: Scholz Dr., Stephan (III A 1) <Stephan.Scholz@bmf.bund.de>; Nastola, Nadine (III A 1)
<Nadine.Nastola@bmf.bund.de>; Neuhaus, Nikolas (LB 2) <Nikolas.Neuhaus@bmf.bund.de>
Betreff: T: Heute DS - Rechner für Energiesteuerentlastung

Priorität: Hoch

Lieber Benedict,

auf dringende Anforderung der Abteilungsleitung L soll sehr zeitnah ein Rechner zur einfachen Berechnung der
geplanten Entlassungen im Energiesteuerbereich erstellt und auf der Internetseite veröffentlicht werden.

Geplant ist, die exakte Entlastungssumme bei den Energiesteuererzeugnissen Benzin und Diesel für Bürger*innen
ga zustellen. Es soll die Möglichkeit geschaffen werden, eine fiktive Tankmenge des Erzeugnisses in den Rechner
inzugeben, als Ergebnis erhält der/die Nutzer*in die berechnete Ersparnis der Energiesteuer. Wenn es technisch
einfach darzustellen ist, wird ggf. noch eine zusätzliche Ausweisung der gesparten Mehrwertsteuer (auf die reine
Energiesteuerpreis, nicht auf den Endpreis des Erzeugnisses) ausgewiesen.

Angedacht ist ein Rechner, der sich an dem ehemalige Soli-Rechner orientiert. Zur Information übersende ich den
bereits depublizierten Soli-Rechner als Preview.

 

https:// review.bundesfinanzministerium.de/Content/DE/000-PA

Rubriken/Solidaritaetszuschlag/solidaritaetszuschlag.html

Ich wäre Dir sehr verbunden, wenn Du bis heute (DS) die entsprechenden Angaben zur Berechnung der
Energiesteuerentlastung übersenden könntest.

PIERKORB/2022/Navigationspunkte-

 

Für Fragen stehe ich gerne zur Verfügung.

Beste Grüße,
ya 1a Brandenburger-Rüdisühli

Digitale Kommunikation & Soziale Medien | ReferatLB2
Durchwahl: 4713
480

"UaUyENUB 7ZOZ Isndny TE SIA Jung °T Won wneuyaz wi
Harrı/22 6’se) urzusg 'mzq (J2311/12 EE) [al ıny azyesianayg
BIP YAIRYSLYIEU SOG UapyUI aA Jap zne aeusayıy

"DV4 Uap ul sya1aq BunyuljuaA ssarp

33j0,13 sneuiy JagnJeg ‘3Sı uaga3a3 Jyawı yysıu Bunyuas
81g10dıway aıp y9ınp apesa3 Jap ‘sep Bunienajsagatd.uaug
Jap ıjey23ay uap 1235 ans apjujan sıq "Bunyumiaa

Jap Bunyalanıs ınz Bejyasion :[LYH] MORuswwoy

 

"OHOISYEAY IN} OZyeSIENSJSAIBJEUF Jep Bunlepuy ınz uoßeı ueIsÖNyDM alp Ine UENOMmJUy SIS USPUN DV] Us18SUn U]
'SjlaISYUeL Jep ue sasieldpug sap jIEJPUEISEgSISIA UNO ysıbıpaı Isı JensIsaıbleug ad

"Pussoß (HN YOND) sehp13 pun (547) seßbissn]g iny SZIESIONDIS SIP YoNe USPIBM [8SBld] Pun UIZUST usqaN
"USWwwoy uszuslsyipsßunpung nz uuey SZ

"9SIOMUIH

 

‘sgebulg Jep BunJspuy Jeule yoeu yosıjewogne I6lone Bunuyssseg aıq

onZ yL'O
:stuseds13-19naJsolßleug aıyj

BunnpiuelL

 

YOISYeIY

'sıuleds13-JenajseißJsug auyı Joly als veuyaauog
"wePEINZge asıaıdeißlsug ueusßenseß

IP yaınp uaWysulsjun pun usuuı,Jsßing uon usßunjsejog usyoy Sıp wın ‘Sunisißsusepung Jap] sIoyedsßunjseyug-seute Söp Ile]
IS! aulyeugjeyy 9salq "UEPJSM PyUasab areuoyy !eıp ıny IIoS AUSOAUSTENS WI ByOISyEıy jneusumusseMm ap In} eneIssrdueug aıq

iusleds 9ıg Janajssıß1oug [ala aIm ‘IS uauyaalag

 

 

} abeluy 'Pr9BZS0/2202
200: LOOOL/ZZ/SOBE A - EA II
481

Ewert, Udo (ZA 7)

Von: Herzog, Andre (N B 3)

Gesendet: Dienstag, 17. Mai 2022 14:08

An: III B 3 - BSB

Cc: Weihs, Anja (Ill B 3); Szammetat, Melanie (III C 5); Ebner, Klaus (lil B 3)
Betreff: WG: T: Heute DS - Rechner für Energiesteuerentlastung

I B3 - V 9905/22/10001 :002

2022/0529666
1. Vermerk: J.
2. Registratur (BSB):
a) Importieren nach: Ill B3-V 9905/22/10001 :002
b) Betreff: wie Betreff des Vorgangs
c) Hier: vonLB2: Rückmeldung zur Bewertung des Rechners für die Energiesteuerentlastung
d) Bezug: automatisch vergeben
) Stichwörter: J.
‚ Sonstiges: S.
3. 2.K. Koll. gem. Verteiler mit dieser Mail erledigt
4. z.Vg.
Vielen Dank
Im Auftrag

Andre Herzog
Referat III B3
Telefon: 030 18 682-1469

Von: Neuhaus, Nikolas (LB2) <Nikolas.Neuhaus@bmf.bund.de>

Gesendet: Dienstag, 17. Mai 2022 13:17

An: Ostmann, Benedict (II A 1) <Benedict.Ostmann@bmf.bund.de>

gpxe: Brandenburger-Rüdisühli, Karola (LB 2) <Karola.Brandenburger-Ruedisuehli@bmf.bund.de>: Hufen Dr., Christian
‚1 B 3) <Christian.Hufen@bmf.bund.de>; Weihs, Anja (Ill B 3) <Anja.Weihs@bmf.bund.de>: Herzog, Andre (lil B 3)
<Andre.Herzog@bmf.bund.de>: Scholz Dr., Stephan (Ill A 1) <Stephan.Scholz@bmf.bund.de>: Nastola, Nadine (Ill A
1) <Nadine.Nastola@bmf.bund.de>

Betreff: AW: T: Heute DS - Rechner für Energiesteuerentlastung

Lieber Herr Ostmann,

danke für Ihre Änderungsvorschläge. Der verlinkte Überblicksartikel zu den Preisbestandteilen der Spritkosten wird
nach Verabschiedung der Energiesteuersenkung selbstverständlich aktualisiert.

Viele Grüße

Nikolas Neuhaus

Digitale Kommunikation & Social Media | Referat R 2
Durchwahl: 2331
482

Lieber Herr Ostmann,
da Frau Brandenburger-Rüdisühli heute in Sachen G7 unterwegs ist, melde ich mich bei Ihnen:

Unsere Agentur hat den Entlastungsrechner zur Energiesteuer auf Kraftstoffe nun erstellt und uns in der Vorschau

zur Verfügung gestellt. Der Rechner ist direkt in die Übersichtsseite zum Thema Entlastungen eingebettet:
https://preview.bundesfinanzministerium.de/W eb/DE/T hemen/Schlaglichter/Entlastungen/entlastungen.html

Können Sie bitte prüfen, ob im Rechner (und den unmittelbar begleitenden kurzen Erläuterungen darum herum)
alles korrekt dargestellt wird? Den Hinweis überhalb des Berechnungsergebnisses „Ihre Energiesteuer-Ersparnis pre

Tarkfüllung“ passen wir wie dargestellt an.

Wir möchten das Tool schnellstmöglich auf der Website zur Verfügung stellen, daher wäre ich Ihnen für eine
Rückmeldung bis spätestens morgen, 17.5. um 15:00 Uhr dankbar. Vielen Dank im Voraus!

Viele Grüße

Nikolas Neuhaus
/ \igitale Kommunikation & Social Media | ReferatLB2
Durchwahl: 2331

Von: Brandenburger-Rüdisühli, Karola (LB2) <Karola.Brandenburger-Ruedisuehli@bmf.bund.de>
Gesendet: Mittwoch, 11. Mai 2022 10:51

An: Ostmann, Benedict (III A 1) <Benedict.Ostmann@bmf.bund.de>

Ce: Scholz Dr., Stephan (III A 1) <Stephan.Scholz@bmf.bund.de>: Nastola, Nadine (Ill A 1)
<Nadine.Nastola@bmf.bund.de>; Neuhaus, Nikolas (LB 2) <Nikolas.Neuhaus@bmf.bund.de>
Betreff: T: Heute DS - Rechner für Energiesteuerentlastung

Priorität: Hoch

Lieber Benedict,

Nur dringende Anforderung der Abteilungsleitung L soll sehr zeitnah ein Rechner zur einfachen Berechnung der
geplanten Entlassungen im Energiesteuerbereich erstellt und auf der Internetseite veröffentlicht werden.

Geplant ist, die exakte Entlastungssumme bei den Energiesteuererzeugnissen Benzin und Diesel für Bürger*innen
darzustellen. Es soll die Möglichkeit geschaffen werden, eine fiktive Tankmenge des Erzeugnisses in den Rechner
einzugeben, als Ergebnis erhält der/die Nutzer*in die berechnete Ersparnis der Energiesteuer. Wenn es technisch
einfach darzustellen ist, wird ggf. noch eine zusätzliche Ausweisung der gesparten Mehrwertsteuer (auf die reine
Energiesteuerpreis, nicht auf den Endpreis des Erzeugnisses) ausgewiesen.

Angedacht ist ein Rechner, der sich an dem ehemalige Soli-Rechner orientiert. Zur Information übersende ich den
bereits depublizierten Soli-Rechner als Preview.

 

https:// review.bundesfinanzministerium.de/Conten /DE/000-PAPIERKORB/2022/Navi atıions

Rubriken/ Solidaritaetszuschlag/solidaritaetszuschlag.html

Ich wäre Dir sehr verbunden, wenn Du bis heute (DS) die entsprechenden Angaben zur Berechnung der
Energiesteuerentlastung übersenden könntest.

Für Fragen stehe ich gerne zur Verfügung.
483

Ewert, Udo (ZA 7)

Von: Herzog, Andre (Ifl B 3)

Gesendet: Montag, 23. Mai 2022 13:22

An: II B3 - BSB

Cc: Weihs, Anja (Ill B 3); Szammetat, Melanie (NIC 5)

Betreff: WG: Termin 24.05., 10.00 Uhr - Abstimmung Berechnungsbeispiele

Energiesteuer auf Kraftstoffe

Priorität: Hoch

IN B3-V 9905/22/10001 :002

2022/0550021
1. Vermerk: J.
2. Registratur (BSB):
a) Importieren nach: IIB3-YV 9905/22/10001 :002
) Betreff: wie Betreff des Vorgangs
NR Hier: vonLB2 m.d.B.u.Prüfung: Berechnungsbeispiele zur Energiesteuer
d) Bezug: automatisch vergeben
e) Stichwörter: J.
f) sonstiges: J.
3. 2.K. Koll. gem. Verteiler mit dieser Mail erledigt
4. z.Vg.
Vielen Dank
Im Auftrag

Andre Herzog

Referat Ill B3
Telefon: 030 18 682-1469

N

Von: Hufen Dr., Christian (Ill B 3) <Christian.Hufen@bmf.bund.de>

Gesendet: Montag, 23. Mai 2022 11:20

An: Herzog, Andre (Ill B 3) <Andre.Herzog@bmf.bund.de>; Weihs, Anja (Ill B 3) <Anja.Weihs@bmf.bund.de>
Cc: Verteiler Referat Ill B 3 <VerteilerReferatlilB3@bmf.bund.de>

Betreff: WG: Termin 24.05., 10.00 Uhr - Abstimmung Berechnungsbeispiele Energiesteuer auf Kraftstoffe
Priorität: Hoch

w.b.

VG

CH

Dr. Christian Hufen

RLIIB3
484

verbraucht er rund 35 Liter pro Monat und kommt so für drei Monate auf eine steuerliche Entlastung von 36,92
Euro.

3:

Durch die Senkung der Energiesteuer auf Kraftstoffe wird die Familie weiter steuerlich entlastet: Die gemeinsame
Fahrt zur Arbeit, tägliche Erledigungen und kleinere Ausflüge mit dem Auto ergeben rund 2500 Kilometer im Monat.
Die steuerliche Entlastung beträgt samt Mehrwertsteuer rund 70 Euro pro Monat, für die drei Sommermonate also
210 Euro.

4:

Für Fahrten zu Kunden, ihrem Büro und Erledigungen im Alltag ist Sophia viel im Auto unterwegs. Im Monat kommt
sie auf rund 4.000 Kilometer und tankt dafür rund 320 Liter Diesel. Die befristete Senkung der Energiesteuer für
Kraftstoffe entlastet sie damit steuerlich für drei Monate um insgesamt rund 160 Euro [160,39 €].

IN die Grüße

Karola Brandenburger-Rüdisühli

Digitale Kommunikation & Soziale Medien

ReferatLB2
Durchwahl: 4713
485

Ewert, Udo (ZA 7)

Von: Herzog, Andre (III B 3)

Gesendet: Montag, 23. Mai 2022 15:06

An: III B 3 - BSB

Cc: Weihs, Anja (ll B3); Szammetat, Melanie (lit C 5)

Betreff: WG: Termin 24.05., 10.00 Uhr - Abstimmung Berechnungsbeispiele

Energiesteuer auf Kraftstoffe

I B3-V 9905/22/10001 :002

2022/0550691
1. Vermerk: J.
2. Registratur (BSB):
a) Importieren nach: II B3 - V 9905/22/10001 :002
b) Betreff: wie Betreff des Vorgangs
c) Hier: anLB2: Anmerkungen zu den Berechnungsbeispielen zur Energiesteuer
) Bezug: automatisch vergeben

Stichwörter: J.
f) sonstiges: J.
3. z.K. Koll. gem. Verteiler mit dieser Mail erledigt
4. z.V8.
Vielen Dank
Im Auftrag

Andre Herzog

Referat III B3
Telefon: 030 18 682-1469

Von: Herzog, Andre (II B 3) <>

esendet: Montag, 23. Mai 2022 15:05

«N: Referat LB2 <LB2@bmf.bund.de>
Cc: Brandenburger-Rüdisühli, Karola (LB2) <Karola.Brandenburger-Ruedisuehli@bmf.bund.de>: Hufen Dr., Christian
(IN B 3) <Christian.Hufen@bmf.bund.de>: Weihs, Anja (Ill B 3) <Anja.Weihs@bmf.bund.de>: Szammetat, Melanie {m
C5) <Melanie.Szammetat@bmf.bund.de>; Referat IIIA1 <INA1@bmf.bund.de>; Ostmann, Benedict (I A 1)
<Benedict.Ostmann@bmf.bund.de>: Nastola, Nadine (Ill A 1) <Nadine.Nastola@bmf.bund.de>
Betreff: AW: Termin 24.05., 10.00 Uhr - Abstimmung Berechnungsbeispiele Energiesteuer auf Kraftstoffe

Liebe Kolleginnen und Kollegen,

anliegend übersende ich einige Hinweise und Anmerkungen zu den übersandten und das Energiesteuerrecht
betreffenden Beispielen.

Rechnerisch waren die gewählten Beispiele nachvollziehbar.

Für Rückfragen stehe ich zur Verfügung.
486

2:
Arek profitiert als Motorradfahrer von der befristeten Senkung der Energiesteuern für Kraftstoffe für drei Monate:
Mit seinem täglichen Arbeitsweg und gelegentlichen Ausflügen fährt er pro Monat insgesamt rund 700 Kilometer. So

verbraucht er rund 35 Liter pro Monat und kommt so für drei Monate auf eine steuerliche Entlastung von 36,92
Euro.

3:
Durch die Senkung der Energiesteuer auf Kraftstoffe wird die Familie weiter steuerlich entlastet: Die gemeinsame
Fahrt zur Arbeit, tägliche Erledigungen und kleinere Ausflüge mit dem Auto ergeben rund 2500 Kilometer im Monat.

Die steuerliche Entlastung beträgt samt Mehrwertsteuer rund 70 Euro pro Monat, für die drei Sommermonate also
210 Euro.

4:
Für Fahrten zu Kunden, ihrem Büro und Erledigungen im Alltag ist Sophia viel im Auto unterwegs. Im Monat kommt
gl“ auf rund 4.000 Kilometer und tankt dafür rund 320 Liter Diesel, Die befristete Senkung der Energiesteuer für
‚raftstoffe entlastet sie damit steuerlich für drei Monate um insgesamt rund 160 Euro [160,39 €].

Viele Grüße
Karola Brandenburger-Rüdisühli

Digitale Kommunikation & Soziale Medien

ReferatLB2
Durchwahl: 4713
487

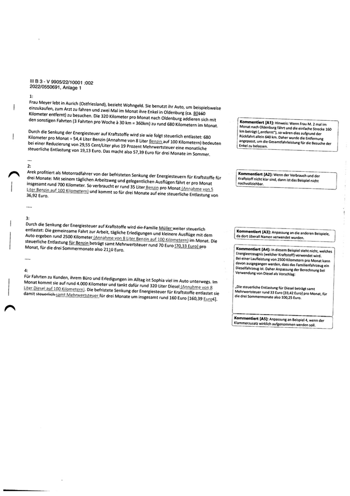
Il B3- V 9905/22/10001 :002
2022/0550691, Anlage 1

1:

Frau Meyer lebt in Aurich (Ostfriesland), bezieht Wohngeld. Sie benutzt ihr Auto, um beispielsweise
einzukaufen, zum Arzt zu fahren und zwei Mal im Monat ihre Enkel in Oldenburg (ca. 80160
Kilometer entfernt) zu besuchen. Die 320 Kilometer pro Monat nach Oldenburg addieren sich mit
den sonstigen Fahrten (3 Fahrten pro Woche 4 30 km = 360km) zu rund 680 Kilometern im Monat.

Durch die Senkung der Energiesteuer auf Kraftstoffe wird sie wie folgt steuerlich entlastet: 680
Kilometer pro Monat = 54,4 Liter Benzin (Annahme von 8 Liter Benzin auf 100 Kilometern) bedeuten
bei einer Reduzierung von 29,55 Cent/Liter plus 19 Prozent Mehrwertsteuer eine monatliche
steuerliche Entlastung von 19,13 Euro. Das macht also 57,39 Euro für drei Monate im Sommer.

2:

Arek profitiert als Motorradfahrer von der befristeten Senkung der Energiesteuern für Kraftstoffe für
drei Monate: Mit seinem täglichen Arbeitsweg und gelegentlichen Ausflügen fährt er pro Monat
insgesamt rund 700 Kilometer. So verbraucht er rund 35 Liter Benzin pro Monat (Annahme von 5

Liter Benzin auf 100 Kilometern) und kommt so für drei Monate auf eine steuerliche Entlastung von

36,92 Euro.

3:

 

steuerliche Entlastung für Benzin beträgt samt Mehrwertsteuer rund 70 Euro [70,33 Euro] pro
Monat, für die drei Sommermonate also 2118 Euro.

 

4:
Für Fahrten zu Kunden, ihrem Büro und Erledigungen im Alltag ist Sophia viel im Auto unterwegs. Im
Monat kommt sie auf rund 4.000 Kilometer und tankt dafür rund 320 Liter Diesel (Annahme von 8

Liter Diesel auf 100 Kilometern). Die befristete Senkung der Energiesteuer für Kraftstoffe entlastet sie
damit steuerkeh-samt Mehrwertsteuer für drei Monate um insgesamt rund 160 Euro [160,39 Eurog].

 

Kommentiert [A1]: Hinweis: Wenn Frau M. 2 mal im
Monat nach Oldenburg fährt und die einfache Strecke 160
km beträgt („entfernt“), so wären dies aufgrund der
Rückfahrt allein 640 km. Daher wurde die Entfernung
angepasst, um die Gesamtfahrleistung für die Besuche der
Enkel zu belassen.

 

 

Kommentiert [A2]: Wenn der Verbrauch und der
Kraftstoff nicht klar sind, dann ist das Beispiel nicht
nachvollziehbar.

 

 

Kommentiert [A3}: Anpassung an die anderen Beispiele,
da dort überall Namen verwendet wurden.

 

 

Kommentiert [A4]: In diesem Beispiel steht nicht, welches |
Energieerzeugnis (welcher Kraftstoff) verwendet wird,

Bei einer Laufleistung von 2500 Kilometern pro Monat kann
davon ausgegangen werden, dass das Familienfahrzeug ein
Dieselfahrzeug ist. Daher Anpassung der Berechnung bei
Verwendung von Diesel als Vorschlag:

„Die steuerliche Entlastung für Diesel beträgt samt
Mehrwertsteuer rund 33 Euro [33,42 Euro] pro Monat, für
die drei Sommermonate also 100,25 Euro.

 

Kommentiert [A5]: Anpassung an Beispiel 4, wenn der
\_Klammerzusatz wirklich aufgenommen werden soll.
488

Zur nächsten Seite