amtsblatt-21-2018

Dieses Dokument ist Teil der Anfrage „Amtsblätter bis 2018

/ 104
PDF herunterladen
Amtsblatt der Bundesnetzagentur
                                für Elektrizität, Gas, Telekommunikation, Post und Eisenbahnen
21 2018                    – Mitteilungen, Telekommunikation, Teil A, Mitteilungen der Bundesnetzagentur –   2477


         men, beantragen wir htp nach dem Vergleichsmarkt und Günstigkeitsprinzip für eine vergleichbare
         Leistung dieses höhere Entgelt gleichfalls zu genehmigen.

     5. Die unter 1. und 2. beantragten Entgelte gemäß § 130 TKG in Verbindung mit § 31 TKG im Wege einer
        vorläufigen Anordnung zu genehmigen.

     6. Die Genehmigung nach Ziffern 1 und 2 unter dem Vorbehalt des Widerrufs für den Fall zu erteilen,
        dass in Folge von Rechtsschutzverfahren der Telekom Deutschland GmbH dieser mit Wirkung ab dem
        01.01.2019 höhere als die im Verfahren BK3c-18-018 und BK3-18-021 genehmigten Entgelte vollzieh-
        bar genehmigt werden sollten.

Eine gemeinsame öffentliche mündliche Verhandlung vor der Beschlusskammer 3 findet statt am Freitag,
16.11.2018, 10:00 Uhr, im Dienstgebäude der Bundesnetzagentur, Tulpenfeld 4, 53113 Bonn, in Raum 0.10.



BK3d-18/077




Mitteilung Nr. 345/2018


TKG § 36 Abs. 2 TKG i. V. m. § 5 S.1;

Antrag der First Telecom GmbH auf Genehmigung der Entgelte für die Festnetzterminierung in das Netz
der Antragstellerin sowie für Infrastrukturleistungen

Die First Telecom GmbH hat am 25.10.2018 den o.g. Entgeltantrag gestellt. Sie beantragt:

     1. die in Anlage 3 (Preisliste) aufgeführten Entgelte ab dem 01.01.2019 unter Zugrundelegung der in An-
        lage 4 (Einzugsbereiche) dargestellten Netzstruktur der Antragstellerin technologiekonform zu geneh-
        migen, soweit sie einer Genehmigungspflicht unterliegen.

                                        Peak-Tarif                           Off-peak-Tarif
                   TZI            0,0034 EUR/Minute                      0,0034 EUR/Minute

     2. als vorläufige Sicherungsmaßnahme zur Genehmigung im Rahmen des Entgeltverfahrens im Wege
        der vorläufigen Anordnung gemäß § 130 TKG in Verbindung mit § 31 TKG für die Terminierungsleis-
        tung ab dem 01.01.2019 die Regulierungsbedürftigkeit für Terminierungsentgelte für den Markt gemäß
        der beiliegenden Anlage 3 (Preisliste) zu genehmigen, sofern eine Entscheidung in der Hauptsache
        nicht vor dem 01.01.2019 ergeht.




Bonn, 7. November 2018
77

Amtsblatt der Bundesnetzagentur
                               für Elektrizität, Gas, Telekommunikation, Post und Eisenbahnen
2478                      – Mitteilungen, Telekommunikation, Teil A, Mitteilungen der Bundesnetzagentur –   21 2018


    3. die Entgelte für die Intrabuilding- und Kollokationsleistungen sowie Zusammenschaltungs- und Konfi-
       gurationsmaßnahmen, ab dem 01.01.2019 gemäß Anlage 9 zu diesem Antrag zu genehmigen.

          Position                                 Leistung                                           Entgelt
         1            Entgelte für Intra-Building-Abschnitte
         1.1          Einmaliges Bereitstellungsentgelte je Intra-Buiding-                           535,89 €
                      Abschnitt 2 MBit/s
         1.2          Jährliches Überlassungsentgelt je Intra-Buiding-Abschnitt 2                   1.374,02 €
                      MBit/s bei einer Mindestüberlassungsdauer von 1 Jahr
         2.           Entgelt für Zentrale Zeichengabekanäle
         2.1          Jährliches Überlassungsentgelte für den zentralen                                430,84 €
                      Zeichengabekanal bei einer Mindestüberlassungsdauer
                      von 1 Jahr

    4. als vorläufige Sicherungsmaßnahme im Wege der vorläufigen Anordnung die Entgelte für die Intrabuil-
       ding- und Kollokationsleistungen sowie Zusammenschaltungs- und Konfigurationsmaßnahmen, ab
       dem 01.01.2019 gemäß Anlage 9 zu diesem Antrag zu genehmigen, sofern eine Entscheidung in der
       Hauptsache nicht vor dem 01.01.2019 ergeht.

    5. hilfsweise die Entgelte gem. Ziffern 1.-4. jeweils in gleicher Höhe und in gleichem Umfang zu geneh-
       migen, wie es für die Telekom Deutschland GmbH in demselben Zeitraum genehmigt wird, welcher
       diesem Antrag zugrunde liegt (Vergleichsmarktprinzip, ab dem 01.01.2019).

    6. nach dem Vergleichsmarkt und Günstigkeitsprinzip ein höheres Entgelt als das für die Telekom
       Deutschland GmbH bewilligte Entgelt zu genehmigen, sofern für einen alternativen Teilnehmernetzbe-
       treiber ein Entgelt genehmigt wird, welches höher liegt, als das Entgelt welches für die Telekom
       Deutschland genehmigt wurde und sofern diesem höheren Entgelt eine vergleichbare Leistung zugrun-
       de liegt.

       Sofern die Beschränkung für erforderlich gehalten wird, ist klarstellend zu ergänzen, dass die Geneh-
       migung gem. Ziffer 2 sich im Wege der vorläufigen Anordnung ausschließlich auf einen netzweiten
       Einzugsbereich bezieht.

Eine gemeinsame öffentliche mündliche Verhandlung vor der Beschlusskammer 3 findet statt am Freitag,
16.11.2018, 10:00 Uhr, im Dienstgebäude der Bundesnetzagentur, Tulpenfeld 4, 53113 Bonn, in Raum 0.10.



BK3d-18/078




                                                                                                        Bonn, 7. November 2018
78

Amtsblatt der Bundesnetzagentur
                                   für Elektrizität, Gas, Telekommunikation, Post und Eisenbahnen
21 2018                       – Mitteilungen, Telekommunikation, Teil A, Mitteilungen der Bundesnetzagentur –         2479


Mitteilung Nr. 346/2018


TKG § 36 Abs. 2 TKG i. V. m. § 5 S.1;

Antrag der First Communication GmbH auf Genehmigung der Entgelte für die Festnetzterminierung in
das Netz der Antragstellerin sowie für Infrastrukturleistungen

Die First Communication GmbH hat am 25.10.2018 den o.g. Entgeltantrag gestellt. Sie beantragt:

     1. die in Anlage 3 (Preisliste) aufgeführten Entgelte ab dem 01.01.2019 unter Zugrundelegung der in An-
        lage 4 (Einzugsbereiche) dargestellten Netzstruktur der Antragstellerin technologiekonform zu geneh-
        migen, soweit sie einer Genehmigungspflicht unterliegen.

                                           Peak-Tarif                           Off-peak-Tarif
                   TZI               0,0034 EUR/Minute                      0,0034 EUR/Minute

     2. als vorläufige Sicherungsmaßnahme zur Genehmigung im Rahmen des Entgeltverfahrens im Wege der
        vorläufigen Anordnung gemäß § 130 TKG in Verbindung mit § 31 TKG für die Terminierungsleistung ab
        dem 01.01.2019 die Regulierungsbedürftigkeit für Terminierungsentgelte für den Markt gemäß der beilie-
        genden Anlage 3 (Preisliste) zu genehmigen, sofern eine Entscheidung in der Hauptsache nicht vor dem
        01.01.2019 ergeht.

     3. die Entgelte für die Intrabuilding- und Kollokationsleistungen sowie Zusammenschaltungs- und Konfigu-
        rationsmaßnahmen, ab dem 01.01.2019 gemäß Anlage 9 zu diesem Antrag zu genehmigen.

            Position                                   Leistung                                           Entgelt
           1              Entgelte für Intra-Building-Abschnitte
           1.1            Einmaliges Bereitstellungsentgelte je Intra-Buiding-                            535,89 €
                          Abschnitt 2 MBit/s
           1.2            Jährliches Überlassungsentgelt je Intra-Buiding-Abschnitt 2                    1.374,02 €
                          MBit/s bei einer Mindestüberlassungsdauer von 1 Jahr
           2.             Entgelt für Zentrale Zeichengabekanäle
           2.1            Jährliches Überlassungsentgelte für den zentralen                                430,84 €
                          Zeichengabekanal bei einer Mindestüberlassungsdauer
                          von 1 Jahr

     4. als vorläufige Sicherungsmaßnahme im Wege der vorläufigen Anordnung die Entgelte für die Intrabuil-
        ding- und Kollokationsleistungen sowie Zusammenschaltungs- und Konfigurationsmaßnahmen, ab dem
        01.01.2019 gemäß Anlage 9 zu diesem Antrag zu genehmigen, sofern eine Entscheidung in der Haupt-
        sache nicht vor dem 01.01.2019 ergeht.

     5. hilfsweise die Entgelte gem. Ziffern 1.-4. jeweils in gleicher Höhe und in gleichem Umfang zu genehmi-
        gen, wie es für die Telekom Deutschland GmbH in demselben Zeitraum genehmigt wird, welcher diesem
        Antrag zugrunde liegt (Vergleichsmarktprinzip, ab dem 01.01.2019).

     6. nach dem Vergleichsmarkt und Günstigkeitsprinzip ein höheres Entgelt als das für die Telekom
        Deutschland GmbH bewilligte Entgelt zu genehmigen, sofern für einen alternativen Teilnehmernetzbe-
        treiber ein Entgelt genehmigt wird, welches höher liegt, als das Entgelt welches für die Telekom
        Deutschland genehmigt wurde und sofern diesem höheren Entgelt eine vergleichbare Leistung zugrun-
        de liegt.




Bonn, 7. November 2018
79

Amtsblatt der Bundesnetzagentur
                              für Elektrizität, Gas, Telekommunikation, Post und Eisenbahnen
2480                     – Mitteilungen, Telekommunikation, Teil A, Mitteilungen der Bundesnetzagentur –   21 2018


       Sofern die Beschränkung für erforderlich gehalten wird, ist klarstellend zu ergänzen, dass die Geneh-
       migung gem. Ziffer 2 sich im Wege der vorläufigen Anordnung ausschließlich auf einen netzweiten
       Einzugsbereich bezieht.

Eine gemeinsame öffentliche mündliche Verhandlung vor der Beschlusskammer 3 findet statt am Freitag,
16.11.2018, 10:00 Uhr, im Dienstgebäude der Bundesnetzagentur, Tulpenfeld 4, 53113 Bonn, in Raum 0.10.



BK3d-18/079




                                                                                                       Bonn, 7. November 2018
80

Amtsblatt der Bundesnetzagentur
                                        für Elektrizität, Gas, Telekommunikation, Post und Eisenbahnen
21 2018                           – Mitteilungen, Telekommunikation, Teil A, Mitteilungen der Bundesnetzagentur –   2481


Mitteilung Nr. 347/2018

TKG § 36 Abs. 2 TKG i. V. m. § 5 S.1;

Antrag der Multiconnect GmbH auf Genehmigung der Entgelte
für die Festnetzterminierung in das Netz der Antragstellerin

Die Multiconnect GmbH hat am 25.10.2018 den o.g. Entgeltantrag
gestellt. Sie beantragt:

     1.   Entgeltantrag

          Die Multiconnect beantragt die Genehmigung von Termi-
          nierungsleistungen in ihr Festnetz für die Zeit vom
          01.01.2019 bis zum 31.12.2020 wie folgt:

          Leistung Multiconnect-N-B.1 (NGN technologieneutral)

          Die Entgelthöhe entspricht dem Entgelt, das die Be-
          schlusskammer der Telekom Deutschland GmbH für die
          Leistung Telekom-N-B.1 im Verfahren BK3c-18/018 ge-
          nehmigt (bzw. das von der Telekom Deutschland GmbH
          hierfür beantragt wurde).

     2.   Antrag auf Anwendung des Günstigkeitsprinzips

          Werden in einem Parallelverfahren einem Entgeltantrag-
          steller höhere Entgelte für die Leistungen, die die Multi-
          connect unter Ziffer 1 beantragt, im Vergleich zur Tele-
          kom Deutschland GmbH genehmigt, beantragt die Multi-
          connect, ihr das höhere Entgelt ebenso zu genehmigen.

     3.   Antrag auf vorläufige Genehmigung

          Die Multiconnect beantragt die vorläufige Genehmigung
          der Entgelte unter Ziffer 1 ab dem 01.01.2019, falls die-
          ser Entgeltantrag nicht bis zum 31.12.2018 genehmigt
          wird.

Eine gemeinsame öffentliche mündliche Verhandlung vor der Be-
schlusskammer 3 findet statt am Freitag, 16.11.2018, 10:00 Uhr,
im Dienstgebäude der Bundesnetzagentur, Tulpenfeld 4, 53113
Bonn, in Raum 0.10.



BK3d-18/080




Bonn, 7. November 2018
81

Amtsblatt der Bundesnetzagentur
                                 für Elektrizität, Gas, Telekommunikation, Post und Eisenbahnen
2482                        – Mitteilungen, Telekommunikation, Teil A, Mitteilungen der Bundesnetzagentur –   21 2018


Mitteilung Nr.348/2018


TKG § 36 Abs. 2 TKG i. V. m. § 5 S.1;

Antrag der BT (Germany) GmbH & Co. oHG auf Genehmigung der Entgelte für die Festnetzterminierung
in das Netz der Antragstellerin sowie für Infrastrukturleistungen

Die BT (Germany) GmbH & Co. oHG hat am 25.10.2018 den o.g. Entgeltantrag gestellt. Sie beantragt:

     1. die Entgelte für Zusammenschaltungsleistungen im Netz der Antragstellerin ab dem 01.01.2019 wie
        folgt zu genehmigen:

         a) BT-B.1 (PSTN technologiekonform)

             Für die Erbringung von Terminierungsleistungen auf der untersten Netzkopplungsebene gemäß
             Anlage 2 (Leistungsbeschreibung PSTN-Zusammenschaltung) werden die in dem Verfahren BK3-
             18/018 für die Leistung Telekom-B.1 beantragten Entgelte in Höhe von 0,0034 €/Minute genehmigt
             (Peak- und Off Peak-Tarif).

         b) für die Leistung BT-N-B.1 (NGN technologiekonform)

             Für die Terminierung von Verbindungen gemäß Anlage 2 (Leistungsbeschreibung IP-Zusammen-
             schaltung) werden die in dem Verfahren BK3-18/018 von der Telekom Deutschland GmbH für die
             Leistung Telekom-N-B.1 beantragten Entgelte in Höhe von 0,0034 €/Minute genehmigt (Peak- und
             Off Peak-Tarif).

         c) für die Leistung BT-B.32 (PSTN technologiekonform)

             Für die Terminierung von Verbindungen auf der untersten Netzkopplungsebene gemäß Anlage 2
             (Leistungsbeschreibung PSTN-Zusammenschaltung) werden die in dem Verfahren BK3-18/018 für
             die Leistung Telekom-B.32 beantragten Entgelte in Höhe von 0,0034 €/Minute genehmigt (Peak-
             und Off Peak-Tarif).

             Hilfsweise zu 1.a) bis 1.c) wird beantragt, diejenigen Entgelte zu genehmigen, die in dem Verfahren
             BK3-18/018 genehmigt werden.

     2. Infrastrukturleistungen im Zusammenhang mit der Terminierung

         Es wird beantragt, die Entgelte für Infrastrukturleistungen der Antragstellerin im Zusammenhang mit
         der Terminierung ab dem 01.01.2019 wie folgt zu genehmigen:

         Es werden ab dem 01.01.2019 diejenigen Entgelte genehmigt, die von der Telekom Deutschland
         GmbH für die entsprechenden Leistungen im Verfahren BK3-18/021 beantragt wurden, nämlich:

          Einmaliges Bereitstellungsentgelt je 2 Mbit/s-Intra-Building-Abschnitt                                610,62 €
          Jährliches Überlassungsentgelt je 2 Mbit/s-Intra-Building-Abschnitt bei einer                       1.714,95 €
          Mindestüberlassungsdauer von einem Jahr
          Jährliches Überlassungsentgelt für Zentralen Zeichengabekanal bei einer                               476,57 €
          Mindestüberlassungsdauer von einem Jahr

         Hilfsweise wird beantragt, diejenigen Entgelte zu genehmigen, die für die vorgenannten Leistungen in
         dem Verfahren BK3-18/021 genehmigt werden.

     3. Anpassung der unter 1. und 2. beantragten Entgelte nach dem Vergleichsmarkt- und Günstigkeitsprin-
        zip



                                                                                                          Bonn, 7. November 2018
82

Amtsblatt der Bundesnetzagentur
                                       für Elektrizität, Gas, Telekommunikation, Post und Eisenbahnen
21 2018                         – Mitteilungen, Telekommunikation, Teil A, Mitteilungen der Bundesnetzagentur –   2483


         Für den Fall, dass ein anderer Teilnehmernetzbetreiber für vergleichbare Leistungen höhere Entgelte
         genehmigt bekommt, wird beantragt, der Antragstellerin nach dem Vergleichsmarkt- und Günstigkeits-
         prinzip ebenfalls diese höheren Entgelte zu genehmigen.

     4. Vorläufige Entgeltgenehmigung

         Für den Fall, dass bis zum 31.12.2018 keine endgültigen Entgenehmigungen ergehen, wird beantragt,
         die unter 1. und 2. beantragten Entgelte ab dem 01.01.2019 vorläufig zu genehmigen oder die aktuell
         geltenden Entgeltgenehmigungen für die verfahrensgegenständlichen Leistungen bis zur Vollziehbar-
         keit jeweils neuer Entgeltgenehmigungen vorläufig zu verlängern.

     5. Widerrufsvorbehalt

         Es wird beantragt, die Genehmigung nach Ziff. 1 bis Ziff. 3 unter dem Vorbehalt des Widerrufs für den
         Fall zu erteilen, dass infolge von Rechtsschutzverfahren der Telekom Deutschland GmbH dieser mit
         Wirkung ab dem 01.01.2019 höhere als die in den Verfahren BK3-18/018 und BK3 18/021 genehmig-
         ten Entgelte vollziehbar genehmigt werden sollten.

Eine gemeinsame öffentliche mündliche Verhandlung vor der Beschlusskammer 3 findet statt am Freitag,
16.11.2018, 10:00 Uhr, im Dienstgebäude der Bundesnetzagentur, Tulpenfeld 4, 53113 Bonn, in Raum 0.10.



BK3d-18/081




Mitteilung Nr. 349/2018


TKG § 36 Abs. 2 i. V. m. § 5 S.1 TKG;

Antrag der G-FIT Gesellschaft für innovative Telekommunikationsdienste mbH & Co. KG auf Genehmi-
gung der Entgelte für die Festnetzterminierung in das Netz der Antragstellerin sowie für Infrastruktur-
leistungen

Die G-FIT Gesellschaft für innovative Telekommunikationsdienste mbH & Co. KG hat am 26.10.2018 den o.g.
Entgeltantrag gestellt. Sie beantragt:

     die folgenden Entgelte ab dem 01.01.2019 wie folgt zu genehmigen:

     1. Für die Terminierungsleistung „G-FIT-B.1“ (PSTN technologiekonform) gemäß beiliegendem Anhang,
        Anlage 2 Teil I:

                          Peak-Tarif                           Off-Peak-Tarif
                      0,0034 €/Min                              0,0034 €/Min

         Hilfsweise für die Terminierungsleistung „G-FIT-B.1“, (PSTN technologie-konform) gemäß beiliegen-
         dem Anhang, Anlage 2 Teil I, das Entgelt in gleicher Höhe zu genehmigen, wie es für die Telekom
         Deutschland GmbH im Verfahren BK 3-18/018 genehmigt wird.




Bonn, 7. November 2018
83

Amtsblatt der Bundesnetzagentur
                                   für Elektrizität, Gas, Telekommunikation, Post und Eisenbahnen
2484                       – Mitteilungen, Telekommunikation, Teil A, Mitteilungen der Bundesnetzagentur –   21 2018


    2. Für die Terminierungsleistung „G-FIT-N-B.1“ (NGN technologiekonform) gemäß beiliegendem Anhang,
       Anlage 2 Teil II:

                     Peak-Tarif                           Off-Peak-Tarif
                    0,0034 €/Min                           0,0034 €/Min

       Hilfsweise für die Terminierungsleistung „G-FIT-N-B.1“ (NGN technologie-konform) gemäß beiliegen-
       dem Anhang, Anlage 2 Teil II, das Entgelt in gleicher Höhe zu genehmigen, wie es für die Telekom
       Deutschland GmbH im Verfahren BK 3-18/018 genehmigt wird.

    3. Für Infrastrukturleistungen in Zusammenhang mit der Terminierungsleistung gemäß beiliegendem An-
       hang ab dem 01.01.2019:

         Position                                  Leistung                                            Entgelt
         1            Entgelte für Intra-Building-Abschnitte
                      Einmaliges Bereitstellungsentgelte je Intra-Building-
         1.1          Abschnitt 2 MBit/s                                                               610,62 €
                      Jährliches Überlassungsentgelt je Intra-Building-Abschnitt
         1.2          2 MBit/s bei einer Mindestüberlassungsdauer von 1 Jahr                         1.714,95 €
         2.           Entgelt für Zentrale Zeichengabekanäle
                      Jährliches Überlassungsentgelte für den zentralen
                      Zeichengabekanal bei einer Mindestüberlassungdauer von
         2.1          1 Jahr                                                                           476,57 €

       Hilfsweise die Entgelte für die Infrastrukturleistung in Zusammenhang mit der Terminierungsleistung
       gemäß beiliegendem Anhang ab dem 01.01.2019 das Entgelt in gleicher Höhe zu genehmigen, wie es
       für die Telekom Deutschland GmbH im Verfahren BK 3-18/021 genehmigt wird.

    4. Sollte ein anderer Teilnehmernetzbetreiber für die unter den Ziffern 1. und 2 beantragten Entgelte ein
       höheres Entgelt als das für die Telekom Deutschland GmbH genehmigte Entgelt genehmigt bekom-
       men, beantragen wir G-FIT nach dem Vergleichsmarkt und Günstigkeitsprinzip für eine vergleichbare
       Leistung dieses höhere Entgelt gleichfalls zu genehmigen.

    5. Die unter 1. und 2. beantragten Entgelte gemäß § 130 TKG in Verbindung mit § 31 TKG im Wege einer
       vorläufigen Anordnung zu genehmigen.

       Ergänzend zu unserem Entgeltgenehmigungsantrag vom 26.10.2018, beantragen wir, die Genehmi-
       gung nach Ziffern I. unter dem Vorbehalt des Widerrufs für den Fall zu erteilen, dass in Folge von
       Rechtsschutzverfahren der Telekom Deutschland GmbH dieser mit Wirkung ab dem 01.01.2019 höhe-
       re als die im Verfahren BK3c-18-018 und BK3-18-021 genehmigten Entgelte vollziehbar genehmigt
       werden sollten.

Eine gemeinsame öffentliche mündliche Verhandlung vor der Beschlusskammer 3 findet statt am Freitag,
16.11.2018, 10:00 Uhr, im Dienstgebäude der Bundesnetzagentur, Tulpenfeld 4, 53113 Bonn, in Raum 0.10.



BK3d-18/082




                                                                                                         Bonn, 7. November 2018
84

Amtsblatt der Bundesnetzagentur
                               für Elektrizität, Gas, Telekommunikation, Post und Eisenbahnen
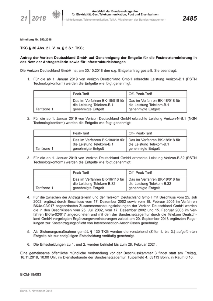
21 2018                   – Mitteilungen, Telekommunikation, Teil A, Mitteilungen der Bundesnetzagentur –    2485


Mitteilung Nr. 350/2018


TKG § 36 Abs. 2 i. V. m. § 5 S.1 TKG;

Antrag der Verizon Deutschland GmbH auf Genehmigung der Entgelte für die Festnetzterminierung in
das Netz der Antragstellerin sowie für Infrastrukturleistungen

Die Verizon Deutschland GmbH hat am 30.10.2018 den o.g. Entgeltantrag gestellt. Sie beantragt:

     1. Für die ab 1. Januar 2019 von Verizon Deutschland GmbH erbrachte Leistung Verizon-B.1 (PSTN
        Technologikonform) werden die Entgelte wie folgt genehmigt:

                                Peak-Tarif                                  Off- Peak-Tarif
                                Das im Verfahren BK-18/018 für              Das im Verfahren BK-18/018 für
                                die Leistung Telekom-B.1                    die Leistung Telekom-B.1
           Tarifzone 1          genehmigte Entgelt                          genehmigte Entgelt

     2. Für die ab 1. Januar 2019 von Verizon Deutschland GmbH erbrachte Leistung Verizon-N-B.1 (NGN
        Technologikonform) werden die Entgelte wie folgt genehmigt:

                                Peak-Tarif                                  Off- Peak-Tarif
                                Das im Verfahren BK-18/018 für              Das im Verfahren BK-18/018 für
                                die Leistung Telekom-B.1                    die Leistung Telekom-B.1
           Tarifzone 1          genehmigte Entgelt                          genehmigte Entgelt

     3. Für die ab 1. Januar 2019 von Verizon Deutschland GmbH erbrachte Leistung Verizon-B.32 (PSTN
        Technologikonform) werden die Entgelte wie folgt genehmigt:

                                Peak-Tarif                                  Off- Peak-Tarif
                                Das im Verfahren BK-16/110 für              Das im Verfahren BK-18/018 für
                                die Leistung Telekom-B.32                   die Leistung Telekom-B.32
           Tarifzone 1          genehmigte Entgelt                          genehmigte Entgelt

     4. Für die zwischen der Antragstellerin und der Telekom Deutschland GmbH mit Beschluss vom 25. Juli
        2002, ergänzt durch Beschluss vom 17. Dezember 2002 sowie vom 15. Februar 2005 im Verfahren
        BK4e-02/017 angeordneten Zusammenschaltungsleistungen der Verizon Deutschland GmbH werden
        die in den Beschlüssen vom 25. Juli 2002, vom 17. Dezember 2002 und 15. Februar 2005 im Ver-
        fahren BK4e-02/017 angeordneten und mit den der Bundesnetzagentur durch die Telekom Deutsch-
        land GmbH vorgelegten Ergänzungsvereinbarungen zuletzt am 20. September 2018 ergänzten Rege-
        lungen zur Kostentragungspflicht von lnterconnection-Anschlüssen genehmigt.

     5. Als Sicherungsmaßnahme gemäß § 130 TKG werden die vorstehend (Ziffer 1. bis 3.) aufgeführten
        Entgelte bis zur endgültigen Entscheidung vorläufig genehmigt.

     6. Die Entscheidungen zu 1. und 2. werden befristet bis zum 28. Februar 2021.

Eine gemeinsame öffentliche mündliche Verhandlung vor der Beschlusskammer 3 findet statt am Freitag,
16.11.2018, 10:00 Uhr, im Dienstgebäude der Bundesnetzagentur, Tulpenfeld 4, 53113 Bonn, in Raum 0.10.



BK3d-18/083



Bonn, 7. November 2018
85

Amtsblatt der Bundesnetzagentur
                             für Elektrizität, Gas, Telekommunikation, Post und Eisenbahnen
2486                           – Mitteilungen, Post, Teil B, Mitteilungen der Diensteanbieter –       21 2018




Mitteilungen

Post

Teil B
Mitteilungen der Diensteanbieter


Veröffentlichungshinweis

Die Bundesnetzagentur ist aufgrund des § 305a BGB verpflichtet, Diensteanbietern die Veröffentlichung
von Allgemeinen Geschäftsbedingungen in ihrem Amtsblatt zu ermöglichen. Das Amtsblatt dient inso-
weit nur als Veröffentlichungsmedium. Die Mitteilungen der Diensteanbieter unterliegen weder der Kon-
trolle noch der Genehmigung der Bundesnetzagentur. Für den Inhalt der Mitteilungen sind allein die
Diensteanbieter verantwortlich.


                                                                                                  Bonn, 7. November 2018
86

Zur nächsten Seite