amtsblatt-23-2018

Dieses Dokument ist Teil der Anfrage „Amtsblätter bis 2018

/ 224
PDF herunterladen
Amtsblatt der Bundesnetzagentur
                     für Elektrizität, Gas, Telekommunikation, Post und Eisenbahnen
2652                               – Regulierung, Telekommunikation –                     23 2018


       Im Fall eines vorgetragenen Verstoßes gegen das Verhandlungsgebot kann die Bun-
       desnetzagentur das betroffene Unternehmen zunächst zur Abhilfe auffordern. Hier-
       nach kann sie erforderlichenfalls Verstöße gegen das Verhandlungsgebot unter Fest-
       setzung eines Zwangsgelds untersagen (§ 126 Abs. 1, Abs. 2, Abs. 5 TKG). Ange-
       sichts denkbarer Diskriminierungen, die ein schnelles Eingreifen erfordern können,
       kann die Bundesnetzagentur im Einzelfall abweichend von diesem Verfahren kurzfris-
       tig vorläufige Maßnahmen ergreifen (§ 126 Abs. 4 TKG).
       Überdies besteht die Möglichkeit der Ahndung von Verstößen als Ordnungswidrigkei-
       ten nach § 149 TKG. Zu verhängende Geldbußen sollen dabei gemäß § 149 Abs. 2
       S. 2 und 3 TKG den durch einen Verstoß gegen das Verhandlungsgebot erlangten
       wirtschaftlichen Vorteil übersteigen.
       Bundesweites Roaming für Neueinsteiger
       Mit Blick auf den möglichen Markteintritt von Neueinsteigern infolge dieses Verfah-
       rens ist das Verhandlungsgebot über (bundesweites) Roaming nach § 60 Abs. 2
       S. 1 TKG geeignet, eine effiziente und störungsfreie Frequenznutzung sowie die Rea-
       lisierung der weiteren in § 2 Abs. 2 TKG genannten Regulierungsziele zu fördern:
       Ein Verhandlungsgebot bestehender Mobilfunknetzbetreiber mit Neueinsteigern ist
       zur Sicherstellung eines chancengleichen Wettbewerbs und der Förderung nachhaltig
       wettbewerbsorientierter Märkte der Telekommunikation nach § 2 Abs. 2 Nr. 2 TKG
       geeignet. Aus Sicht der Kammer ist (bundesweites) Roaming ein geeignetes Instru-
       ment, um Neueinsteigern den Marktzutritt im Bereich knapper Frequenzressourcen
       zu erleichtern. Ein Neueinsteiger kann ein bundesweites Netz nicht kurzfristig son-
       dern nur sukzessive aufbauen. Wie auch im Rahmen der Kommentierung bestätigt,
       dürfte ein Neueinsteiger mit Blick auf ein bundesweites Geschäftsmodell aber darauf
       angewiesen sein, seinen Kunden von Anfang an eine möglichst bundesweite Mobil-
       funkabdeckung bereitzustellen. Durch das Verhandlungsgebot werden die Marktein-
       trittshürden in den bundesweiten Mobilfunkmarkt gesenkt. Dies könnte die Anbieter-
       vielfalt im Mobilfunk erhöhen und den Wettbewerb fördern. Die Kammer hat hierbei
       auch berücksichtigt, dass nach der Fusion von Telefónica und E-Plus nur noch drei
       bundesweite Mobilfunknetzbetreiber tätig sind.
       Soweit in der Kommentierung über Neueinsteiger hinaus ein bundesweites Roaming
       für regionale Zuteilungsinhaber gefordert wurde, weist die Kammer auf Folgendes
       hin: Frequenzen im Bereich 3.700 MHz bis 3.800 MHz werden in einem Antragsver-
       fahren vergeben (Entwürfe einsehbar auf:
       www.bundesnetzagentur.de/lokalesbreitband). In diesem Verfahren wurde bereits da-
       rauf hingewiesen, dass nicht vorgesehen ist, zugunsten lokaler oder regionaler Zutei-
       lungsinhaber im Bereich 3.700 MHz bis 3.800 MHz ein National Roaming auf beste-
       henden bundesweiten Mobilfunknetzen anzuordnen. Für die Realisierung bundeswei-
       ter Geschäftsmodelle werden Frequenzen für bundesweite Zuteilungen aufgrund ei-
       nes wettbewerblichen Auswahlverfahrens bereitgestellt. Demgegenüber könnte die
       Realisierung bundesweiter Geschäftsmodelle auf Grundlage lokaler oder regionaler
       Zuteilungen Wettbewerbsverzerrungen verursachen, da diese das wettbewerbliche
       Auswahlverfahren umgehen würden.
       Das Verhandlungsgebot ist geeignet zur Förderung des Ausbaus hochleistungsfähi-
       ger öffentlicher Telekommunikationsnetze der nächsten Generation (§ 2 Abs. 2
       Nr. 5 TKG). Mit (bundesweitem) Roaming kann ein Neueinsteiger in die Lage versetzt
       werden, während seines sukzessiven bundesweiten Netzaufbaus bereits frühzeitig
       bundesweit Mobilfunkdienste anzubieten. Hierdurch könnte langfristig eine weitere
       hochleistungsfähige Breitbandinfrastruktur zur Verfügung stehen. Hierbei ist davon
       auszugehen, dass ein Neueinsteiger für den Netzaufbau neueste Funktechniken ein-
       setzen wird.
       Mit Blick auf die Förderung der o. g. Regulierungsziele nach § 2 Abs. 2 Nr. 2 und
       5 TKG werden auch die Interessen der Verbraucher nach § 2 Abs. 2 Nr. 1 TKG be-

                                              101


                                                                                      Bonn, 5. Dezember 2018
116

Amtsblatt der Bundesnetzagentur
                                  für Elektrizität, Gas, Telekommunikation, Post und Eisenbahnen
23 2018                                         – Regulierung, Telekommunikation –                        2653


                 rücksichtigt. Ein weiterer Netzbetreiber könnte dazu beitragen, Verbrauchern zusätz-
                 liche innovative Dienste zur Verfügung zu stellen. Mögliche Neueinsteiger könnten als
                 zusätzliche Anbieter zum Infrastruktur- und Dienstewettbewerb beitragen, damit der
                 Verbraucher den größtmöglichen Nutzen in Bezug auf Auswahl, Preis und Qualität
                 ziehen kann.
                 Die Kammer stellt in diesem Zusammenhang klar, dass Neueinsteiger i. d. S. Unter-
                 nehmen sind, die den Markteintritt als neuer bundesweiter Mobilfunknetzbetreiber auf
                 Grundlage eigener bundesweiter Frequenzzuteilungen, die in diesem Verfahren er-
                 steigert wurden, anstreben.
                 Regionales Roaming zwischen bestehenden bundesweiten Netzbetreibern
                 Mit Blick auf Roamingvereinbarungen zwischen bestehenden bundesweiten Mobil-
                 funknetzbetreibern ist das Verhandlungsgebot über regionales Roaming nach § 60
                 Abs. 2 S. 1 TKG geeignet, eine effiziente und störungsfreie Frequenznutzung sowie
                 die Realisierung der weiteren in § 2 Abs. 2 TKG genannten Regulierungsziele zu för-
                 dern:
                 Das Verhandlungsgebot zu Kooperationen zwischen bestehenden bundesweiten
                 Mobilfunknetzbetreibern ist geeignet, die Interessen der Verbraucher nach § 2 Abs. 2
                 Nr. 1 TKG zu fördern. Regionales Roaming zwischen bestehenden Netzbetreibern
                 kann vereinbart werden, eine vorhandene Mobilfunkabdeckung insbesondere in länd-
                 lichen Gebieten zu nutzen, um die Kunden des jeweils anderen Netzbetreibers zu
                 versorgen. Hierdurch könnten Verbraucher, die bisher über ihre jeweiligen Netzbe-
                 treiber regional nicht versorgt werden, mobile Breitbanddienste nutzen.
                 Dies gilt umso mehr soweit regionales Roaming Anreize dafür setzt, einen kosteneffi-
                 zienten Ausbau von Mobilfunkinfrastrukturen in Gebieten zu fördern, die für einen
                 Netzbetreiber allein wirtschaftlich schwer zu erschließen sind. Hiermit könnten Anrei-
                 ze geschaffen werden, in Gebieten auszubauen, in denen bisher noch kein Netzbe-
                 treiber ausgebaut hat. Dies würde dazu führen, die Breitbandversorgung insbesonde-
                 re im ländlichen Raum zu verbessern und der digitalen Spaltung zwischen Stadt und
                 Land entgegenzuwirken.
                 Mit Blick hierauf ist das Verhandlungsgebot auch geeignet, die effiziente Frequenz-
                 nutzung zu fördern (§§ 52, 2 Abs. 2 Nr. 7 TKG) sowie zur Förderung des Ausbaus
                 hochleistungsfähiger öffentlicher Telekommunikationsnetze der nächsten Generation
                 (§ 2 Abs. 2 Nr. 5 TKG) beizutragen. Regionales Roaming ist ein geeignetes Instru-
                 ment, um Ausbaukosten zu senken und den Netzausbau zu fördern. Hiermit kann zu-
                 dem erreicht werden, dass die Kosten von Versorgungsauflagen gesenkt werden.
                 Das Verhandlungsgebot soll Anreiz für die bundesweiten Mobilfunknetzbetreiber sein,
                 entsprechende Kooperationen einzugehen.
                 Das Regulierungsziel der Sicherstellung eines chancengleichen Wettbewerbs und der
                 Förderung nachhaltig wettbewerbsorientierter Märkte der Telekommunikation nach
                 § 2 Abs. 2 Nr. 2 TKG steht dem Verhandlungsgebot zu regionalem Roaming nicht
                 entgegen. Kooperationen sind nur in den Grenzen des Telekommunikations- und Kar-
                 tellrechts zulässig. Sie bedürfen der Zustimmung durch die Bundesnetzagentur sowie
                 ggf. des Bundeskartellamtes. Insbesondere ist sicherzustellen, dass zugunsten des
                 Verbrauchers weiterhin ein wirksamer Infrastruktur- und Dienstewettbewerb besteht.
                 Aus Sicht der Kammer sollen die möglichen Kooperationen jedoch insbesondere die
                 Gebiete adressieren, in denen aufgrund mangelnden Netzausbaus kein wirksamer
                 Wettbewerb besteht.
                 In diesem Zusammenhang empfiehlt die Monopolkommission:
                     „Zur Förderung des Wettbewerbs auf den Mobilfunkmärkten und zur Sicherstel-
                     lung einer möglichst effizienten Frequenznutzung […]



                                                        102


Bonn, 5. Dezember 2018
117

Amtsblatt der Bundesnetzagentur
                     für Elektrizität, Gas, Telekommunikation, Post und Eisenbahnen
2654                               – Regulierung, Telekommunikation –                     23 2018


           bei der Verfolgung des Ziels einer flächendeckenden Versorgung der Bevölke-
           rung mit mobilen Breitbandzugängen sollte eine unnötige Duplizierung von Infra-
           strukturen in schwer erschließbaren Gebieten vermieden werden, indem entwe-
           der auf hohe Versorgungsauflagen zugunsten staatlicher Förderung verzichtet
           wird, oder hohe Versorgungsauflagen auf ausgewählte Frequenzblöcke be-
           schränkt werden.“
           (Monopolkommission, Sondergutachten 78, 2017, Handlungsempfehlungen,
           S. 88)
       Neben den von der Monopolkommission genannten Maßnahmen können jedoch
       auch Roamingvereinbarungen zwischen bestehenden bundesweiten Mobilfunknetz-
       betreibern dazu beitragen, eine unnötige Duplizierung von Infrastrukturen in schwer
       erschließbaren Gebieten zu vermeiden, um die Kosten des Netzaufbaus zu senken
       und damit Anreize für eine Versorgung der Verbraucher im ländlichen Raum zu ge-
       ben.
       Infrastruktur-Sharing
       Eine unnötige Duplizierung von Infrastrukturen in schwer erschließbaren Gebieten
       kann darüber hinaus durch Infrastruktur-Sharing vermieden werden.
       Mit Blick auf Vereinbarungen über Infrastruktur-Sharing ist das Verhandlungsgebot
       nach § 60 Abs. 2 S. 1 TKG geeignet, eine effiziente und störungsfreie Frequenznut-
       zung sowie die Realisierung der weiteren in § 2 Abs. 2 TKG genannten Regulie-
       rungsziele zu fördern:
       Das Verhandlungsgebot zu Kooperationen ist geeignet, die Interessen der Verbrau-
       cher nach § 2 Abs. 2 Nr. 1 TKG zu fördern. Infrastruktur-Sharing könnte Anreize dafür
       setzen, einen kosteneffizienten Ausbau von Mobilfunkinfrastrukturen in Gebieten zu
       fördern, die für einen Netzbetreiber allein wirtschaftlich schwer zu erschließen sind.
       Hiermit könnten Gebiete, in denen bisher noch kein Netzbetreiber ausgebaut hat,
       versorgt werden. Dies würde dazu führen, die Breitbandversorgung insbesondere im
       ländlichen Raum zu verbessern und der digitalen Spaltung zwischen Stadt und Land
       entgegenzuwirken.
       Mit Blick hierauf ist das Verhandlungsgebot auch geeignet zur Förderung des Aus-
       baus hochleistungsfähiger öffentlicher Telekommunikationsnetze der nächsten Gene-
       ration (§ 2 Abs. 2 Nr. 5 TKG). Infrastruktur-Sharing ist ein geeignetes Instrument, um
       Ausbaukosten zu senken und den Netzausbau zu fördern. Hiermit kann zudem er-
       reicht werden, dass die Kosten von Versorgungsauflagen gesenkt werden. Das Ver-
       handlungsgebot soll Anreiz für die bundesweiten Mobilfunknetzbetreiber sein, ent-
       sprechende Kooperationen einzugehen.
       Das Verhandlungsgebot über Infrastruktur-Sharing ist grundsätzlich auch geeignet,
       die effiziente Frequenznutzung zu fördern (§§ 52, 2 Abs. 2 Nr. 7 TKG). Je nach Aus-
       gestaltung der Vereinbarungen könnte auch RAN-Sharing oder Frequenz-Pooling
       vorgenommen werden. Hierbei würde zwar nur eine Infrastruktur aufgebaut, jedoch
       die Frequenzressourcen der an der Kooperation beteiligten Netzbetreiber verwendet.
       Dies würde die Frequenznutzung in Gebieten ermöglichen, deren Erschließung nicht
       durch alle Zuteilungsinhaber kosteneffizient möglich ist. Damit könnte Infrastruktur-
       Sharing im Vergleich zu Roaming in noch stärkerem Ausmaß dazu führen, dass die
       effiziente Frequenznutzung gefördert wird.
       Das Regulierungsziel der Sicherstellung eines chancengleichen Wettbewerbs und der
       Förderung nachhaltig wettbewerbsorientierter Märkte der Telekommunikation nach
       § 2 Abs. 2 Nr. 2 TKG steht dem Verhandlungsgebot zu Infrastruktur-Sharing nicht
       entgegen. Kooperationen sind nur in den Grenzen des Telekommunikations- und Kar-
       tellrechts zulässig. Sie bedürfen der Zustimmung durch die Bundesnetzagentur sowie
       ggf. des Bundeskartellamtes. Insbesondere ist sicherzustellen, dass zugunsten des
       Verbrauchers weiterhin ein wirksamer Infrastruktur- und Dienstewettbewerb besteht.

                                              103


                                                                                      Bonn, 5. Dezember 2018
118

Amtsblatt der Bundesnetzagentur
                                  für Elektrizität, Gas, Telekommunikation, Post und Eisenbahnen
23 2018                                         – Regulierung, Telekommunikation –                        2655


                 Aus Sicht der Kammer sollen die möglichen Kooperationen jedoch insbesondere die
                 Gebiete adressieren, in denen bislang kein Netzausbau erfolgt ist.


                 Die Auferlegung eines entsprechenden Verhandlungsgebotes über Roaming und Inf-
                 rastruktur-Sharing ist erforderlich und verhältnismäßig.
                 Vereinbarungen über Roaming und Infrastruktur-Sharing sind geeignet, die Regulie-
                 rungsziele nach § 2 TKG zu fördern (s. o.). Ein Verhandlungsgebot könnte Anreize für
                 diesbezügliche Kooperationen schaffen. Zwar können Vereinbarungen über Roaming
                 und Infrastruktur-Sharing auf der Grundlage freier Privatautonomie geschlossen wer-
                 den. Hierbei sind jedoch die unterschiedlichen Interessen der potenziellen Vertrags-
                 parteien zu berücksichtigen, die bereits der Aufnahme von Vertragsverhandlungen
                 entgegenstehen könnten.
                 Darüber hinaus setzen Vereinbarungen über Roaming und Infrastruktur-Sharing die
                 Einigung zweier oder mehrerer direkter Wettbewerber voraus. In diesem Zusammen-
                 hang könnte das Verhandlungsgebot als regulatorische Grundlage dienen und klar-
                 stellen, dass eine Kooperation zwischen Wettbewerbern in den Grenzen des Tele-
                 kommunikations- und Kartellrechts erwünscht ist, um das Potenzial von Kooperatio-
                 nen für die Förderung der Regulierungsziele voll auszuschöpfen.
                 Aus Sicht der Kammer ist ein Verhandlungsgebot auch unter Berücksichtigung der
                 eingegangenen Kommentare das mildeste Mittel, um Kooperationen zu fördern.
                 Maßnahmen von größerer Eingriffsintensität sind aus derzeitiger Sicht nicht erforder-
                 lich. Auf der anderen Seite reichen mildere Mittel aus Sicht der Kammer nicht zur
                 Förderung von Kooperationen aus, insbesondere sind allein Mittel der Ex-Post-
                 Regulierung und des Wettbewerbsrechts nicht hinreichend, um diesbezüglich ausrei-
                 chend starke Anreize für Kooperationen zu setzen.
                 Einerseits ermöglicht der Grundsatz diskriminierungsfreier Verhandlungen, dass die
                 Bundesnetzagentur als „Schiedsrichter“ auf sachliche Verhandlungen hinwirken kann.
                 Andererseits ist hiermit kein regulatorischer Zwang – insbesondere kein Kontrahie-
                 rungszwang – verbunden, sodass der Eingriffsgehalt des Verhandlungsgebotes bei
                 dem von einer Anfrage auf Roaming oder Infrastruktur-Sharing betroffenen Zutei-
                 lungsinhaber gering bleibt. Bei ihrer Bewertung der Eingriffsintensität hat die Kammer
                 die von Kommentatoren vorgetragene, aus der Zusammenschau der vorgesehenen
                 Verhandlungsgebote folgende Gesamtbelastung der Zuteilungsnehmer bereits be-
                 rücksichtigt. Im Rahmen ihrer Abwägung ist sich die Kammer der Bedeutung von Ko-
                 operationen für einem zügigen 5G-Rollout gewahr und ist der Ansicht, dass der aus
                 den vorgesehenen Verhandlungsgeboten folgende Ressourcenbedarf bei den Zutei-
                 lungsnehmern vor diesem Hintergrund kein unverhältnismäßiges Belastungsniveau
                 erreicht.
                 Die Kammer stellt erneut klar, dass es sich nicht um eine Verpflichtung zu einem Ro-
                 aming im Sinne i. S. d. § 21 TKG handelt. Ziel ist es, die Privatautonomie der Ver-
                 tragsparteien zu erhalten und gleichzeitig Anreize für diskriminierungsfreie Verhand-
                 lungen zu schaffen.
                 Mit Blick auf Roaming können die Nutzungsentgelte und Konditionen grundsätzlich in
                 Ausübung der Privatautonomie festgelegt werden. Darüber hinaus wäre es denkbar,
                 dass Kooperationen nach dem Prinzip der Gegenseitigkeit erfolgen. Dies könnte ins-
                 besondere zur Anwendung kommen, soweit bestehende bundesweite Mobilfunknetz-
                 betreiber kooperieren, um „weiße Flecken“ zu schließen oder eine anspruchsvolle
                 Versorgung entlang der Verkehrswege herzustellen.
                 Zwar verkennt die Kammer nicht, dass das Verhandlungsgebot die berufliche Tätig-
                 keit der Zuteilungsinhaber einschränken kann. Das Verhandlungsgebot dient aber im
                 besonderen Maße der im Allgemeininteresse stehenden Förderung der Regulie-
                 rungsziele des TKG (s. o.) und damit auch dem Allgemeininteresse an flächende-

                                                        104


Bonn, 5. Dezember 2018
119

Amtsblatt der Bundesnetzagentur
                     für Elektrizität, Gas, Telekommunikation, Post und Eisenbahnen
2656                               – Regulierung, Telekommunikation –                     23 2018


       ckenden ausreichenden Dienstleistungen im Bereich der Telekommunikation
       (Art. 87f GG).
       Die Kammer weist im Übrigen ausdrücklich darauf hin, dass Regelungen zum Infra-
       struktur-Sharing und Roaming auch in der zukünftig geltenden Richtlinie des Europäi-
       schen Parlaments und des Rates über den europäischen Kodex für die elektronische
       Kommunikation (EECC) vorgesehen sind. Zum einen stellt die Richtlinie klar, dass
       Frequenzzuteilungen mit Auflagen zum Roaming verbunden werden dürfen. Zum an-
       deren wird auch die Möglichkeit der Anordnung von passivem Infrastruktur-Sharing
       oder von lokalem Roaming adressiert, soweit dem Netzausbau unüberwindbare Hin-
       dernisse entgegenstehen. Art. 61 Abs. 4 EECC lautet wie folgt:
           „Unbeschadet der Absätze 1 und 2 sorgen die Mitgliedstaaten dafür, dass die zu-
           ständigen Behörden befugt sind, Unternehmen, die elektronische Kommunikati-
           onsnetze bereitstellen oder zu deren Bereitstellung berechtigt sind, im Einklang
           mit dem Unionsrecht Verpflichtungen in Bezug auf die gemeinsame Nutzung von
           passiven Infrastrukturen oder Verpflichtungen über den Abschluss lokaler
           Roamingzugangsvereinbarungen aufzuerlegen, sofern dies in beiden Fällen für
           die Bereitstellung von auf Funkfrequenzen gestützter Dienste auf lokaler Ebene
           unmittelbar erforderlich ist und sofern keinem Unternehmen tragfähige und ver-
           gleichbare alternative Zugangswege zu den Endnutzern zu fairen und angemes-
           senen Bedingungen zur Verfügung gestellt werden. Die zuständigen Behörden
           können derartige Verpflichtungen nur dann auferlegen, wenn diese Möglichkeit
           bei der Erteilung der Frequenznutzungsrechte ausdrücklich vorgesehen wurde
           und wenn dies dadurch gerechtfertigt ist, dass in dem Gebiet, für das diese Ver-
           pflichtungen gelten, unüberwindbare wirtschaftliche oder physische Hindernisse
           für den marktgesteuerten Ausbau der Infrastruktur zur Bereitstellung funkfre-
           quenzgestützter Netze oder Dienste bestehen, weshalb Endnutzer äußerst lü-
           ckenhaften oder gar keinen Zugang zu Netzen oder Diensten haben. Lässt sich
           mithilfe des Zugangs zu und der gemeinsamen Nutzung passiver Infrastruktur al-
           lein keine Abhilfe schaffen, können die nationalen Regulierungsbehörden vor-
           schreiben, dass aktive Infrastruktur gemeinsam genutzt wird.
           Die zuständigen Regulierungsbehörden berücksichtigen Folgendes:
           a) das Erfordernis, die Netzanbindung in der gesamten Union, entlang wichtiger
              Verkehrswege und in bestimmten Gebieten zu maximieren, und die Möglich-
              keit, eine wesentlich größere Auswahl und höhere Dienstqualität für die End-
              nutzer zu erreichen;
           b) die effiziente Nutzung von Funkfrequenzen;
           c) die technische Durchführbarkeit der gemeinsamen Nutzung und die diesbe-
              züglichen Bedingungen;
           d) den Stand des Infrastruktur- und des Dienstleistungswettbewerbs;
           e) technische Innovationen;
           f) die vorrangige Notwendigkeit, im Hinblick auf den Ausbau der Infrastruktur zu-
              nächst Anreize für den Bereitsteller zu schaffen.
           Im Falle einer Streitbeilegung können die zuständigen Behörden dem Begünstig-
           ten der die gemeinsame Nutzung oder den Zugang betreffenden Verpflichtung
           unter anderem vorschreiben, Funkfrequenzen mit dem Bereitsteller der Infra-
           struktur in dem betreffenden Gebiet gemeinsam zu nutzen.“
       Die Umsetzung dieses neuen Rechtsrahmens in nationales Recht obliegt jedoch der
       Entscheidung und dem Gestaltungsspielraum des Gesetzgebers. Die Bundesnetza-
       gentur muss sich daher im Rahmen ihrer pflichtgemäßen Ermessensausübung vor-
       behalten, mit Blick auf eine das Unionsrecht umsetzende künftige TKG-Novelle die


                                              105


                                                                                      Bonn, 5. Dezember 2018
120

Amtsblatt der Bundesnetzagentur
                                  für Elektrizität, Gas, Telekommunikation, Post und Eisenbahnen
23 2018                                         – Regulierung, Telekommunikation –                       2657


                 Auferlegung von Roamingverpflichtungen im Einzelfall zu prüfen und erforderlichen-
                 falls unter Beachtung der Regulierungsziele gemäß § 2 Abs. 2 TKG anzuordnen.
                 Die Kammer weist abschließend darauf hin, dass sich der Zuteilungspetent in Kennt-
                 nis der mit den Frequenznutzungsrechten verbundenen Bedingungen für eine Teil-
                 nahme an dem Verfahren entscheiden kann. In der Auktion können die Bieter das
                 vorgesehene Verhandlungsgebot daher in ihre Gebote mit einberechnen.
                 Es ist vorgesehen, eine entsprechende Regelung in die Frequenzzuteilungen aufzu-
                 nehmen. Zur Klarstellung weist die Kammer darauf hin, dass die Zuteilungen den Te-
                 nor der Präsidentenkammerentscheidung enthalten werden. Darüber hinaus wird auf
                 die oben stehende Begründung verwiesen.
                 Soweit in der Kommentierung die Auferlegung von Verpflichtungen zu National
                 Roaming mit Blick auf die Belange eines barrierefreien Nothilfeersuchens über Da-
                 tenverbindungen gefordert wird, weist die Kammer auf Folgendes hin: Die Auferle-
                 gung einer generellen und über die Anforderungen zu Notrufverbindungen hinausge-
                 henden Pflicht zur Übermittlung von Nothilfeersuchen über Datenverbindungen be-
                 darf einer Änderung des Gesetzes (§ 108 TKG).

                Zu III.5 Mindestgebot, § 61 Abs. 4 Satz 2 TKG
                 Hierzu wurde Folgendes vorgetragen:
                 Der Großteil der Kommentatoren fordert eine Senkung der Mindestgebote. Hierdurch
                 könnten die Investitionsmöglichkeiten der Netzbetreiber in den Netzausbau gesteigert
                 werden, z.B. entlang der Verkehrswege. Ein Kommentator verweist auf die Erhöhung
                 der Mindestgebote im Vergleich zu früheren Auktionen. Es bestehe die Gefahr, dass
                 der Allokationsprozess im Auktionsverlauf in insgesamt überhöhten Frequenzkosten
                 münde. Die Mindestgebote sollten sich mehr an den Frequenzgebühren orientieren.
                 Für 2 GHz sei bei 20 Jahren Laufzeit ein Mindestgebot von 25 Mio. € vorzusehen.
                 Der Wert der Frequenzen im Bereich 3,6 GHz liege aufgrund der ungünstigeren Wel-
                 lenausbreitungseigenschaften bei nur einem Drittel des Werts der 2 GHz-
                 Frequenzen. Das Mindestgebot dürfe daher 8 Mio. € pro 10-MHz-Block nicht über-
                 schreiten.
                 Ein Kommentator spricht sich für eine Angleichung der Mindestgebote im Bereich
                 2 GHz aus, falls keine asymmetrischen Versorgungsauflagen auferlegt werden.
                 Gleichzeitig solle ein Rabatt auf die Höchstgebote für freiwillig eingegangene Aufla-
                 gen vorgesehen werden.
                 Die Kammer urteilt hierzu wie folgt:
                 Nach § 61 Abs. 4 Satz 2 TKG kann ein Mindestgebot für die Teilnahme am Versteige-
                 rungsverfahren festgesetzt werden.
                 Die Mindestgebote werden hinsichtlich des Frequenzbereichs, des Frequenzum-
                 fangs, der Laufzeit sowie mit Blick auf die Nutzbarkeit und Auflagen unterschiedlich
                 festgesetzt.
                 Die Mindestgebote orientieren sich grundsätzlich am wirtschaftlichen Wert der Fre-
                 quenzen, der u. a. anhand von Ergebnissen vergangener Versteigerungen vergleich-
                 barer Frequenzen hergeleitet werden kann.
                 Bei der Festlegung der Mindestgebote sind vor allem zwei Ziele im Blick zu behalten.
                 Zum einen dürfen die Mindestgebote nicht zu hoch angesetzt werden. Insbesondere
                 dürfen sie keine Markteintrittsbarriere darstellen. Hierbei sind Belange kleiner und
                 mittlerer Unternehmen zu berücksichtigen, § 61 Abs. 4 S. 1 TKG. Zudem dient die
                 Auktion nicht der Erlösmaximierung. Aus Sicht der Kammer tragen die Auktionsregeln
                 dazu bei, dass der Auktionsverlauf nicht zu unverhältnismäßigen Frequenzkosten
                 führt.


                                                        106


Bonn, 5. Dezember 2018
121

Amtsblatt der Bundesnetzagentur
                     für Elektrizität, Gas, Telekommunikation, Post und Eisenbahnen
2658                               – Regulierung, Telekommunikation –                     23 2018


       Zum anderen sollten Mindestgebote auch nicht zu niedrig angesetzt werden. Fre-
       quenzen des drahtlosen Netzzugangs stellen als öffentliches Gut einen hohen gesell-
       schaftlichen und ökonomischen Wert dar. Es ist daher zweckmäßig, wenn Mindest-
       gebote festgesetzt werden, die im angemessenen Verhältnis zum Wert sowie zur tat-
       sächlichen Nutzbarkeit der Frequenzen stehen.
       Im Mobilfunk werden Frequenzen eingesetzt, um überhaupt eine Mobilfunkabde-
       ckung zu erreichen und um die benötigte Kapazität bereitzustellen. Zuteilungspeten-
       ten können einen für die Zukunft prognostizierten Kapazitätsbedarf entweder durch
       den Einsatz zusätzlicher Frequenzen, durch eine Netzverdichtung – d. h. durch den
       Ausbau zusätzlicher Standorte – oder durch den Einsatz effizienterer Technik bedie-
       nen. Im Rahmen der Versteigerung muss jeder Bieter abwägen, ob er entweder mehr
       Frequenzen erwirbt oder alternativ mehr Mittel in den Netzausbau investiert, um die
       gewünschte Netzkapazität zu realisieren.
       Schließlich sollen die Mindestgebote ermöglichen, dass sich im Auktionsverfahren ein
       Preis für die wertvolle und knappe Ressource Frequenz bilden lässt. Daher soll ein
       gewisser Spielraum für diesen Preisbildungsprozess vorhanden sein.
       Darüber hinaus ist auch zu berücksichtigen, dass die Mindestgebote Einfluss auf die
       Anzahl an Bietrunden und damit auf die Dauer der Versteigerung haben.
       Die Kammer folgt daher nicht dem Vorschlag, die Mindestgebote in Anlehnung an die
       Gebührenverordnung festzulegen.
       Mit Blick auf die Kommentierung und insbesondere hinsichtlich der Versorgungsver-
       pflichtungen (vgl. hierzu Punkt III.4) hält es die Kammer für sachgerecht, die Mindest-
       gebote im Vergleich zum Konsultationsentwurf signifikant abzusenken. Hiermit wird
       dem Umstand Rechnung getragen, dass der Wert der zur Vergabe stehenden Fre-
       quenzen maßgeblich durch die mit der Vergabe verknüpften Auflagen beeinflusst
       werden kann. Die Mindestgebote werden demnach auch im Vergleich zu früheren
       Auktionen gesenkt. Die Kammer teilt den Vortrag in der Kommentierung, dass hier-
       durch die Investitionsmöglichkeiten der Netzbetreiber in den Netzausbau gesteigert
       werden können, z. B. entlang der Verkehrswege, auch wenn aus niedrigeren Min-
       destgeboten nicht automatisch niedrigere Höchstgebote resultieren.
       Soweit vorgetragen wurde, dass aus asymmetrischen Auflagen in Verbindung mit
       asymmetrischen Mindestgeboten Wettbewerbsverzerrungen entstehen könnten,
       weist die Kammer darauf hin, dass die Versorgungsauflagen sowie die Mindestgebo-
       te nunmehr für alle Frequenzblöcke in den Frequenzbändern symmetrisch festgelegt
       werden (vgl. hierzu Punkt III.4). Die Kammer folgt damit der vorgeschlagenen Anglei-
       chung der Mindestgebote. Sämtliche Mindestgebote wurden signifikant gesenkt, so
       dass die mit der Vergabe der Frequenzen verbundenen Verpflichtungen bei der Ab-
       gabe der Gebote berücksichtigt werden können.
       Mindestgebote im Bereich 2 GHz
       Das Mindestgebot für einen Frequenzblock von 2 x 5 MHz (gepaart) im Bereich
       2 GHz mit einer Verfügbarkeit ab 2021 wird auf 5 Millionen Euro und für einen Fre-
       quenzblock mit einer Verfügbarkeit ab 2026 auf 3,75 Millionen Euro festgesetzt.
       Für die Festlegung des Mindestgebotes hat die Kammer zunächst die Ergebnisse von
       Versteigerungen vergleichbarer Frequenzen zugrunde gelegt. Frequenzen im Bereich
       2 GHz sind aufgrund ihrer Ausbreitungseigenschaften vergleichbar mit denen im Be-
       reich 1,8 GHz. Zudem werden die Frequenzen technologieneutral zugeteilt und sind
       somit mit allen gängigen Techniken nutzbar, soweit Technik für den Bereich entwi-
       ckelt worden ist.
       In der Auktion im Jahr 2015 in Deutschland betrug das durchschnittliche Höchstgebot
       für Frequenzen im Bereich 1,8 GHz rund 240 Millionen Euro je gepaartem 5-MHz-
       Frequenzblock. Dabei betrug die Laufzeit der Frequenzzuteilung 17 Jahre.

                                              107


                                                                                      Bonn, 5. Dezember 2018
122

Amtsblatt der Bundesnetzagentur
                                  für Elektrizität, Gas, Telekommunikation, Post und Eisenbahnen
23 2018                                         – Regulierung, Telekommunikation –                             2659


                 Aus Sicht der Kammer wäre mit Blick auf die obigen Erwägungen ein Mindestgebot in
                 Höhe von 75 Millionen Euro für Frequenzen im Bereich 2 GHz bei einer Zuteilungs-
                 dauer von 20 Jahren grundsätzlich angemessen. Insbesondere unter Berücksichti-
                 gung der vorgesehenen Versorgungsauflagen, die nunmehr erweitert und symmet-
                 risch auferlegt werden, kommt die Kammer aber zu dem Schluss, dass ein Mindest-
                 gebot von 5 Millionen Euro angemessen ist. Entsprechendes gilt für das Mindestge-
                 bot von 3,75 Millionen Euro für die Frequenzen im Bereich 2 GHz mit einer Laufzeit
                 von 15 Jahren. Hiermit wird die kürzere Nutzbarkeit der Frequenzen mit einer Laufzeit
                 von 15 Jahren berücksichtigt.
                 Bieter müssen die Möglichkeit erhalten, die mit der Versorgungsverpflichtung verbun-
                 dene Kostenbelastung in den eigenen Geboten zu berücksichtigen.
                 Mindestgebote im Bereich 3.400 MHz – 3.700 MHz
                 Das Mindestgebot für den Frequenzblock von 1 x 20 MHz (ungepaart) im Bereich
                 3.400 – 3.420 MHz wird auf 2 Millionen Euro festgesetzt. Das Mindestgebot für einen
                 Frequenzblock von 1 x 10 MHz (ungepaart) im Bereich 3.420 MHz – 3.700 MHz wird
                 auf 1,7 Millionen Euro festgesetzt.
                 Auch wenn dem konkret zur Vergabe stehende Frequenzblock im Bereich 3.690 MHz
                 – 3.700 MHz im Rahmen der Kommentierung eine unterschiedliche Wertigkeit zuge-
                 ordnet wurde, wird das Mindestgebot für diesen Frequenzblock nicht abweichend
                 festgelegt. Aus Sicht der Kammer ist dieser Frequenzblock grundsätzlich gleichwer-
                 tig.Für die Festlegung der Mindestgebote im Bereich 3.400 MHz – 3.700 MHz hat die
                 Kammer die Ergebnisse von Versteigerungen vergleichbarer Frequenzen zugrunde
                 gelegt. Beispielsweise hat die Bundesnetzagentur im Jahr 2010 Frequenzen im Be-
                 reich 2,6 GHz versteigert. Beide Frequenzbereiche sind insoweit vergleichbar, da sie
                 für den lokalen und regionalen Ausbau von zusätzlicher Kapazität geeignet sind.
                 Der durchschnittliche Auktionserlös für Frequenzen im Bereich 2,6 GHz im Jahr 2010
                 betrug bei einer Laufzeit von 15 Jahren etwa 18 Millionen Euro. Unter der Berücksich-
                 tigung der vorgesehenen Zuteilungsdauer von ca. 20 Jahren sowie der Inflation der
                 letzten Jahre lässt sich daraus ein höherer Wert der Frequenzen im Bereich 3,6 GHz
                 ableiten.
                 Hinsichtlich des Wertes der 3,6-GHz-Frequenzen ist insbesondere zu berücksichti-
                 gen, dass dieser Frequenzbereich in Europa als Pionierband für 5G identifiziert wurde
                 und daher mit einer baldigen Nutzung dieser Frequenzen zu rechnen ist. In diesem
                 Frequenzband stehen erstmalig besonders große Bandbreiten zur Verfügung, z. B.
                 um deutlich höhere Datenraten (enhanced mobile broadband) sowie Echtzeit-
                 Kommunikation zu ermöglichen.
                 Auch die RSPG hat die besonderen Eigenschaften des 3,6-GHz-Bandes für den
                 5G-Ausbau gewürdigt. Es wird erwartet, dass das 3,6-GHz-Band sowohl für den
                 5G-Ausbau in der Fläche als auch der Kapazitäten geeignet ist:
                     „The 700 MHz band can be used to provide wide area coverage, the 3.6 GHz
                     band can be used to provide high capacity and coverage, using both existing
                     macro cells and small cells. The 26 GHz band is likely to be deployed in areas
                     with very high demand, for example transport hubs, entertainment venues, indus-
                     trial or retail sites and similar. Because of its characteristics, the 26 GHz band will
                     not be used to create wide area coverage.“ (RSPG18-005 FINAL, „Second Opin-
                     ion on 5G-Networks“ vom 30. Januar 2018, S. 6)
                 Werden überdies die Vergaben der Bänder 2,6 GHz und 3,6 GHz im europäischen
                 Ausland berücksichtigt, ergibt sich ein Wert für einen 10-MHz-Frequenzblock im Be-
                 reich 3,6 GHz im mittleren bis hohen zweistelligen Millionenbereich.
                 Unter Berücksichtigung der mit den Nutzungsrechten verbundenen Versorgungsver-
                 pflichtungen wird das Mindestgebot für einen Frequenzblock von 1 x 10 MHz (unge-

                                                        108


Bonn, 5. Dezember 2018
123

Amtsblatt der Bundesnetzagentur
                         für Elektrizität, Gas, Telekommunikation, Post und Eisenbahnen
2660                                   – Regulierung, Telekommunikation –                        23 2018


          paart) im Bereich 3.420 MHz – 3.700 MHz auf 1,7 Millionen Euro festgesetzt. Hiermit
          wird ein Spielraum für Bietwettbewerb gewährt, um den tatsächlichen Wert der Fre-
          quenzen unter Berücksichtigung der Auflagen in der Auktion zu ermitteln.
          Zudem hat die Kammer die physikalischen Ausbreitungseigenschaften der Frequen-
          zen im Bereich 3,6 GHz im Vergleich zum Bereich 2 GHz berücksichtigt. Das Min-
          destgebot in Höhe von 1,7 Mio. Euro für 1 x 10 MHz (ungepaart)im Bereich 3,6 GHz
          beträgt bei gleicher Laufzeit etwa ein Drittel des Mindestgebots im Bereich 2 GHz in
          Höhe von 5 Millionen Euro für 2 x 5 MHz (gepaart).
          Mit Blick auf die Frequenznutzungsbestimmungen (vgl. Anlage 3) und die daraus
          möglicherweise folgende eingeschränkte Nutzbarkeit des Frequenzbereichs
          3.400 MHz – 3.420 MHz wird für diesen Frequenzblock ein abweichendes Mindest-
          gebot in Höhe von 2 Millionen Euro festgesetzt. Dies entspricht etwa der Hälfte des
          Mindestgebotes für zwei der Frequenzblöcke von 1 x 10 MHz (ungepaart).
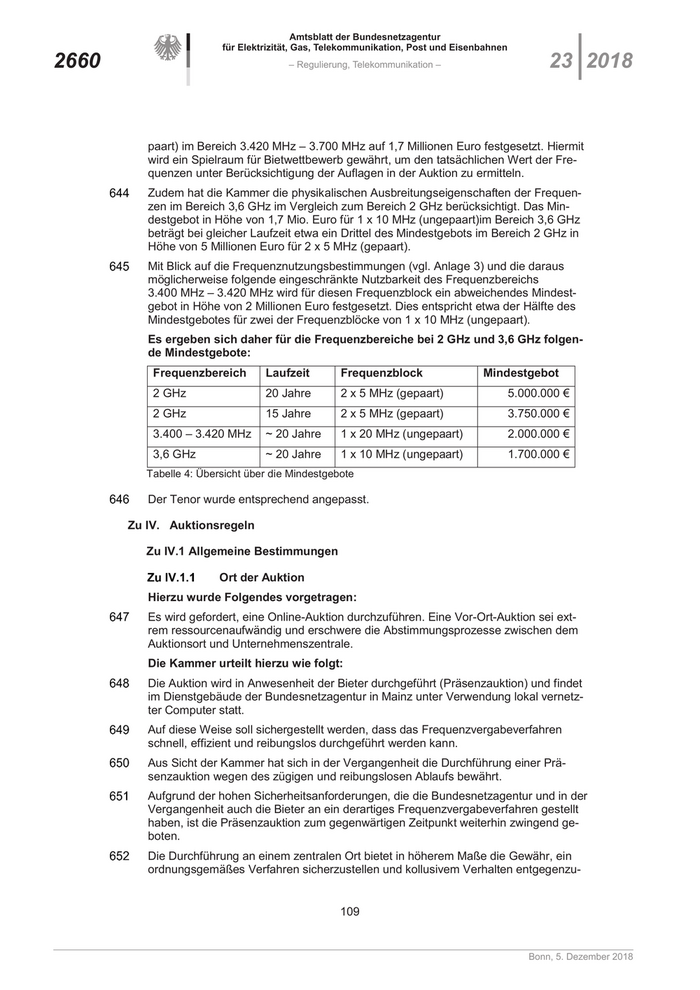
          Es ergeben sich daher für die Frequenzbereiche bei 2 GHz und 3,6 GHz folgen-
          de Mindestgebote:
           Frequenzbereich        Laufzeit        Frequenzblock                  Mindestgebot
           2 GHz                  20 Jahre        2 x 5 MHz (gepaart)                     5.000.000 €
           2 GHz                  15 Jahre        2 x 5 MHz (gepaart)                     3.750.000 €
           3.400 – 3.420 MHz      ~ 20 Jahre      1 x 20 MHz (ungepaart)                  2.000.000 €
           3,6 GHz                ~ 20 Jahre      1 x 10 MHz (ungepaart)                  1.700.000 €
          Tabelle 4: Übersicht über die Mindestgebote

          Der Tenor wurde entsprechend angepasst.

       Zu IV. Auktionsregeln

          Zu IV.1 Allgemeine Bestimmungen

                         Ort der Auktion
          Hierzu wurde Folgendes vorgetragen:
          Es wird gefordert, eine Online-Auktion durchzuführen. Eine Vor-Ort-Auktion sei ext-
          rem ressourcenaufwändig und erschwere die Abstimmungsprozesse zwischen dem
          Auktionsort und Unternehmenszentrale.
          Die Kammer urteilt hierzu wie folgt:
          Die Auktion wird in Anwesenheit der Bieter durchgeführt (Präsenzauktion) und findet
          im Dienstgebäude der Bundesnetzagentur in Mainz unter Verwendung lokal vernetz-
          ter Computer statt.
          Auf diese Weise soll sichergestellt werden, dass das Frequenzvergabeverfahren
          schnell, effizient und reibungslos durchgeführt werden kann.
          Aus Sicht der Kammer hat sich in der Vergangenheit die Durchführung einer Prä-
          senzauktion wegen des zügigen und reibungslosen Ablaufs bewährt.
          Aufgrund der hohen Sicherheitsanforderungen, die die Bundesnetzagentur und in der
          Vergangenheit auch die Bieter an ein derartiges Frequenzvergabeverfahren gestellt
          haben, ist die Präsenzauktion zum gegenwärtigen Zeitpunkt weiterhin zwingend ge-
          boten.
          Die Durchführung an einem zentralen Ort bietet in höherem Maße die Gewähr, ein
          ordnungsgemäßes Verfahren sicherzustellen und kollusivem Verhalten entgegenzu-


                                                  109


                                                                                             Bonn, 5. Dezember 2018
124

Amtsblatt der Bundesnetzagentur
                                  für Elektrizität, Gas, Telekommunikation, Post und Eisenbahnen
23 2018                                         – Regulierung, Telekommunikation –                        2661


                 wirken, als dies der Fall wäre, wenn die Bieter von ihren Geschäftsräumen aus bieten
                 würden.
                 Soweit Kommentatoren darauf hinweisen, dass eine Präsenzauktion finanzielle und
                 logistische Aufwände bei den Bietern verursacht, ist dies nachvollziehbar. Allerdings
                 können diese Argumente die Vorteile, die eine Präsenzauktion bietet, nicht überwie-
                 gen. Die Kammer kommt daher bei Abwägung aller Argumente zu dem Ergebnis,
                 dass die Versteigerung als Präsenzauktion stattfindet.

                               Teilnahmeberechtigung
                 Die Kammer urteilt hierzu wie folgt:
                 In Punkt IV.1.2 sind die förmlichen Voraussetzungen aufgezählt, die zu erfüllen sind,
                 damit ein Antragsteller als Bieter an der Auktion teilnehmen kann. Teilnahmevoraus-
                 setzungen sind danach die Zulassung, die Hinterlegung einer Sicherheitsleistung so-
                 wie die Autorisierung von Vertretern der Bieter.
                 Die Bundesnetzagentur wird vor Durchführung der Auktion öffentlich bekannt geben,
                 welche Antragsteller zur Teilnahme an der Auktion als Bieter berechtigt sind.

                               Sicherheitsleistung
                 Die Kammer urteilt hierzu wie folgt:
                 Voraussetzung für die Teilnahme an der Auktion ist unter anderem, dass der zuge-
                 lassene Antragsteller eine Sicherheitsleistung erbringt. Die Sicherheitsleistung dient
                 dem Zweck, die Ernsthaftigkeit des Willens, an der Auktion teilzunehmen, nachzu-
                 weisen und den vom erfolgreichen Bieter zu zahlenden Betrag zumindest teilweise
                 abzusichern. Der Nachweis der Leistungsfähigkeit, insbesondere durch Vorlage einer
                 Finanzierungserklärung, bleibt hiervon unberührt.
                 Zum einen kann die Sicherheitsleistung durch die Überweisung des Betrags auf ein
                 noch von der Bundesnetzagentur zu bestimmendes Konto erfolgen. Die Gutschrift
                 muss spätestens 14 Tage vor Beginn der Auktion erfolgt sein.
                 Zum anderen kann der Antragsteller anstelle der Überweisung die Sicherheitsleistung
                 auch in Form einer unbedingten, unbefristeten, unwiderruflichen, selbstschuldneri-
                 schen Bankbürgschaft eines inländischen oder eines als Zoll- und Steuerbürge zuge-
                 lassenen Kreditinstituts erbringen. Die Bürgschaftserklärung bedarf gemäß § 766
                 Satz 1 BGB der Schriftform. Zur Erteilung der Bürgschaftserklärung ist die Übergabe
                 der Urschrift der Bürgschaftserklärung an die Bundesnetzagentur notwendig. Bei no-
                 tarieller Urkunde reicht die Übergabe einer für die Bundesnetzagentur bestimmten
                 Ausfertigung. Mit der Beschränkung auf ein inländisches oder ein als Zoll- und Steu-
                 erbürge zugelassenes Kreditinstitut soll die Anwendbarkeit deutschen Rechts auf die
                 Durchsetzung der Forderung erreicht und die Vollstreckbarkeit nach deutschem
                 Recht sichergestellt werden. Die Bankbürgschaft muss spätestens 14 Tage vor Be-
                 ginn der Auktion bei der Bundesnetzagentur vorgelegt worden sein.
                 Die Höhe der Sicherheitsleistung richtet sich nach der Anzahl der aufgrund des Zu-
                 lassungsantrags festgesetzten maximalen Bietberechtigungen des Antragstellers. Als
                 Referenzgröße wird auf das Mindestgebot eines 10-MHz-Frequenzblocks im Bereich
                 3,6 GHz zurückgegriffen. Das Mindestgebot hierfür beträgt 1,7 Millionen Euro. Dies
                 ist das niedrigste Mindestgebot für 10 MHz abgesehen von dem Frequenzblock im
                 Umfang von 1 x 20 MHz (ungepaart) im Bereich 3,6 GHz, der besonderen Bedingun-
                 gen unterliegen. Die Sicherheitsleistung wurde im Vergleich zum Konsultationsent-
                 wurf an die geänderten Mindestgebote angepasst (vgl. hierzu Punkt III.5). Für jede
                 Bietberechtigung (in Lot Ratings ausgedrückt) ist folglich ein Betrag in Höhe von
                 1,7 Millionen Euro zu leisten.



                                                        110


Bonn, 5. Dezember 2018
125

Zur nächsten Seite