amtsblatt-23-2018

Dieses Dokument ist Teil der Anfrage „Amtsblätter bis 2018

/ 224
PDF herunterladen
Amtsblatt der Bundesnetzagentur
                                          für Elektrizität, Gas, Telekommunikation, Post und Eisenbahnen
23 2018                                                     – Regulierung, Telekommunikation –                               2699


         4.1       Zulässige Blockaussendungen (blockintern und außerblock)

         4.1.1 Allgemeine Parameter
             1. Die zugeteilten Frequenzblöcke umfassen ganzzahlige Vielfache von 10 MHz.
               2. Der Duplexbetrieb erfolgt im Zeitduplex-Modus (TDD).
               3. Bei den unten aufgeführten Frequenzblock-Entkopplungsmasken bei semi- und un-
                  synchronisierten Netzen wird von einem Schutzabstand zwischen Blöcken eines
                  TDD-Netzes und dem eines anderen TDD-Netzes ausgegangen. Dieser Schutzab-
                  stand ist von den Zuteilungsinhabern im eigenen Spektrum zu realisieren.
               4. Der Betrieb kann sowohl mit passiven Antennensystemen (non AAS) als auch mit ak-
                  tiven Antennensystemen (AAS) erfolgen.
               5. Die folgenden technischen Parameter für Basisstationen, auch Frequenzblock-
                  Entkopplungsmasken (block edge mask (BEM)) genannt, sind grundlegende Be-
                  standteile von Konditionen zur Sicherstellung des gleichzeitigen Betriebs von be-
                  nachbarten Netzwerken, sofern keine bi- oder multilateralen Vereinbarungen zwi-
                  schen den Netzbetreibern existieren. Abweichungen davon bedürfen bi- oder multila-
                  teraler Vereinbarungen zwischen den betroffenen Frequenznutzern. Entsprechende
                  Vereinbarungen sind der Bundesnetzagentur vor Inbetriebnahme anzuzeigen.

         4.1.2 Technische Bedingungen für TDD Basisstationen

         4.1.2.1 Anforderungen für blockinterne Aussendungen für nicht aktive (non-AAS) und
                 aktive Antennensysteme (AAS)
         Für Basisstationen sind keine blockinternen EIRP-Grenzwerte vorgeschrieben.
         Für Femto-Basisstationen ist die Leistung so zu wählen, dass Störungen auf Nachbarkanä-
         len minimiert werden.
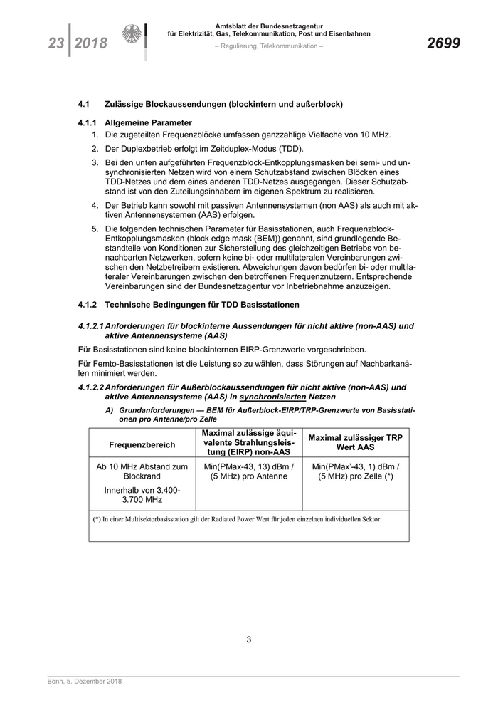
         4.1.2.2 Anforderungen für Außerblockaussendungen für nicht aktive (non-AAS) und
                 aktive Antennensysteme (AAS) in synchronisierten Netzen
                   A) Grundanforderungen — BEM für Außerblock-EIRP/TRP-Grenzwerte von Basisstati-
                      onen pro Antenne/pro Zelle
                                                       Maximal zulässige äqui-
                                                                                              Maximal zulässiger TRP
                    Frequenzbereich                    valente Strahlungsleis-
                                                                                                   Wert AAS
                                                        tung (EIRP) non-AAS
                Ab 10 MHz Abstand zum                   Min(PMax-43, 13) dBm /                  Min(PMax’-43, 1) dBm /
                      Blockrand                          (5 MHz) pro Antenne                     (5 MHz) pro Zelle (*)
                   Innerhalb von 3.400-
                        3.700 MHz

               (*) In einer Multisektorbasisstation gilt der Radiated Power Wert für jeden einzelnen individuellen Sektor.




                                                                       3



Bonn, 5. Dezember 2018
163

Amtsblatt der Bundesnetzagentur
                                   für Elektrizität, Gas, Telekommunikation, Post und Eisenbahnen
2700                                                 – Regulierung, Telekommunikation –                                    23 2018


                B) Übergangsanforderungen — BEM für Außerblock-EIRP/TRP-Grenzwerte von Basis-
                   stationen pro Antenne/Zelle
                                                Maximal zulässige äqui-
                                                                                        Maximal zulässiger TRP
             Frequenzbereich                    valente Strahlungsleis-
                                                                                             Wert AAS
                                                 tung (EIRP) non-AAS
         -5 bis 0 MHz Abstand
        vom unteren Blockrand
                                               Min(PMax-40, 21) dBm /                  Min(PMax'-40, 16) dBm /
                  oder
                                                (5 MHz) pro Antenne                      (5 MHz) pro Zelle (*)
       0 bis 5 MHz Abstand vom
           oberen Blockrand
        -10 bis -5 MHz Abstand
        vom unteren Blockrand
                                               Min(PMax-43, 15) dBm /                  Min(PMax’-43, 12) dBm /
                  oder
                                                (5 MHz) pro Antenne                      (5 MHz) pro Zelle (*)
         5 bis 10 MHz Abstand
         vom oberen Blockrand
       (*) In einer Multisektor Basis Station gilt der Radiated Power Wert für jeden einzelnen individuellen Sektor.

       Weniger strenge technische Parameter können zwischen den verschiedenen betroffenen
       Frequenznutzern vereinbart werden.
           4.1.2.2 Beschränkte Grundanforderung für Außerblockaussendungen für nicht ak-
                   tive (non-AAS) und aktive Antennensysteme (AAS) für Basisstationen in
                   nicht synchronisierten und semi-synchronisierten Netzen


                                                              Maximal zulässi-
                                                               ge äquivalente
                                                                                           Maximal zulässiger TRP
                      Frequenzbereich                          Strahlungsleis-
                                                                                                Wert AAS
                                                              tung (EIRP) non-
                                                                    AAS
              Unsynchronisierte und semi-
                synchronisierte Blöcke
                Unterhalb des unteren
                                                              -34 dBm/(5 MHz)                    -43 dBm/(5 MHz)
                     Blockrandes
                                                                 pro Zelle (*)                      pro Zelle (*)
                 Oberhalb des oberen
                      Blockrandes
             Innerhalb von 3.400-3.700 MHz
           (*) In einer Multisektor Basisstation gilt der Radiated Power Wert für jeden einzelnen individuellen Sektor.

       Die strengen Grenzwerte für die unsynchronisierte bzw. semi-synchronisierte Nutzung zwi-
       schen Netzen gelten generell für Outdoor- und Indoor-Anwendungen. Für Anwendungen mit
       ausreichender Entkoppelung zwischen den Netzen (z.B. geographisch oder indoor) können
       die Grenzwerte für die synchronisierte Nutzung zwischen Netzen Anwendung finden. Weni-
       ger strenge technische Parameter können außerdem zwischen den verschiedenen betroffe-
       nen Frequenznutzern vereinbart werden.

       4.1.3. Technische Bedingungen für TDD Endgeräte
       Das blockinterne Aussendungslimit für mobile TDD Endgeräte sollte 28 dBm TRP nicht
       überschreiten.




                                                                    4



                                                                                                                       Bonn, 5. Dezember 2018
164

Amtsblatt der Bundesnetzagentur
                                         für Elektrizität, Gas, Telekommunikation, Post und Eisenbahnen
23 2018                                                    – Regulierung, Telekommunikation –                              2701


         4.2 Außerbandaussendungen

         4.2.1 Frequenzkoordinierung zum Schutz militärischer Radare unterhalb 3.400 MHz
         In Deutschland gilt die zusätzliche Grundanforderung für Außerbandaussendungen für nicht
         aktive (non-AAS) und aktive Antennensysteme (AAS) bei Basisstationen zum Schutz von
         Radaren unterhalb 3.400 MHz (siehe CEPT Report 67 bzw. ECC Entscheidung (11)06 und
         daraus abgeleiteter Kommissionsbeschluss).
         Bei Verwendung von passiven Antennen (non AAS) in der Basisstation ist die in der ECC
         Entscheidung (11)06 enthaltene Begrenzung der Außerbandaussendungen für TDD Betrieb
         auf -50 dBm/MHz EIRP pro Antenne anzuwenden.
         Für aktive Antennensysteme (AAS) sind bundesweit die Außerbandaussendungen für TDD
         Betrieb der Basisstationen auf -52 dBm/MHz TRP (Total Radiated Power) pro Zelle zu be-
         schränken. Zusätzlich ist eine Koordinierung im Umkreis von 12 km von benachbarten militä-
         rischen Radaren erforderlich.
         Diese Grenzwerte zum Schutz von militärischen Radaren gelten grundsätzlich für Outdoor-
         und Indoor-Anwendungen. Für Indoor-Anwendungen kann im Einzelfall ein weniger strenger
         Grenzwert von der Bundesnetzagentur erlaubt werden.

         4.2.2 Frequenzkoordinierung zum Schutz der Radioastronomie unterhalb 3.400 MHz
         Die Schutzkriterien des (passiven) Radioastronomiefunkdienstes sind in der Empfehlung
         ITU-R RA.769 enthalten. Zum Schutz der Radioastronomiestation Effelsberg unterhalb der
         unteren Bandgrenze bei 3.400 MHz können örtlich Einschränkungen des drahtlosen Netzzu-
         gangs notwendig sein. Die Verträglichkeit wird im Einzelfall – entsprechend der Verwal-
         tungspraxis der Bundesnetzagentur – bei der Festsetzung der standortbezogenen funktech-
         nischen Parameter als Bestandteil der Frequenzzuteilung unter Beachtung der örtlichen Ge-
         gebenheiten hergestellt.
         In diesem Zusammenhang besteht grundsätzlich die Möglichkeit von Vereinbarungen zwi-
         schen den betroffenen Frequenznutzern. Entsprechende Vereinbarungen sind der Bundes-
         netzagentur vor Inbetriebnahme anzuzeigen.

         4.2.3 Zusätzliche Grundanforderung für Außerbandaussendungen für nicht aktive
               (non-AAS) und aktive Antennensysteme (AAS) bei Basisstationen zur Koexis-
               tenz mit FSS/FS oberhalb 3.800 MHz

                             Maximal zulässige äquiva-
                                                                                        Maximal zulässiger TRP
             Frequenzbereich lente Strahlungsleistung
                                                                                        Wert AAS
                             (EIRP) non-AAS
                             Min(PMax-40, 21) dBm/                                      Min(PMax’-40, 16) dBm/
             3.800-3.805 MHz
                             (5 MHz) pro Antenne (*)                                    (5MHz) pro Zelle (**) (***)
                             Min(PMax-43, 15) dBm/                                      Min(PMax’-43, 12) dBm/
             3.805-3.810 MHz
                             (5 MHz) pro Antenne (*)                                    (5MHz) pro Zelle (**) (***)
                             Min(PMax-43, 13) dBm/                                      Min(PMax’-43, 1) dBm/
             3.810-3.840 MHz
                             (5 MHz) pro Antenne (*)                                    (5MHz) pro Zelle (**) (***)
             Über 3.840 MHz  -2 dBm/(5MHz) pro Antenne (*)                              -14 dBm/(5MHz) pro Zelle (***)
             * gemessen als EIRP pro Carrier, interpretiert als pro Antenne
             ** In einer Multisektor Basisstation gilt der Radiated Power Wert für jeden einzelnen individuellen Sektor.
             *** Dabei wird die TRP pro Carrier pro Zelle gemessen




                                                                       5



Bonn, 5. Dezember 2018
165

Amtsblatt der Bundesnetzagentur
                            für Elektrizität, Gas, Telekommunikation, Post und Eisenbahnen
2702                                      – Regulierung, Telekommunikation –                     23 2018


       4.3    Frequenzkoordinierung zum Schutz von Funkanwendungen innerhalb des Ban-
              des 3,6 GHz

       4.3.1 Frequenzkoordinierung zum Schutz des Geodätischen Observatoriums Wettzell
             (GOW) im Bereich 3.400 MHz – 3.700 MHz


       Die Verträglichkeit von Mobilfunkstandorten mit dem GOW, die sich innerhalb der Koordinie-
       rungszone von 120 km um das GOW befinden, ist einzeln zu betrachten. Dem Mobilfunk-
       netzbetreiber stehen für den jeweiligen Standort unterschiedliche Maßnahmen zur Verfü-
       gung, um Einschränkungen des GOW zu minimieren, so z. B.:
                        Einschränkung der Sendeleistung,
                        geringere Antennenhöhe,
                        Elevationsneigung der Antenne,
                        Ausrichtung der Antenne (nicht nach Wettzell) oder
                        Beschränkung auf Städte (Abschirmung durch Gebäude).
       In diesem Zusammenhang besteht grundsätzlich die Möglichkeit von Vereinbarungen zwi-
       schen den betroffenen Frequenznutzern. Entsprechende Vereinbarungen sind der Bundes-
       netzagentur vor Inbetriebnahme anzuzeigen.

       4.3.2 Frequenzkoordinierung zum Schutz der Mess-Erdfunkstelle Leeheim
       Die Mess-Erdfunkstelle Leeheim ist die Messstelle für Weltraumfunkdienste der Bundes-
       netzagentur. Dieser Standort ist für den Empfang des Satellitenfunks u.a. im Bereich
       3.400 MHz – 3.700 MHz koordiniert und zu schützen. Eine wirkungsvolle Überwachung der
       Frequenzordnung nach § 64 TKG setzt voraus, dass die Funkmessstationen der Bundes-
       netzagentur durch Frequenznutzungen nicht gestört werden (vgl. Mitteilung Nr. 613/2012,
       Amtsblatt der Bundesnetzagentur 17/2012, Seite 3161).
       Für die terrestrische Nutzung der Frequenzen ist um die Mess-Erdfunkstelle Leeheim ein
       Koordinierungsradius von 20 km vorgesehen. Innerhalb dieses Radius erfolgt die Festset-
       zung der frequenztechnischen Parameter für Mobilfunkbasisstationen als Bestandteil der
       Frequenzzuteilung unter Berücksichtigung der Topografie und der Nutzungsparameter mit
       Blick auf die Besonderheiten der Mess-Erdfunkstelle Leeheim im Einzelfall. Für die Bestim-
       mung der Koordinierungszone wurden die derzeit verfügbaren Mobilfunkparameter zugrunde
       gelegt. Für eine Versorgung im bebauten Gebiet ist davon auszugehen, dass zusätzliche
       Shielding-Effekte durch die Bebauung gegeben sind und somit die Frequenzen für Mobil-
       funkanwendungen, insbesondere 5G, eingesetzt werden können.

       4.3.3 Frequenzkoordinierung zum Schutz von bestehenden und koordinierten Emp-
       fangsfunkanlagen des Festen Funkdienstes über Satelliten (FSS)


       Gemäß Frequenzplan dürfen bestehende und koordinierte Empfangsfunkanlagen des Fes-
       ten Funkdienstes über Satelliten im Frequenzteilbereich 3.600 MHz – 3.800 MHz nicht ge-
       stört werden (vgl. Frequenzplan, Stand April 2016, Eintrag 317 003).
       Es werden Schutzanforderungen für den konkreten Einzelfall innerhalb einer Koordinie-
       rungszone bestimmt. Ohne Berücksichtigung der Topografie und Morphologie und der Aus-
       richtung der Antennen der Erdfunkstellen ergibt sich eine generische Koordinierungszone
       von etwa 50 km um die Erdfunkstelle. Mit Blick auf die Topografie und Morphologie dürften
       sich Einschränkungen für den Mobilfunk in der Regel lediglich in einem Radius von 20 km für
       die Hauptstrahlrichtung bzw. 5 km für Nebenkeulen der Erdfunkstellen ergeben. Hierbei wird
       für die Hauptstrahlrichtung ein pauschaler Winkelbereich von 100° bis 260° bezogen auf
       Nord über Ost festgelegt. In den übrigen Winkelbereichen wird ein Koordinierungsradius von
                                                       6



                                                                                             Bonn, 5. Dezember 2018
166

Amtsblatt der Bundesnetzagentur
                                    für Elektrizität, Gas, Telekommunikation, Post und Eisenbahnen
23 2018                                           – Regulierung, Telekommunikation –                       2703


         5 km festgelegt. Für die Bestimmung der Koordinierungszone wurden die derzeit verfügba-
         ren Mobilfunkparameter zu Grunde gelegt.
         Bei der Festsetzung der standortbezogenen Frequenznutzungsparameter des Mobilfunks als
         Bestandteil der Frequenzzuteilung wurden insbesondere Report ITU-R M.2109 (2007) sowie
         Report ITU-R S.2368-0 (06/2015), ECC-Bericht 203 (zu 4G/LTE) und der CEPT-Report 67
         sowie die örtlichen Gegebenheiten berücksichtigt. Hierbei können sich die Topografie (Ge-
         ländehindernisse) und Morphologie (Shielding, bspw. durch dichte städtische Bebauung)
         günstig auf die Verträglichkeitssituation auswirken. Im Einzelfall können daher unterschiedli-
         che Linderungstechniken bzw. -maßnahmen durch den drahtlosen Netzzugang erforderlich
         sein, um die Verträglichkeit mit dem Satellitenfunk sicherzustellen (z. B. Reduzierung der
         Sendeleistung, Reduzierung der Antennenhöhe, Verzicht auf Sektorantennen in Richtung
         Erdfunkstelle, Abweichung der Ausrichtung der Erdfunkstelle um mehr als 50 Grad von der
         Ausrichtung der Mobilfunkbasisstation, Indoor-Nutzung).
         Im Bereich 3.600 MHz – 3.700 MHz sind folgende bestehende und koordinierte Standorte zu
         berücksichtigen:


                            Erdfunkstelle                                   Frequenzbereich
                                                                          (betroffene 10-MHz-Blöcke)


               Ruppichteroth                                               3.600 – 3.640 MHz
               Fuchsstadt                                                  3.600 – 3.700 MHz
               Backnang-Waldrems                                           3.620 – 3.700 MHz
               Berlin-Wannsee                                              3.650 – 3.700 MHz
               Landstuhl                                                   3.600 – 3.700 MHz
               Ottobrunn                                                   3.600 – 3.690 MHz
               Raisting                                                    3.630 – 3.700 MHz
               Weßling                                                     3.630 – 3.700 MHz
               Wiesbaden-Erbenheim                                         3.650 – 3.700 MHz
               Leeheim (Bundesnetzagentur)                                 3.600 – 3.700 MHz
             Tabelle:     Bestehende Koordinierungen für den Empfang des Satellitenfunks im Bereich
                          3.600 MHz – 3.700 MHz

         Über die o. g. Standorte hinaus ist eine einstellige Zahl von Erdfunkstellen mit Sicherheitsbe-
         zug zu berücksichtigen. Mit Blick hierauf können die Orte den Zuteilungsinhabern erst bilate-
         ral im Rahmen der Festsetzung der standortbezogenen Frequenznutzungsparameter mitge-
         teilt werden. Hierbei kann ein pauschaler Winkelbereich von 100° bis 260° bezogen auf Nord
         über Ost angenommen werden. In den übrigen Winkelbereichen wird ein Koordinierungsra-
         dius von 5 km festgelegt. Für die Bestimmung der Koordinierungszone wurden die derzeit
         verfügbaren Mobilfunkparameter zugrunde gelegt.
         Darüber hinaus ist im Frequenzplan für o. g. Erdfunkstellen im Einzelfall eine Entwicklungs-
         möglichkeit vorgesehen (vgl. Frequenzplan, Stand April 2016, Eintrag 317 002):
                 „Der Frequenzteilbereich 3600 – 3800 MHz steht nach Einführung von Anwendungen
                 des Drahtlosen Netzzugangs zum Angebot von Telekommunikationsdienstleistungen
                 für den Festen Funkdienst über Satelliten nur noch eingeschränkt zur Verfügung. Be-
                 stehende und koordinierte Empfangsfunkanlagen des Festen Funkdienstes über Sa-
                 telliten werden geschützt; Neuplanungen sind im Einzelfall insbesondere für beste-
                 hende Standorte möglich.“
         Betreiber von bestehenden und koordinierten Erdfunkstellen können bei Neuplanungen ei-
         nen Antrag auf Koordinierung des Empfangs im Bereich 3.600 MHz – 3.700 MHz stellen. In
         diesem Antrag ist durch ein Frequenznutzungskonzept darzulegen, warum der Frequenzbe-
                                                     7



Bonn, 5. Dezember 2018
167

Amtsblatt der Bundesnetzagentur
                            für Elektrizität, Gas, Telekommunikation, Post und Eisenbahnen
2704                                      – Regulierung, Telekommunikation –                     23 2018


       reich 3.800 MHz – 4.200 MHz im konkreten Einzelfall nicht ausreichend ist. Sofern diese
       Darlegung schlüssig ist, keine Nutzung durch den Zuteilungsinhaber des Mobilfunks besteht
       und dieser zustimmt, wird die Koordinierung vorgenommen. Sofern bereits eine Nutzung
       durch den Mobilfunknetzbetreiber besteht, ist eine Abstimmung zwischen Erdfunkstellenbe-
       treiber und Mobilfunknetzbetreiber erforderlich. Lediglich für Neuplanungen ist es erforder-
       lich, dass o. g. Betreiber einen Antrag auf Koordinierung unter Beachtung der erweiterten
       Darlegungspflicht stellen. Erfolgreich nach obigem Verfahren koordinierte Neuplanungen
       durch zusätzliche Antennen an bestehenden Erdfunkstellen werden geschützt.
       Hinsichtlich der Zustimmung des Mobilfunknetzbetreibers sind dessen konkrete Ausbaupläne
       zu berücksichtigen. Diese sind ggf. gegenüber der Bundesnetzagentur darzulegen. Im Fall
       einer Überlassung oder temporären Nutzung der betroffenen Frequenzen ist auch die Mitwir-
       kung des jeweiligen konkreten Frequenznutzers erforderlich.
       Der Empfang bei neu errichteten Standorten für Erdfunkstellen im Bereich 3.600 MHz –
       3.700°MHz wird jedoch nicht geschützt.

       4.3.4 Schutz der Funkmessstationen des Prüf- und Messdienstes der Bundesnetza-
               gentur
       Eine wirkungsvolle Überwachung der Frequenzordnung nach § 64 TKG setzt voraus, dass
       die Funkmessstationen der Bundesnetzagentur durch Frequenznutzungen nicht gestört wer-
       den. Elektromagnetische Felder von Sendeanlagen, die im näheren Umfeld der Empfangs-
       einrichtungen der Bundesnetzagentur betrieben werden, können zu Desensibilisierungs- und
       Übersteuerungseffekten führen und damit den Empfang der Messeinrichtungen der Bundes-
       netzagentur beeinträchtigen (vgl. Amtsblatt der Bundesnetzagentur 17/2012, Mitteilung Nr.
       613/2012).
       Die durch die vorstehend zitierte Regelung weiterentwickelte bisherige Verwaltungspraxis
       der Bundesnetzagentur in den Parameterfestsetzungsverfahren für den drahtlosen Netzzu-
       gang stellt aus Sicht der Bundesnetzagentur auch zukünftig einen ausgewogenen Rahmen
       für eine Interessenabwägung im Einzelfall zwischen den Interessen der Mobilfunknetzbetrei-
       ber zum weiteren Ausbau ihrer Netze und dem gesetzlichen Auftrag der Bundesnetzagentur
       dar.
       Zum Schutz der in Deutschland stationär betriebenen und geplanten Funkmessstationen des
       Prüf- und Messdienstes der Bundesnetzagentur darf an deren Standorten die durch Aussen-
       dungen im Frequenzbereich oberhalb von 694 MHz hervorgerufene Feldstärke einen Wert
       von max. 90 dBμV/m nicht überschreiten (vgl. Amtsblatt der Bundesnetzagentur 3/2016, Mit-
       teilung Nr. 35/2016).

       4.4    Frequenzkoordinierung für Funkstellen im Grenzgebiet
       In den Grenzgebieten und einigen weiteren geografischen Gebieten der Bundesrepublik
       Deutschland stehen Frequenzen für den drahtlosen Netzzugang zum Angebot von Tele-
       kommunikationsdiensten aufgrund der Notwendigkeit der Frequenzkoordinierung mit den
       Nachbarländern nur eingeschränkt zur Verfügung.
       Einschränkungen werden hinsichtlich Frequenz und Umfang von Gebiet zu Gebiet unter-
       schiedlich sein, je nachdem, ob zwei, drei oder unter Umständen vier Länder in die Koordi-
       nierung einzubeziehen sind. Außerdem werden die Einschränkungen noch von den an den
       Grenzen sich gegenüberstehenden Übertragungsverfahren abhängen.




                                                       8



                                                                                             Bonn, 5. Dezember 2018
168

Amtsblatt der Bundesnetzagentur
                                 für Elektrizität, Gas, Telekommunikation, Post und Eisenbahnen
23 2018                                        – Regulierung, Telekommunikation –                 2705


         Anlage 4 – Übersicht Bundesstraßen mit Verbindungsfunktionsstufen 0 / 1




         Quelle: Bundesministerium für Verkehr und digitale Infrastruktur




Bonn, 5. Dezember 2018
169

Amtsblatt der Bundesnetzagentur
                            für Elektrizität, Gas, Telekommunikation, Post und Eisenbahnen
2706                                      – Regulierung, Telekommunikation –                     23 2018



       Anlage 5 – Übersicht Kernnetz der Wasserwege




       Quelle: Bundesministerium für Verkehr und digitale Infrastruktur




                                                                                             Bonn, 5. Dezember 2018
170

Amtsblatt der Bundesnetzagentur
                              für Elektrizität, Gas, Telekommunikation, Post und Eisenbahnen
23 2018                                     – Regulierung, Telekommunikation –                 2707



         Anlage 6 – Übersicht Schienenwege mit mehr als 2.000 Fahrgästen pro Tag




Bonn, 5. Dezember 2018
171

Amtsblatt der Bundesnetzagentur
                          für Elektrizität, Gas, Telekommunikation, Post und Eisenbahnen
2708                                    – Regulierung, Telekommunikation –                     23 2018



       Anlage 7 – Übersicht alle Schienenwege




                                                                                           Bonn, 5. Dezember 2018
172

Zur nächsten Seite