amtsblatt-3-2018

Dieses Dokument ist Teil der Anfrage „Amtsblätter bis 2018

/ 208
PDF herunterladen
Amtsblatt der Bundesnetzagentur
                                   für Elektrizität, Gas, Telekommunikation, Post und Eisenbahnen
  3 2018                      – Mitteilungen, Telekommunikation, Teil A, Mitteilungen der Bundesnetzagentur –    359


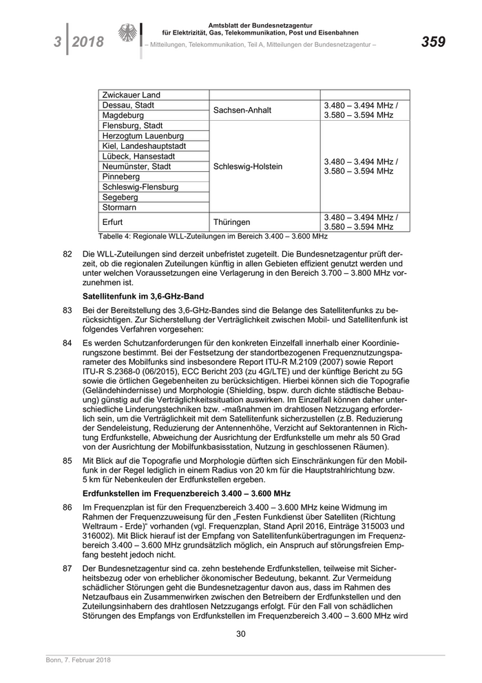
                  Zwickauer Land
                  Dessau, Stadt                                                            3.480 – 3.494 MHz /
                                                     Sachsen-Anhalt
                  Magdeburg                                                                3.580 – 3.594 MHz
                  Flensburg, Stadt
                  Herzogtum Lauenburg
                  Kiel, Landeshauptstadt
                  Lübeck, Hansestadt
                                                                                           3.480 – 3.494 MHz /
                  Neumünster, Stadt                  Schleswig-Holstein
                                                                                           3.580 – 3.594 MHz
                  Pinneberg
                  Schleswig-Flensburg
                  Segeberg
                  Stormarn
                                                                                           3.480 – 3.494 MHz /
                  Erfurt                             Thüringen
                                                                                           3.580 – 3.594 MHz
                 Tabelle 4: Regionale WLL-Zuteilungen im Bereich 3.400 – 3.600 MHz

     82    Die WLL-Zuteilungen sind derzeit unbefristet zugeteilt. Die Bundesnetzagentur prüft der-
           zeit, ob die regionalen Zuteilungen künftig in allen Gebieten effizient genutzt werden und
           unter welchen Voraussetzungen eine Verlagerung in den Bereich 3.700 – 3.800 MHz vor-
           zunehmen ist.
           Satellitenfunk im 3,6-GHz-Band
     83    Bei der Bereitstellung des 3,6-GHz-Bandes sind die Belange des Satellitenfunks zu be-
           rücksichtigen. Zur Sicherstellung der Verträglichkeit zwischen Mobil- und Satellitenfunk ist
           folgendes Verfahren vorgesehen:
     84    Es werden Schutzanforderungen für den konkreten Einzelfall innerhalb einer Koordinie-
           rungszone bestimmt. Bei der Festsetzung der standortbezogenen Frequenznutzungspa-
           rameter des Mobilfunks sind insbesondere Report ITU-R M.2109 (2007) sowie Report
           ITU-R S.2368-0 (06/2015), ECC Bericht 203 (zu 4G/LTE) und der künftige Bericht zu 5G
           sowie die örtlichen Gegebenheiten zu berücksichtigen. Hierbei können sich die Topografie
           (Geländehindernisse) und Morphologie (Shielding, bspw. durch dichte städtische Bebau-
           ung) günstig auf die Verträglichkeitssituation auswirken. Im Einzelfall können daher unter-
           schiedliche Linderungstechniken bzw. -maßnahmen im drahtlosen Netzzugang erforder-
           lich sein, um die Verträglichkeit mit dem Satellitenfunk sicherzustellen (z.B. Reduzierung
           der Sendeleistung, Reduzierung der Antennenhöhe, Verzicht auf Sektorantennen in Rich-
           tung Erdfunkstelle, Abweichung der Ausrichtung der Erdfunkstelle um mehr als 50 Grad
           von der Ausrichtung der Mobilfunkbasisstation, Nutzung in geschlossenen Räumen).
     85    Mit Blick auf die Topografie und Morphologie dürften sich Einschränkungen für den Mobil-
           funk in der Regel lediglich in einem Radius von 20 km für die Hauptstrahlrichtung bzw.
           5 km für Nebenkeulen der Erdfunkstellen ergeben.
           Erdfunkstellen im Frequenzbereich 3.400 – 3.600 MHz
     86    Im Frequenzplan ist für den Frequenzbereich 3.400 – 3.600 MHz keine Widmung im
           Rahmen der Frequenzzuweisung für den „Festen Funkdienst über Satelliten (Richtung
           Weltraum - Erde)“ vorhanden (vgl. Frequenzplan, Stand April 2016, Einträge 315003 und
           316002). Mit Blick hierauf ist der Empfang von Satellitenfunkübertragungen im Frequenz-
           bereich 3.400 – 3.600 MHz grundsätzlich möglich, ein Anspruch auf störungsfreien Emp-
           fang besteht jedoch nicht.
     87    Der Bundesnetzagentur sind ca. zehn bestehende Erdfunkstellen, teilweise mit Sicher-
           heitsbezug oder von erheblicher ökonomischer Bedeutung, bekannt. Zur Vermeidung
           schädlicher Störungen geht die Bundesnetzagentur davon aus, dass im Rahmen des
           Netzaufbaus ein Zusammenwirken zwischen den Betreibern der Erdfunkstellen und den
           Zuteilungsinhabern des drahtlosen Netzzugangs erfolgt. Für den Fall von schädlichen
           Störungen des Empfangs von Erdfunkstellen im Frequenzbereich 3.400 – 3.600 MHz wird

                                                             30


Bonn, 7. Februar 2018
187

Amtsblatt der Bundesnetzagentur
                              für Elektrizität, Gas, Telekommunikation, Post und Eisenbahnen
360                      – Mitteilungen, Telekommunikation, Teil A, Mitteilungen der Bundesnetzagentur –       3 2018


           sich die Bundesnetzagentur unter Berücksichtigung der rechtlichen, ökonomischen und
           wirtschaftlichen Aspekte für eine verträgliche Lösung einsetzen. Die Bundesnetzagentur
           erwartet hierbei von den Frequenzzuteilungsinhabern des drahtlosen Netzzugangs eine
           entsprechende Bereitschaft, verträgliche Lösungen mit den Erdfunkstellenbetreibern zu
           erarbeiten.
      88   Die Erdfunkstelle Leeheim ist die Messstelle für Weltraumfunkdienste der Bundesnetza-
           gentur. Dieser Standort ist für den Empfang des Satellitenfunks im Bereich 3.400 – 3.600
           MHz koordiniert und zu schützen. Für die terrestrische Nutzung der Frequenzen ist ein
           Koordinierungsradius von 20 km vorgesehen. Innerhalb dieses Radius erfolgt die Festset-
           zung der frequenztechnischen Parameter für Mobilfunkbasisstationen unter Berücksichti-
           gung der Topografie und der Nutzungsparameter im Einzelfall.

           Erdfunkstellen im Frequenzbereich 3.600 – 3.700 MHz
      89   Gemäß Frequenzplan dürfen bestehende und koordinierte Empfangsfunkanlagen des
           Festen Funkdienstes über Satelliten im Frequenzteilbereich 3.600 – 3.800 MHz nicht ge-
           stört werden (vgl. Frequenzplan, Stand April 2016, Eintrag 317 003). Im Bereich 3.600 –
           3.700 MHz sind daher folgende Standorte zu berücksichtigen:


                          Erdfunkstelle                                  Frequenzbereich
                                                                       (betroffene 10-MHz-Blöcke)
            Ruppichteroth                                               3.600 – 3.640 MHz
            Fuchsstadt                                                  3.600 – 3.700 MHz
            Backnang-Waldrems                                           3.620 – 3.700 MHz
            Berlin-Wannsee                                              3.650 – 3.700 MHz
            Landstuhl                                                   3.600 – 3.700 MHz
            Ottobrunn                                                   3.600 – 3.690 MHz
            Raisting                                                    3.630 – 3.700 MHz
            Weßling                                                     3.630 – 3.700 MHz
            Wiesbaden-Erbenheim                                         3.650 – 3.700 MHz
            Leeheim (Bundesnetzagentur)                                 3.600 – 3.700 MHz
               Tabelle 5: Bestehende Koordinierungen für den Empfang des Satellitenfunks im Bereich 3.600
               – 3.700 MHz

      90   Über die o. g. Standorte hinaus ist eine einstellige Zahl von Erdfunkstellen mit Sicher-
           heitsbezug zu berücksichtigen. Mit Blick hierauf können die Orte den Zuteilungsinhabern
           erst bilateral im Rahmen der Festsetzung der standortbezogenen Frequenznutzungspa-
           rameter mitgeteilt werden.
      91   Darüber hinaus ist im Frequenzplan für o. g. Erdfunkstellen im Einzelfall eine Entwick-
           lungsmöglichkeit vorgesehen (vgl. Frequenzplan, Stand April 2016, Eintrag 317 002):
                   „Der Frequenzteilbereich 3600 – 3800 MHz steht nach Einführung von Anwen-
                   dungen des Drahtlosen Netzzugangs zum Angebot von Telekommunikations-
                   dienstleistungen für den Festen Funkdienst über Satelliten nur noch einge-
                   schränkt zur Verfügung. Bestehende und koordinierte Empfangsfunkanlagen des
                   Festen Funkdienstes über Satelliten werden geschützt; Neuplanungen sind im
                   Einzelfall insbesondere für bestehende Standorte möglich.“
      92   Hinsichtlich der Entwicklungsmöglichkeit bestehender und koordinierter Standorte im Ein-
           zelfall wird auf Folgendes hingewiesen:
      93   Betreiber von bestehenden und koordinierten Erdfunkstellen können einen Antrag auf
           Koordinierung des Empfangs im Bereich 3.600 – 3.700 MHz stellen. In diesem Antrag ist
           durch ein Frequenznutzungskonzept darzulegen, warum der Frequenzbereich 3.800 –
           4.200 MHz im konkreten Einzelfall nicht ausreichend ist. Sofern diese Darlegung schlüs-
           sig ist, keine Nutzung durch den Zuteilungsinhaber des Mobilfunks besteht und dieser zu-

                                                           31


                                                                                                           Bonn, 7. Februar 2018
188

Amtsblatt der Bundesnetzagentur
                                 für Elektrizität, Gas, Telekommunikation, Post und Eisenbahnen
  3 2018                    – Mitteilungen, Telekommunikation, Teil A, Mitteilungen der Bundesnetzagentur –   361


           stimmt, wird die Koordinierung vorgenommen. Sofern bereits eine Nutzung durch den
           Mobilfunknetzbetreiber besteht, ist eine Abstimmung zwischen Erdfunkstellenbetreiber
           und Mobilfunknetzbetreiber erforderlich, um die Koordinierung im Einzelfall zu ermögli-
           chen.
     94    Hinsichtlich der Zustimmung des Mobilfunknetzbetreibers sind dessen konkrete Ausbau-
           pläne zu berücksichtigen. Diese sind ggf. gegenüber der Bundesnetzagentur darzulegen.
           Im Fall einer Überlassung oder temporären Nutzung der betroffenen Frequenzen ist auch
           die Mitwirkung des jeweiligen konkreten Frequenznutzers erforderlich.
     95    Der Empfang wird bei neu errichteten Standorten für Erdfunkstellen im Bereich 3.600 –
           3.700 MHz daher nicht geschützt.
     96    Die Erdfunkstelle Leeheim ist die Messstelle für Weltraumfunkdienste der Bundesnetza-
           gentur. Dieser Standort ist für den Empfang des Satellitenfunks im Bereich 3.600 –
           3.700 MHz koordiniert und zu schützen. Für die terrestrische Nutzung der Frequenzen ist
           ein Koordinierungsradius von 20 km vorgesehen. Innerhalb dieses Radius erfolgt die
           Festsetzung der frequenztechnischen Parameter für Mobilfunkbasisstationen unter Be-
           rücksichtigung der Topografie und der Nutzungsparameter im Einzelfall.
           Berücksichtigung des Observatoriums Wettzell
     97    Im Zusammenhang mit der Verfügbarkeit des 3,6-GHz-Bandes ist der Schutz des Geodä-
           tischen Observatoriums Wettzell (GOW) zu berücksichtigen, welches durch das Bundes-
           amt für Kartographie und Geodäsie (BKG) betrieben wird. Zur Erfüllung seiner gesetzli-
           chen Aufgaben führt das Observatorium Wettzell Messungen durch. Hierbei empfängt es
           Signale aus dem Weltraum übergreifend über viele Frequenzbereiche.
     98    Das BKG hat darauf hingewiesen, dass die Bereitstellung der Frequenzen die Messungen
           und damit die Erfüllung der Aufgaben des BKG beeinträchtigen könne. Hierbei wurde auf
           die besondere Bedeutung des 3,6-GHz-Bandes für die Messungen hingewiesen. Das 3,6-
           GHz-Band wurde aber auch als Pionierband für den 5G-Ausbau identifiziert. Daher hat die
           Bundesnetzagentur einen Dialog mit dem BKG aufgenommen. Ziel ist es, die Aufgaben
           des BKG mit denen der Bundesnetzagentur in einen verhältnismäßigen Ausgleich zu
           bringen.
     99    Zwar ist das 3,6-GHz-Band auch in räumlicher Nähe zum Observatorium Wettzell grund-
           sätzlich für Zuteilungen verfügbar, da es nicht durch andere Frequenznutzungen belegt
           ist. Die Messungen des BKG erfordern keine Aussendung von Signalen und stellen daher
           keine Frequenznutzung dar. (§ 3 Nr. 9 TKG). Abhängig von den Modalitäten einer Be-
           rücksichtigung des Observatoriums Wettzell könnte es für eine Mobilfunknutzung im 3,6-
           GHz-Band jedoch regional zu teils erheblichen Einschränkungen kommen.
    100    Es wird ein angemessener Interessensausgleich angestrebt. Hierfür erscheint es sach-
           dienlich, auf die Grundsätze der Verträglichkeit unterschiedlicher Funkanwendungen zu-
           rückzugreifen. Die Sicherstellung einer effizienten und störungsfreien Frequenznutzung
           kann nicht der einen oder der anderen Seite allein auferlegt werden. So wäre bei einem
           absoluten Schutz des Observatoriums ein Ausbau von 5G auf Grundlage des Pionierban-
           des 3,6 GHz in Teilen Bayerns voraussichtlich nur eingeschränkt möglich. Vielmehr müs-
           sen beide Seiten prüfen, welche Maßnahmen zum Schutz des jeweils anderen Interesses
           möglich sind. Ziel ist es, mögliche Einschränkungen zu minimieren, so dass es weder für
           den Empfang von Signalen am Observatorium Wettzell noch für den Mobilfunk zu unzu-
           mutbaren Beeinträchtigungen kommt.
    101    Für den Mobilfunk könnte dies durch Einzelkoordinierung im Rahmen der Festsetzung der
           standortbezogenen Frequenznutzungsparameter erreicht werden. Für Mobilfunkstandorte,
           die sich innerhalb einer noch zu bestimmenden Koordinierungszone um das Observatori-
           um Wettzell befinden, ist eine Einzelfallbetrachtung vorzunehmen. Dem Mobilfunknetzbe-
           treiber stehen für den jeweiligen Standort unterschiedliche Maßnahmen zur Verfügung,
           um Einschränkungen des Observatoriums Wettzell zu minimieren, so z. B.:


                                                           32


Bonn, 7. Februar 2018
189

Amtsblatt der Bundesnetzagentur
                             für Elektrizität, Gas, Telekommunikation, Post und Eisenbahnen
362                     – Mitteilungen, Telekommunikation, Teil A, Mitteilungen der Bundesnetzagentur –       3 2018


                    •    Einschränkung der Sendeleistung,
                    •    geringere Antennenhöhe,
                    •    Elevationsneigung der Antenne,
                    •    Ausrichtung der Antenne (nicht nach Wettzell) oder
                    •    Beschränkung auf Städte (Abschirmung durch Gebäude).
  102   Je näher ein Mobilfunkstandort dem Observatorium Wettzell ist, desto mehr Linderungs-
        maßnahmen dürften erforderlich sein. Die Größe einer solchen Koordinierungszone sowie
        der Umfang erforderlicher Linderungsmaßnahmen ist abhängig davon, welche Schutz-
        maßnahmen von Seiten des Observatoriums Wettzell ergriffen werden können.
  103   In diesem Zusammenhang besteht grundsätzlich die Möglichkeit von Betreiberabspra-
        chen, wie sie zum Beispiel zwischen Mobil- und Bahnfunk bereits vorgenommen werden.


            Knappheit

  104   Die Kammer ist aufgrund der qualifizierten Bedarfsanmeldungen vom 30. Septem-
        ber 2017 und unter Berücksichtigung der Anhörungen der betroffenen sowie der interes-
        sierten Kreise vom 20. Dezember 2016 (Orientierungspunkte; vgl. oben Verfahrensver-
        lauf) davon überzeugt, dass die Nachfrage nach Frequenzen in den oben genannten Be-
        reichen 2 GHz und 3.400 – 3.700 MHz das zur Verfügung stehende Spektrum übersteigt
        und die Frequenzen mithin im Sinne des § 55 Abs. 10 Satz 1 1. Alt. TKG knapp sind.
  105   Nach § 55 Abs. 10 Satz 1 TKG kann unbeschadet des § 55 Abs. 5 TKG angeordnet wer-
        den, dass der Zuteilung der Frequenzen ein Vergabeverfahren aufgrund der von der
        Kammer festzulegenden Bedingungen nach § 61 TKG voranzugehen hat, wenn Frequen-
        zen knapp sind. Die in den beiden Alternativen des § 55 Abs. 10 Satz 1 TKG vorausge-
        setzte Frequenzknappheit kann sich entweder aus der bereits feststehenden Tatsache ei-
        nes Antragsüberhangs (§ 55 Abs. 10 Satz 1, 2. Alt. TKG) oder aus der Prognose einer
        nicht ausreichenden mengenmäßigen Verfügbarkeit von Frequenzen ergeben (§ 55
        Abs. 10 Satz 1, 1. Alt. TKG).
  106   Unter Berücksichtigung des Gesetzeswortlautes wie auch des systematischen Zusam-
        menhangs der beiden Fallvarianten des § 55 Abs. 10 Satz 1 TKG bezieht sich die in der
        ersten Alternative genannte Prognose darauf, dass im Zuteilungszeitpunkt eine das ver-
        fügbare Frequenzspektrum übersteigende Anzahl von Zuteilungsanträgen gestellt sein
        wird. Grundlage dieser Prognose ist die Feststellung der Kammer, dass die Frequenz-
        nachfrage das Frequenzangebot übersteigt.
  107   Um die Frequenznachfrage festzustellen, steht mit dem Bedarfsermittlungsverfahren, ein
        in der Praxis erprobtes und aussagekräftiges mehrstufiges Verfahren zur Verfügung. Es
        trägt den Kriterien der Objektivität, Transparenz und Diskriminierungsfreiheit hinreichend
        Rechnung und räumt allen Bewerbern eine gleichmäßige Chance auf Zugang zu Fre-
        quenzen ein. Mit dem Bedarfsermittlungsverfahren fordert die Kammer zur Vorbereitung
        ihrer Entscheidung über den Erlass einer Vergabeanordnung öffentlich dazu auf, inner-
        halb einer angemessenen Frist Bedarfsanmeldungen in Bezug auf bestimmte Frequenzen
        einzureichen.
  108   Ein förmliches Bedarfsermittlungsverfahren ist in § 55 Abs. 10 TKG nicht ausdrücklich
        vorgeschrieben. Überdies greift die Kammer auch auf Erkenntnisse zurück, die eine ver-
        gleichbare Gewähr für die zutreffende Erfassung des aktuellen Frequenzbedarfs bieten
        und somit als Grundlage für die Prognose einer – unter Umständen nicht – ausreichenden
        Verfügbarkeit von Frequenzen nicht weniger geeignet sind (vgl. hierzu auch BVerwG
        6 C 3.10, Rn. 25). Die Feststellung der Knappheit wird insoweit nicht ausschließlich durch
        die angemeldeten Bedarfe bestimmt.


                                                          33


                                                                                                          Bonn, 7. Februar 2018
190

Amtsblatt der Bundesnetzagentur
                                     für Elektrizität, Gas, Telekommunikation, Post und Eisenbahnen
  3 2018                        – Mitteilungen, Telekommunikation, Teil A, Mitteilungen der Bundesnetzagentur –   363


    109    Die Kammer hat es für zweckmäßig und effizient erachtet, mit den Eckpunkten vom
           27. Juni 2017 ein Bedarfsermittlungsverfahren zur Feststellung des Frequenzbedarfs im
           2-GHz-Band und im 3,6-GHz-Band einzuleiten, um bei der Zuteilung der Frequenzen ein
           offenes, objektives, transparentes und diskriminierungsfreies Verfahren einzuhalten (siehe
           im Einzelnen Eckpunktepapier vom 27. Juni 2017, a. a. O.).
    110    In der Summe übersteigt die qualifizierte Frequenznachfrage den Umfang der verfügbaren
           Frequenzen in beiden Bereichen bei 2 GHz und 3.400 – 3.700 MHz. Im Bedarfsermitt-
           lungsverfahren haben mehrere Unternehmen qualifizierte Bedarfe angemeldet.
    111    Bei ihrer Betrachtung der Frequenznachfrage für den drahtlosen Netzzugang hat die
           Kammer diejenigen Bedarfe berücksichtigt, bei denen die interessierten Unternehmen
           nach Maßgabe eines qualifizierten Bedarfsermittlungsverfahrens die Ernsthaftigkeit ihrer
           Frequenznachfrage glaubhaft gemacht haben. In die Feststellung einer möglichen Fre-
           quenzknappheit hat die Kammer also solche Bedarfsanmeldungen einbezogen, bei denen
           die interessierten Unternehmen schlüssig und nachvollziehbar dargelegt haben, dass eine
           effiziente und störungsfreie Frequenznutzung im Sinne des § 55 Abs. 5 Satz 1 Nr. 4 TKG
           durch sie zum Zeitpunkt der Zuteilung sichergestellt sein wird. Dabei hat sich die schlüs-
           sige und nachvollziehbare Darlegung sowohl auf die subjektiven Voraussetzungen der
           Zuverlässigkeit, Leistungsfähigkeit und Fachkunde als auch auf die Vorlage eines schlüs-
           sigen Konzepts für die beabsichtigte Nutzung der zuzuteilenden Frequenzen zu erstre-
           cken. Bloße Interessensbekundungen oder Bedarfsankündigungen sind nicht ausreichend
           für eine Berücksichtigung im Rahmen der Bedarfsermittlungen.
    112    Die Kammer hat demzufolge im Bedarfsermittlungsverfahren hohe Anforderungen an die
           Bedarfsanmeldungen gestellt, um die Ernsthaftigkeit der angemeldeten Bedarfe sicherzu-
           stellen. Die Anforderungen an die inhaltliche Darlegung im Bedarfsermittlungsverfahren
           orientierten sich im Wesentlichen an denen eines Zulassungsverfahrens im Rahmen ei-
           nes Versteigerungsverfahrens im Sinne der §§ 55 Abs. 4 und 5, 61 Abs. 4 Satz 3 TKG,
           ohne jedoch entsprechende Nachweise zu verlangen. Hierzu wurde in den Erwägungen
           der Eckpunkte vom 27. Juni 2017 Folgendes ausgeführt (siehe Eckpunkte, a. a. O.,
           S. 26):
                        „Entsprechend dem Zweck einer Bedarfsabfrage sind solche Bedarfsanmeldun-
                        gen besonders aussagekräftig, die bei ihrer Darlegung eines Interesses an der
                        konkreten Nutzung der Frequenzen auch die sachlichen und subjektiven Kriterien
                        für eine künftige Frequenzzuteilung berücksichtigen (§ 55 Abs. 3, 4 und 5 TKG).
                        (…) Dabei hat sich die schlüssige und nachvollziehbare Darlegung sowohl auf
                        die subjektiven Voraussetzungen der Zuverlässigkeit, Leistungsfähigkeit und
                        Fachkunde als auch auf die Vorlage eines schlüssigen Konzepts für die beab-
                        sichtigte Nutzung der zuzuteilenden Frequenzen zu erstrecken (…).“
    113    Über die Glaubhaftmachung des Frequenzbedarfs hinausgehende Nachweise der Zutei-
           lungspetenten (wie z. B. Finanzierungszusagen) würden diese zu diesem Verfahrenszeit-
           punkt über Gebühr belasten – nicht zuletzt auch wegen der damit verbundenen Kosten –
           und sind mithin nicht verhältnismäßig.
    114    In diesem Zusammenhang weist die Kammer darauf hin, dass die Bedarfsanmeldungen
           der Ermittlung eines möglichen Bedarfsüberhangs und der sich hieraus ergebenden ge-
           setzlich vorgesehenen Verfahrensschritte für die Frequenzzuteilungen dienen. Die Be-
           darfsermittlung erfolgt nach Maßgabe des § 55 TKG sowie diskriminierungsfrei auf der
           Grundlage nachvollziehbarer und objektiver Verfahren. Hierfür ist es erforderlich, dass die
           Kammer Frequenzbedarfe zugrunde legt, die auf objektiven Tatsachen beruhen und die
           tatsächlichen Bedarfe interessierter Unternehmen widerspiegeln. Daher ist es mit dem
           Zweck des Bedarfsermittlungsverfahrens unvereinbar, wenn dieses objektive Verfahren
           bzw. die Bedarfslage im Markt strategisch beeinflusst wird.
    115    Die Frequenzen werden durch die Bundesnetzagentur erst auf schriftlichen Antrag der
           Bewerber und erst nach Teilnahme an einem Vergabeverfahren zugeteilt. Hierfür wird die
           Bundesnetzagentur zeitnah vor der Durchführung eines Vergabeverfahrens auffordern,

                                                               34


Bonn, 7. Februar 2018
191

Amtsblatt der Bundesnetzagentur
                           für Elektrizität, Gas, Telekommunikation, Post und Eisenbahnen
364                   – Mitteilungen, Telekommunikation, Teil A, Mitteilungen der Bundesnetzagentur –       3 2018


        die Zulassung zu dem Vergabeverfahren zu beantragen, § 61 Abs. 4 Satz 3 TKG. Auch
        die Bewerber, die ihr Interesse an konkreten Nutzungen der Frequenzen in den Bereichen
        2 GHz und 3.400 – 3.700 MHz bereits während des Bedarfsermittlungsverfahrens qualifi-
        ziert dargelegt haben, müssen gemäß § 55 Abs. 4 und 5 TKG entsprechende konkretere
        Darlegungen und auch Nachweise für die Erfüllung der gesetzlichen Zuteilungsvorausset-
        zungen erbringen, § 61 Abs. 4 Satz 5 TKG.
  116   Die Kammer hält alle qualifizierten Bedarfsanmeldungen für hinreichend aussagekräftig,
        um eine Prognose darüber treffen zu können, dass mit einer die verfügbaren Frequenzen
        im 2-GHz und 3,6-GHz-Band übersteigenden Anzahl von Anträgen zu rechnen ist (vgl.
        § 55 Abs. 10 Satz 1 Alt. 1 TKG).
  117   Die interessierten Unternehmen haben nach Maßgabe des Bedarfsermittlungsverfahrens
        (s. Eckpunktepapier vom 27. Juni 2017, a. a. O.) schlüssige und nachvollziehbare Kon-
        zepte vorgelegt.
  118   Die Kammer ist nach Prüfung der Bedarfsanmeldungen zu dem Ergebnis gelangt, dass
        die Bedarfsanmeldungen in der Summe das verfügbare Spektrum in den Bereichen
        2 GHz und 3.400 – 3.700 MHz übersteigen.
  119   Diese qualifizierten Bedarfsanmeldungen und der sich daraus ergebende Nachfrageüber-
        hang bilden bereits eine hinreichende Tatsachengrundlage für die Prognoseentscheidung
        der Kammer. Danach geht die Kammer davon aus, dass für Zuteilungen nicht in ausrei-
        chendem Umfang geeignetes Spektrum verfügbar sein wird. Ihrer Prognoseentscheidung
        nach § 55 Abs. 10 Satz 1 Alt. 1 TKG legt die Kammer nach umfassenden Sachverhalts-
        ermittlungen alle Tatsachen zugrunde, die zur Klärung der Verfügbarkeit ausreichenden
        Frequenzspektrums zum Zeitpunkt der Vergabe von Belang sind.
  120   Neben dem Bedarfsermittlungsverfahren stützt sich die Präsidentenkammer in ihrer Prog-
        nose über einen gegebenenfalls bestehenden Bedarfsüberhang an Frequenzen aber
        auch auf weitere Tatsachen. Diese Tatsachen beziehen sich im Folgenden auf das wett-
        bewerbliche Umfeld, die Erwartungen steigender Frequenznutzungen sowie die techni-
        schen Entwicklungen.
  121   Grundsätzlich ist in einem wettbewerblichen Umfeld, wie hier vorliegend im Bereich des
        drahtlosen Netzzugangs als Grundlage für Dienste des öffentlichen Mobilfunks, davon
        auszugehen, dass die Ressource Frequenz in hohem Maße nachgefragt wird. Es ist an-
        zunehmen, dass Mobilfunknetzbetreiber in ihren Erwägungen für eine Frequenznachfrage
        nicht nur technische Aspekte im Hinblick auf die Bereitstellung von Diensten für ihre eige-
        nen Kunden berücksichtigen. Ein Frequenzbedarf wird sich nicht nur absolut auf die Ka-
        pazitätsanforderungen im eigenen Netz, sondern auch relativ im Vergleich zur Fre-
        quenzausstattung der anderen Marktteilnehmer ergeben. Aus einer besseren Fre-
        quenzausstattung kann ein Wettbewerbsvorteil gegenüber anderen Anbietern resultieren.
  122   Die Leistungsfähigkeit eines Mobilfunknetzes bestimmt sich neben dem Umfang des
        Netzaufbaus und der eingesetzten Technik vor allem aus der Frequenzausstattung. Ins-
        besondere mit Blick auf die Entwicklung der Nachfrage nach mobilen Datendiensten bietet
        jeder zusätzliche Frequenzblock einen Mehrwert für den Netzbetreiber, da dieser damit
        entweder zusätzliche Dienste anbieten oder die Qualität eines Datendienstes verbessern
        kann, bspw. in Form einer höheren Datenrate.
  123   Auch aufgrund des rasanten Anstiegs der Kapazitätsanforderungen ist davon auszuge-
        hen, dass zusätzliche Frequenzen nachgefragt werden. Während sich in den Jahren von
        2010 bis 2017 die insgesamt verfügbare Frequenzausstattung um ca. 20 % erhöht hat,
        hat sich im selben Zeitraum das über Mobilfunknetze transportierte Datenverkehrsvolu-
        men von 65 Mio. Gigabyte auf 1.470 Mio. Gigabyte um über 2000 % erhöht (vgl. Tätig-
        keitsbericht Telekommunikation 2016/2017 der Bundesnetzagentur, S. 40).
  124   Die Nachfrage nach mobilen, zunehmend breitbandigen Datendiensten wird auch künftig
        weiter zunehmen, sowohl weltweit als auch in Europa und Deutschland. Studien gehen
        von einer Wachstumsrate in Höhe von ca. 45 % bezogen auf Europa für die Folgejahre

                                                        35


                                                                                                        Bonn, 7. Februar 2018
192

Amtsblatt der Bundesnetzagentur
                                 für Elektrizität, Gas, Telekommunikation, Post und Eisenbahnen
  3 2018                    – Mitteilungen, Telekommunikation, Teil A, Mitteilungen der Bundesnetzagentur –   365


           bis 2022 aus (vgl. Ericsson Mobility Report und Cisco Visual Networking Index). Eine Ver-
           dichtung des Netzes oder der Einsatz effizienterer Technik allein dürften nicht ausreichen,
           um die für diese Nachfrage nach Datendiensten zusätzliche Kapazität bereitzustellen.
           Somit ist auch aufgrund der höheren Kapazitätsanforderungen mit einer hohen Nachfrage
           nach Frequenzen in den Bereichen 2 GHz und 3,6 GHz zu rechnen.
    125    Zudem ist zu berücksichtigen, dass der Frequenzbereich 3,6 GHz in Europa als Pionier-
           band für 5G-Anwendungen identifiziert wurde. Dies treibt die Entwicklung eines Standards
           voran, der für die Bereitstellung von Technik benötigt wird. Vor diesem Hintergrund ist ei-
           ne baldige Nutzung des Frequenzbereichs für breitbandige 5G-Anwendungen wahr-
           scheinlich. Der Bereich 3,6 GHz bietet im Vergleich zu niedrigeren Frequenzen des draht-
           losen Netzzugangs den Vorteil großer, zusammenhängender Frequenzblöcke, so dass
           dieser Bereich dafür prädestiniert ist, breitbandige Funkanwendungen bereitzustellen. Aus
           diesem Grund ist zu erwarten, dass für diese Frequenzen eine hohe Nachfrage besteht.
    126    Der Bereich 2 GHz wird derzeit für UMTS- und zunehmend auch für LTE-Systeme ge-
           nutzt. Mittelfristig werden diese Frequenzen auch für zukünftige 5G-Anwendungen benö-
           tigt. Somit ist sowohl von einer intensiven UMTS- als auch von einer LTE-Nutzung über
           bestehende Infrastruktur und einem entsprechenden künftigen Interesse an den Frequen-
           zen im Bereich 2 GHz auszugehen.
    127    Somit sprechen nicht nur die konkreten Ergebnisse des Bedarfsermittlungsverfahrens,
           sondern auch abstrakte technische und wirtschaftliche Entwicklungen dafür, dass die
           Nachfrage nach Frequenzen in den Bereichen 2 GHz und 3.400 – 3.700 MHz das zur
           Verfügung stehende Spektrum übersteigt und die Frequenzen mithin im Sinne des § 55
           Abs. 10 Satz 1 1. Alt. TKG knapp sind.


                Anordnung eines Vergabeverfahrens

    128    Die Anordnung eines Vergabeverfahrens erfolgt gemäß § 55 Abs. 10, § 61 TKG, § 2 Abs.
           2 und 3, § 55 Abs. 4 und 5 TKG dergestalt, dass der Zuteilung der Frequenzen für den
           drahtlosen Netzzugang in den Bereichen 2 GHz und 3.400 – 3.700 MHz ein Vergabever-
           fahren voranzugehen hat.
    129    Nach § 55 Abs. 10 TKG „kann“ die Bundesnetzagentur unbeschadet des Absatzes 5 an-
           ordnen, dass der Zuteilung von Frequenzen ein Vergabeverfahren nach § 61 TKG voran-
           zugehen hat. Im Falle einer Knappheit besteht eine gesetzliche Vorprägung, dass ein
           Vergabeverfahren anzuordnen ist.
    130    In den Frequenzbereichen 2 GHz und 3.400 – 3.700 MHz sind für Frequenzzuteilungen
           nicht in ausreichendem Umfang verfügbare Frequenzen vorhanden (vgl. hierzu unter
           Rn. 104 ff.). Für diese Frequenzbereiche besteht nach § 55 Abs. 10 TKG aufgrund der
           festgestellten Knappheit der Frequenzen grundsätzlich eine gesetzliche Vorprägung für
           die Anordnung eines Vergabeverfahrens.
    131    Das Vergabeverfahren ist geeignet, den gesetzlichen Auftrag der Bundesnetzagentur si-
           cherzustellen. Eine Verlängerung von Frequenznutzungsrechten wäre nicht gleicherma-
           ßen geeignet, die Regulierungsziele nach § 2 Abs. 2 TKG sicherzustellen.
    132    Mit der Durchführung eines Vergabeverfahrens wird den Regulierungszielen der Verbrau-
           cherinteressen nach § 2 Abs. 2 Nr. 1 und 2 TKG mit Blick auf die Vorteile der Verbraucher
           in Bezug auf Auswahl, Qualität und Preis grundsätzlich Rechnung getragen. Aufgrund ei-
           ner technologie- und diensteneutralen Zuteilung der bereitgestellten Frequenzen kann der
           Ausbau der Breitbandinfrastruktur sowie die Einführung innovativer 5G-Anwendungen ab-
           hängig von den Geschäftsmodellen der Mobilfunknetzbetreiber und der Nachfrage der
           Verbraucher erfolgen. Mit der Ausgestaltung des Vergabeverfahrens werden Anreize ge-
           setzt, wonach die Frequenzen schnellstmöglich und effizient genutzt werden, damit für
           den Verbraucher innovative Dienste zu erschwinglichen Preisen bereitgestellt werden. Im
           Falle einer Verlängerung ist nicht gleichermaßen sichergestellt, dass auch der Breitband-

                                                           36


Bonn, 7. Februar 2018
193

Amtsblatt der Bundesnetzagentur
                            für Elektrizität, Gas, Telekommunikation, Post und Eisenbahnen
366                    – Mitteilungen, Telekommunikation, Teil A, Mitteilungen der Bundesnetzagentur –       3 2018


         ausbau schnellstmöglich erfolgt. Das „Refarming“ der Frequenzbereiche 2 GHz und 3,6
         GHz ist aus regulatorischer Sicht angezeigt, um möglichst frühzeitig Innovationspotenziale
         zu schaffen, die im Falle einer Verlängerung einzelner Zuteilungen nicht sichergestellt wä-
         ren.
  133    Mit einem Vergabeverfahren wird ein wesentliches Regulierungsziel, nämlich die Sicher-
         stellung chancengleichen Wettbewerbs und Förderung nachhaltig wettbewerbsorientierter
         Märkte (§ 2 Abs. 2 Nr. 2 TKG), realisiert. Das Vergabeverfahren ist ein objektives, offe-
         nes, transparentes und diskriminierungsfreies Verfahren, das sowohl den etablierten Mo-
         bilfunknetzbetreibern als auch Markteinsteigern für die jeweiligen Geschäftsmodelle den
         chancengleichen Zugang zu der Ressource Frequenz ermöglicht. Ein chancengleicher
         Wettbewerb für Marktteilnehmer und Neueinsteiger kann insbesondere durch ein Verga-
         beverfahren mit geeigneten Verfahrensregelungen sichergestellt werden. Eine Zugangs-
         möglichkeit eines Neueinsteigers wäre im Fall der Verlängerung der Frequenzzuteilungen
         ausgeschlossen. Gerade mit Blick auf die geänderte Marktstruktur gilt es, den Zugang zu
         Frequenzressourcen in einem offenen, transparenten und diskriminierungsfreien Verfah-
         ren sicherzustellen, um hierdurch den Wettbewerb auf Infrastruktur- und Diensteebene zu
         fördern.
  134    Um wettbewerbsorientierte Märkte nachhaltig zu fördern, müssen auch bei der Bereitstel-
         lung von Frequenzen für Wettbewerber die Rahmen- und Verfahrensbedingungen so ge-
         staltet werden, dass in möglichst weiten Bereichen funktionsfähiger Wettbewerb fortbe-
         stehen und intensiviert werden kann . Das Vergabeverfahren ist geeignet, mögliche nega-
         tive wettbewerbliche Auswirkungen in Bezug auf die Frequenzausstattung zu verhindern.
         Im Gegensatz zu einer Verlängerung kann erreicht werden, dass auch die bestehenden
         Netzbetreiber ihre Frequenzausstattungen in Bezug auf die sich ändernden marktlichen
         Rahmenbedingungen und ihre jeweiligen Geschäftsmodelle anpassen können.
  135    Durch ein Vergabeverfahren kann dem Regulierungsziel, den Ausbau hochleistungsfähi-
         ger öffentlicher Telekommunikationsnetzen der nächsten Generation (§ 2 Abs. 2
         Nr. 5 TKG)zu beschleunigen, Rechnung getragen werden. Mit der technologieneutralen
         Bereitstellung der Frequenzen in einem Vergabeverfahren werden Anreize gesetzt, die
         Frequenzen schnellstmöglich und effizient für hochleistungsfähige mobile Breitbandnetze
         zu nutzen. Eine Verlängerung stellt nicht gleichermaßen sicher, dass der Ausbau hoch-
         leistungsfähiger öffentlicher Telekommunikationsnetzen der nächsten Generation
         schnellstmöglich erfolgt. Für den Breitbandausbau ist ein geeignetes Kanalraster von
         5 MHz oder einem Vielfachen hiervon förderlich, was bei einer Verlängerung der Fre-
         quenznutzungsrechte im Bereich 2 GHz nicht gegeben wäre.
  136    Das Vergabeverfahren ist geeignet, die effiziente Frequenznutzung im Sinne des § 2
         Abs. 2 Nr. 7 TKG sicherzustellen. Mit dem Vergabeverfahren kann festgestellt werden,
         welche der Zuteilungspetenten am besten geeignet sind, die zu vergebenden Frequenzen
         effizient zu nutzen. So belegt ein erfolgreiches Gebot typischerweise die Bereitschaft und
         die Fähigkeit, die zuzuteilende Frequenz im marktwirtschaftlichen Wettbewerb der Dienst-
         leistungsangebote möglichst optimal einzusetzen und sich um eine wirtschaftliche und
         sparsame Verwendung der Frequenz zu bemühen.

        Zu II.   Wahl des Vergabeverfahrens nach § 61 Abs. 1 TKG
  137    Die Kammer ordnet an, dass der Zuteilung der Frequenzen in den Bereichen 2 GHz sowie
         3.400 – 3.700 MHz ein Versteigerungsverfahren voranzugehen hat, § 61 Abs. 1 und 2
         TKG.
  138    Die Durchführung der Versteigerung stellt die Regulierungsziele nach § 2 Abs. 2 TKG
         sicher. Ein Vergabeverfahren kann gemäß § 61 Abs. 1 Satz 1 TKG als Versteigerungsver-
         fahren oder als Ausschreibungsverfahren durchgeführt werden. Nach § 61 Abs. 2 Satz 1
         TKG ist grundsätzlich das Versteigerungsverfahren nach § 61 Abs. 4 TKG durchzuführen,
         es sei denn, dieses Verfahren ist nicht geeignet, die Regulierungsziele nach § 2 Abs. 2
         TKG sicherzustellen. Für ein Ermessen auf der Rechtsfolgenseite verbleibt somit kein

                                                         37


                                                                                                         Bonn, 7. Februar 2018
194

Amtsblatt der Bundesnetzagentur
                                     für Elektrizität, Gas, Telekommunikation, Post und Eisenbahnen
  3 2018                        – Mitteilungen, Telekommunikation, Teil A, Mitteilungen der Bundesnetzagentur –   367


           Raum. Hierzu hat das Bundesverwaltungsgericht (vgl. BVerwG, Urteil vom 10. Oktober
           2012, Az: 6 C 13/11, Rn. 33) Folgendes ausgeführt:
                        „Bei der danach vorzunehmenden Verfahrensbestimmung hat die Bundesnetza-
                        gentur zwar kein Ermessen, denn nach § 61 Abs. 2 Satz 1 TKG ist grundsätzlich
                        das Versteigerungsverfahren durchzuführen, falls dieses Verfahren nicht aus-
                        nahmsweise ungeeignet zur Erreichung der Regulierungsziele ist. Im Hinblick auf
                        diese Bewertung ist aber - auf der Tatbestandsseite der Norm - ein Beurteilungs-
                        spielraum der Bundesnetzagentur anzuerkennen. Er rechtfertigt sich aus der
                        Notwendigkeit, zur Bestimmung der Geeignetheit bzw. Ungeeignetheit des Ver-
                        steigerungsverfahrens in eine komplexe Abwägung der Regulierungsziele einzu-
                        treten, was die Gewichtung und den Ausgleich gegenläufiger öffentlicher und pri-
                        vater Belange einschließt.“
    139    Nach der Systematik der gesetzlichen Regelung besteht gemäß § 61 Abs. 2 Satz 1 TKG
           ein Regel-Ausnahme-Verhältnis zugunsten des Versteigerungsverfahrens. Der Geset-
           zeswortlaut gibt expressis verbis vor, dass „grundsätzlich“ das Versteigerungsverfahren
           durchzuführen ist, es sei denn, dieses Verfahren ist ausnahmsweise nicht geeignet, die
           Regulierungsziele nach § 2 Abs. 2 TKG sicherzustellen. Mit einer Auktion kann das ge-
           setzliche Ziel eines Vergabeverfahrens erreicht werden, nämlich diejenigen Bewerber
           auszuwählen, die am besten geeignet sind, die Frequenzen effizient zu nutzen. In der
           amtlichen Begründung zu § 61 Abs. 4 TKG (§ 59 Abs. 5 TKG des Regierungsentwurfs
           TKG-2004, BR-Drs. 755/03, S. 109) wird in diesem Zusammenhang Folgendes ausge-
           führt:
                        „Das erfolgreiche Gebot belegt typischerweise die Bereitschaft und die Fähigkeit,
                        die zuzuteilende Frequenz im marktwirtschaftlichen Wettbewerb der Dienstleis-
                        tungsangebote möglichst optimal einzusetzen und sich um eine wirtschaftliche
                        und sparsame Verwendung der Frequenz zu bemühen.“
    140    Das Versteigerungsverfahren ist geeignet, eine sparsame und optimale Verwendung der
           Frequenzressourcen zu fördern. Es setzt Anreize zum Einsatz möglichst effizienter Funk-
           systeme und eine damit verbundene möglichst optimale und sparsame Nutzung der Fre-
           quenzspektren im Wettbewerb. Auch sind keine Anhaltspunkte ersichtlich, dass ein Aukti-
           onsverfahren zu Nachteilen für den Breitbandausbau führen wird, indem Finanzmittel für
           den Netzausbau entzogen würden. Dieser Vortrag wird beispielsweise durch den zügigen
           Breitbandausbau nach den Versteigerungen seit dem Jahr 2010 widerlegt.
    141    Nach § 61 Abs. 2 Satz 2 TKG kann es an der Eignung des Versteigerungsverfahrens zur
           Sicherstellung der Regulierungsziele mangeln, wenn entweder für die Frequenznutzung,
           für die die Frequenzen unter Beachtung des Frequenzplanes verwendet werden dürfen,
           bereits Frequenzen ohne vorherige Durchführung eines Versteigerungsverfahrens zuge-
           teilt wurden oder ein Antragsteller für die zuzuteilenden Frequenzen eine gesetzlich be-
           gründete Präferenz geltend machen kann. Die beiden genannten Fallbeispiele sind zwar
           nicht abschließend („insbesondere“), zugleich aber auch nicht zwingend („kann“). Ihr Vor-
           liegen kann zwar grundsätzlich eine fehlende Eignung des Versteigerungsverfahrens be-
           gründen, führt aber keinesfalls zwingend zur Unzulässigkeit des Versteigerungsverfah-
           rens. Bei Vorliegen besonderer Gründe lässt sich gleichwohl die Wahl für das Versteige-
           rungsverfahren rechtfertigen.
    142    Bislang wurden alle zur Vergabe gestellten Frequenzen für mobiles Breitband im Rahmen
           von Versteigerungsverfahren vergeben. Auch eine gesetzlich begründete Präferenz nach
           § 61 Abs. 2 Satz 2 TKG ist hier nicht ersichtlich.
    143    Das Versteigerungsverfahren ist auch geeignet, die Regulierungsziele nach § 2 Abs. 2
           TKG sicherzustellen.
    144    Mit dem Versteigerungsverfahren steht ein objektives, offenes, transparentes und diskri-
           minierungsfreies Verfahren zur wettbewerblichen Allokation von Frequenzspektrum zur
           Verfügung. Mit dem Versteigerungsverfahren kann insbesondere dem Infrastrukturge-

                                                               38


Bonn, 7. Februar 2018
195

Amtsblatt der Bundesnetzagentur
                           für Elektrizität, Gas, Telekommunikation, Post und Eisenbahnen
368                   – Mitteilungen, Telekommunikation, Teil A, Mitteilungen der Bundesnetzagentur –       3 2018


        währleistungsauftrag nach Art. 87 f GG hinreichend Rechnung getragen werden und zu-
        gleich nachhaltig wettbewerbsorientierte Märkte der Telekommunikation im Bereich der
        Dienste und Netze, auch in der Fläche, gefördert werden.
  145   Das Versteigerungsverfahren ist gemessen an dem Regulierungsziel der Verbraucherinte-
        ressen nach § 2 Abs. 2 Nr. 1 TKG das geeignete Vergabeverfahren. Durch die Vergabe
        von Frequenzen in einem anreizorientierten Versteigerungsverfahren kann die Frequen-
        zallokation optimiert werden. Damit wird dem Markt ein Höchstmaß an Flexibilität entspre-
        chend den jeweiligen Geschäftsmodellen gegeben, welches die Netzbetreiber entspre-
        chend den Verbraucherinteressen in Bezug auf Preis, Qualität und Auswahl nutzen kön-
        nen. Mit der Vergabe der Frequenzen in einem Versteigerungsverfahren werden Anreize
        gesetzt, dass die Frequenzen im Interesse der Verbraucher schnellstmöglich genutzt und
        damit zum Angebot innovativer Dienste im Wettbewerb eingesetzt werden.
  146   Das Versteigerungsverfahren ist gemessen an dem Regulierungsziel des § 2 Abs. 2 Nr. 2
        TKG das geeignete Vergabeverfahren zur Sicherstellung eines chancengleichen Wettbe-
        werbs und Förderung nachhaltig wettbewerbsorientierter Märkte der Telekommunikation
        im Bereich der Telekommunikationsdienste und -netze sowie der zugehörigen Einrichtun-
        gen und Dienste, auch in der Fläche. Mit der Durchführung eines Versteigerungsverfah-
        rens erhalten sowohl die bestehenden Mobilfunknetzbetreiber als auch Neueinsteiger im
        Verbraucherinteresse gleichermaßen in einem offenen, diskriminierungsfreien und trans-
        parenten Verfahren Zugang zu den Frequenzressourcen. Sämtliche Bieter erhalten in ei-
        nem solchen Verfahren ein Höchstmaß an Transparenz und Flexibilität in Bezug auf die
        Wert- und Nutzungsinterdependenzen zwischen den verschiedenen Frequenzbändern in
        den Bereichen 2 GHz sowie 3.400 – 3.700 MHz.
  147   Insbesondere ist das Versteigerungsverfahren geeignet, chancengleichen Wettbewerb
        und die Förderung nachhaltig wettbewerbsorientierter Märkte sicherzustellen. Das Ver-
        steigerungsverfahren eröffnet einen diskriminierungsfreien Zugang zu den Frequenzres-
        sourcen sowohl für bestehende Mobilfunknetzbetreiber als auch für mögliche Neueinstei-
        ger.
  148   Das Versteigerungsverfahren ist im Sinne des § 2 Abs. 2 Nr. 5 TKG geeignet, den Ausbau
        hochleistungsfähiger Telekommunikationsnetze der nächsten Generation zu beschleuni-
        gen. Durch die Höchstgebote in einem Versteigerungsverfahren werden Anreize dafür ge-
        setzt, dass die Frequenzen zügig und nachfragegerecht für mobiles Breitband eingesetzt
        werden, damit die Erwerbskosten schnellstmöglich amortisiert werden.
  149   Das Versteigerungsverfahren ist im Sinne des § 2 Abs. 2 Nr. 7 TKG geeignet, die effizien-
        te Frequenznutzung sicherzustellen. Das Versteigerungsverfahren ist geeignet, eine opti-
        male und sparsame Verwendung der Ressourcen zu fördern und setzt Anreize zum Ein-
        satz möglichst effizienter Funksysteme und eine damit verbundene möglichst optimale
        Nutzung der Frequenzressourcen im Wettbewerb.


            Rechtsmittelbelehrung

            Gegen diesen Bescheid kann innerhalb eines Monats nach Bekanntgabe Klage bei
            dem Verwaltungsgericht in Köln, Appellhofplatz, 50667 Köln, schriftlich oder zur Nie-
            derschrift des Urkundsbeamten der Geschäftsstelle erhoben werden. Die Klage muss
            den Kläger, den Beklagten und den Streitgegenstand bezeichnen. Sie soll einen be-
            stimmten Antrag enthalten. Die zur Begründung dienenden Tatsachen und Beweis-
            mittel sollen angegeben werden. Die Klage hat nach § 137 Abs. 1 TKG keine auf-
            schiebende Wirkung.
            Der Klage nebst Anlagen sollen so viele Abschriften beigefügt werden, dass alle Be-
            teiligten eine Ausfertigung erhalten können.
            Bundesnetzagentur für Elektrizität, Gas,


                                                        39


                                                                                                        Bonn, 7. Februar 2018
196

Zur nächsten Seite