amtsblatt-13

Dieses Dokument ist Teil der Anfrage „Amtsblätter bis 2018

/ 119
PDF herunterladen
Amtsblatt der Bundesnetzagentur
                                   für Elektrizität, Gas, Telekommunikation, Post und Eisenbahnen
13 2017                       – Mitteilungen, Telekommunikation, Teil A, Mitteilungen der Bundesnetzagentur –   2741


                                                                13


                 •   Dieses Vorgehen dient dem Regulierungsziel der Beschleunigung des Ausbaus
                     hochleistungsfähiger öffentlicher Telekommunikationsnetze der nächsten Generation
                     gemäß § 2 Abs. 2 Nr. 5 TKG. Durch eine gemeinsame Bereitstellung kann den Un-
                     ternehmen größtmögliche Planungs- und Investitionssicherheit, insbesondere mit
                     Blick auf die Einführung neuer Techniken – z. B. 5G – gegeben werden.
                 •   Mit der gemeinsamen Bereitstellung verfolgt die Bundesnetzagentur das Ziel, in ei-
                     nem offenen transparenten und diskriminierungsfreien Verfahren unterschiedliche re-
                     gulatorischen Rahmenbedingungen in einem Band anzugleichen und regulierungsin-
                     duzierte Knappheit zu vermeiden.
                 •   Eine Verlängerung der bestehenden Frequenzzuteilungen auf einen einheitlichen
                     Auslaufzeitpunkt im Jahr 2025 würde die fusionsbedingten Unterschiede in den Fre-
                     quenzausstattungen der Netzbetreiber bei 2 GHz verfestigen. Auch die frühzeitige
                     Zugangsmöglichkeit für Neueinsteiger, Frequenzen in einem offenen, transparenten
                     und diskriminierungsfreien Verfahren zu erwerben, wäre ausgeschlossen.
                 •   Die frühzeitige gemeinsame Bereitstellung der Frequenzen dient demzufolge auch
                     dem Grundsatz einfacher, zweckmäßiger und zügiger Verwaltungsverfahren.




             2.    Verwendungszweck
             Die 2-GHz-Frequenzen werden bundesweit für den Drahtlosen Netzzugang zur Verfü-
             gung gestellt.




             Erwägungen:
                 •   Die Frequenznutzung, für die die bereitzustellenden Frequenzen im Bereich 2 GHz
                     unter Beachtung des Frequenzplanes verwendet werden dürfen, ist der Drahtlose
                     Netzzugang. Der Drahtlose Netzzugang wird im Allgemeinen Teil des Frequenzplans
                     definiert als: „Diese Frequenznutzung dient der Anbindung von Endgeräten an Funk-
                     netze über ortsfeste Stationen. Hierbei werden in der Regel Telekommunikations-
                     dienste angeboten.“ Mit dieser Festlegung können die Frequenzen im Rahmen des
                     im Frequenzplan mit "Drahtloser Netzzugang zum Angebot von Telekommunikati-
                     onsdiensten" angegebenen Nutzungszwecks ohne Einschränkung technologie- und
                     diensteneutral verwendet werden.
                 •   Damit ist die Voraussetzung dafür geschaffen, dass die gepaarten 2-GHz-
                     Frequenzen flexibel für 5G-Dienste eingesetzt werden können, sobald die Technik
                     verfügbar ist.
                 •   Die gepaarten Frequenzen im Bereich 2 GHz werden für eine bundesweite Nut-
                     zungsmöglichkeit bereitgestellt. Eine bundesweite Zuteilung dieser Frequenzen für
                     den Drahtlosen Netzzugang ermöglicht es, dass Netze für innovative mobile Breit-
                     bandangebote auch in der Fläche auf- und ausgebaut werden können. Überdies kann
                     dem Regulierungsziel einer effizienten und störungsfreien Frequenznutzung im Sinne
                     der § 52 TKG und § 2 Abs. 2 Nr. 7 TKG durch eine bundesweite Zuteilung dieser
                     Frequenzen bestmöglich Rechnung getragen werden, da bei einer bundesweiten Zu-
                     teilung der Frequenzen ein geringerer Koordinierungsaufwand erforderlich ist als bei
                     einer regionalen bzw. lokalen Zuteilung.
                 •   Eine bundesweite Bereitstellung des Spektrums steht im Einklang mit der bisherigen
                     Verwaltungspraxis (Konsistenzgebot). Im Frequenzbereich 2 GHz (gepaart) hat sich
                     gezeigt, dass die Versorgung der Endkunden effizient durch bundesweite Anbieter si-




Bonn, 12.Juli 2017
65

Amtsblatt der Bundesnetzagentur
                           für Elektrizität, Gas, Telekommunikation, Post und Eisenbahnen
2742                  – Mitteilungen, Telekommunikation, Teil A, Mitteilungen der Bundesnetzagentur –   13 2017


                                                     14


           chergestellt werden kann. Dementsprechend sind auch die bisher in diesem Bereich
           vorgenommenen Zuteilungen bundesweit erfolgt.




   3.   5-MHz-Blöcke
   Die Bereitstellung der 2-GHz-Frequenzen erfolgt in 5-MHz-Blöcken. Schutzbänder wer-
   den nicht festgelegt.




   Erwägungen:
       •   Die Frequenzen im Bereich 2 GHz sollen in zwölf Blöcken à 2 x 5 MHz (gepaart) be-
           reitgestellt werden. Dies entspricht der kleinsten gemeinsamen technisch sinnvollen
           Spektrumsmenge der Breitbandtechniken UMTS und LTE, aber auch zukünftigen
           Mobilfunk-Techniken mit Blick auf 5G-Anwendungen. Kleinere Spektrumsmengen
           könnten zu Frequenzausstattungen führen, mit denen eine Nutzung mit Breitband-
           techniken ausgeschlossen wird. Größere Blöcke könnten hingegen die Flexibilität
           künftiger Frequenznutzer einschränken und würden den Zugang zu diesem Spektrum
           erschweren.
       •   Ziel ist es, den gesamten Frequenzbereich von 1920,0 – 1980,0 MHz / 2110,0 –
           2170,0 MHz bereitzustellen. Es ist nicht vorgesehen, Schutzbänder zu benachbarten
           Anwendungen festzulegen. Der Schutz benachbarter Anwendungen – wie zum Bei-
           spiel Satellitenfunkdienste im angrenzenden MSS-Band – ist ohne die vorherige Fest-
           legung von Schutzbändern zu realisieren. Hierzu ist es jedoch erforderlich, an den
           Bandgrenzen Maßnahmen zum Schutz der Nachbarnutzungen durch die Definition
           angemessener Blockbegrenzungsmasken vorzusehen.
       •   Auch wenn die derzeit gültige ECC-Entscheidung ECC/DEC/(06)01 Schutzbereiche
           vorsieht, wird diese jedoch aktuell im ECC PT1 überarbeitet. Eine Änderung der sei-
           nerzeit harmonisierten Schutzvorgaben ist ohnehin erforderlich, da der Schutz am un-
           teren Bandende hin zu den TDD-Anwendungen hinfällig wird, wenn diese Frequen-
           zen nicht weiter für IMT genutzt werden sollen.
       •   Sämtliche Nutzungsrechte im Bereich 1920,0 – 1980,0 MHz und 2110,0 –
           2170,0 MHz werden mit der Bereitstellung an das 5-MHz-Kanalraster angepasst.
           Hierdurch kann erreicht werden, dass das gesamte Band frühzeitig für derzeitig ge-
           nutzte und neue Technologien bereitsteht.




   4.    Zusammenhängendes Spektrum
   Die 2-GHz-Frequenzen sollen jeweils als zusammenhängendes Spektrum zugeteilt
   werden. Sofern hierfür erforderlich, werden bis 2025 zugeteilte Nutzungsrechte verla-
   gert.




   Erwägung:
       •   Die Zuteilung von zusammenhängendem Spektrum ermöglicht eine effiziente Fre-
           quenznutzung und ist deshalb aus technologischer und frequenzregulatorischer Sicht
           sachgerecht. Hierbei könnte die Verlagerung der bis Ende 2025 zugeteilten Nut-
           zungsrechte notwendig werden, um eine Defragmentierung zu erreichen.



                                                                                                        Bonn, 12.Juli 2017
66

Amtsblatt der Bundesnetzagentur
                                    für Elektrizität, Gas, Telekommunikation, Post und Eisenbahnen
13 2017                        – Mitteilungen, Telekommunikation, Teil A, Mitteilungen der Bundesnetzagentur –   2743


                                                                 15




             5.  Befristung
             Sämtliche 2-GHz-Frequenzen werden einheitlich bis zum 31. Dezember 2040 zugeteilt.




             Erwägungen:
                 •    Nach § 55 Abs. 9 TKG werden Frequenzen befristet zugeteilt. Die Befristung der
                      2-GHz-Frequenzen wird auf den 31. Dezember 2040 festgelegt. Durch die Befristung
                      bis Ende 2040 ergeben sich Laufzeiten von 15 und 20 Jahren.
                 •    Die Laufzeiten von 15 und 20 Jahren sind angemessen, um die Amortisation von In-
                      vestitionen zu ermöglichen und entsprechen auch der bisherigen Verwaltungspraxis
                      bei der Bereitstellung von Spektrum für den Drahtlosen Netzzugang bzw. den Mobil-
                      funk.
                 •    Eine Ausdehnung der Befristung z. B. auf das Jahr 2050 birgt mit Blick auf kurze In-
                      novationszyklen im Mobilfunk das Risiko einer ineffizienten Frequenznutzung insbe-
                      sondere im späten Zuteilungsabschnitt.
                 •    Mit dieser Zuteilungsfrist kann auch erreicht werden, dass nicht in kurzer zeitlicher
                      Abfolge mehrere aufwendige Frequenzvergabeverfahren anstehen. Im Bereich des
                      Drahtlosen Netzzugangs sind 270 MHz des Spektrums bis zum Jahr 2033 befristet
                      zugeteilt. Eine Zuteilung der Frequenzen im Bereich 2 GHz bis 2040 hat somit nicht
                      zur Folge, dass diese Frequenzen kurz nach der Bereitstellung anderer Frequenzen
                      verfügbar würden.




             Eckpunkte 3,4 – 3,8 GHz
             6.   Bereitstellung des 3,6-GHz-Bereichs
             Sämtliche 3,6-GHz-Frequenzen im Bereich 3400 – 3800 MHz werden rechtzeitig vor
             dem 31. Dezember 2021 bereitgestellt. Damit stehen insgesamt 400 MHz (ungepaart)
             zur Verfügung.
             Der Teilbereich 3400 – 3700 MHz wird für bundesweite Frequenzzuteilungen und der
             Teilbereich 3700 – 3800 MHz für regionale Zuteilungen bereitgestellt.




             Erwägungen:
                 •    Sämtliche Frequenzen im Bereich 3400 – 3800 MHz werden für künftige Nutzungen
                      in einem objektiven, transparenten und diskriminierungsfreien Verfahren bereitge-
                      stellt.
                 •    Die Befristungen der Frequenznutzungsrechte im Bereich 3,6 GHz laufen zum
                      31. Dezember 2021 bzw. 31. Dezember 2022 aus:
                                Gepaarte 3,6-GHz-Frequenzen                               zugeteilt bis
                     3410 – 3431 MHz / 3510 – 3531 MHz              (2 x 21 MHz)           31.12.2021
                     3431 – 3452 MHz / 3531 – 3552 MHz              (2 x 21 MHz)           31.12.2021




Bonn, 12.Juli 2017
67

Amtsblatt der Bundesnetzagentur
                             für Elektrizität, Gas, Telekommunikation, Post und Eisenbahnen
2744                   – Mitteilungen, Telekommunikation, Teil A, Mitteilungen der Bundesnetzagentur –   13 2017


                                                         16


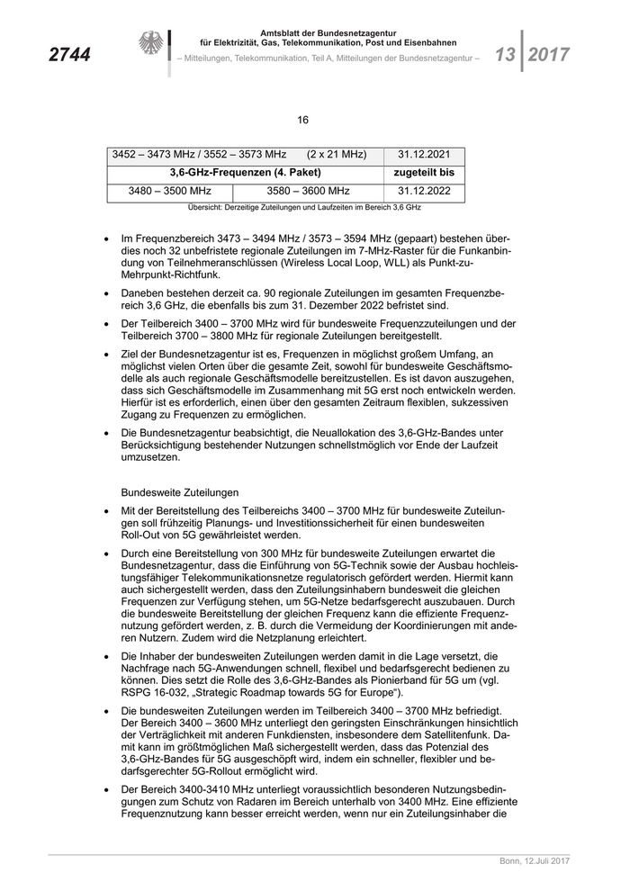
           3452 – 3473 MHz / 3552 – 3573 MHz                (2 x 21 MHz)              31.12.2021
                      3,6-GHz-Frequenzen (4. Paket)                                  zugeteilt bis
              3480 – 3500 MHz                   3580 – 3600 MHz                       31.12.2022
                          Übersicht: Derzeitige Zuteilungen und Laufzeiten im Bereich 3,6 GHz



       •    Im Frequenzbereich 3473 – 3494 MHz / 3573 – 3594 MHz (gepaart) bestehen über-
            dies noch 32 unbefristete regionale Zuteilungen im 7-MHz-Raster für die Funkanbin-
            dung von Teilnehmeranschlüssen (Wireless Local Loop, WLL) als Punkt-zu-
            Mehrpunkt-Richtfunk.
       •    Daneben bestehen derzeit ca. 90 regionale Zuteilungen im gesamten Frequenzbe-
            reich 3,6 GHz, die ebenfalls bis zum 31. Dezember 2022 befristet sind.
       •    Der Teilbereich 3400 – 3700 MHz wird für bundesweite Frequenzzuteilungen und der
            Teilbereich 3700 – 3800 MHz für regionale Zuteilungen bereitgestellt.
       •    Ziel der Bundesnetzagentur ist es, Frequenzen in möglichst großem Umfang, an
            möglichst vielen Orten über die gesamte Zeit, sowohl für bundesweite Geschäftsmo-
            delle als auch regionale Geschäftsmodelle bereitzustellen. Es ist davon auszugehen,
            dass sich Geschäftsmodelle im Zusammenhang mit 5G erst noch entwickeln werden.
            Hierfür ist es erforderlich, einen über den gesamten Zeitraum flexiblen, sukzessiven
            Zugang zu Frequenzen zu ermöglichen.
       •    Die Bundesnetzagentur beabsichtigt, die Neuallokation des 3,6-GHz-Bandes unter
            Berücksichtigung bestehender Nutzungen schnellstmöglich vor Ende der Laufzeit
            umzusetzen.


            Bundesweite Zuteilungen
       •    Mit der Bereitstellung des Teilbereichs 3400 – 3700 MHz für bundesweite Zuteilun-
            gen soll frühzeitig Planungs- und Investitionssicherheit für einen bundesweiten
            Roll-Out von 5G gewährleistet werden.
       •    Durch eine Bereitstellung von 300 MHz für bundesweite Zuteilungen erwartet die
            Bundesnetzagentur, dass die Einführung von 5G-Technik sowie der Ausbau hochleis-
            tungsfähiger Telekommunikationsnetze regulatorisch gefördert werden. Hiermit kann
            auch sichergestellt werden, dass den Zuteilungsinhabern bundesweit die gleichen
            Frequenzen zur Verfügung stehen, um 5G-Netze bedarfsgerecht auszubauen. Durch
            die bundesweite Bereitstellung der gleichen Frequenz kann die effiziente Frequenz-
            nutzung gefördert werden, z. B. durch die Vermeidung der Koordinierungen mit ande-
            ren Nutzern. Zudem wird die Netzplanung erleichtert.
       •    Die Inhaber der bundesweiten Zuteilungen werden damit in die Lage versetzt, die
            Nachfrage nach 5G-Anwendungen schnell, flexibel und bedarfsgerecht bedienen zu
            können. Dies setzt die Rolle des 3,6-GHz-Bandes als Pionierband für 5G um (vgl.
            RSPG 16-032, „Strategic Roadmap towards 5G for Europe“).
       •    Die bundesweiten Zuteilungen werden im Teilbereich 3400 – 3700 MHz befriedigt.
            Der Bereich 3400 – 3600 MHz unterliegt den geringsten Einschränkungen hinsichtlich
            der Verträglichkeit mit anderen Funkdiensten, insbesondere dem Satellitenfunk. Da-
            mit kann im größtmöglichen Maß sichergestellt werden, dass das Potenzial des
            3,6-GHz-Bandes für 5G ausgeschöpft wird, indem ein schneller, flexibler und be-
            darfsgerechter 5G-Rollout ermöglicht wird.
       •    Der Bereich 3400-3410 MHz unterliegt voraussichtlich besonderen Nutzungsbedin-
            gungen zum Schutz von Radaren im Bereich unterhalb von 3400 MHz. Eine effiziente
            Frequenznutzung kann besser erreicht werden, wenn nur ein Zuteilungsinhaber die



                                                                                                         Bonn, 12.Juli 2017
68

Amtsblatt der Bundesnetzagentur
                                   für Elektrizität, Gas, Telekommunikation, Post und Eisenbahnen
13 2017                       – Mitteilungen, Telekommunikation, Teil A, Mitteilungen der Bundesnetzagentur –   2745


                                                                17


                     besonderen Nutzungsbedingungen einhalten muss und die Nutzung mit den einge-
                     setzten Radaren koordiniert als eine Vielzahl regionaler Nutzer.
                     Regionale Zuteilungen
                 •   Mit der Bereitstellung des Teilbereichs 3700 – 3800 MHz für regionale Zuteilungen
                     soll es Unternehmen ermöglicht werden, über den gesamten Zeitraum regional große
                     zusammenhängende Blöcke von bis zu 100 MHz zu erhalten, um auch den Vorteil
                     dieses Frequenzbands für 5G optimal ausschöpfen zu können.
                 •   Damit besteht die Möglichkeit, auch zu einem späteren Zeitpunkt flexibel und be-
                     darfsgerecht regionale Zuteilungen zu erhalten. Sich noch entwickelnde regionale
                     Geschäftsmodelle, z. B. von Start-Ups, können auch zu einem späteren Zeitpunkt
                     umgesetzt werden.
                 •   Mit Blick hierauf ist es nicht gerechtfertigt, das gesamte 3,6-GHz-Band mit bundes-
                     weiten Zuteilungen bereitzustellen. Insbesondere wird auch dem Umstand Rechnung
                     getragen, dass für einige Geschäftsmodelle der Bedarf nach Frequenzen für eigene,
                     autarke Telekommunikationsnetze besteht.
                 •   Durch die Bereitstellung von 100 MHz für regionale Zuteilung wird zum einen der
                     Ausbau von 5G-Netzen mit Kanalbandbreiten von bis zu 100 MHz ermöglicht. Zum
                     anderen sind regionale Netze mehrerer Frequenznutzer mit geringeren Kanalband-
                     breiten in einer Region möglich.
                 •   Ein größerer Anteil des Spektrums für regionale Nutzungen würde bei einer faktisch
                     bundesweiten Nutzung den Koordinierungsaufwand zwischen den einzelnen Nutzern
                     erhöhen und die effiziente Frequenznutzung erschweren. Darüber hinaus ist ein hö-
                     herer Bedarf für regionale Geschäftsmodelle bislang nicht absehbar.
                 •   Nach Frequenzplan sind Satellitennutzungen durch Erdfunkstellen vor allem im Be-
                     reich 3,6 - 3,8 GHz zu schützen. Diese regionalen Schutzgebiete bedeuten voraus-
                     sichtlich für regionale Geschäftsmodelle weniger Nachteile als für bundesweite Ge-
                     schäftsmodelle.
                 •   Die Bundesnetzagentur wird für die regionalen Zuteilungen ein Antragsverfahren
                     entwickeln.




             7.    Wechselseitige Mitnutzung als Zusatzkapazität
             Die für bundesweite und regionale Zuteilungen bereitgestellten 3,6-GHz-Frequenzen
             können wechselseitig mitgenutzt werden.
             Inhaber regionaler Zuteilungen im Bereich 3,6 GHz können ungenutzte, bundesweit
             bereitgestellte Frequenzen im Bereich 3,6 GHz als temporäre Zusatzkapazität mitnut-
             zen.
             Inhaber bundesweiter Zuteilungen im Bereich 3,6 GHz können ungenutzte, regional
             bereitgestellte Frequenzen im Bereich 3,6 GHz als temporäre Zusatzkapazität mitnut-
             zen.




             Erwägungen
                 •   Bei der Bereitstellung von Frequenzen kommt der Sicherstellung einer effizienten
                     Frequenznutzung eine besondere Rolle zu. Denn nach der Frequenzordnung ist es
                     Aufgabe der Bundesnetzagentur, eine effiziente und störungsfreie Frequenznutzung
                     unter Berücksichtigung der weiteren Regulierungsziele sicherzustellen (§ 52



Bonn, 12.Juli 2017
69

Amtsblatt der Bundesnetzagentur
                            für Elektrizität, Gas, Telekommunikation, Post und Eisenbahnen
2746                   – Mitteilungen, Telekommunikation, Teil A, Mitteilungen der Bundesnetzagentur –   13 2017


                                                      18


           Abs. 1 TKG). Mit Blick hierauf ist daher insbesondere zu verhindern, dass Frequenz-
           ressourcen nicht genutzt werden, also „brach liegen“.
       •   Die effiziente Nutzung des gesamten Frequenzbereichs bei 3,6 GHz kann vorliegend
           dadurch gefördert werden, dass eine Nutzergruppe die Ressourcen der jeweils ande-
           ren Nutzergruppe als temporäre Zusatzkapazität mitnutzen kann.
       •   In jedem Bereich hat eine bestimmte Nutzergruppe den ersten Zugriff: Netzbetreiber
           mit bundesweitem Geschäftsmodell im Bereich der 300 MHz für bundesweite Zutei-
           lungen und Netzbetreiber mit regionalem Geschäftsmodell im Bereich der 100 MHz
           für regionale Zuteilungen. Es ist jedoch möglich, dass eine Nutzergruppe die Fre-
           quenzen der jeweils anderen Nutzergruppe mitnutzen kann, sofern dieser erste Zu-
           griff noch nicht ausgeübt wurde bzw. eine Nutzung durch die entsprechende Nutzer-
           gruppe noch nicht erfolgt.


   Temporäre Nutzung im Bereich 3700 – 3800 MHz für Zuteilungsinhaber mit bundesweiter
   3,6 GHz-Zuteilung
       •   Inhaber bundesweiter Zuteilungen im Bereich 3,6 GHz können ungenutzte, regional
           bereitgestellte Frequenzen im Bereich 3,6 GHz als temporär Zusatzkapazität mitnut-
           zen. Die Zuteilung erfolgt unter dem Vorbehalt, der Nutzungsaufnahme eines potenti-
           ellen Frequenznutzers ohne bundesweite Frequenzzuteilung.
       •   Die Bundesnetzagentur geht davon aus, dass ein Netzbetreiber mit bundesweitem
           Geschäftsmodell und ausgebauter 3,6-GHz-Infrastruktur zusätzliches 3,6-GHz-
           Spektrum kostengünstig aufschalten kann. Sind die regional zur Verfügung stehen-
           den Frequenzen im Bereich 3700 – 3800 MHz am jeweiligen Ort ungenutzt, könnten
           sie damit einer effizienten Frequenznutzung zugeführt werden.
       •   Für regionale Geschäftsmodelle soll über die Zeit der Zugriff auf das regional bereit-
           gestellte Spektrum erhalten bleiben. Sofern ein bundesweiter Netzbetreiber zusätz-
           lich regional bereitgestelltes Spektrum nutzt, muss dieser daher diese Frequenzen
           wieder freigeben, sobald ein Netzbetreiber mit lokalem oder regionalem Geschäfts-
           modell die Frequenznutzung aufnimmt.
       •   Der bundesweite Netzbetreiber hat trotz des Entfallens der zusätzlich genutzten Fre-
           quenzen Planungssicherheit, da er stets die ihm bundesweit zugeteilten Frequenzen
           für sein Geschäftsmodell verwenden kann.


   Temporäre Nutzung im Bereich 3400 – 3700 MHz für Zuteilungsinhaber mit regionalen
   3,6-GHz-Zuteilung
       •   Inhaber regionaler Zuteilungen im Bereich 3,6 GHz können ungenutzte, bundesweit
           bereitgestellte Frequenzen im Bereich 3,6 GHz als temporäre Zusatzkapazität mitnut-
           zen.
       •   Wenn ein Netzbetreiber mit bundesweitem Geschäftsmodell die ihm zur Verfügung
           stehenden bundesweit zugeteilten Frequenzen zwar nutzt, jedoch z. B. Gebiete mit
           geringer Bevölkerungsdichte nicht, erst später oder mit anderen Frequenzen ver-
           sorgt, sollen die Frequenzen in diesen Regionen für den Ausbau regionaler oder lo-
           kaler Netze genutzt werden können, um eine effiziente Frequenznutzung zu fördern.
       •   Die Bundesnetzagentur geht davon aus, dass ein Netzbetreiber mit regionalem Ge-
           schäftsmodell und ausgebauter 3,6 GHz-Infrastruktur zusätzliches 3,6-GHz-Spektrum
           kostengünstig aufschalten kann. Sind die bundesweit zur Verfügung stehenden Fre-
           quenzen im Bereich 3400 – 3700 MHz am jeweiligen Ort ungenutzt, könnten sie da-
           mit einer effizienten Frequenznutzung zugeführt werden.



                                                                                                         Bonn, 12.Juli 2017
70

Amtsblatt der Bundesnetzagentur
                                   für Elektrizität, Gas, Telekommunikation, Post und Eisenbahnen
13 2017                       – Mitteilungen, Telekommunikation, Teil A, Mitteilungen der Bundesnetzagentur –   2747


                                                                19


                 •   Dies kann durch temporäre Frequenzüberlassung erreicht werden. Sofern ein regio-
                     naler Netzbetreiber zusätzlich bundesweit zugeteiltes Spektrum nutzt, muss dieser
                     daher diese Frequenzen wieder freigeben, sobald der bundesweite Zuteilungsinhaber
                     die Frequenznutzung an diesem Ort aufnimmt.
                 •   Der regionale Netzbetreiber hat trotz des Entfallens der zusätzlich genutzten Fre-
                     quenzen Planungssicherheit, da er stets die ihm regional zugeteilten Frequenzen für
                     sein Geschäftsmodell im Bereich 3700 – 3800 MHz verwenden kann.




             8.   Nachfragegerechte Versorgung mit 5G
             Inhaber von bundesweiten Zuteilungen sollen die Versorgung in Gebieten, in denen
             eine Nachfrage nach 5G besteht, nach Ablauf einer angemessenen Zeit nach Zuteilung
             unter diskriminierungsfreien Bedingungen ermöglichen.




             Erwägungen:
                 •   Durch eine Bereitstellung der Frequenzen für 5G im Bereich 3,6 GHz erwartet die
                     Bundesnetzagentur, dass die Einführung von 5G-Technik sowie der Ausbau hochleis-
                     tungsfähiger Telekommunikationsnetze regulatorisch gefördert werden kann. Insbe-
                     sondere soll auch sichergestellt werden, dass die regionale Nachfrage nach Infra-
                     struktur für 5G und damit die Anbindung regionaler Gebiete bedarfsgerecht befriedigt
                     werden kann.
                 •   5G soll insbesondere zur Einführung neuer innovativer Dienste, wie Industrie 4.0 oder
                     Smart City führen. Es wird daher eine heterogene Nachfrage aus der Industrie,
                     Gewerbegebieten und von Kommunen erwartet.
                 •   Inhaber von bundesweiten Zuteilungen sollen die Versorgung in Gebieten, in denen
                     eine Nachfrage nach 5G besteht, nach Ablauf einer angemessenen Zeit nach Zutei-
                     lung unter diskriminierungsfreien Bedingungen ermöglichen. Zuteilungsinhaber kön-
                     nen
                        o   die bedarfsgerechte Bereitstellung mit zugeteilten Frequenzen realisieren oder
                        o   zugeteilte Frequenzen zur Nutzung an Nachfrager überlassen oder
                        o   Netzinfrastrukturen in Kooperation mit Nachfragern aufzubauen.
                 •   Zur Herstellung der Wirtschaftlichkeit der Maßnahmen kann es erforderlich sein, dass
                     sich Nachfrager an der Realisierung beteiligen.
                 •   Die Bundesnetzagentur kann hierfür Rahmenbedingungen festlegen. Die Rahmen-
                     bedingungen und das Verfahren sollen insbesondere sicherzustellen, dass
                     1. die Effizienz der Frequenznutzung gesteigert oder gewahrt wird,
                     2. das ursprüngliche Vergabeverfahren einer Frequenzzuteilung nicht entgegen-
                        steht,
                     3. keine Verzerrung des Wettbewerbs zu besorgen ist,
                     4. die sonstigen rechtlichen Rahmenbedingungen, insbesondere die Nutzungsbe-
                        stimmungen und internationale Vereinbarungen zur Frequenznutzung, eingehal-
                        ten werden und
                     5. die Regulierungsziele nach § 2 TKG sichergestellt sind.




Bonn, 12.Juli 2017
71

Amtsblatt der Bundesnetzagentur
                           für Elektrizität, Gas, Telekommunikation, Post und Eisenbahnen
2748                  – Mitteilungen, Telekommunikation, Teil A, Mitteilungen der Bundesnetzagentur –   13 2017


                                                     20




   9.     Verwendungszweck
   Die 3,6-GHz-Frequenzen werden für den Drahtlosen Netzzugang zur Verfügung ge-
   stellt.




   Erwägungen:
       •   Die betreffenden Frequenzen im Bereich 3,4 GHz – 3,8 GHz sind technologie- und
           diensteneutral für den Drahtlosen Netzzugang gewidmet.
       •   Mit der technologie- und diensteneutralen Ausgestaltung ist die Voraussetzung dafür
           geschaffen, dass die Frequenzen aus dem Bereich 3,4 GHz – 3,8 GHz flexibel auch
           für 5G-Dienste eingesetzt werden können.
       •   Diese technologieneutrale Widmung ermöglicht den Einsatz von unterschiedlichen
           Techniken und Systemen ohne Beschränkung auf bestimmte Standards.




   10. 10-MHz-Blöcke
   Die Bereitstellung der 3,6-GHz-Frequenzen erfolgt in 10-MHz-Blöcken. Schutzbänder
   werden nicht festgelegt.




   Erwägungen:
       •   Die Bereitstellung der 3,6-GHz-Frequenzen erfolgt in 10-MHz-Blöcken.
       •   Der 3,6-GHz-Frequenzbereich eignet sich aufgrund des großen zusammenhängen-
           den Umfangs besonders für große Bandbreiten. Hier können die mit LTE maximal
           möglichen Bandbreiten à 20 MHz, ebenso wie erwartete Bandbreiten künftiger Tech-
           nologien im Bereich von 50 MHz bis 100 MHz realisiert werden.
       •   Eine bundesweite Bereitstellung von insgesamt 30 Frequenzblöcken à 10 MHz bietet
           genügend Flexibilität, um bedarfsgerecht Nutzungsrechte für breitbandige Anwen-
           dungen den künftigen Zuteilungspetenten zu ermöglichen.
       •   Schutzbänder werden nicht festgelegt. Künftige Zuteilungsinhaber haben bestehende
           benachbarte Anwendungen innerhalb ihres zugeteilten Spektrums zu schützen.
       •   Eine Festlegung eines Schutzbandes von 3400 MHz bis 3410 MHz, zum Schutz mili-
           tärischer Radare unterhalb 3400 MHz, widerspräche der Regulierungspraxis und dem
           Regulierungsziel der effizienten Frequenznutzung und ist somit nicht angemessen.
       •   Der Schutz bestehender und künftiger Erdfunkstellen oberhalb von 3800 MHz kann
           mittels geeigneter Frequenzblockentkopplungsmasken erreicht werden. Sollte ein
           darüberhinausgehender Schutz erforderlich sein, kann dieser gegebenenfalls durch
           räumliche Einschränkungen der Nutzungen des künftigen Zuteilungsinhabers im an-
           grenzenden Frequenzbereich erreicht werden.
       •   Zwischen Zuteilungsinhabern im 3,6-GHz-Frequenzbereich können ebenfalls Maß-
           nahmen zum Schutz des jeweiligen Nachbarnutzers erforderlich sein.
       •   Die Bundesnetzagentur wird für die regionalen Zuteilungen ein Antragsverfahren
           entwickeln.




                                                                                                        Bonn, 12.Juli 2017
72

Amtsblatt der Bundesnetzagentur
                                   für Elektrizität, Gas, Telekommunikation, Post und Eisenbahnen
13 2017                       – Mitteilungen, Telekommunikation, Teil A, Mitteilungen der Bundesnetzagentur –   2749


                                                                21




             11. Zusammenhängendes Spektrum
             Die 3,6-GHz-Frequenzen sollen jeweils als zusammenhängendes Spektrum zugeteilt
             werden. Hierzu sind ggf. Verlagerungen zugeteilter Nutzungsrechte notwendig.
             Die Bundesnetzagentur beabsichtigt, die Neuallokation des 3,6-GHz-Bandes unter Be-
             rücksichtigung bestehender Nutzungen schnellstmöglich umzusetzen.




             Erwägungen:
                 •   Die Zuteilung von zusammenhängendem Spektrum ermöglicht eine effiziente Fre-
                     quenznutzung und ist deshalb aus technologischer und frequenzregulatorischer Sicht
                     sachgerecht.
                 •   Es könnte die Notwendigkeit zur Verlagerung von derzeitigen Zuteilungen entstehen,
                     um eine Defragmentierung dieses Spektrums zu erreichen. Hierbei muss allen be-
                     troffenen Nutzern ausreichend Zeit zur Vorbereitung der notwendigen Maßnahmen
                     hinsichtlich einer Frequenzverlagerung gegeben werden.
                 •   Die Bundesnetzagentur beabsichtigt, den 3,6-GHz-Bereich auf die neuen Rahmen-
                     bedingungen zur frühzeitigen Umsetzung der Neuallokation insbesondere der zukünf-
                     tig bundesweiten Zuteilungen auszurichten (5-MHz-Kanalraster, zusammenhängen-
                     des Spektrum, Umstellung gepaart auf ungepaart), um eine effiziente Frequenznut-
                     zung in diesem Band bereits vor dem Ende der bisherigen Laufzeiten zu fördern.


             12. Befristung
             Die 3,6-GHz-Frequenzen werden maximal bis zum 31. Dezember 2040 zugeteilt.




             Erwägungen:
                 •   Insbesondere für die regional bereitgestellten Frequenzen wird eine möglichst flexible
                     Art der Bereitstellung angestrebt. Kurze Laufzeiten von wenigen Jahren sollen, bei
                     entsprechender Nachfrage, ebenso möglich sein wie Verlängerungen bei effizienten
                     Nutzungen. Dennoch ist eine einheitliche Befristung im Band geboten.

                 •   Die bestehenden Nutzungen und Zuteilungen sollen – falls möglich – so früh wie
                     möglich in das neue Raster überführt werden, um innovative Anwendungen zu er-
                     möglichen und die effiziente Frequenznutzung zu fördern. Bei einer Bereitstellung
                     des Spektrums im Jahr 2018 würden so Nutzungen von maximal 22 Jahren ermög-
                     licht (Nutzung 2019-2040). Falls die Nutzung für einen Teilbereich erst ab dem Jahr
                     2023 möglich wäre, würde dies immer noch Laufzeiten von 18 Jahren entsprechen.
                     Diese Laufzeiten entsprechen der Verwaltungspraxis.

                 •   Die erneute Bereitstellung könnte dann zeitgleich mit den Frequenzen im Bereich
                     2 GHz erfolgen.




Bonn, 12.Juli 2017
73

Amtsblatt der Bundesnetzagentur
                            für Elektrizität, Gas, Telekommunikation, Post und Eisenbahnen
2750                   – Mitteilungen, Telekommunikation, Teil A, Mitteilungen der Bundesnetzagentur –   13 2017


                                                      22


   Eckpunkt Mitnutzung von Kapazitäten und Diensten
   13. Mitnutzung von Kapazitäten und Diensten
   Die Inhaber bundesweiter Zuteilungen haben die Mitnutzung von Kapazitäten und
   Diensten zur Bereitstellung möglichst vielfältiger Geschäftsmodelle diskriminierungs-
   frei zu ermöglichen.




   Erwägungen:
       •   Für innovative Dienste und Geschäftsmodelle in Bereichen wie Industrie 4.0, Smart
           Factory, Smart Car oder Smart Home können Telekommunikationsunternehmen als
           Partner für Unternehmen aus anderen Wirtschaftssektoren dienen (so genannte
           „Enabler“). Dies betrifft zum einen die etablierten bundesweiten Mobilfunknetzbetrei-
           ber. Zum anderen können weitere bundesweite Netzbetreiber, regionale oder lokale
           Netzbetreiber sowie – wie von Kommentatoren vorgetragen – Mobile Virtual Network
           Operators (MVNO) und Diensteanbieter die Rolle eines „Enablers“ einnehmen. Gera-
           de mit einer Vielzahl im Wettbewerb agierender „Enabler“ könnte der größtmögliche
           Nutzen in Bezug auf Auswahl, Preise und Qualität erreicht werden (§ 2 Abs. 2
           Nr. 1 TKG). Dies könnte sowohl dem Verbraucher als auch Partnerunternehmen aus
           anderen Wirtschaftssektoren zugutekommen.
       •   Um die Vielzahl von „Enabler“ zu fördern, ist neben der Ebene des Netzausbaus
           auch das Angebot innovativer 5G-Dienste zu betrachten. Hierbei könnten Dienstean-
           bieter und MVNO als „Enabler“ auftreten. Die Diensteanbieter tragen mit ihren Mobil-
           funkangeboten seit Beginn der Liberalisierung Anfang der 1990er Jahre zu einer
           Stärkung des Wettbewerbs auf Diensteebene bei und fördern in Bezug auf Auswahl,
           Preise und Qualität Verbraucherinteressen. Dieser Rolle könnten sie auch mit Blick
           auf die Marktdurchdringung mit innovativen 5G-Diensten nachkommen, sofern sie
           entsprechende Vorleistungsprodukte zu Großhandelsbedingungen erhalten.
       •   In der Vergangenheit war der Wettbewerb – auch aufgrund der bestehenden Ver-
           pflichtung aus den GSM- und UMTS-Lizenzen – nachhaltig durch das Geschäftsmo-
           dell der Diensteanbieter geprägt. Neben den Diensteanbietern könnten auch MVNO
           zu einem innovativen Wettbewerb beitragen. Soweit mehr MVNO am Markt tätig wer-
           den, könnten sie als zusätzliche „Enabler“ die Vielfalt der Angebote begünstigen.
           MVNO verfügen darüber hinaus – anders als Diensteanbieter – über eigene Infra-
           struktur. Daher wäre es denkbar, dass sie Geschäftsmodelle auf einer tieferen Ebene
           der Wertschöpfungskette entwickeln und dadurch zu Wettbewerb und Innovation bei-
           tragen könnten.
       •   Für das Angebot innovativer Dienste in der Rolle als „Enabler“ benötigen Dienstean-
           bieter und MVNO – nicht anders als Frequenznutzer – langfristige Planungssicher-
           heit. Dies gilt insbesondere dann, wenn Diensteanbieter und MVNO als unabhängige
           Anbieter den Wettbewerb auf Diensteebene fördern sollen. Daher ist denkbar, den
           Mobilfunknetzbetreibern die personengebundene und technologieneutrale Verpflich-
           tung aufzuerlegen, Diensteanbietern und MVNO auch in Zukunft diskriminierungsfrei
           Vorleistungsprodukte zu Großhandelsbedingungen zu gewähren.
       •   Die Bundesnetzagentur prüft den gebotenen regulatorischen Handlungsbedarf.
       •   Mit Blick auf die Kombination beider Maßnahmen – die Nutzung oder Mitnutzung von
           Frequenzen sowie die Gewährleistung von Vorleistungsprodukten zu Großhandels-
           bedingungen – könnte der Wettbewerb unabhängiger Enabler auf unterschiedlichen
           Ebenen der Wertschöpfungskette gefördert werden. Dies könnte den Einstieg neuer
           Marktteilnehmer mit innovativen Geschäftsmodellen begünstigen. Insbesondere wäre
           ein Marktzutritt von „Enablern“ auch nach Bereitstellung der bundesweit zugeteilten



                                                                                                         Bonn, 12.Juli 2017
74

Zur nächsten Seite