abl-18

Dieses Dokument ist Teil der Anfrage „Amtsblätter bis 2018

/ 336
PDF herunterladen
Amtsblatt der Bundesnetzagentur
                             für Elektrizität, Gas, Telekommunikation, Post und Eisenbahnen
3356                                       – Regulierung, Telekommunikation –                       18 2016


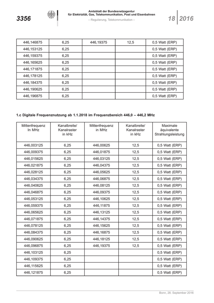
   446,146875            6,25               446,19375                  12,5              0,5 Watt (ERP)
   446,153125            6,25                                                            0,5 Watt (ERP)
   446,159375            6,25                                                            0,5 Watt (ERP)
   446,165625            6,25                                                            0,5 Watt (ERP)
   446,171875            6,25                                                            0,5 Watt (ERP)
   446,178125            6,25                                                            0,5 Watt (ERP)
   446,184375            6,25                                                            0,5 Watt (ERP)
   446,190625            6,25                                                            0,5 Watt (ERP)
   446,196875            6,25                                                           0,5 Watt (ERP)




1.c Digitale Frequenznutzung ab 1.1.2018 im Frequenzbereich 446,0 – 446,2 MHz

  Mittenfrequenz       Kanalbreite/         Mittenfrequenz            Kanalbreite/             Maximale
      In MHz           Kanalraster              in MHz                Kanalraster             äquivalente
                         in kHz                                         in kHz            Strahlungsleistung


    446,003125            6,25                446,00625                   12,5                0,5 Watt (ERP)
    446,009375            6,25                446,01875                   12,5                0,5 Watt (ERP)
    446,015625            6,25                446,03125                   12,5                0,5 Watt (ERP)
    446,021875            6,25                446,04375                   12,5                0,5 Watt (ERP)
    446,028125            6,25                446,05625                   12,5                0,5 Watt (ERP)
    446,034375            6,25                446,06875                   12,5                0,5 Watt (ERP)
    446,040625            6,25                446,08125                   12,5                0,5 Watt (ERP)
    446,046875            6,25                446,09375                   12,5                0,5 Watt (ERP)
    446,053125            6,25                446,10625                   12,5                0,5 Watt (ERP)
    446,059375            6,25                446,11875                   12,5                0,5 Watt (ERP)
    446,065625            6,25                446,13125                   12,5                0,5 Watt (ERP)
    446,071875            6,25                446,14375                   12,5                0,5 Watt (ERP)
    446,078125            6,25                446,15625                   12,5                0,5 Watt (ERP)
    446,084375            6,25                446,16875                   12,5                0,5 Watt (ERP)
    446,090625            6,25                446,18125                   12,5                0,5 Watt (ERP)
    446,096875            6,25                446,19375                   12,5                0,5 Watt (ERP)
    446,103125            6,25                                                                0,5 Watt (ERP)
    446,109375            6,25                                                                0,5 Watt (ERP)
    446,115625            6,25                                                                0,5 Watt (ERP)
    446,121875            6,25                                                                0,5 Watt (ERP)




                                                                                               Bonn, 28. September 2016
4

Amtsblatt der Bundesnetzagentur
                                für Elektrizität, Gas, Telekommunikation, Post und Eisenbahnen
18 2016                                       – Regulierung, Telekommunikation –                             3357


     446,128125              6,25                                                                0,5 Watt (ERP)
     446,134375              6,25                                                                0,5 Watt (ERP)
     446,140625              6,25                                                                0,5 Watt (ERP)
     446,146875              6,25                                                                0,5 Watt (ERP)
     446,153125              6,25                                                                0,5 Watt (ERP)
     446,159375              6,25                                                                0,5 Watt (ERP)
     446,165625              6,25                                                                0,5 Watt (ERP)
     446,171875              6,25                                                                0,5 Watt (ERP)
     446,178125              6,25                                                                0,5 Watt (ERP)
     446,184375              6,25                                                                0,5 Watt (ERP)
     446,190625              6,25                                                                0,5 Watt (ERP)
     446,196875              6,25                                                                0,5 Watt (ERP)

Für PMR446-Funkanlagen gelten folgende zusätzliche Bestimmungen:

Geräte mit „Push To Talk“ Funktionalität und einrastfähiger Sprechtaste dürfen einen maximalen Sendezyklus
(„Transmitter Time Out“) von 180 Sekunden nicht überschreiten.

Geräte ohne „Push To Talk“ Funktionalität dürfen einen maximalen Sendezyklus („Transmitter Time- Out“) von
180 Sekunden nicht überschreiten und müssen VOX- Control („Voice Operation Exchange“) implementiert ha-
ben.




2. Befristung

Diese Allgemeinzuteilung ist bis zum 31.12.2026 befristet.




Hinweise:

    1. Die oben genannten Frequenzbereiche werden auch für andere Funkanwendungen genutzt. Die Bun-
       desnetzagentur übernimmt keine Gewähr für eine Mindestqualität oder Störungsfreiheit des Funkver-
       kehrs. Es besteht kein Schutz vor Beeinträchtigungen durch andere bestimmungsgemäße Frequenz-
       nutzungen. Insbesondere sind bei gemeinschaftlicher Frequenznutzung gegenseitige Beeinträchtigun-
       gen nicht auszuschließen und hinzunehmen.

    2. Eine Nutzung zugeteilter Frequenzen darf nur mit Funkanlagen erfolgen, die für den Betrieb in der
       Bundesrepublik Deutschland vorgesehen bzw. gekennzeichnet sind (§ 60 Abs. 1 S. 3 TKG).

    3. Diese Frequenzzuteilung berührt nicht rechtliche Verpflichtungen, die sich für die Frequenznutzer aus
       anderen öffentlich-rechtlichen Vorschriften, auch telekommunikationsrechtlicher Art, oder Verpflichtun-
       gen privatrechtlicher Art ergeben. Dies gilt insbesondere für Genehmigungs- oder Erlaubnisvorbehalte
       (z.B. baurechtlicher oder umweltrechtlicher Art).

    4. Der Frequenznutzer ist für die Einhaltung der Zuteilungsbestimmungen und für die Folgen von Verstö-
       ßen, z. B. Abhilfemaßnahmen und Ordnungswidrigkeiten verantwortlich.




Bonn, 28. September 2016
5

Amtsblatt der Bundesnetzagentur
                             für Elektrizität, Gas, Telekommunikation, Post und Eisenbahnen
3358                                       – Regulierung, Telekommunikation –                      18 2016


   5. Beim Auftreten von Störungen sowie im Rahmen technischer Überprüfungen werden für die Funkan-
      wendung die Parameter der Europäisch harmonisieren Normen       EN 300 113, EN 301 166 und EN
      300 296 zugrunde gelegt. Abhängig von den verwendeten Selektier Systemen werden die technische
      Spezifikationen TS 102 361, TS 102 490 oder TS 103 236 angewendet. Hinweise zu Messvorschriften
      und Testmethoden, die zur Überprüfung der o. g. Parameter beachtet werden müssen, sind ebenfalls
      diesen Normen bzw. Spezifikationen zu entnehmen.

   6. Der Bundesnetzagentur sind gemäß § 64 TKG auf Anfrage alle zur Sicherstellung einer effizienten und
      störungsfreien Frequenznutzung erforderlichen Auskünfte über das Funknetz, die Funkanlagen und
      den Funkbetrieb, insbesondere Ablauf und Umfang des Funkverkehrs, zu erteilen. Erforderliche Unter-
      lagen sind bereitzustellen.



225-8




                                                                                              Bonn, 28. September 2016
6

Amtsblatt der Bundesnetzagentur
                                        für Elektrizität, Gas, Telekommunikation, Post und Eisenbahnen
18 2016                                                    – Regulierung, Energie –                                    3359


Regulierung

Energie


Vfg Nr. 43/2016                                                     Vfg Nr. 44/2016

EnWG § 31;                                                          Az.: BK7-16-050-E1         07.09.2016

Entscheidung in dem Besonderen Missbrauchsverfahren Bal-            Widerruf der vorläufigen Anordnung zur Änderung der Festle-
tic Cable AB ./. TenneT TSO GmbH (BK6-14-130)                       gung zur Einführung eines Konvertierungssystems in quali-
                                                                    tätsübergreifenden Gasmarktgebieten
Die Beschlusskammer 6 hat am 30.5.2016 in dem Besonderen
Missbrauchsverfahren Baltic Cable AB ./. TenneT TSO GmbH be-        hier: Widerruf der vorläufigen Anordnung vom 19.02.2016
schlossen:                                                          
      1.   Der Antrag wird abgelehnt.                               Die Beschlusskammer 7 hat am 07.09.2016 folgenden Beschluss
                                                                    getroffen:
      2.   Eine Kostenentscheidung bleibt vorbehalten.
                                                                        Der Beschluss vom 19.02.2016 (Az. BK7-16-050-E1) wird mit
Der Beschluss ist im Volltext ohne Betriebs- und Geschäftsgeheim-       Wirkung für die Zukunft widerrufen.
nisse auf der Homepage der Bundesnetzagentur unter
                                                                    Der vollständige Beschluss zum Widerruf der vorläufigen Anord-
Beschlusskammern -> Beschlusskammer 6 -> Abgeschlossene             nung ist auf der Internetseite der Bundesnetzagentur ( Be-
Verfahren -> BK6-14-130                                             schlusskammer 7) veröffentlicht.

veröffentlicht.




Bonn, 28. September 2016
7

Amtsblatt der Bundesnetzagentur
                                       für Elektrizität, Gas, Telekommunikation, Post und Eisenbahnen
3360                             – Mitteilungen, Telekommunikation, Teil A, Mitteilungen der Bundesnetzagentur –   18 2016


Mitteilungen

Telekommunikation

Teil A
Mitteilungen der Bundesnetzagentur

Mitteilung Nr. 1258/2016

§ 12 Abs. 1 Telekommunikationsgesetz (TKG) Veröffentlichung
eines Konsultationsentwurfs zur Marktdefinition und -analyse
betreffend den Markt für die Anrufzustellung auf der Vorleis-
tungsebene in einzelnen öffentlichen Telefonnetzen an festen
Standorten (Markt Nr. 1 der Märkte-Empfehlung 2014) sowie
den Markt für den Verbindungsaufbau im öffentlichen Telefon-
netz an festen Standorten (Markt Nr. 2 der Märkte-Empfehlung
2007)

Nachfolgend wird gemäß § 12 Abs. 1 TKG ein Entwurf zur Markt-
definition und Marktanalyse betreffend den Markt für die Anrufzu-
stellung auf der Vorleistungsebene in einzelnen öffentlichen Tele-
fonnetzen an festen Standorten (Markt Nr. 1 der Märkte-Empfehlung
2014) sowie den Markt für den Verbindungsaufbau im öffentlichen
Telefonnetz an festen Standorten (Markt Nr. 2 der Märkte-Empfeh-
lung 2007) veröffentlicht. Betriebs- und Geschäftsgeheimnisse sind
nach § 12 Abs. 1 S. 3 TKG geschwärzt. Zu dem Entwurf kann bis
zum 19.10.2016 einschließlich Stellung genommen werden.

Stellungnahmen sind auf dem Postweg oder in elektronischer
Form – jeweils in deutscher Sprache – zu richten an die Bundes-
netzagentur, Dienststelle 116d, Postfach 8001, 53105 Bonn oder
an folgende E-Mail-Adresse 116-postfach@bnetza.de. Sofern die
Stellungnahme Betriebs- und Geschäftsgeheimnisse enthält, wird
um Übersendung einer zusätzlichen geschwärzten Fassung gebe-
ten.

Nach Fristablauf eingehende Stellungnahmen können nicht be-
rücksichtigt werden. Es wird darauf hingewiesen, dass keine Frist-
verlängerungen gewährt werden können.



BK 1-14/004




                                                                                                             Bonn, 28. September 2016
8

Amtsblatt der Bundesnetzagentur
                                für Elektrizität, Gas, Telekommunikation, Post und Eisenbahnen
18 2016                    – Mitteilungen, Telekommunikation, Teil A, Mitteilungen der Bundesnetzagentur –   3361




                              Konsultationsentwurf der
                        Bundesnetzagentur für Elektrizität, Gas,
                       Telekommunikation, Post und Eisenbahnen




                Anrufzustellung auf der Vorleistungsebene in einzelnen
                   öffentlichen Telefonnetzen an festen Standorten

                       (Markt Nr. 1 der Märkte-Empfehlung 2014/710/EU)

                                                      sowie

              Verbindungsaufbau im öffentlichen Telefonnetz an festen
                                   Standorten

                       (Markt Nr. 2 der Märkte-Empfehlung 2007/879/EG)




                                Öffentliche Fassung
                (enthält keine Betriebs- und Geschäftsgeheimnisse)


Bonn, 28. September 2016
9

Amtsblatt der Bundesnetzagentur
                                     für Elektrizität, Gas, Telekommunikation, Post und Eisenbahnen
3362                         – Mitteilungen, Telekommunikation, Teil A, Mitteilungen der Bundesnetzagentur –                        18 2016


                                                      ÖFFENTLICHE FASSUNG

       1     Einleitung......................................................................................................................12
       2     Leistungsbeschreibung.................................................................................................14
           2.1       EU-Märkte-Empfehlung sowie Gegenstand des Marktanalyseverfahrens.............14
           2.2       Netztechnologien im Anschlussbereich ................................................................17
             2.2.1         Telefonverbindungen über schmalbandige Anschlüsse.................................17
             2.2.2         Telefonverbindungen über breitbandige Anschlüsse .....................................18
           2.3       Art der Zusammenschaltung.................................................................................19
             2.3.1         Telefondienstspezifische Zusammenschaltung auf PSTN-Ebene (Fall 1)......19
                 2.3.1.1    PSTN-Netztopologie..................................................................................19
                   2.3.1.1.1 Hierarchische Netzstruktur ....................................................................19
                   2.3.1.1.2 Einfache Netzstruktur............................................................................22
                 2.3.1.2    Bestimmung der untersten Netzkopplungsebene bei Übergabe auf PSTN 23
                   2.3.1.2.1 PSTN-Netz der TDG .............................................................................23
                   2.3.1.2.2 PSTN-Netze der aTNB..........................................................................25
             2.3.2         Telefondienstspezifische Zusammenschaltung auf IP-Ebene (Fall 2) ............26
                 2.3.2.1    NGN-Netztopologie ...................................................................................26
                 2.3.2.2    Bestimmung der untersten Netzkopplungsebene bei Übergabe auf IP ......28
                   2.3.2.2.1 Modell der technologieneutralen Übergabe (Szenario 1).......................29
                   2.3.2.2.2 Modell der technologiekonformen Übergabe – Grundsatz der
                   Technologiedifferenzierung (Szenario 2) ................................................................30
                 2.3.2.3    Zusammenfassung ....................................................................................34
             2.3.3         Exkurs: Diensteneutrale Kooperation auf IP-Ebene (Fall 3)...........................35
             2.3.4         Grafische Einordung der verschiedenen Zusammenschaltungsleistungen ....36
           2.4       Diverse Formen der Anrufzustellung ....................................................................36
             2.4.1         Anrufzustellung zu geographischen Rufnummern .........................................37
             2.4.2         Anrufzustellung zu nationalen Teilnehmerrufnummern – Gasse (0)32...........38
             2.4.3         Anrufzustellung zu den Notrufdiensten 110 und 112 .....................................39
             2.4.4         Anbieter und Nachfrager ...............................................................................39
           2.5       Diverse Formen des Verbindungsaufbaus............................................................40
             2.5.1         Verbindungsaufbau zur Betreiber(vor)auswahl..............................................40
             2.5.2         Verbindungsaufbau zu (sonstigen) Diensten .................................................41
             2.5.3         Exkurs: Verbindungsaufbau mit Ursprung in der Rufnummerngasse (0)32....44
             2.5.4         Anbieter und Nachfrager ...............................................................................44
       3     Gang der Ermittlungen..................................................................................................46
       4     Vorbringen der Adressaten ...........................................................................................49
           4.1       Leistungsbeschreibung.........................................................................................49
           4.2       Marktabgrenzung .................................................................................................49
             4.2.1         Produktportfolio und Geographische Abdeckung...........................................49
             4.2.2         Netz- und Zusammenschaltungsstruktur .......................................................55

                                                                         2


                                                                                                                            Bonn, 28. September 2016
10

Amtsblatt der Bundesnetzagentur
                                           für Elektrizität, Gas, Telekommunikation, Post und Eisenbahnen
18 2016                             – Mitteilungen, Telekommunikation, Teil A, Mitteilungen der Bundesnetzagentur –                                  3363


                                                        ÖFFENTLICHE FASSUNG

                    4.2.2.1       Endkundenanschlüsse / -zugänge.............................................................55
                    4.2.2.2       Netzkopplungen ........................................................................................56
                    4.2.2.3       IN-Abfrage.................................................................................................57
                4.2.3         Betreiber(vor)auswahl ...................................................................................59
                4.2.4         Substitutionsbeziehungen .............................................................................60
                    4.2.4.1       Nachfragesubstitution................................................................................60
                    4.2.4.2       Angebotsumstellungsflexibilität..................................................................62
                    4.2.4.3       Abgeleitete Substitutionsmöglichkeiten bei der Anrufzustellung ................63
                    4.2.4.4       Weitere Aspekte zur Marktabgrenzung......................................................64
              4.3       Marktmacht ..........................................................................................................66
                4.3.1         Preise............................................................................................................66
                4.3.2         Zugang zu Beschaffungsmärkten ..................................................................67
                4.3.3         Entgegengerichtete Nachfragemacht ............................................................68
                    4.3.3.1       Entgegengerichtete Nachfragemacht bei der Anrufzustellung ...................68
                    4.3.3.2       Entgegengerichtete Nachfragemacht bei dem Verbindungsaufbau ...........69
                4.3.4         Größenvorteile ..............................................................................................70
                    4.3.4.1       Kostenentwicklung bei Verdoppelung des Umsatzes.................................70
                    4.3.4.2       (Spezifische) Kostenpositionen bei einer Veränderung des Umsatzes ......71
                4.3.5         Verbundvorteile .............................................................................................71
                4.3.6         Potenzieller Wettbewerb................................................................................73
                    4.3.6.1       Marktzutrittsschranken und Expansionshemmnisse ..................................73
                    4.3.6.2       Barrieren beim Anbieterwechsel ................................................................76
                    4.3.6.3       Einfluss des Endkundenverhaltens auf Marktstellung ................................77
                4.3.7         Vertikale Integration ......................................................................................78
                4.3.8         Sonstige Aspekte ..........................................................................................79
              4.4       Art und Umfang möglicher Wettbewerbsprobleme................................................85
              4.5       Ziele und Grundsätze der Regulierung .................................................................88
              4.6       Vorbringen des VATM ..........................................................................................91
              4.7       Nacherhebung bei zwei Unternehmen..................................................................92
          5     Nationale Konsultation..................................................................................................93
          6     Einvernehmen des Bundeskartellamtes gemäß § 123 Abs. 1 TKG...............................94
          7     Europäisches Konsolidierungsverfahren.......................................................................95
          8     Marktabgrenzung..........................................................................................................96
              8.1       Anrufzustellung in einzelnen öffentlichen Telefonnetzen an festen Standorten.....97
                8.1.1         Vorgaben der Märkte-Empfehlung.................................................................97
                8.1.2         Bisherige Regulierung ...................................................................................98
                8.1.3         Vorgehensweise und Fragestellungen zur aktuellen Untersuchung...............99
                8.1.4         Ausgangspunkt .............................................................................................99
                8.1.5         Fragestellungen ............................................................................................99

                                                                            3


Bonn, 28. September 2016
11

Amtsblatt der Bundesnetzagentur
                                 für Elektrizität, Gas, Telekommunikation, Post und Eisenbahnen
3364                      – Mitteilungen, Telekommunikation, Teil A, Mitteilungen der Bundesnetzagentur –                    18 2016


                                                 ÖFFENTLICHE FASSUNG

             8.1.5.1    Austauschbarkeit zwischen der Anrufzustellung und dem
                 Verbindungsaufbau einerseits und mit dem an festen Standorten lokal
                 bereitgestellten Zugang andererseits..................................................................100
             8.1.5.2    Austauschbarkeit der Anrufzustellung in die Festnetze unterschiedlicher
                 Netzbetreiber......................................................................................................102
             8.1.5.3    Austauschbarkeit zwischen der Anrufzustellung zu breitbandigen und
                 derjenigen zu schmalbandigen Teilnehmeranschlüssen.....................................103
             8.1.5.4    Austauschbarkeit zwischen der Anrufzustellung in einzelne Festnetze und
                 derjenigen in einzelne Mobilfunknetze................................................................107
             8.1.5.5    Austauschbarkeit zwischen der Anrufzustellung zu geographischen
                 Rufnummern und derjenigen zu Notrufabfragestellen.........................................108
             8.1.5.6    Austauschbarkeit zwischen der Anrufzustellung zu geographischen
                 Rufnummern und derjenigen zur Nationalen Teilnehmerrufnummer der
                 Gasse (0)32 .......................................................................................................110
             8.1.5.7    Austauschbarkeit zwischen der Anrufzustellung zu geographischen
                 Rufnummern in einzelne Festnetze und derjenigen, bei der der Teilnehmer in
                 einem nachfolgenden Drittnetz angeschlossen ist („Scheinterminierung“) ..........111
             8.1.5.8    Austauschbarkeit zwischen der Leistung der Anrufzustellung und der
                 gebündelten Leistung Transit plus Anrufzustellung.............................................117
             8.1.5.9    Austauschbarkeit der Anrufzustellung bei einer PSTN-Übergabe und
                 derjenigen bei einer telefondienstspezifischen IP-Übergabe ..............................117
               8.1.5.9.1 Telefondienstspezifische Übergabe auf IP-Ebene...............................118
                  8.1.5.9.1.1 Telefondienstspezifische Übergabe auf IP-Ebene und Geltung des
                  Grundsatzes einer technologieneutralen Übergabe ..........................................119
                  8.1.5.9.1.2 Telefondienstspezifische Übergabe auf IP-Ebene bei Geltung des
                  Grundsatzes der Technologiekonformität und Durchführung einer sortierten
                  Verkehrsübergabe ............................................................................................122
                  8.1.5.9.1.3 Telefondienstspezifische Übergabe auf IP-Ebene bei Geltung des
                  Grundsatzes der Technologiekonformität und Durchführung einer unsortierten
                  Verkehrsübergabe ............................................................................................124
               8.1.5.9.2 Telefondienstspezifische Übergabe auf PSTN-Ebene.........................128
                  8.1.5.9.2.1 Telefondienstspezifische Übergabe auf PSTN-Ebene und Geltung
                  des Grundsatzes einer technologieneutralen Übergabe....................................128
                  8.1.5.9.2.2 Telefondienstspezifische Übergabe auf PSTN-Ebene bei Geltung
                  des Grundsatzes der Technologiekonformität und Durchführung einer sortierten
                  Verkehrsübergabe ............................................................................................130
                  8.1.5.9.2.3 Telefondienstspezifische Übergabe auf PSTN-Ebene bei Geltung
                  des Grundsatzes der Technologiekonformität und Durchführung einer
                  unsortierten Verkehrsübergabe.........................................................................131
             8.1.5.10 Austauschbarkeit zwischen der klassischen Sprachtelefonie und den nicht-
                 gemanagten VoIP-Diensten (OTT-Dienste) auf Vorleistungsebene ....................133
               8.1.5.10.1 Substitution auf der Endkundenebene ..............................................133
               8.1.5.10.2 Auswirkungen auf die Vorleistungsebene bei einer möglichen
               Substitution auf der Endkundenebene..................................................................137
             8.1.5.11 Grafische Darstellung der Marktzugehörigkeit nach Leistung ..................139
             8.1.5.12 Räumlich relevanter Markt.......................................................................140
         8.1.6          Ergebnis der Marktabgrenzung betreffend der Märkte für Anrufzustellung ..141
       8.2       Der Verbindungsaufbau im öffentlichen Telefonnetz an festen Standorten.........145
         8.2.1          Vorgaben der Märkte-Empfehlung...............................................................145
         8.2.2          Bisherige Regulierung .................................................................................145
         8.2.3          Vorgehensweise und Fragestellungen zur aktuellen Untersuchung.............146
         8.2.4          Ausgangsprodukt ........................................................................................146

                                                                    4


                                                                                                                     Bonn, 28. September 2016
12

Amtsblatt der Bundesnetzagentur
                                         für Elektrizität, Gas, Telekommunikation, Post und Eisenbahnen
18 2016                           – Mitteilungen, Telekommunikation, Teil A, Mitteilungen der Bundesnetzagentur –                              3365


                                                      ÖFFENTLICHE FASSUNG

               8.2.5        Fragestellungen ..........................................................................................147
                 8.2.5.1     Austauschbarkeit zwischen dem Verbindungsaufbau und der
                     Anrufzustellung einerseits und mit dem an festen Standorten lokal bereitgestellten
                     Zugang sowie mit dem für Massenmarktprodukte auf der Vorleistungsebene an
                     festen Standorten zentral bereitgestellten Zugang andererseits .........................147
                 8.2.5.2     Austauschbarkeit des Verbindungsaufbaus aus unterschiedlichen
                     Festnetzen .........................................................................................................149
                 8.2.5.3     Austauschbarkeit zwischen dem Verbindungsaufbau von breitbandigen und
                     demjenigen von schmalbandigen Teilnehmeranschlüssen .................................150
                 8.2.5.4     Austauschbarkeit zwischen dem Verbindungsaufbau aus dem Festnetz und
                     demjenigen aus einzelnen Mobilfunknetzen .......................................................152
                 8.2.5.5     Austauschbarkeit zwischen dem Verbindungsaufbau mit Ursprung in
                     Nationalen Teilnehmerrufnummern der Gasse (0)32 und demjenigen von
                     geographischen Rufnummern ............................................................................154
                 8.2.5.6     Austauschbarkeit zwischen dem reinen Verbindungsaufbau und dem
                     Bündelprodukt bestehend aus Verbindungsaufbau plus Transit .........................155
                 8.2.5.7     Fragen der Austauschbarkeit betreffend den Verbindungsaufbau zu
                     Auskunfts- und Mehrwertdiensten ......................................................................155
                   8.2.5.7.1 Austauschbarkeit zwischen dem Verbindungsaufbau zu einem
                   bestimmten Auskunfts- und Mehrwertdienst und demjenigen zu anderen Auskunfts-
                   und Mehrwertdiensten..........................................................................................156
                   8.2.5.7.2 Austauschbarkeit zwischen dem Verbindungsaufbau zu Auskunfts- und
                   Mehrwertdiensten ohne IN-Abfrage und dem Verbindungsaufbau zu Auskunfts- und
                   Mehrwertdiensten mit IN-Abfrage .........................................................................156
                 8.2.5.8     Fragen der Austauschbarkeit betreffend den Verbindungsaufbau zur
                     Betreibervorauswahl...........................................................................................159
                   8.2.5.8.1 Austauschbarkeit zwischen dem Verbindungsaufbau zur
                   Betreiber(vor)auswahl und demjenigen zu sonstigen Auskunfts- und
                   Mehrwertdiensten.................................................................................................159
                   8.2.5.8.2 Austauschbarkeit zwischen dem Verbindungsaufbau zur
                   Betreiber(vor)auswahl und dem Bündelprodukt aus Verbindungsaufbau zur
                   Betreiber(vor)auswahl plus Transit plus Wandlung...............................................160
                 8.2.5.9     Austauschbarkeit des Verbindungsaufbaus bei einer PSTN-Übergabe und
                     desjenigen bei einer IP-Übergabe ......................................................................161
                   8.2.5.9.1 Telefondienstspezifische Übergabe auf IP-Ebene...............................162
                      8.2.5.9.1.1 Telefondienstspezifische Übergabe auf IP-Ebene und Geltung des
                      Grundsatzes einer technologieneutralen Übergabe ..........................................162
                      8.2.5.9.1.2 Telefondienstspezifische Übergabe auf IP-Ebene bei Geltung des
                      Grundsatzes einer technologiekonformen Übergabe und Durchführung einer
                      sortierten Verkehrsübergabe.............................................................................163
                      8.2.5.9.1.3 Telefondienstspezifische Übergabe auf IP-Ebene bei Geltung des
                      Grundsatzes einer technologiekonformen Übergabe und Durchführung einer
                      unsortierten Verkehrsübergabe.........................................................................165
                   8.2.5.9.2 Telefondienstspezifische Übergabe auf PSTN-Ebene.........................167
                      8.2.5.9.2.1 Telefondienstspezifische Übergabe auf PSTN-Ebene und Geltung
                      des Grundsatzes einer technologieneutralen Übergabe....................................167
                      8.2.5.9.2.2 Telefondienstspezifische Übergabe auf PSTN-Ebene bei Geltung
                      des Grundsatzes einer technologiekonformen Übergabe und Durchführung einer
                      sortierten Verkehrsübergabe.............................................................................167
                      8.2.5.9.2.3 Telefondienstspezifische Übergabe auf PSTN-Ebene bei Geltung
                      des Grundsatzes einer technologiekonformen Übergabe und Durchführung einer
                      unsortierten Verkehrsübergabe.........................................................................168
                 8.2.5.10 Austauschbarkeit zwischen der klassischen Sprachtelefonie und der nicht-
                     gemanagten Internettelefonie (OTT-Dienste) auf Vorleistungsebene .................169
                 8.2.5.11 Grafische Darstellung der Marktzugehörigkeit nach Leistungen ..............171


                                                                        5


Bonn, 28. September 2016
13

Zur nächsten Seite