abl-03

Dieses Dokument ist Teil der Anfrage „Amtsblätter bis 2018

/ 336
PDF herunterladen
Amtsblatt der Bundesnetzagentur
                                   für Elektrizität, Gas, Telekommunikation, Post und Eisenbahnen
  3 2015                      – Mitteilungen, Telekommunikation, Teil A, Mitteilungen der Bundesnetzagentur –   889


                  weltweiter Implementierung - sein werde. Ein derartiges Maß weltweiter Harmonisie-
                  rung werde unvergleichliche Vorteile in Bezug auf die Verfügbarkeit von Endgeräten
                  und die Roaming-Unterstützung bieten.
         221      Die geplante Implementierung des Bandplans gemäß CEPT Report 53, der innerhalb
                  des 700-MHz-Bandes 2 x 30 MHz (703 – 733 / 758 – 788 MHz) für den zellularen öf-
                  fentlichen Mobilfunk vorsehe, wird begrüßt.
         222      Einerseits wird vorgetragen, dass eine zeitnahe finale Entscheidung über die Einbe-
                  ziehung dieses Spektrums in das Vergabeverfahren, insbesondere zur Unterstützung
                  der Breitbandziele der Bundesregierung, äußerst wichtig sei.
         223      Es wird darauf hingewiesen, dass sich die potenziellen Vorteile dieses Bands weiter
                  verringern würden, sollte die Rundfunknutzung des 700-MHz-Bands in Deutschlands
                  Nachbarländern über 2020 hinaus fortgesetzt werden, da dann eine Mobilfunknut-
                  zung in grenznahen Gebieten nicht möglich sei.
         224      Die aktuellen und zukünftigen Nutzer bräuchten Planungs- und Investitionssicherheit.
                  Hierzu werden verbindlichere Angaben zur (bundesweiten) Verfügbarkeit des
                  700-MHz-Bandes gefordert. Es sei zwingend erforderlich, zu wissen, wann, wo und
                  unter welchen Nutzungsbedingungen das 700-MHz-Spektrum in der weiteren Netz-
                  planung eingesetzt werden könne.
         225      Ein Kommentator äußert, dass die Umstellung von DVB-T auf DVB-T2 sinnvoller-
                  weise nicht auf dem Land, sondern in städtischen Gebieten beginnen sollte. Erst
                  nach Abschluss der DVB-T2-Einführung in den ländlichen Bereichen stünde dort der
                  Nutzung des 700-MHz-Bandes durch den Mobilfunk nichts mehr im Wege. Dabei wird
                  die Umstellung von DVB-T auf DVB-T2 von Anfang 2017 bis Mitte 2019 für realistisch
                  und frequenzökonomisch sinnvoll gehalten. Außerdem wird angemerkt, dass sowohl
                  für die Simulcast-Phase als auch die weitere DVB-T2-Umstellung 700-MHz-Kanäle
                  noch weiterhin benötigt würden. Eine Nutzung des 700-MHz-Bandes durch den Mo-
                  bilfunk ab 1. Januar 2017 wird als illusorisch eingeschätzt. Konkret wird sogar gefor-
                  dert, das 700-MHz-Band bis 2019 dem Rundfunk zur Verfügung zu stellen.
         226      Ein anderer Kommentator führt aus, dass sich ein Zeitplan für die Nutzung der
                  700-MHz-Frequenzen für mobiles Breitband im Entwurf befinde, demzufolge eine
                  Umstellung des Rundfunks (Frequenzwechsel und Umstellung auf DVB-T2) „begin-
                  nend ab April 2015“ erfolgen solle. Dabei solle der Ausbau des mobilen Breitbands
                  bereits frühzeitig und zwar in Flächenregionen wie etwa Bayern oder Schleswig-
                  Holstein beginnen. Ein solcher Ansatz widerspreche zum einen fundamental dem
                  Migrationskonzept, das auf der Grundlage des DVB-T2-Bedarfskonzepts von der na-
                  tionalen Planungsgruppe („UHF AG“) entwickelt worden sei und das den Start des
                  Umstellungsprozesses in Ballungsräumen vorsehe. So seien zum Zeitpunkt der im
                  Entwurf angegebenen voraussichtlichen Verfügbarkeit des 700-MHz-Bandes im Jahr
                  2017 bestenfalls einige wenige Frequenzen des 700-MHz-Bandes frei, allerdings oh-
                  ne dass diese für zukünftige Zuteilungsnehmer zu diesem Zeitpunkt technisch nutz-
                  bar wären. Das 700-MHz-Band stehe in vollem Umfang für künftige Zuteilungsneh-
                  mer erst nach vollzogener Implementierung von DVB-T2 zur Verfügung und sei auch
                  dann für Zuteilungsnehmer nur umfänglich nutzbar, wenn sowohl die planungsrechtli-
                  chen Voraussetzungen in den europäischen Nachbarländern vorlägen als auch das
                  700-MHz-Band von allen Rundfunknutzungen geräumt sei.
         227      Ein Kommentator gibt zu bedenken, dass die 700-MHz-Frequenzen bekanntermaßen
                  nicht von DVB-T2 und Mobilfunk parallel genutzt werden könnten. Der Entschei-
                  dungsentwurf übergehe diese Tatsache, indem er unterstelle, in einzelnen Regionen
                  könne, wenn der Umstieg auf DVB-T2 bereits vollzogen sei, das 700-MHz-
                  Frequenzband bereits frühzeitig dem Mobilfunk zur Verfügung gestellt werden. Selbst
                  wenn man unterstelle, dass hier nicht von einer harten Umstellung, sondern einer er-
                  folgten Simulcast-Phase ausgegangen werde, seien technische Schwierigkeiten bei
                  einer regionalen Parallelnutzung unübersehbar. So seien Fernsehfunkzellen wesent-

                                                             61



Bonn, 11. Februar 2015
129

Amtsblatt der Bundesnetzagentur
                          für Elektrizität, Gas, Telekommunikation, Post und Eisenbahnen
890                  – Mitteilungen, Telekommunikation, Teil A, Mitteilungen der Bundesnetzagentur –        3 2015


            lich größer als solche des Mobilfunks und terrestrischer Fernsehempfang mache nicht
            an den Grenzen von Bundesländern halt.
      228   Mehrere andere Kommentatoren fordern, die geplante Auktion grundsätzlich nur
            durchzuführen, wenn die 700-MHz-Frequenzen voll für Mobilfunk zur Verfügung
            stünden.
      229   Verschiedene Kommentatoren merkten das Fehlen verbindlicher Angaben zur Ver-
            fügbarkeit der Mobilfunkbänder im 700–MHz-Band bzw. eines konkreten Bereitstel-
            lungsdatums der flächendeckenden Nutzbarkeit der 700-MHz-Frequenzen an, was zu
            schwerwiegenden Planungs- und Bewertungsunsicherheiten für die Marktteilnehmer
            führe. Der Netzausbau unterliege komplexen Planungen und Abhängigkeiten, die
            nicht an einem sukzessiven Freiwerden der Frequenzen ausgerichtet werden könn-
            ten. Für eine belastbare Bewertung der Nutzungsmöglichkeiten des 700-
            MHzSpektrums in Vorbereitung einer Auktion sei es zwingend erforderlich zu wissen,
            wann, wo und unter welchen konkreten Nutzungsbedingungen (bzw. Nutzungsein-
            schränkungen) das 700-MHz-Spektrum in der weiteren Netzplanung eingesetzt wer-
            den könne. Nur so lasse sich eine solide Bewertung und Bietstrategie für das 700-
            MHz-Spektrum entwickeln. Daher sollte vor der Auktion ein Zeitplan festgelegt wer-
            den, der verbindlich darstelle, in welchen Regionen das Spektrum ab welchem Zeit-
            punkt genutzt werden könne. Ein regionales Einsteigen in ausgewählten Regionen
            sei auf Grund einer bundesweit zu leistenden Netzplanung nicht akzeptabel und brin-
            ge praktisch keine Vorteile.
      230   Ein Kommentator führt in diesem Zusammenhang aus, dass dabei nicht der Startter-
            min von Bedeutung sei, zu dem die Frequenzen für erste Regionen bereitgestellt
            werden könnten. Da die Mobilfunkvermarktung ausschließlich bundesweit erfolge, sei
            lediglich das Enddatum des DVBT/DVB-T2-Migrationsprozesses, zu dem die Fre-
            quenzen bundesweit eingesetzt werden könnten, relevant.
      231   Andere Kommentatoren erwarten eine bundesweite Verfügbarkeit der Mobilfunkbän-
            der im 700-MHz-Bereich vor 2019, spätestens Anfang 2018. Sollte das 700-MHz-
            Spektrum nicht direkt nach der Auktion nutzbar sein, sondern – nach Prognose der
            Bundesnetzagentur – erst „beginnend ab 2017“ und anfangs möglicherweise nur re-
            gional, würde daraus eine faktische Laufzeit von maximal 13 Jahren, in der Fläche
            sogar noch weniger, resultieren. Wären dann die Versorgungsauflagen bereits Ende
            2018 zu erfüllen, würden den Netzbetreibern damit deutlich weniger als zwei Jahre
            zur Umsetzung der Versorgungsverpflichtung bleiben.
      232   Mehrere Kommentatoren fordern die Durchführung der Frequenzvergabe des
            700-MHz-Bands erst zu einem Zeitpunkt, zu dem sichergestellt sei, dass das jüngst
            aktualisierte und bei der BNetzA eingereichte DVB-T2 Bedarfskonzept der Länder in
            Form eines frequenztechnisch (in- und ausländisch) koordinierten Umstellungsplanes
            unterhalb des 700-MHz-Bereichs (470-694 MHz) in vollem Umfang bedient werden
            könne.
      233   Zwei Kommentatoren fordern verbindliche Aussagen der Bundesnetzagentur zur
            Nutzbarkeit konkreter Rundfunkkanäle an den einzelnen Standorten, bevor deren
            Umbau von DVB-T auf DVB-T2 überhaupt geplant, beauftragt und schließlich umge-
            setzt werde (abgestimmtes Frequenzkonzept). Für die DVB-T2-Startregionen müss-
            ten die Senderparameter (einschließlich Kanalnummern) im April 2015 feststehen,
            um einen Start im Jahr 2016 nicht zu gefährden.
      234   In einem Kommentar wird verlangt, dass die Frequenzvergabe außerdem erst dann
            erfolgen solle, wenn gewährleistet sei, dass auf der Basis des Bedarfskonzepts der
            Länder und der darin festgeschriebenen zeitlichen Dimensionen für die Migration von
            DVB-T zu DVB-T2 eine vorübergehende Parallelnutzung von DVB-T und DVB-T2
            („Simulcast-Phase“) erfolge. Diese vorübergehende Parallelnutzung bedinge einen
            vorübergehenden erhöhten Frequenzbedarf, welcher durch die Bundesnetzagentur
            im Rahmen der in- und ausländischen Frequenzkoordinierung zu berücksichtigen sei.

                                                       62



                                                                                                       Bonn, 11. Februar 2015
130

Amtsblatt der Bundesnetzagentur
                                   für Elektrizität, Gas, Telekommunikation, Post und Eisenbahnen
  3 2015                      – Mitteilungen, Telekommunikation, Teil A, Mitteilungen der Bundesnetzagentur –   891


         235      Mehrere Kommentatoren kritisieren die Möglichkeit der – wenn auch nur übergangs-
                  weisen –Nutzung der 700-MHz-Mittenlücke für DVB-T, da dieses Szenario nicht vom
                  CEPT Bericht 53 abgedeckt sei. Daher sei eine detaillierte Untersuchung notwendig,
                  bevor eine solche Nutzung freigegeben werde.
         236      In einem weiteren Kommentar wird ergänzend ausgeführt, dass eine DVB-T Nutzung
                  innerhalb der Mittenlücke wegen zu erwartender massiver Störungen auch nicht in
                  Ausnahmefällen sinnvoll sei. Der CEPT-Report 53 setze in Annex 6 einen Schutzab-
                  stand von 9 MHz voraus und komme selbst unter dieser Voraussetzung noch zu dem
                  Ergebnis, dass zur Vermeidung von Störungen auf Seiten der LTE-Basisstation noch
                  eine zusätzliche Empfängerentkopplung von bis zu 40 dB (je nach Szenario) nötig
                  sei, um den LTE-Empfänger nicht mit DVB-T Signalen zu blockieren. Abgesehen da-
                  von, dass die Mittenlücke gar nicht groß genug für ein solches Szenario wäre
                  (2 x 9 MHz Schutzabstand + 8 MHz DVB-T Kanal ergäbe 26 MHz), ergäbe sich ein
                  gravierendes Entkopplungsproblem. Während beim DVB-T Betrieb unterhalb des LTE
                  UL die LTE Basisstation durch entsprechende – herstellerseitige oder nachgerüstete
                  – Filter mit 40 dB zusätzlicher Entkopplung zu schützen sei, wäre beim DVB-T Be-
                  trieb in der Mittenlücke (also oberhalb des LTE UL und unterhalb des LTE DL) auch
                  die LTE Mobilstation entsprechend zu schützen. Da hier Nachrüstfilter nicht in Be-
                  tracht kämen, müssten also alle LTE-Terminals werksseitig mit einem solchen Filter
                  ausgerüstet sein. Dies sei nicht nur unrealistisch, sondern wegen der geringen Bau-
                  größe gar nicht machbar. Filter dieser Güte benötigten Platz, den es in der Mobilstati-
                  on nicht gäbe.
         237      Ein Kommentator begrüßt, dass trotz ausstehenden politischen Konsenses mit Blick
                  auf den bestehenden Zeitdruck bereits jetzt der Konsultationsprozess eröffnet worden
                  sei.
         238      Ein Kommentator gibt an, dass die Bundesnetzagentur in Ziffer 180 des Konsultati-
                  onspapiers auf die gemeinsame Erklärung aller Beteiligten hinsichtlich einer schritt-
                  weisen DVB-T2-Einführung in Deutschland verweise. Nach der Auffassung des
                  Kommentators verstünden die Marktbeteiligten hierunter ein für den Zuschauer und
                  die terrestrische TV-Plattform verträgliches und keinesfalls übereiltes Umstiegsszena-
                  rio. Dabei stimme der Hinweis in Ziffer 185 befremdlich, dass die im Interesse der
                  Konsumenten geplante zeitweise parallele Ausstrahlung von DVB-T und DVB-T2 eine
                  Blockierung von Frequenzressourcen darstelle. Die Bundesnetzagentur würde somit
                  billigend in Kauf nehmen, dass zugunsten des u. a. in Ziffer 183 erwähnten möglichst
                  schnellen Ausbaus des mobilen Breitbandes die terrestrische Rundfunkplattform
                  nachhaltig beschädigt bzw. zerstört werden könnte.
         239      Ein weiterer Kommentator fordert aus Gründen des Verbraucherschutzes einen Si-
                  mulcast von zwei Jahren für den Umstieg von DVB-T auf DVB-T2. Ein Simulcast klei-
                  ner 6 Monate sei als fahrlässig einzustufen.
         240      In mehreren Stellungnahmen werden Aspekte im Zusammenhang mit der Verfügbar-
                  keit für Endgeräte zum Empfang von DVB-T2 mit HEVC-Dekodierung angesprochen.
                  So seien beispielsweise zum anvisierten Start von DVB-T2 im Juni 2016 keine Emp-
                  fangsgeräte für DVB-T2 mit HEVC-Dekodierung in großen Stückzahlen am Markt ver-
                  fügbar. Dies sei frühestens Ende 2016 der Fall.
         241      Die von der Bundesnetzagentur ab April 2015 avisierte Umstellung riskiere wegen
                  des Mangels an Empfangsgeräten Versorgungslücken. Ein Kommentator weist da-
                  rauf hin, dass die terrestrische Rundfunkplattform sogar gänzlich zerstört werden
                  könne, was in jedem Fall dem Koalitionsvertrag widerspreche, nach dem „die für den
                  Umstieg auf DVB-T2 notwendigen Voraussetzungen erhalten bleiben müssen". In ei-
                  nem anderen Kommentar wird darauf hingewiesen, dass sowohl verfassungsrechtli-
                  che Vorgaben als auch die Belange des Rundfunks nach dem TKG zu berücksichti-
                  gen seien.


                                                             63



Bonn, 11. Februar 2015
131

Amtsblatt der Bundesnetzagentur
                          für Elektrizität, Gas, Telekommunikation, Post und Eisenbahnen
892                  – Mitteilungen, Telekommunikation, Teil A, Mitteilungen der Bundesnetzagentur –        3 2015


      242   Ein weiterer Kommentar geht auf die Feststellung im Entwurf der Bundesnetzagentur
            auf Seite 47 (Abs. 138) ein, nach der eine Verschiebung der Vergabe des 700-MHz-
            Bandes etwa „bis zur Verfügbarkeit der Technologie und der Endgeräte“ nicht dem
            Regulierungsziel einer effizienten Frequenznutzung entspräche und dass auch eine
            Verschiebung der Vergabe „bis zum Zeitpunkt der Umstellung von DVB- T zu DVB-T2
            […] ebenfalls nicht angezeigt sei“. Es sei zwar keine Verschiebung bis zum Ende des
            Implementierungsprozesses von DVB-T2 erforderlich, jedoch bis zu dem Zeitpunkt,
            zu dem die Bedienung der zukünftigen Bedarfe des Rundfunks in vollem Umfang ge-
            sichert sei.
      243   Aus Sicht der Verbraucher müsse die Möglichkeit des Erwerbs zu entsprechend ge-
            ringen bzw. sozialadäquaten Preisen gegeben sein. Zur Umstellung sei je Gebiet ein
            Zeitraum von mindestens 12 Monaten anzusetzen, damit nicht überstürzt die zu Be-
            ginn evtl. noch sehr teuren Geräte gekauft werden müssten. Verbraucher seien beim
            Kauf ihrer derzeitigen Empfänger nicht darauf hingewiesen worden, dass sich in sehr
            kurzer Zeit der Codec ändere und die Geräte unbrauchbar würden.
      244   In einem Kommentar wird auch die Notwendigkeit der Anschaffung von neuen Emp-
            fangsgeräten aus finanzieller Sicht und mit Blick auf Ressourcen- und Umweltbelas-
            tungen als kritikwürdig erachtet. Sie belaste die Verbraucher zusätzlich.
      245   Zur Verfügbarkeit der 1,5-GHz-Frequenzen wurde Folgendes vorgetragen:
            Auf europäischer Ebene sei das 1,5-GHz-Band harmonisiert worden. Mehrere euro-
            päische Länder (z. B. Italien, Großbritannien und Irland) planten entweder die Auktion
            des Bands oder es sei zu erwarten, dass das Band in naher Zukunft für mobiles
            Breitband verfügbar sein werde. Das Band sei bereits durch 3GPP als Band 32 stan-
            dardisiert. Es werde erwartet, dass entsprechende Ausrüstung Anfang 2015 verfüg-
            bar sein werde.
      246   Das Band sei im Zusammenhang mit dem in der Breitbandstrategie festgelegten Ziel,
            die Bevölkerung vor 2018 mit Diensten, die 50 Mbit/s bieten, zu versorgen, besonders
            bedeutend. Das Band könne in Endgeräten problemlos mit Bändern unter und über
            1 GHz – wie von 3GPP spezifiziert – aggregiert werden, um die Übertragungsrate für
            die Benutzer zu erhöhen.
      247   Zum Teil wird vorgetragen, die Angabe der Verfügbarkeit des 1500-MHz-Bandes, mit
            „voraussichtlich 2015“, beinhalte eine Unsicherheit von mindestens 12 Monaten. Im
            Sinne der Erzielung von Planungssicherheit sollte die Angabe eines konkreten Da-
            tums erfolgen.
      248   Zur Verfügbarkeit der 1800-MHz-Frequenzen wurde Folgendes ausgeführt:
            Ein Großteil der Kommentatoren fordert die Einbeziehung des obersten bereits für
            Mobilfunk harmonisierten 1800-MHz-Blocks in die Vergabe.
      249   So werde im Spectrum-Inventory-Bericht der Europäischen Kommission gefordert,
            vor der Harmonisierung weiterer Frequenzbereiche, die notwendigen Maßnahmen zu
            ergreifen, um bereits harmonisiertes Spektrum nutzbar zu machen und zuzuteilen. In
            diesem Zusammenhang wird darauf hingewiesen, dass der 1800-MHz-Bereich der
            wertvollste und kurzfristig am leichtesten nutzbare Frequenzbereich sei.
      250   Das vorgesehene Schutzband (1875,5 – 1880 MHz) sei in vielen europäischen Län-
            dern (aktuell in 29 Ländern, v. a. in den Nachbarländern Deutschlands vgl. ECO-
            Bericht 03) bereits ganz oder uneingeschränkt an Mobilfunknetzbetreiber vergeben
            worden. Es sei daher nicht ersichtlich, warum sich die Situation in Deutschland signi-
            fikant von der in vergleichbaren Ländern unterscheiden würde. Es wäre ineffizient, die
            obersten 2 x 5 MHz nicht einzubeziehen, besonders angesichts der Wertschöpfung in
            Kombination mit den bestehenden Netzen und der breiten Unterstützung durch mobi-
            le Geräte.


                                                       64



                                                                                                       Bonn, 11. Februar 2015
132

Amtsblatt der Bundesnetzagentur
                                   für Elektrizität, Gas, Telekommunikation, Post und Eisenbahnen
  3 2015                      – Mitteilungen, Telekommunikation, Teil A, Mitteilungen der Bundesnetzagentur –   893


         251      Informationen über Störungen des DECT-Betriebes lägen bislang nicht vor. Dies gelte
                  insbesondere in Ländern mit einem ähnlich hohen Festnetzmarktanteil wie in
                  Deutschland. DECT-Geräte könnten Aussendungen im eigenen Frequenzbereich
                  aufspüren und auf einen anderen Kanal wechseln. Zwar könnte sich in gewissen Si-
                  tuationen die Anzahl der verfügbaren Kanäle reduzieren, dies würde aber weder das
                  DECT-Netz beeinträchtigen noch Kosten für die DECT-Nutzer verursachen.
         252      In diesem Zusammenhang wird darauf hingewiesen, dass die Verbreitung der Fest-
                  netztelefonie nicht wesentlich höher sei als in anderen Ländern, in denen der Bereich
                  ohne Einschränkungen an den Mobilfunk zugeteilt sei. Überdies enthielten privat ge-
                  nutzte Gebäude in Deutschland weniger Wohnungen als in anderen Ländern, die den
                  Bereich zugeteilt hätten. Dadurch sei die Wahrscheinlichkeit der Überlastung gerin-
                  ger.
         253      Nach Aussage im Konsultationsentwurf sei die Reichweite von DECT in Deutschland
                  geringer als in anderen Ländern Europas. Dies erhöhe die Wahrscheinlichkeit, dass
                  ein freier DECT-Kanal zur Verfügung stünde.
         254      Ein Kommentator führt an, dass sowohl die ECC-Entscheidung (06)13 vom 21. Juni
                  2013 als auch die Entscheidung der Europäischen Kommission 2011/251/EU vom
                  16. Oktober 2009 den gesamten Frequenzbereich 1805 – 1880 MHz für LTE widmen,
                  ohne dass der oberste 5 MHz – Block als Schutzband herausgenommen worden wä-
                  re.
         255      Es gebe keinen Grund dafür, die in der CEPT (insbesondere CEPT-Report 041) erar-
                  beiteten Koexistenzbedingungen zwischen DECT und öffentlichen Mobilfunknetzen in
                  Deutschland nicht anzuwenden.
         256      Weiterhin wird von mehreren Kommentatoren angeführt, dass das DECT-Schutzband
                  auch deshalb mit in das Vergabeverfahren einzubeziehen sei, da die aktuellen, auf
                  europäischer Ebene durchgeführten Verträglichkeitsuntersuchungen (CEPT – Report
                  41) zu einem möglichen Störpotenzial zwischen LTE1800 und DECT nachgewiesen
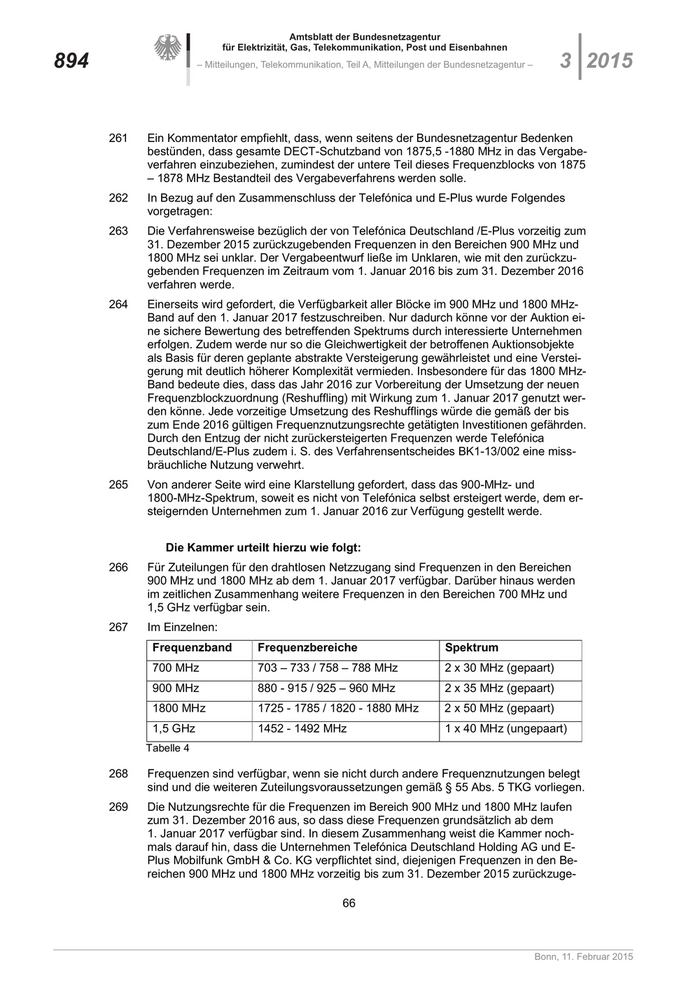
                  hätten, dass kein Schutzband zwischen LTE1800 und DECT erforderlich sei, da ein
                  gegenseitig störungsfreier Betrieb beider Systeme auch unter Einbeziehung des Fre-
                  quenzbereichs 1875,5 – 1880 MHz für den Mobilfunk prinzipiell gegeben sei und al-
                  lenfalls marginale, lokale Beeinträchtigungen der DECT-Systeme zu erwarten seien
                  oder lediglich für den Betrieb von LTE-1800-Picozellen-Basisstationen und DECT im
                  selben Gebäude Interferenzrisiken bestünden, die durch entsprechende Linderungs-
                  techniken zu Lasten der Mobilfunkanwendungen abgewendet werden könnten.
         257      Für die GSM-Nutzung käme der ERC Report 100 zu dem Schluss, dass ein Schutz-
                  band nicht erforderlich sei und sähe stattdessen bestimmte Beschränkungen für den
                  Unterbereich von 1878 - 1880 MHz vor. Unter anderem werde vorgeschlagen, die To-
                  tal Radiated Power (TRP) eines GSM-Trägers im Frequenzbereich 1878-1880 MHz
                  auf maximal 33 dBm zu begrenzen. Sollte der Frequenzblock nicht uneingeschränkt
                  in die Vergabe einbezogen werden, wären auch weitere Mitigationsmethoden in den
                  Nutzungsbedingungen denkbar.
         258      Des Weiteren wird von mehreren Kommentatoren argumentiert, dass eine Nichtein-
                  beziehung des DECT-Schutzbandes in das Vergabeverfahren für den Mobilfunk
                  wertvolle Frequenzressourcen im 1800-MHz-Band brach liegen lasse und damit eine
                  effiziente Frequenznutzung verhindert werden würde.
         259      Mit der Bereitstellung zusätzlichen Spektrums könne regulierungsinduzierte Knapp-
                  heit vermieden werden. Es erscheine daher unverhältnismäßig, den oberen Fre-
                  quenzblock 1875 – 1880 MHz nicht in das Vergabeverfahren einzubeziehen.
         260      Ein weiterer Kommentator ist der Auffassung, dass die Nichteinbeziehung des DECT-
                  Schutzbandes in das Vergabeverfahren den Interessen der deutschen Verbraucher
                  zuwiderlaufe und sie gegenüber deren europäischen Nachbarn benachteilige.


                                                             65



Bonn, 11. Februar 2015
133

Amtsblatt der Bundesnetzagentur
                             für Elektrizität, Gas, Telekommunikation, Post und Eisenbahnen
894                     – Mitteilungen, Telekommunikation, Teil A, Mitteilungen der Bundesnetzagentur –        3 2015


      261   Ein Kommentator empfiehlt, dass, wenn seitens der Bundesnetzagentur Bedenken
            bestünden, dass gesamte DECT-Schutzband von 1875,5 -1880 MHz in das Vergabe-
            verfahren einzubeziehen, zumindest der untere Teil dieses Frequenzblocks von 1875
            – 1878 MHz Bestandteil des Vergabeverfahrens werden solle.
      262   In Bezug auf den Zusammenschluss der Telefónica und E-Plus wurde Folgendes
            vorgetragen:
      263   Die Verfahrensweise bezüglich der von Telefónica Deutschland /E-Plus vorzeitig zum
            31. Dezember 2015 zurückzugebenden Frequenzen in den Bereichen 900 MHz und
            1800 MHz sei unklar. Der Vergabeentwurf ließe im Unklaren, wie mit den zurückzu-
            gebenden Frequenzen im Zeitraum vom 1. Januar 2016 bis zum 31. Dezember 2016
            verfahren werde.
      264   Einerseits wird gefordert, die Verfügbarkeit aller Blöcke im 900 MHz und 1800 MHz-
            Band auf den 1. Januar 2017 festzuschreiben. Nur dadurch könne vor der Auktion ei-
            ne sichere Bewertung des betreffenden Spektrums durch interessierte Unternehmen
            erfolgen. Zudem werde nur so die Gleichwertigkeit der betroffenen Auktionsobjekte
            als Basis für deren geplante abstrakte Versteigerung gewährleistet und eine Verstei-
            gerung mit deutlich höherer Komplexität vermieden. Insbesondere für das 1800 MHz-
            Band bedeute dies, dass das Jahr 2016 zur Vorbereitung der Umsetzung der neuen
            Frequenzblockzuordnung (Reshuffling) mit Wirkung zum 1. Januar 2017 genutzt wer-
            den könne. Jede vorzeitige Umsetzung des Reshufflings würde die gemäß der bis
            zum Ende 2016 gültigen Frequenznutzungsrechte getätigten Investitionen gefährden.
            Durch den Entzug der nicht zurückersteigerten Frequenzen werde Telefónica
            Deutschland/E-Plus zudem i. S. des Verfahrensentscheides BK1-13/002 eine miss-
            bräuchliche Nutzung verwehrt.
      265   Von anderer Seite wird eine Klarstellung gefordert, dass das 900-MHz- und
            1800-MHz-Spektrum, soweit es nicht von Telefónica selbst ersteigert werde, dem er-
            steigernden Unternehmen zum 1. Januar 2016 zur Verfügung gestellt werde.


                Die Kammer urteilt hierzu wie folgt:
      266   Für Zuteilungen für den drahtlosen Netzzugang sind Frequenzen in den Bereichen
            900 MHz und 1800 MHz ab dem 1. Januar 2017 verfügbar. Darüber hinaus werden
            im zeitlichen Zusammenhang weitere Frequenzen in den Bereichen 700 MHz und
            1,5 GHz verfügbar sein.
      267   Im Einzelnen:
             Frequenzband             Frequenzbereiche                            Spektrum
             700 MHz                  703 – 733 / 758 – 788 MHz                   2 x 30 MHz (gepaart)
             900 MHz                  880 - 915 / 925 – 960 MHz                   2 x 35 MHz (gepaart)
             1800 MHz                 1725 - 1785 / 1820 - 1880 MHz               2 x 50 MHz (gepaart)
             1,5 GHz                  1452 - 1492 MHz                             1 x 40 MHz (ungepaart)
            Tabelle 4

      268   Frequenzen sind verfügbar, wenn sie nicht durch andere Frequenznutzungen belegt
            sind und die weiteren Zuteilungsvoraussetzungen gemäß § 55 Abs. 5 TKG vorliegen.
      269   Die Nutzungsrechte für die Frequenzen im Bereich 900 MHz und 1800 MHz laufen
            zum 31. Dezember 2016 aus, so dass diese Frequenzen grundsätzlich ab dem
            1. Januar 2017 verfügbar sind. In diesem Zusammenhang weist die Kammer noch-
            mals darauf hin, dass die Unternehmen Telefónica Deutschland Holding AG und E-
            Plus Mobilfunk GmbH & Co. KG verpflichtet sind, diejenigen Frequenzen in den Be-
            reichen 900 MHz und 1800 MHz vorzeitig bis zum 31. Dezember 2015 zurückzuge-

                                                          66



                                                                                                          Bonn, 11. Februar 2015
134

Amtsblatt der Bundesnetzagentur
                                     für Elektrizität, Gas, Telekommunikation, Post und Eisenbahnen
  3 2015                        – Mitteilungen, Telekommunikation, Teil A, Mitteilungen der Bundesnetzagentur –   895


                  ben, die sie nicht im Rahmen dieses Verfahrens ersteigern werden (vorzeitige Rück-
                  gabe von 900/1800-MHz-Spektrum; vgl. BK1-13/002, a. a. O.).
         270      Sofern gefordert wurde, die Frequenzen in den Bereichen 900 MHz bzw. 1800 MHz,
                  die seitens Telefónica nicht in diesem Verfahren „zurückersteigert“ werden, bereits ab
                  dem 1. Januar 2016 nutzen zu können (Verfahren BK1-13/002), weist die Kammer
                  auf Folgendes hin:
         271      Die Telefónica Deutschland Holding AG bzw. mit ihr verbundene Unternehmen sind
                  nach Punkt 2 der Präsidentenkammerentscheidung zur Fusion Telefónica/E-Plus
                  BK1-13/002 verpflichtet „… diejenigen Frequenzen in den Bereichen 900 MHz und
                  1800 MHz bis zum 31. Dezember 2015 zurückzugeben, für die sie zu diesem Zeit-
                  punkt keine Zuteilung über das Jahr 2016 hinaus haben (vorzeitige Rückgabe von
                  900/1800-MHz-Spektrum).“ Die vorzeitige Rückgabe von Frequenzen in den Berei-
                  chen 900/1800 MHz ist Voraussetzung dafür, dass diese zur Herbeiführung diskrimi-
                  nierungsfreier Frequenzausstattungen aller Wettbewerber zur Verfügung gestellt
                  werden können. Vor diesem Hintergrund verbietet es sich Frequenzen – wie von ei-
                  nem Kommentator gefordert – für ein Jahr „brach“ liegen und ungenutzt zu lassen.
                  Dies widerspräche insbesondere dem Grundsatz effizienter Frequenznutzung im Sin-
                  ne der §§ 52, 2 Abs. 2 Nr. 7 TKG.
         272      Die Kammer weist in diesem Zusammenhang darauf hin, dass eine vorzeitige Rück-
                  gabe von Spektrum in einem Frequenzbereich durch die Telefónica nur dann zu er-
                  folgen hat, wenn sich der Umfang des durch die Telefónica ersteigerten Spektrums
                  gegenüber dem diesem Unternehmen bisher zugeteilten Umfang in einem Frequenz-
                  bereich verringert (vgl. hierzu im Einzelnen Präsidentenkammerentscheidung BK1-
                  13/002, zu Punkt 2). So kann z. B. ein Wettbewerber, der den ersten, konkret verstei-
                  gerten Block bei 900 MHz ersteigert, diesen erst ab dem 1. Januar 2017 nutzen, so-
                  weit die Telefónica mindestens zwei abstrakte Frequenzblöcke bei 900 MHz erstei-
                  gert.
         273      Soweit mit Blick auf die Frequenzen im Bereich 900 MHz gefordert wurde, zum
                  Schutz von GSM-R keine breitbandigen Funktechniken wie UMTS und LTE zuzulas-
                  sen, kann dem nicht gefolgt werden, da die Frequenzen gemäß der Widmung im Fre-
                  quenzplan technologieneutral zuzuteilen sind (vgl. hierzu im Einzelnen Frequenznut-
                  zungsbestimmungen, Anlage 2 und Punkt III.4.2).
         274      Soweit von Kommentatoren gefordert wurde, den Frequenzblock 1780 – 1785 MHz
                  bzw. 1875 – 1880 MHz in das Vergabeverfahren einzubeziehen, da keine relevanten
                  Störpotenziale vorlägen, die es rechtfertigten, dieses Spektrum nicht zur Verfügung
                  zu stellen, folgt die Kammer dieser Forderung. Sie weist aber vorsorglich auf Folgen-
                  des hin:
         275      Der Frequenzbereich 1880 – 1900 MHz ist den schnurlosen Telekommunikationsan-
                  lagen des Systems DECT (Digital Enhanced Cordless Telecommunications) zuge-
                  wiesen und zur Benutzung durch die Allgemeinheit mit Vfg. 54/2008 bis 250 mW
                  EIRP (mW: Milliwatt / EIRP: equivalent isotropically radiated power; dt.: äquivalente
                  isotrope Strahlungsleistung) zugeteilt. Darüber hinaus sind auf der Basis von Einzel-
                  zuteilungen professionelle Nutzungen bis 4 W EIRP möglich. Die Durchdringung der
                  Privathaushalte und Firmen mit DECT-Geräten ist in Deutschland flächendeckend
                  gegeben.
         276      Die Allgemeinzuteilung lautet wie folgt:
                         „Vfg 54/2008
                         Allgemeinzuteilung von Frequenzen für die Benutzung durch die Allgemeinheit
                         für Schnurlose Telekommunikationsanlagen des Systems DECT




                                                               67



Bonn, 11. Februar 2015
135

Amtsblatt der Bundesnetzagentur
                  für Elektrizität, Gas, Telekommunikation, Post und Eisenbahnen
896        – Mitteilungen, Telekommunikation, Teil A, Mitteilungen der Bundesnetzagentur –        3 2015


      Auf Grund des § 55 des Telekommunikationsgesetzes (TKG) wird hiermit der un-
      ten aufgeführte Frequenzbereich für die Nutzung durch die Allgemeinheit für
      Schnurlose Telekommunikationsanlagen des Systems DECT zugeteilt.
      Die Amtsblattverfügung 66/2003 „Allgemeinzuteilung von Frequenzen für die Be-
      nutzung durch die Allgemeinheit für Schnurlose Telekommunikationsanlagen des
      Systems DECT“, veröffentlicht im Amtsblatt der Reg TP Nr. 25/2003, S. 1360
      vom 17.12.2003 wird aufgehoben.
      1. Frequenznutzungsparameter
      Die folgende Tabelle enthält die Werte der maximal zulässigen Strahlungsleis-
      tung (EIRP), das Kanalraster und Angaben zur Modulation.
      Frequenzbereich 1880 MHz – 1900 MHz
      Maximal zulässige äquivalente Strah-              250 mW
      lungsleistung
      Kanalraster                                       1,728 MHz
      Kanalbandbreite                                   1,728 MHz
      Modulation                                        Gemäß ETSI EN 301 406
      2. Bestimmungen zur Vermeidung von Störungen bei Funkanlagen, die innerhalb
      des o.g. Frequenzbereichs betrieben werden
      Schnurlose Telekommunikationsanlagen dürfen nur betrieben werden, wenn sie
      den jeweiligen Vorschriften für den vorgesehenen Anwendungszweck entspre-
      chen und entsprechend gekennzeichnet sind.
      Funkanwendungen, die so konzipiert sind, dass sie eine Dauerbelegung von
      Frequenzen bzw. einzelnen Frequenzkanälen zur Folge haben, fallen nicht unter
      die Allgemeinzuteilung.
      3. Befristung
      Diese Allgemeinzuteilung ist bis zum 31.12.2020 befristet.
      Hinweise:
      1. Geräte, die im Rahmen dieser Frequenznutzung eingesetzt werden, unterlie-
      gen den Bestimmungen des „Gesetzes über Funkanlagen und Telekommunikati-
      onsendeinrichtungen“ (FTEG) und des „Gesetzes über Elektromagnetische Ver-
      träglichkeit von Geräten“ (EMVG).
      2. Diese Frequenzzuteilung berührt nicht rechtliche Vorschriften, die sich für den
      Frequenznutzer aus anderen öffentlich-rechtlichen Vorschriften, auch telekom-
      munikationsrechtlicher Art, oder Verpflichtungen privatrechtlicher Art ergeben.
      Dies gilt insbesondere für Genehmigungs- oder Erlaubnisvorbehalte (z.B. bau-
      rechtlicher oder umweltrechtlicher Art).
      3. Der Frequenznutzer ist für die Einhaltung der Zuteilungsbestimmungen und für
      die Folgen von Verstößen, z.B. Abhilfemaßnahmen und Ordnungswidrigkeiten,
      verantwortlich.
      4. Der Frequenznutzer unterliegt hinsichtlich des Schutzes von Personen in den
      durch den Betrieb von Funkanlagen entstehenden elektromagnetischen Feldern
      den jeweils gültigen Vorschriften.
      5. Es wird darauf hingewiesen, dass die Aussendungen von schnurlosen Tele-
      kommunikationsanlagen unter bestimmten Voraussetzungen auch von anderen
      Funkanlagen empfangen werden können.



                                             68



                                                                                             Bonn, 11. Februar 2015
136

Amtsblatt der Bundesnetzagentur
                                      für Elektrizität, Gas, Telekommunikation, Post und Eisenbahnen
  3 2015                         – Mitteilungen, Telekommunikation, Teil A, Mitteilungen der Bundesnetzagentur –   897


                         6. Beauftragten der Bundesnetzagentur ist gemäß den Bestimmungen des
                         EMVG der Zugang zu Grundstücken, Räumlichkeiten und Wohnungen, in denen
                         sich Funkanlagen befinden, zur Prüfung der Anlagen und Einrichtungen zu ge-
                         statten bzw. zu ermöglichen.
                         7. Beim Auftreten von Störungen sowie im Rahmen technischer Überprüfungen
                         werden die Parameter der Normen ETSI EN 300 175 und ETSI EN 301 406 zu
                         Grunde gelegt. Hinweise zu Messvorschriften und Testmethoden, die zur Über-
                         prüfung der o.g. Parameter beachtet werden müssen, sind ebenfalls diesen Nor-
                         men zu entnehmen.“
         277      Die Kammer weist an dieser Stelle darauf hin, dass beabsichtigt ist, im Jahr 2015 die
                  bestehende Allgemeinzuteilung an die europäische Regulierung zu Funkgeräten der
                  Klasse 1 anzupassen und die allgemein zugeteilte, maximal zulässige effektive Strah-
                  lungsleistung (ERPmax) auf 250 mW festzulegen.
         278      In Artikel 2 der Richtlinie 91/287/EWG vom 3. Juni 1991 wird darüber hinaus ausge-
                  führt:
                         „Die Mitgliedstaaten sehen in Übereinstimmung mit der Empfehlung T/R 22-02
                         der Europäischen Konferenz der Verwaltungen für Post- und Telekommunikation
                         (CEPT) spätestens ab 1. Januar 1992 das Frequenzband 1880 – 1900 MHz für
                         europäische schnurlose Digital-Kommunikation vor.
                         Entsprechend der CEPT-Empfehlung hat DECT Priorität gegenüber anderen
                         Diensten im gleichen Frequenzband und ist in dem genannten Frequenzband zu
                         schützen.“
         279      Eine die Frequenzzuteilung nach § 55 Abs. 5 Nr. 3 TKG hindernde Unverträglichkeit
                  von Nutzungen ist nicht schon dann gegeben, wenn sich die in Rede stehenden Nut-
                  zungen stören können, sondern erst dann, wenn sich solche Störungen nicht im We-
                  ge gegenseitiger Rücksichtnahme und ohne Inkaufnahme unverhältnismäßiger Nach-
                  teile vermeiden oder auf ein erträgliches Maß verringern lassen.
         280      Aus dem Spannungsverhältnis zwischen Effizienz und störungsfreier Nutzung folgt
                  daher, dass eine Verträglichkeit nach § 55 Abs. 5 Satz 1 Nr. 3 TKG nicht nur dann
                  anzunehmen ist, wenn überhaupt keine Störungen vorliegen, sondern auch dann,
                  wenn Störungen zwar vorliegen, diese aber zumutbar sind.
         281      Hierzu hat das Verwaltungsgericht Köln (21 K 8149/09 vom 14. September 2011)
                  Folgendes ausgeführt:
                         „Das an die Bundesnetzagentur gerichtete gesetzliche Gebot, die effiziente und
                         störungsfreie Frequenznutzung sicherzustellen (§ 2 Abs. 2 Nr. 7, § 52 Abs. 1,
                         § 53 Abs. 2, § 55 Abs. 5 Nr. 4, § 60 Abs. 1 und 2 TKG) beinhaltet eine Zielvorga-
                         be, innerhalb derer die Effizienz und die Störungsfreiheit konfligierende Belange
                         sind, die nicht im Sinne eines Maximierungsgebots des einen auf Kosten des an-
                         deren zu verstehen, sondern im Wege wertender Abwägung bedarfsgerecht zum
                         Ausgleich zu bringen sind. Das Gebot der effizienten und störungsfreien Fre-
                         quenznutzung verpflichtet die Bundesnetzagentur damit nicht zur Herstellung
                         maximaler Störungsfreiheit, sondern dazu, funktechnische Störungen auf ein ak-
                         zeptables Maß im Sinne einer Herstellung größtmöglicher Störungsfreiheit bei
                         größtmöglicher Effizienz der Frequenznutzung zu reduzieren. Soweit sich das
                         Gebot der effizienten und störungsfreien Frequenznutzung auch an die Fre-
                         quenznutzer richtet (§ 55 Abs. 5 Nr. 4, § 60 Abs. 1 und 2 TKG) beinhaltet es auf
                         der einen Seite das Recht und die Pflicht, die zugeteilten Frequenzen effizient zu
                         nutzen, und auf der anderen Seite die Pflicht, keine Störungen für andere Fre-
                         quenznutzungen zu verursachen. Selbst wenn man annimmt, dass mit der letzt-
                         genannten Pflicht ein gegenüber der Bundesnetzagentur durchzusetzender Ab-
                         wehranspruch der von Störungen betroffenen Frequenznutzer korrespondiert, be-
                         inhaltet auch dieser keinen absoluten Schutz vor Störungen "um jeden Preis",

                                                                69



Bonn, 11. Februar 2015
137

Amtsblatt der Bundesnetzagentur
                          für Elektrizität, Gas, Telekommunikation, Post und Eisenbahnen
898                  – Mitteilungen, Telekommunikation, Teil A, Mitteilungen der Bundesnetzagentur –        3 2015


                sondern lediglich einen im Wege der oben aufgezeigten Abwägung zum Aus-
                gleich gebrachten Anspruch auf Abwehr unzumutbarer Beeinträchtigungen, ohne
                dass es darauf ankäme, welche der in Rede stehenden Frequenznutzungen die
                frühere war und welche zu einem späteren Zeitpunkt hinzugetreten ist.[…]“
      282   Die Kammer bezieht in Kenntnis der oben genannten Allgemeinzuteilung und der eu-
            ropäischen Richtlinie im Lichte der Rechtsprechung des Verwaltungsgerichts Köln
            den Frequenzblock 1780 – 1785 MHz / 1875 – 1880 MHz mit in das Vergabeverfah-
            ren ein. Die Kammer trägt hiermit auch den Forderungen der Kommentatoren zu die-
            sem Punkt Rechnung.
      283   Die Festlegung eines Schutzbandes (1875,5 -1880 MHz) zum Schutz von DECT
            (1880 – 1900 MHz) ist mit Blick auf die oben genannten gerichtlichen Erwägungen
            zur Wechselbeziehung zwischen störungsfreien und effizienten Frequenznutzungen
            nicht länger erforderlich. Sowohl die ECC-Entscheidung (06)13 vom 21. Juni 2013 als
            auch die Entscheidung der Europäischen Kommission 2011/251/EU vom 18. April
            2011 beantworten nicht die Fragestellung, ob auf nationaler Ebene ein Schutzband
            zugunsten von DECT vorgesehen werden sollte oder ob andere geeignete, erforderli-
            che und verhältnismäßige Maßnahmen zum Schutz von DECT vorzusehen sind.
      284   Ohnehin liegen die Fragen der Frequenzordnung (§§ 52 ff. TKG) nach dem Subsidia-
            ritätsprinzip in der Verantwortung der jeweiligen Mitgliedstaaten. Zwar beziehen sich
            die oben genannten europäischen Regelungen auf europaweit zu harmonisierende
            Nutzungsbedingungen zu Funkanwendungen in bereits harmonisierten Frequenz-
            bändern. Allerdings ist die konkrete Betrachtung der Notwendigkeit eines Schutzban-
            des oder anderer Schutzkriterien auf mitgliedstaatlicher Ebene gemäß den Vorschrif-
            ten des Telekommunikationsgesetzes mit Blick auf die Sicherstellung einer effizienten
            und störungsfreien Frequenznutzung unter Beachtung der Verträglichkeit mit anderen
            Frequenznutzungen anzustellen (vgl. § 55 Abs. 5 Nr. 3 und Nr. 4 TKG).
      285   Die Kammer weist darauf hin, dass nachfolgende Maßnahmen zum Schutz von
            DECT denkbar sind, ohne dass dies die Einrichtung eines Schutzbandes zum Schutz
            von DECT unter Ausschluss der Nutzung dieses Bereichs durch Mobilfunk erforder-
            lich macht.
      286   Bei einer Einbeziehung des Frequenzblocks 1780 – 1785 MHz / 1875 – 1880 MHz in
            das Vergabeverfahren sind als Möglichkeiten, um den Schutz der DECT-
            Anwendungen sicherzustellen, u. a. zusätzliche Strahlungsleistungsbeschränkungen
            der Mobilfunkbasisstationen, der Einsatz zusätzlicher externer Filter an den Mobil-
            funkbasisstationen sowie die Vorgabe räumlicher Entkopplungsentfernungen zwi-
            schen Basisstationen beider Systeme denkbar.
      287   Für die Nutzung des Frequenzbereichs 1780 – 1785 MHz werden keine zusätzlichen
            Anforderungen als die in der Anlage 2 aufgeführten Frequenznutzungsbestimmungen
            festgelegt.
      288   Für den Frequenzbereich 1875 – 1880 MHz ist sicherzustellen, dass einerseits die ef-
            fiziente Nutzung dieses Frequenzbereiches durch den Mobilfunk ermöglicht wird und
            andererseits die berechtigten Schutzinteressen von DECT gewahrt werden, um damit
            die Nutzungsmöglichkeiten der DECT-Anwendungen aufrechtzuerhalten.
      289   Die Frequenzen im Bereich 1875 – 1880 MHz stehen für den drahtlosen Netzzugang
            zur Verfügung.
      290   Um bei einer GSM-1800-Nutzung einen vollständigen Schutz aller DECT-Kanäle si-
            cherzustellen, wäre Folgendes zu beachten:
      291   Die maximale Strahlungsleistung einer GSM-Basisstation darf im Frequenzbereich
            1878 – 1879,8 MHz unter der Voraussetzung, dass die Entfernung zwischen dieser
            und der nächstliegenden DECT-Basisstation mindestens 70 m beträgt, den Wert von
            30 dBm EIRP nicht überschreiten. Beträgt der Abstand zwischen beiden Basisstatio-

                                                       70



                                                                                                       Bonn, 11. Februar 2015
138

Zur nächsten Seite