abl-03

Dieses Dokument ist Teil der Anfrage „Amtsblätter bis 2018

/ 336
PDF herunterladen
Amtsblatt der Bundesnetzagentur
                          für Elektrizität, Gas, Telekommunikation, Post und Eisenbahnen
910                  – Mitteilungen, Telekommunikation, Teil A, Mitteilungen der Bundesnetzagentur –        3 2015


      358   Die Bundesnetzagentur lasse keinen Zweifel daran, dass sie keinen Neueinsteiger in
            den Markt eintreten sehe, so dass die Prognoseentscheidung letztlich ausschließlich
            auf den Bedarfen der drei vorhandenen Marktteilnehmer basiere. Diese hätten jedoch
            wiederholt und lange Zeit explizit geäußert, ab 2016 jedenfalls (noch) keinen Bedarf
            an diesem Spektrum zu haben.
      359   Weiterhin stehe den Netzbetreibern in den Bereichen 450 MHz, 2 GHz, 2,6 GHz und
            3,5 GHz insgesamt ein Gesamtvolumen an Spektrum von mindestens 170 MHz
            schon jetzt zur Verfügung, welches diesen zwar zugeteilt sei, aber von diesen tat-
            sächlich gar nicht genutzt werde, was belege, dass die verbliebenen drei Mobilfunk-
            netzbetreiber aktuell nicht den dargelegten Bedarf hätten.
      360   Darüber hinaus wird von mehreren Kommentatoren vorgetragen, die Bundesnetza-
            gentur habe bislang nicht hinreichend dargelegt, inwiefern qualifizierte Knappheit be-
            stehe. Der Entscheidungsentwurf enthielte nahezu keine Angaben darüber, auf wel-
            che konkreten Tatsachen sich die Behörde bei der Feststellung eines Bedarfsüber-
            hangs stütze. Ohne konkretere Darlegung der Tatsachengrundlage – oder mit Blick
            auf Betriebs- und Geschäftsgeheimnisse jedenfalls abstrakter Feststellungen zur Ge-
            samtfrequenznachfrage – erweise sich die Anordnung eines Vergabeverfahrens aus
            formellen Gründen als rechtsfehlerhaft. Ein Kommentator fordert in diesem Zusam-
            menhang die Veröffentlichung der Bedarfsanmeldungen.
      361   Mit Blick auf das weitere Verfahren erwartet ein Kommentator, dass die Richtigkeit
            der Verfahrenswahl auf der Grundlage der nach Durchführung des Anmeldeverfah-
            rens festgestellten Bedarfe der qualifizierten und zugelassenen Verfahrensteilnehmer
            überprüft werde.
      362   Darüber hinaus wird gefordert, den oberen Frequenzblock 1875 – 1880 MHz zur
            Vermeidung regulierungsinduzierter Knappheit in das Vergabeverfahren mit einzube-
            ziehen.
            Die Kammer urteilt hierzu wie folgt:
      363   Die Kammer ist aufgrund der qualifizierten Bedarfsanmeldungen vom 31. Januar
            2012 (vgl. hierzu Bedarfsermittlungsverfahren vom 21. November 2011, Vfg-Nr.
            79/2011, ABl. Bundesnetzagentur 23/2011 S. 4138 ff.) und unter Berücksichtigung
            der Anhörungen der betroffenen sowie der interessierten Kreise vom 24. April 2012
            (vgl. hierzu im Einzelnen: Mit-Nr. 275/2012 , ABl. Bundesnetzagentur 8/2012,
            S. 1150 ff.) und vom 9. November 2012 (vgl. hierzu im Einzelnen: Mit-Nr. 958/2012,
            ABl. Bundesnetzagentur 22/2012, S. 3960 ff.) sowie der Aktualisierung der Bedarfs-
            anmeldungen vom 20. August 2014 (vgl. hierzu im Einzelnen: Vfg-Nr. 43/2014, ABl.
            Bundesnetzagentur 14/2014, S. 2121 ff.) davon überzeugt, dass die Nachfrage nach
            Frequenzen in den oben genannten Bereichen 700 MHz, 900 MHz und 1800 MHz
            sowie darüber hinaus im Bereich 1,5 GHz das zur Verfügung stehende Spektrum
            übersteigt und die Frequenzen mithin im Sinne des § 55 Abs. 10 Satz 1, 1. Alt. TKG
            knapp sind.
      364   Nach § 55 Abs. 10 Satz 1 TKG kann unbeschadet des § 55 Abs. 5 TKG angeordnet
            werden, dass der Zuteilung der Frequenzen ein Vergabeverfahren aufgrund der von
            der Kammer festzulegenden Bedingungen nach § 61 TKG voranzugehen hat, wenn
            Frequenzen knapp sind. Die in den beiden Alternativen des § 55 Abs. 10 Satz 1 TKG
            vorausgesetzte Frequenzknappheit kann sich entweder aus der bereits feststehen-
            den Tatsache eines Antragsüberhangs (§ 55 Abs. 10 Satz 1, 2. Alt. TKG) oder aus
            der Prognose einer nicht ausreichenden mengenmäßigen Verfügbarkeit von Fre-
            quenzen ergeben (§ 55 Abs. 10 Satz 1, 1. Alt. TKG).
      365   Unter Berücksichtigung des Gesetzeswortlautes wie auch des systematischen Zu-
            sammenhangs der beiden Fallvarianten des § 55 Abs. 10 Satz 1 TKG bezieht sich die
            in der ersten Alternative genannte Prognose darauf, dass im Zuteilungszeitpunkt eine
            das verfügbare Frequenzspektrum übersteigende Anzahl von Zuteilungsanträgen ge-

                                                       82



                                                                                                       Bonn, 11. Februar 2015
150

Amtsblatt der Bundesnetzagentur
                                   für Elektrizität, Gas, Telekommunikation, Post und Eisenbahnen
  3 2015                      – Mitteilungen, Telekommunikation, Teil A, Mitteilungen der Bundesnetzagentur –   911


                  stellt sein wird. Grundlage dieser Prognose ist die Feststellung der Kammer, dass die
                  Frequenznachfrage das Frequenzangebot übersteigt.
         366      Zur Feststellung der Frequenznachfrage steht in Gestalt des Bedarfsermittlungsver-
                  fahrens, bei dem die Kammer zur Vorbereitung ihrer Entscheidung über den Erlass
                  einer Vergabeanordnung öffentlich dazu auffordert, innerhalb einer angemessenen
                  Frist Bedarfsanmeldungen in Bezug auf bestimmte Frequenzen einzureichen, ein in
                  der Praxis erprobtes und aussagekräftiges mehrstufiges Verfahren zur Verfügung,
                  das den Kriterien der Objektivität, Transparenz und Diskriminierungsfreiheit hinrei-
                  chend Rechnung trägt und allen Bewerbern eine gleichmäßige Chance auf Zugang
                  zu Frequenzen einräumt.
         367      Ein förmliches Bedarfsermittlungsverfahren ist in § 55 Abs. 10 TKG nicht ausdrücklich
                  vorgeschrieben. Überdies greift die Kammer auch auf Erkenntnisse zurück, die eine
                  vergleichbare Gewähr für die zutreffende Erfassung des aktuellen Frequenzbedarfs
                  bieten und somit als Grundlage für die Prognose einer – unter Umständen nicht –
                  ausreichenden Verfügbarkeit von Frequenzen nicht weniger geeignet sind (vgl. hierzu
                  auch BVerwG 6 C 3.10, Rn. 25). Die Feststellung der Knappheit wird insoweit nicht
                  ausschließlich durch die angemeldeten Bedarfe bestimmt.
         368      Die Kammer hat es für zweckmäßig und effizient erachtet, mit der Entscheidung vom
                  21. November 2011 ein Bedarfsermittlungsverfahren zur Feststellung des Frequenz-
                  bedarfs im 900-MHz-Band und im 1800-MHz-Band als ersten Verfahrensschritt einzu-
                  leiten, um bei der Zuteilung der Frequenzen ein offenes, objektives, transparentes
                  und diskriminierungsfreies Verfahren einzuhalten (siehe im Einzelnen Entscheidung
                  vom 21. November 2011, a. a. O.). Darüber hinaus hat die Kammer mit der Verfü-
                  gung vom 24. Juli 2014 allen interessierten Unternehmen die Möglichkeit eröffnet,
                  Bedarfe auch unter Berücksichtigung der geänderten Marktstruktur zu aktualisieren
                  bzw. anzumelden.
         369      In der Summe übersteigt die qualifizierte Frequenznachfrage den Umfang der verfüg-
                  baren Frequenzen in den 700-MHz, 900-MHz-, 1800-MHz- sowie 1,5-GHz-Bändern.
                  Im Bedarfsermittlungsverfahren haben mehrere Unternehmen qualifizierte Bedarfe
                  auch mit Blick auf die sich ändernde Marktstruktur im Mobilfunkbereich angemeldet.
                  Darüber hinaus wurden Interessensbekundungen abgegeben beziehungsweise Be-
                  darfe angekündigt.
         370      Bei ihrer Betrachtung der Frequenznachfrage für den drahtlosen Netzzugang hat die
                  Kammer diejenigen Bedarfe berücksichtigt, bei denen die interessierten Unternehmen
                  nach Maßgabe eines qualifizierten Bedarfsermittlungsverfahrens die Ernsthaftigkeit
                  ihrer Frequenznachfrage glaubhaft gemacht haben. In die Feststellung einer mögli-
                  chen Frequenzknappheit hat die Kammer also solche Bedarfsanmeldungen einbezo-
                  gen, bei denen die interessierten Unternehmen schlüssig und nachvollziehbar darge-
                  legt haben, dass eine effiziente und störungsfreie Frequenznutzung im Sinne des
                  § 55 Abs. 5 Satz 1 Nr. 4 TKG durch sie zum Zeitpunkt der Zuteilung sichergestellt
                  sein wird. Dabei hat sich die schlüssige und nachvollziehbare Darlegung sowohl auf
                  die subjektiven Voraussetzungen der Zuverlässigkeit, Leistungsfähigkeit und Fach-
                  kunde als auch auf die Vorlage eines schlüssigen Konzepts für die beabsichtigte Nut-
                  zung der zuzuteilenden Frequenzen zu erstrecken. Wie auch in früheren Stellung-
                  nahmen von Kommentatoren gefordert, sind bloße Interessensbekundungen oder
                  Bedarfsankündigungen nicht ausreichend für eine Berücksichtigung im Rahmen der
                  Bedarfsermittlungen.
         371      Die Kammer hat demzufolge im Bedarfsermittlungsverfahren hohe Anforderungen an
                  die Bedarfsanmeldungen gestellt, um die Ernsthaftigkeit der angemeldeten Bedarfe
                  sicherzustellen. Die Anforderungen an die inhaltliche Darlegung im Bedarfsermitt-
                  lungsverfahren orientierten sich im Wesentlichen an denen eines Zulassungsverfah-
                  rens im Rahmen eines Versteigerungsverfahrens im Sinne der §§ 55 Abs. 4 und 5, 61
                  Abs. 4 Satz 3 TKG, ohne jedoch entsprechende Nachweise zu verlangen. Hierzu

                                                             83



Bonn, 11. Februar 2015
151

Amtsblatt der Bundesnetzagentur
                          für Elektrizität, Gas, Telekommunikation, Post und Eisenbahnen
912                  – Mitteilungen, Telekommunikation, Teil A, Mitteilungen der Bundesnetzagentur –        3 2015


            wurde in der Verfügung vom 24. Juli 2014 über das Bedarfsermittlungsverfahren Fol-
            gendes ausgeführt:
                „Zu 5.    Darlegung eines Frequenzbedarfs
                Die Teilnahme am Bedarfsermittlungsverfahren ist nicht beschränkt. Alle interes-
                sierten Unternehmen sind aufgefordert, ihren Bedarf nach Frequenzzuteilungen
                in den Frequenzbereichen 900 MHz und 1800 MHz ab dem 1. Januar 2017 gel-
                tend zu machen. Eine Beschränkung des Verfahrens auf den Kreis der heutigen
                Mobilfunknetzbetreiber findet nicht statt. Ein sachlicher oder rechtlicher Grund für
                eine solche Beschränkung des Bedarfsermittlungsverfahrens ist nicht ersichtlich.
                Um die Ernsthaftigkeit der angemeldeten Bedarfe glaubhaft zu machen, werden
                in diesem Verfahren bestimmte Anforderungen an die Bedarfsanmeldungen ge-
                stellt. Die Kammer hält insoweit ein qualifiziertes Bedarfsanmeldungsverfahren
                für erforderlich. Entsprechend dem Zweck einer Bedarfsabfrage – Feststellung
                eines Bedarfsüberhangs als Grundlage für die Prognose, dass mit einer die ver-
                fügbaren Frequenzen übersteigenden Anzahl von Anträgen zu rechnen ist (§ 55
                Abs. 10 Satz 1 Alt. 1 TKG) – sind solche Bedarfsanmeldungen besonders aussa-
                gekräftig, die bei ihrer Darlegung eines Interesses an der konkreten Nutzung der
                Frequenzen auch die sachlichen und subjektiven Kriterien für eine künftige Fre-
                quenzzuteilung berücksichtigen (§ 55 Abs. 3, 4 und 5 TKG).
                Voraussetzung für eine Frequenzzuteilung ist, dass „eine effiziente und störungs-
                freie Frequenznutzung durch den Antragsteller sichergestellt ist“ und „die Ver-
                träglichkeit mit anderen Frequenznutzungen gegeben ist“ (siehe § 55 Abs. 5
                Satz 1 Nr. 3 und 4 TKG). Interessierte Unternehmen werden daher aufgefordert,
                schlüssig und nachvollziehbar darzulegen, dass eine effiziente und störungsfreie
                Frequenznutzung im Sinne des § 55 Abs. 5 Satz 1 Nr. 4 TKG durch sie ab dem
                Zeitpunkt der Zuteilung sichergestellt sein wird. Dabei hat sich die schlüssige und
                nachvollziehbare Darlegung sowohl auf die subjektiven Voraussetzungen der Zu-
                verlässigkeit, Leistungsfähigkeit und Fachkunde als auch auf die Vorlage eines
                schlüssigen Konzepts für die beabsichtigte Nutzung der zuzuteilenden Frequen-
                zen zu erstrecken.
                Für eine den Zielen des TKG verpflichtete effiziente Nutzung dieser Frequenzen
                sind Darlegungen eines Interessenten auf der Grundlage seines Geschäftsmo-
                dells zweckdienlich. Dies gilt insbesondere in den Fällen in denen Unternehmen
                bereits über geeignetes Spektrum zur Umsetzung des jeweiligen Geschäftsmo-
                dells verfügen. Die Kammer folgt insoweit nicht dem Vorschlag eines Kommenta-
                tors, der für dieses Verfahren die Berücksichtigung bereits in der Vergangenheit
                erfüllter Zuteilungsvoraussetzungen gefordert hat.“
      372   Für die weiteren Einzelheiten über die Anforderungen an die Glaubhaftmachung des
            Frequenzbedarfs unter Berücksichtigung der Kriterien der Zuverlässigkeit, Leistungs-
            fähigkeit und Fachkunde sowie des Frequenznutzungskonzepts für die technische
            Umsetzung des geplanten Dienstekonzepts verweist die Kammer auf ihre Ausführun-
            gen in der Verfügung vom 24. Juli 2014 (a. a. O., S. 12 ff.). Über die Glaubhaftma-
            chung des Frequenzbedarfs hinausgehende Nachweise der Zuteilungspetenten (wie
            z. B. Finanzierungszusagen) würden diese zu diesem Verfahrenszeitpunkt über Ge-
            bühr belasten – nicht zuletzt auch wegen der damit verbundenen Kosten – und sind
            mithin nicht verhältnismäßig. Der Forderung einiger Kommentatoren in ihren Stel-
            lungnahmen zum Szenarienpapier, bei der Ermittlung der Frequenznachfrage solche
            Bedarfsanmeldungen nicht zu berücksichtigen, bei denen Bewerber bereits in der
            Vergangenheit die Zuteilungsvoraussetzungen nicht nachgewiesen haben, schließt
            sich die Kammer daher nicht an.
      373   In diesem Zusammenhang weist die Kammer darauf hin, dass die Bedarfsanmeldun-
            gen der Ermittlung eines möglichen Bedarfsüberhangs und der sich hieraus ergeben-
            den gesetzlich vorgesehenen Verfahrensschritte für die Frequenzzuteilungen dienen.

                                                       84



                                                                                                       Bonn, 11. Februar 2015
152

Amtsblatt der Bundesnetzagentur
                                   für Elektrizität, Gas, Telekommunikation, Post und Eisenbahnen
  3 2015                      – Mitteilungen, Telekommunikation, Teil A, Mitteilungen der Bundesnetzagentur –   913


                  Die Bedarfsermittlung erfolgt nach Maßgabe des § 55 TKG sowie diskriminierungsfrei
                  auf der Grundlage nachvollziehbarer und objektiver Verfahren. Hierfür ist es erforder-
                  lich, dass die Kammer Frequenzbedarfe zugrunde legt, die auf objektiven Tatsachen
                  beruhen und die tatsächlichen Bedarfe interessierter Unternehmen widerspiegeln.
                  Daher ist es mit dem Zweck des Bedarfsermittlungsverfahrens unvereinbar, wenn
                  dieses objektive Verfahren bzw. die Bedarfslage im Markt strategisch beeinflusst
                  wird.
         374      Die Frequenzen werden durch die Bundesnetzagentur erst auf schriftlichen Antrag
                  der Bewerber und erst nach Teilnahme an einem Vergabeverfahren zugeteilt. Hierfür
                  wird die Bundesnetzagentur zeitnah vor der Durchführung eines Vergabeverfahrens
                  auffordern, die Zulassung zu dem Vergabeverfahren zu beantragen, § 61 Abs. 4 Satz
                  3 TKG. Auch die Bewerber, die ihr Interesse an konkreten Nutzungen der Frequen-
                  zen in den Bereichen 700 MHz, 900 MHz, 1800 MHz oder 1,5 GHz bereits im Rah-
                  men des Bedarfsermittlungsverfahrens qualifiziert dargelegt haben, haben gemäß
                  § 55 Abs. 4 und 5 TKG entsprechende konkretere Darlegungen und auch Nachweise
                  für die Erfüllung der gesetzlichen Zuteilungsvoraussetzungen zu erbringen, § 61
                  Abs. 4 Satz 5 TKG.
         375      Hierzu weist die Kammer darauf hin, dass sie entgegen der Ansicht eines Kommenta-
                  tors mit einer Neuallokation gerade nicht Frequenzen an Bewerber unabhängig von
                  ihrem tatsächlichen Frequenzbedarf vergibt. Vielmehr werden die gesetzlichen Min-
                  destvoraussetzungen für die Zulassung zum Versteigerungsverfahren überprüft (vgl.
                  hierzu Punkt III.1.3). Nach § 55 Abs. 5 Satz 1 Nr. 4 TKG muss im Sinne einer Zutei-
                  lungsvoraussetzung auch sichergestellt sein, dass die Frequenzen durch den Antrag-
                  steller einer effizienten Nutzung zugeführt werden. Hierzu hat jeder Antragsteller in
                  Form eines Frequenznutzungskonzeptes darzulegen, wie er eine effiziente Fre-
                  quenznutzung sicherstellen will. Das Frequenznutzungskonzept muss schlüssig und
                  nachvollziehbar sein und insbesondere Aussagen zur technischen Planung in Bezug
                  auf das konkrete Geschäftsmodell und Dienstekonzept enthalten. Eine generelle Un-
                  terscheidung zwischen den bereits bestehenden Netzbetreibern bzw. Frequenzzutei-
                  lungsinhabern und potenziellen Neueinsteigern – wie vereinzelt von Letzteren gefor-
                  dert wurde – verbietet sich aus Gründen der Gleichbehandlung der Antragsteller.
         376      Die Kammer hält alle aktuellen, qualifizierten Bedarfsanmeldungen für hinreichend
                  aussagekräftig, um eine Prognose darüber treffen zu können, dass mit einer die ver-
                  fügbaren Frequenzen im 700-MHz, 900-MHz-,1800-MHz- und 1,5 GHz-Band über-
                  steigenden Anzahl von Anträgen zu rechnen ist (vgl. § 55 Abs. 10 Satz 1 Alt. 1 TKG).
         377      Die interessierten Unternehmen haben in einem ersten Schritt nach Maßgabe der
                  Entscheidung vom 21. November 2011 schlüssige und nachvollziehbare Konzepte für
                  einen Planungszeitraum von fünf Jahren und länger vorgelegt. Am 9. November 2012
                  wurden die Ergebnisse des Bedarfsermittlungsverfahrens in einer Informationsveran-
                  staltung der Öffentlichkeit vorgestellt. Die interessierten Unternehmen haben dabei ih-
                  re Bedarfsanmeldungen bestätigt bzw. aufrechterhalten.
         378      Die Kammer ist nach Prüfung der aktualisierten Bedarfsanmeldungen vom 24. Juli
                  2014 zu dem Ergebnis gelangt, dass die Bedarfsanmeldungen in der Summe das
                  verfügbare Spektrum in den Bereichen 700 MHz, 900 MHz, 1800 MHz sowie 1,5 GHz
                  deutlich, um mehr als 100 MHz, übersteigen.




                                                             85



Bonn, 11. Februar 2015
153

Amtsblatt der Bundesnetzagentur
                             für Elektrizität, Gas, Telekommunikation, Post und Eisenbahnen
914                     – Mitteilungen, Telekommunikation, Teil A, Mitteilungen der Bundesnetzagentur –        3 2015


      379   Das für dieses Verfahren verfügbare Spektrum im Umfang von insgesamt 270 MHz
            ist in der nachfolgenden Tabelle nochmals dargestellt:
             Frequenzband           Frequenzbereiche                                Spektrum
             700 MHz                703 – 733 / 758 – 788 MHz                       2 x 30 MHz (gepaart)
             900 MHz                880 - 915 / 925 – 960 MHz                       2 x 35 MHz (gepaart)
             1800 MHz               1725 - 1785 / 1820 - 1880 MHz                   2 x 50 MHz (gepaart)
             1,5 GHz                1452 - 1492 MHz                                 1 x 40 MHz (ungepaart)
            Tabelle 5

      380   Mit Blick auf das vorgesehene Kanalraster von 5 MHz können damit 2 x 30 MHz im
            700-MHz-Bereich, 2 x 35 MHz im 900-MHz-Bereich und 2 x 50 MHz im 1800-MHz-
            Bereich sowie 1 x 40 MHz im 1,5-GHz-Bereich bereitgestellt werden.
      381   Die dargelegten Bedarfe übersteigen – auch unter Berücksichtigung der geänderten
            Marktstruktur im Mobilfunkbereich – das zur Verfügung stehende Spektrum deutlich
            um mehr als 100 MHz. Dies gilt auch unter Berücksichtigung der nunmehr zusätzlich
            zur Verfügung gestellten 2 x 5 MHz im Bereich 1800 MHz.
      382   Diese qualifizierten Bedarfsanmeldungen und der sich daraus ergebende Nachfrage-
            überhang bilden die Tatsachengrundlage für die Prognoseentscheidung der Kammer.
            Danach geht die Kammer davon aus, dass für Zuteilungen nicht in ausreichendem
            Umfang geeignetes Spektrum verfügbar sein wird. Ihrer Prognoseentscheidung nach
            § 55 Abs. 10 Satz 2 Alt. 1 TKG legt die Kammer nach umfassenden Sachverhaltser-
            mittlungen alle Tatsachen zugrunde, die zur Klärung der Verfügbarkeit ausreichenden
            Frequenzspektrums zum Zeitpunkt der Vergabe von Belang sind.
      383   Die Kammer ist aufgrund der qualifizierten Bedarfsanmeldungen und unter Einbezie-
            hung eigener und internationaler Prognosen zu den marktlichen, technologischen und
            internationalen Entwicklungen der Auffassung, dass zum Zeitpunkt der Vergabe mehr
            Anträge gestellt werden als Frequenzen verfügbar sind.
      384   Die Kammer hat bei ihrer Prognose nach Kenntnis aller Umstände, insbesondere un-
            ter Beachtung der relevanten objektiven Tatsachen, im Rahmen eines objektiven,
            transparenten und diskriminierungsfreien Verfahrens zu entscheiden. Hierbei ist künf-
            tigen marktlichen Entwicklungen Rechnung zu tragen und neben bestehenden Fre-
            quenznutzungen einschließlich der vorhandenen Technologien und Diensteangebote
            sind auch absehbare technische Weiterentwicklungen und innovative Dienste zu be-
            rücksichtigen.
      385   Diese qualifizierten Bedarfsanmeldungen und der sich daraus ergebende Nachfrage-
            überhang bilden die Tatsachengrundlage für die Prognoseentscheidung der Kammer.
            Danach geht die Kammer davon aus, dass für Zuteilungen nicht in ausreichendem
            Umfang geeignetes Spektrum verfügbar sein wird. Ihrer Prognoseentscheidung nach
            § 55 Abs. 10 Satz 2 Alt. 1 TKG legt die Kammer nach umfassenden Sachverhaltser-
            mittlungen alle Tatsachen zugrunde, die zur Klärung der Verfügbarkeit ausreichenden
            Frequenzspektrums zum Zeitpunkt der Vergabe von Belang sind.
      386   Mit Blick auf diese Komplexität der frequenzregulatorischen Maßnahmen einerseits
            und auf die dynamischen Entwicklungen der Marktverhältnisse und die immer kürze-
            ren Entwicklungszyklen für innovative Technologien andererseits kann eine Prognose
            nicht ein Abbild eines bestehenden Zustandes sein, sondern sie muss soweit möglich
            auch absehbare zukünftige Entwicklungen einbeziehen, damit die Frequenzregulie-
            rung den dynamischen Bedingungen am Markt gerecht werden kann. Daher sieht die
            Kammer im Rahmen ihrer Knappheitsentscheidung eine Hauptaufgabe darin, neben
            der Bewertung der bereits erfolgten Bedarfsanmeldungen die zukünftigen marktlichen


                                                          86



                                                                                                          Bonn, 11. Februar 2015
154

Amtsblatt der Bundesnetzagentur
                                   für Elektrizität, Gas, Telekommunikation, Post und Eisenbahnen
  3 2015                      – Mitteilungen, Telekommunikation, Teil A, Mitteilungen der Bundesnetzagentur –   915


                  und technologischen Entwicklungen abzuschätzen, um Frequenzen in einem wettbe-
                  werblichen Umfeld nachfrage- und bedarfsgerecht bereitzustellen.
         387      Die Kammer ist zu der Überzeugung gelangt, dass Teile des bisher für GSM genutz-
                  ten Spektrums für eine gewisse Zeit weiterhin für GSM-Dienste genutzt werden. Ne-
                  ben der schrittweisen Umstellung von GSM auf Breitbandtechnik ist jedoch auch die
                  frühestmögliche Bereitstellung zusätzlichen Spektrums für mobiles Breitband erfor-
                  derlich. Mit Blick auf einen Zuteilungszeitraum von ca. 15 Jahren im Bereich des Mo-
                  bilfunks trägt die Kammer auch den mittelfristigen Entwicklungen im Mobilfunk Rech-
                  nung und stellt weitere Frequenzen für den Breitbandausbau im Bereich 700 MHz be-
                  reit.
         388      Vor dem Hintergrund des bislang erreichten Erfolgs im deutschen Mobilfunkmarkt
                  wertet die Kammer die enorme Dynamik der technischen Entwicklung sowie der Ent-
                  wicklung der Diensteangebote und eines angemessenen Preisgefüges und die stetig
                  wachsende Zahl der Nutzer, die vermehrt mobile breitbandige Dienste nachfragen,
                  als Indikatoren dafür, dass sich ein weiter wachsender Bedarf nach geeigneten Fre-
                  quenzressourcen für einen weiteren Ausbau der Breitbandnetze ergibt. Auch die von
                  den Kommentatoren zum Analysepapier abgegebenen Stellungnahmen bestätigen
                  grundsätzlich diese Einschätzungen der Kammer.
         389      Angesichts der stark steigenden Zahl der Kunden, die mobile Datenangebote nutzen,
                  und der dynamischen technologischen Entwicklung im Bereich der Endgeräte (z. B.
                  Smartphones) ist zu erwarten, dass eine stark wachsende Nachfrage nach mobilen
                  breitbandigen Angeboten (Stichwort „mobiles Internet“) Impulse für einen weiteren
                  Ausbau hochleistungsfähiger Breitbandnetze geben wird. So ist z. B. die Zahl der in
                  Deutschland verkauften Smartphones und Tablets stark gestiegen. So wurde bereits
                  im Februar letzten Jahres für das Jahr 2014 prognostiziert, dass knapp 82 Prozent al-
                  ler in Deutschland verkauften Mobiltelefone Smartphones sein werden (vgl. Presse-
                  mitteilung des BITKOM vom 12. Februar 2014). Seit dem Jahr 2012 sind erstmals
                  mehr Smartphones als herkömmliche Mobiltelefone im deutschen Markt (vgl.
                  Comscore-Studie „Digitales Deutschland“ von 2013).
         390      Mit Blick auf die Zielsetzung der Breitbandstrategie strebt die Bundesregierung eine
                  flächendeckende Versorgung der Bevölkerung mit 50 Mbit/s bis zum Jahr 2018 an.
                  Zur Erreichung dieser Ziele sind die zeitnahe Abdeckung bisher unterversorgter Ge-
                  biete sowie die Steigerung der jeweilig zur Verfügung stehenden Datenraten erforder-
                  lich. Die Realisierung steigender Nachfragen nach hochbitratigen Datendiensten setzt
                  jedoch den Einsatz größerer Bandbreiten von 10 MHz und mehr voraus. Die techni-
                  sche Weiterentwicklung von LTE zu LTE-Advanced wird mit einer Bandbreite von bis
                  zu 100 MHz standardisiert.
         391      Wesentliches Ziel der Breitbandstrategie ist, dass der Breitbandausbau in erster Linie
                  durch Wettbewerb und marktgetrieben von den Telekommunikationsunternehmen er-
                  folgt. Um Anreize für den Breitbandausbau auch in der Fläche zu setzen, müssen
                  weitere hierfür geeignete Frequenzressourcen bereitgestellt werden. Je mehr Unter-
                  nehmen ausreichendes und geeignetes Spektrum für den flächendeckenden Breit-
                  bandausbau verfügbar haben, umso mehr wird dieser im Infrastrukturwettbewerb vo-
                  rangetrieben.
         392      Funkgestützte Hochgeschwindigkeitsnetze sind die essenzielle Voraussetzung für ei-
                  nen Zugang zu innovativen mobilen breitbandigen Diensten, wobei aber auch die be-
                  stehende und noch wachsende hohe Nachfrage nach Sprachkommunikation weiter-
                  hin noch entsprechende Netzkapazitäten in Anspruch nehmen wird. Hierfür ist die Be-
                  reitstellung entsprechend hoher Netzkapazitäten erforderlich. Einfluss auf die Erhö-
                  hung von Netzkapazitäten haben technologische Entwicklungen bei Netzelementen
                  und Endgeräten wie auch eine Optimierung von Netzarchitekturen, die zu einer effizi-
                  enteren Nutzung vorhandener Frequenzressourcen beitragen. Gleichwohl ist neben


                                                             87



Bonn, 11. Februar 2015
155

Amtsblatt der Bundesnetzagentur
                          für Elektrizität, Gas, Telekommunikation, Post und Eisenbahnen
916                  – Mitteilungen, Telekommunikation, Teil A, Mitteilungen der Bundesnetzagentur –        3 2015


            diesen Maßnahmen die frühzeitige Bereitstellung zusätzlicher geeigneter Frequenz-
            ressourcen erforderlich.
      393   Die absehbar stark wachsende Nachfrage nach mobilen Breitbanddiensten erfordert,
            dass zur Erreichung der Breitbandziele einer flächendeckenden Versorgung mit min-
            destens 50 Mbit/s entsprechende Übertragungskapazitäten kosteneffizient bereitge-
            stellt werden. Andere Maßnahmen – wie beispielsweise Netzverdichtungen – sind
            nach Ansicht der Kammer nicht gleichermaßen kosteneffizient, um die flächende-
            ckende Versorgung außerhalb der Ballungsgebiete zu erreichen. Vielmehr kann eine
            flächendeckende Versorgung zur Kapazitätssteigerung – insbesondere in ländlichen
            Gebieten - mit der doppelten Menge an verfügbarem Spektrum wesentlich kosten-
            günstiger erfolgen als eine andere Maßnahme wie die Netzverdichtung, bei der die
            Zahl der Standorte erheblich ausgebaut werden müsste. Gerade die Akquirierung
            neuer Standorte ist zeit- und kostenintensiv. Der schnelle und kosteneffiziente Aus-
            bau zur Versorgung der ländlichen Räume mit den im Jahr 2010 vergebenen 800-
            MHz-Frequenzen beruhte in erster Linie darauf, dass bestehende Standorte genutzt
            werden konnten. Dies verdeutlicht, dass ohne die Bereitstellung ausreichenden
            Spektrums unterhalb 1 GHz keine Anreize für den weiteren Ausbau hochleistungsfä-
            higer funkgestützter Breitbandnetze in ländlichen Gebieten gegeben sind und damit
            die Ziele der Breitbandstrategie sowie der Digitalen Agenda 2014-2017 nicht erreicht
            werden können. Die digitale Kluft zwischen städtischen und ländlichen Gebieten wür-
            de weiter vergrößert.
      394   Auch internationale Studien über künftige Marktentwicklungen gehen von einer
            enormen Steigerung der Datenvolumina und entsprechenden Frequenzbedarfen aus.
            Die ITU (Internationale Fernmeldeunion) prognostiziert in ihrem Report ITU-R M.2243
            (Assessment of the global mobile broadband deployments and forecasts for Internati-
            onal Mobile Telecommunications, http://www.itu.int/pub/R-REP-M.2243-2011) die
            Bedarfe für mobiles Breitband bis ins Jahr 2020. Durch den großen Erfolg neuer
            Technologien und Geräte wie z. B. Smartphones oder Tablet-PCs, innovativer An-
            wendungen sowie neuer Geschäftsmodelle und das dadurch geänderte Nutzungs-
            verhalten der Mobilfunkkunden wurde bereits das Datenvolumen weit übertroffen,
            welches von der ITU im Report ITU-R M.2072 für den Zeitraum 2007 bis 2011 prog-
            nostiziert wurde. Daraufhin wurde die prognostizierte Entwicklung des Datenver-
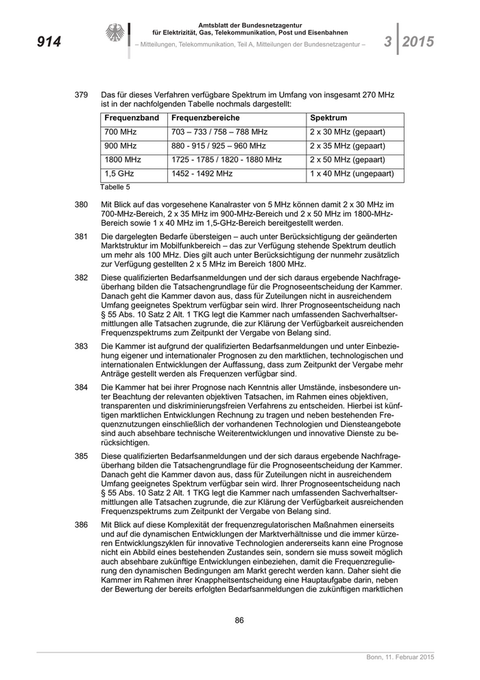
            kehrsaufkommens bis 2015 durch die ITU im Jahr 2011 nach oben angepasst. Selbst
            dieses von der ITU erwartete Datenvolumen wird in der Cisco-Prognose aus dem
            Jahr 2014 übertroffen (Cisco Visual Networking Index: Global Mobile Data Traffic Fo-
            recast Update, 2013–2018).
      395   Die Kammer prognostiziert, dass aufgrund der Bedarfsanmeldungen unter Berück-
            sichtigung der marktlichen und technologischen Entwicklungen für die Vergabe der
            Frequenzen in den Bereichen 700 MHz, 900 MHz, 1800 MHz sowie 1,5 GHz mehr
            Anträge gestellt werden als Frequenzen verfügbar sind.
      396   Soweit ein Kommentator gegen eine Frequenzknappheit anführt, dass einige Unter-
            nehmen, die einen Frequenzbedarf angemeldet haben, über ungenutzte Frequenzzu-
            teilungen in den Bereichen 450 MHz, 2 GHz, 2,6 GHz und 3,5 GHz verfügen würden
            und somit nicht den dargelegten Bedarf hätten, weist die Kammer auf Folgendes hin:
      397   Selbst wenn interessierte Unternehmen im Rahmen ihrer längerfristigen Planungen
            einen Mehrbedarf über gegebenenfalls aktuell noch nicht ausgeübte Frequenzzutei-
            lungen hinaus prognostizieren, vermag aus Sicht der Kammer die Stellungnahme
            nicht zu überzeugen. Die Kammer sieht es vielmehr als unzulässige staatliche Ein-
            flussnahme auf eigenverantwortlich zu treffende unternehmerische Entscheidungen
            an, wenn sie die ermittelten qualifizierten Frequenzbedarfe unberücksichtigt lässt. Es
            müssen allenfalls solche Bedarfe unberücksichtigt bleiben, von denen ohne weiteres
            feststeht, dass ihnen offensichtlich eine Hortungsabsicht oder sachfremde Erwägun-
            gen zu Grunde liegen oder offenkundig die Zuteilungsvoraussetzungen nicht vorlie-
            gen. Die Bedarfsermittlung nach § 55 Abs. 10 TKG dient aber nicht dazu – wie aber

                                                       88



                                                                                                       Bonn, 11. Februar 2015
156

Amtsblatt der Bundesnetzagentur
                                     für Elektrizität, Gas, Telekommunikation, Post und Eisenbahnen
  3 2015                        – Mitteilungen, Telekommunikation, Teil A, Mitteilungen der Bundesnetzagentur –   917


                  von Kommentatoren behauptet – eine Knappheit durch frequenzregulatorische Be-
                  wertungen von angemeldeten Bedarfen durch die Bundesnetzagentur zu verhindern.
         398      Im Einzelnen:
         399      Die Beurteilung von Frequenzbedarfen erfolgt nicht pauschal für eine Nutzergruppe,
                  sondern muss konkret und individuell für jedes einzelne Unternehmen erfolgen (siehe
                  §§ 55 Abs. 4 und 5 sowie 61 Abs. 3 TKG). Andernfalls bliebe zum Beispiel unberück-
                  sichtigt, dass das vom Kommentator angesprochene Gesamtvolumen an zugeteilten
                  Frequenzen gerade nicht zu gleichen Teilen an die bestehenden Netzbetreiber zuge-
                  teilt wurde. Eine pauschale Betrachtung von Nutzergruppen würde zudem außer Acht
                  lassen, dass die interessierten Unternehmen die zu vergebenden Frequenzen ent-
                  sprechend ihrer individuellen geschäftlichen Planungen grundsätzlich mit allen hierfür
                  vorgesehenen Technologien verwenden dürfen (vgl. § 54 Abs. 2 TKG). Ebenso wenig
                  würde eine pauschale Betrachtung dem Umstand Rechnung tragen, dass die Zutei-
                  lungsinhaber mit den Frequenzen alle Arten von Telekommunikationsdiensten erbrin-
                  gen dürfen.
         400      Ausgangspunkt der Bedarfsfeststellung sind also grundsätzlich die von den Marktteil-
                  nehmern selbst angemeldeten Bedarfe. Diese individuellen Frequenzbedarfe ermit-
                  teln die interessierten Unternehmen eigenverantwortlich auf der Grundlage ihrer
                  wettbewerblichen Besonderheiten. Ihre wettbewerblichen Handlungsoptionen haben
                  die Unternehmen einerseits in Bezug auf den intramodalen Wettbewerb im Mobil-
                  funksektor zu bewerten. Von besonderer Bedeutung ist hierbei der Erwerb wettbe-
                  werbsadäquater Frequenzausstattungen mit Blick auf die geänderte Marktstruktur
                  und Wettbewerbssituation infolge der Fusion Telefónica/E-Plus. Andererseits haben
                  die Unternehmen den intermodalen Wettbewerb zwischen Mobilfunk und Festnetz zu
                  würdigen.
         401      Zu den wettbewerblichen Besonderheiten von Unternehmen zählt insbesondere die
                  Beschaffenheit ihrer Netze, die die Grundlage für die Angebotsvielfalt, Qualität und
                  Preise ihrer geplanten Produkte sind. Die Beschaffenheit der Netze bestimmt die
                  Handlungsoptionen sowohl im intermodalen als auch im intramodalen Wettbewerb.
                  Darüber hinaus treffen die Unternehmen in eigener Verantwortung Prognosen über
                  Markt- und Kommunikationsentwicklungen, nachfragegerechte Netzkapazitäten sowie
                  ihre strategischen und wettbewerblichen Ausrichtungen. So kann der Frequenzbedarf
                  zum Beispiel auch davon abhängen, ob Unternehmen eine „aggressive“ Geschäfts-
                  strategie verfolgen, die auf die Gewinnung neuer Kunden oder Kundengruppen oder
                  die Vermarktung zunehmend breitbandiger Dienste zielt. Des Weiteren kann der Fre-
                  quenzbedarf davon abhängen, ob Unternehmen planen, ihren Kunden in Bezug auf
                  Preis, Angebotsvielfalt und Qualität flächendeckend oder vorrangig in städtischen
                  Gebieten Dienste anzubieten. Schließlich können die interessierten Unternehmen ih-
                  ren Frequenzbedarfen mit Blick auf die Laufzeit der Zuteilungen auch ihre Prognosen
                  über künftige geschäftliche, marktliche oder technologische Entwicklungen (LTE-
                  Advanced, 5G etc.) zugrunde legen.
         402      Dass interessierte Unternehmen im Rahmen ihrer längerfristigen Planungen einen
                  Mehrbedarf über gegebenenfalls aktuell noch nicht ausgeübte Frequenzzuteilungen
                  hinaus prognostizieren können, hat das Verwaltungsgericht Köln in seinem Urteil vom
                  3. September 2014 (Az. 21 K4413/11; Seite 21 f.) dem Grunde nach bestätigt:
                         „Die für die Bedarfsfeststellung maßgeblichen Bedarfsanmeldungen der Unter-
                         nehmen können zum entscheidungserheblichen Zeitpunkt in Anbetracht der übli-
                         cherweise langfristigen Frequenzzuteilungen naturgemäß auch mitbeeinflusst
                         sein durch Planungen und Entwicklungen, die einen in der Zukunft liegenden
                         Zeitraum betreffen; grundsätzlich- soweit die geltenden Frequenznutzungsbe-
                         stimmungen es zulassen und das Widerrufermessen nach § 63 Abs. 1
                         Satz 1 TKG nicht im Sinne eines Widerrufs auszuüben ist - kann den geltend
                         gemachten Bedarfen daher auch ein abschätzbarer Mehrbedarf im Zuteilungs-

                                                               89



Bonn, 11. Februar 2015
157

Amtsblatt der Bundesnetzagentur
                          für Elektrizität, Gas, Telekommunikation, Post und Eisenbahnen
918                  – Mitteilungen, Telekommunikation, Teil A, Mitteilungen der Bundesnetzagentur –        3 2015


                zeitraum zu Grunde gelegt werden. Deswegen führt auch der Umstand, dass ein
                Zuteilungspetent in gewissem Umfang über aktuell (noch) nicht ausgeübte Fre-
                quenznutzungsrechte verfügt, nicht ohne weiteres dazu, dass ein von ihm gel-
                tend gemachter Mehrbedarf an Frequenzen bei der Bedarfsfeststellung und der
                Prognose, ob mit einer überschießenden Anzahl von Zuteilungsanträgen zu
                rechnen ist, unberücksichtigt bleiben muss.“
      403   Entgegen der Ansicht des Kommentators ist für Frequenzzuteilungen oberhalb von
            1 GHz das Widerrufsermessen der Bundesnetzagentur nach § 63 Abs. 1 Satz 1 TKG
            nicht im Sinne eines Widerrufs auszuüben.
      404   Hinsichtlich der Frage nach einem frequenzregulatorischen Handlungsbedarf zur Si-
            cherstellung einer effizienten Frequenznutzung im Bereich 3,5 GHz hat die Kammer
            in ihrer Entscheidung zum Zusammenschluss der Unternehmen Telefónica und E-
            Plus insbesondere Folgendes klargestellt (a. a. O., Rn. 288 f.):
                „Im Frequenzband 3,5 GHz bestehen Zuteilungen der E-Plus im Umfang von
                2 x 42 MHz (gepaart). Die übrigen Beteiligten verfügen über keine Frequenzen in
                diesem Band. Durch die Fusion der Netzbetreiber Telefónica und E-Plus kommt
                es daher im Bereich 3,5 GHz nicht zu einer Veränderung der Spektrumsvertei-
                lung.
                Die Kammer erwartet keine kurzfristige Einführung von LTE in einem Umfang,
                der eine Diskriminierung verursachen würde. Es ist weiterhin darauf hinzuweisen,
                dass im Bereich 3,5 GHz weitere Frequenzen für Zuteilungen zur Verfügung ste-
                hen. Aus diesen Gründen sieht die Kammer derzeit keinen frequenzregulatori-
                schen Handlungsbedarf.“
      405   Hinsichtlich der Nutzung von gepaarten Frequenzen im Bereich bei 2,6 GHz hat die
            Kammer in ihrer Entscheidung zum Zusammenschluss der Unternehmen Telefónica
            und E-Plus mit Blick auf die 900-MHz- und 1800-MHz-Frequenzen auf folgende Un-
            terschiede hingewiesen (a. a. O., Rn. 283):
                „Des Weiteren werden kurzfristige Diskriminierungen aufgrund der Frequenzaus-
                stattungen in diesem Band nicht gesehen, da diese Frequenzen derzeit vorrangig
                zur Kapazitätserweiterung in städtischen Gebieten (wie z. B. Hot Spots) genutzt
                werden, im Gegensatz zu den Frequenzen in den Bereichen 800 MHz, 900 MHz,
                1800 MHz und 2 GHz.“
      406   Hinsichtlich der gepaarten Frequenzen im Bereich bei 2 GHz hat die Kammer in ihrer
            Entscheidung zum Zusammenschluss der Unternehmen Telefónica und E-Plus aus-
            geführt (a. a. O., Rn. 285 ff.), dass sie einen möglichen Handlungsbedarf nach
            Kenntnis der Neuallokation prüfen wird:
                „Im Übrigen hat die Kammer bei der Bewertung eines kurzfristigen Handlungsbe-
                darfs bei 2 GHz auch berücksichtigt, dass das Fusionsunternehmen Teile des
                1800-MHz-Bandes vorzeitig zurückzugeben hat. In diesem Zusammenhang ist
                darauf hinzuweisen, dass die Kammer in ihrer Bewertung für die vorzeitige Räu-
                mung auch die Frequenzausstattung des Fusionsunternehmens im Bereich
                2 GHz zugrunde gelegt hat. Das Fusionsunternehmen kann Sprachverkehr aus
                dem Bereich 1800 MHz kurzfristig in sein UMTS-Netz verlagern. Auch mit Blick
                hierauf sieht die Kammer derzeit keine Diskriminierung durch die größere Fre-
                quenzausstattung des Fusionsunternehmens im Bereich 2 GHz. Die Kammer
                wird aber insbesondere im Bereich 2 GHz einen möglichen Handlungsbedarf mit
                Blick auf künftige, durch die Neuallokation in den Bereichen 900 MHz und
                1800 MHz veränderte Frequenzausstattungen aller Wettbewerber im Rahmen ei-
                ner Gesamtbetrachtung prüfen (Frequenzverteilungsuntersuchung).“
      407   Hinsichtlich der Nutzung ungepaarter Frequenzen in den Bereichen bei 2 GHz und
            2,6 GHz hat die Kammer in ihrer Entscheidung zum Zusammenschluss der Unter-
            nehmen Telefónica und E-Plus Folgendes ausgeführt (a. a. O., Rn. 285 ff.):

                                                       90



                                                                                                       Bonn, 11. Februar 2015
158

Amtsblatt der Bundesnetzagentur
                                     für Elektrizität, Gas, Telekommunikation, Post und Eisenbahnen
  3 2015                        – Mitteilungen, Telekommunikation, Teil A, Mitteilungen der Bundesnetzagentur –   919


                         „Die für den Mobilfunk in Europa bedeutendsten Frequenzen sind die gepaarten
                         Frequenzbereiche bei 800 MHz, 900 MHz, 1800 MHz und 2 GHz.
                         Aus Sicht der Präsidentenkammer ergibt sich für die ungepaarten Frequenzbe-
                         reiche derzeit kein frequenzregulatorischer Handlungsbedarf aufgrund zu erwar-
                         tender Diskriminierung der Wettbewerber. Für die ungepaarten Frequenzberei-
                         che bei 2 GHz und 2,6 GHz steht derzeit noch nicht in einem Umfang Technik für
                         Mobilfunk in Europa zur Verfügung beziehungsweise wird diese noch nicht ein-
                         gesetzt, um den Massenmarkt zu adressieren. Diese Frequenzen sind derzeit
                         insbesondere zur Kapazitätserweiterung in sogenannten Hot Spots vorgesehen.
                         Sofern von Kommentatoren eine effiziente Frequenznutzung infrage gestellt und
                         zugleich eine Umverteilung von Frequenzen zugunsten von Wettbewerbern be-
                         ziehungsweise potenziellen Neueinsteigern gefordert wurde, ist anzumerken,
                         dass eine fusionsbedingte Änderung mit Blick auf eine effiziente Frequenznut-
                         zung nicht zu erwarten ist. Die Kammer erwartet, dass nach dem zügigen Breit-
                         bandnetzausbau mit den Frequenzen in den Bereichen 800 MHz und 1800 MHz
                         – insbesondere mit LTE – auch die Frequenzen im Bereich 2,6 GHz (gepaarte
                         und ungepaarte Frequenzen) vermehrt zum Einsatz kommen werden.“
         408      Darüber hinaus ist bei der Würdigung von Frequenzbedarfen zu beachten, dass ent-
                  gegen der Ansicht des Kommentators die zur Vergabe anstehenden Frequenzen in
                  den Bereichen bei 700 MHz und 900 MHz nicht ohne weiteres mit Frequenzen in den
                  Bereichen bei 2 GHz oder höher austauschbar sind. Frequenzen unterhalb von
                  1 GHz eignen sich wegen ihrer physikalischen Ausbreitungseigenschaften besser zur
                  kosteneffizienten Versorgung ländlicher Räume als Frequenzen oberhalb 1 GHz.
         409      Des Weiteren stellt ein Kommentator die Bedarfe der bestehenden Mobilfunknetzbe-
                  treiber in Frage, weil sie seiner Ansicht nach nicht das gesamte zugeteilte Spektrum
                  in den Bereichen 900 MHz und 1800 MHz gegenwärtig effizient nutzen. Diese Be-
                  trachtungsweise bedarf schon deshalb einer Klarstellung, weil die Beurteilung einer
                  effizienten Frequenznutzung gerade nicht pauschal für alle bestehenden Zuteilungs-
                  inhaber erfolgen kann, sondern konkret und individuell für jeden einzelnen Zutei-
                  lungsinhaber zu erfolgen hat. Hierzu weist die Kammer darauf hin, dass sie in ihrer
                  Entscheidung zum Zusammenschluss von Telefónica und E-Plus (Az: BK1 – 13/002)
                  einen kurzfristigen Handlungsbedarf für die Frequenzbereiche bei 900 MHz und 1800
                  MHz festgestellt hat, um diskriminierungsfreie Frequenzausstattungen und effiziente
                  Frequenznutzungen sicherzustellen. Hierzu ist in o. a. Entscheidung (Rn. 242 f.) Fol-
                  gendes ausgeführt:
                         „Die Kammer ist der Ansicht, dass die dem Fusionsunternehmen zur Verfügung
                         stehende Spektrumsmenge bei 900/1800 MHz unter den Gesichtspunkten der
                         Diskriminierungsfreiheit sowie der effizienten Frequenznutzung nicht gerechtfer-
                         tigt ist. Selbst wenn das Fusionsunternehmen 2 x 20 MHz (gepaart) für LTE-
                         Dienste im Bereich 1800 MHz nutzen würde, stünde diesem noch – bei ver-
                         gleichbarer Kundenzahl – etwa doppelt so viel Spektrum wie seinen Wettbewer-
                         bern für GSM-Dienste zur Verfügung. So steht z. B. der Vodafone in diesen Fre-
                         quenzbereichen nur Spektrum im Umfang von 2 x 17,8 MHz (gepaart) zur Verfü-
                         gung, das für GSM genutzt wird. Diesem Wettbewerber stehen nicht vergleichba-
                         re Frequenzressourcen zur Verfügung, um in diesen Frequenzbändern LTE ne-
                         ben GSM kurzfristig einführen zu können. Überdies bestehen Bedenken, da das
                         Fusionsunternehmen bei annähernd vergleichbarer Kundenzahl wie seine Wett-
                         bewerber über die Hälfte des gesamten Spektrums in den Bereichen 900 MHz
                         und 1800 MHz verfügen würde. Damit könnten die Wettbewerber nicht kurzfristig
                         auf die fusionsbedingten Asymmetrien reagieren. Mit Blick auf den Grundsatz der
                         effizienten Frequenznutzung wurde von Telefónica nicht dargelegt, warum selbst
                         bei Nutzung von 2 x 20 MHz (gepaart) für Breitbandtechnologien die verglichen
                         mit den Wettbewerbern doppelte Menge an GSM-Spektrum nicht ausreichen soll-


                                                               91



Bonn, 11. Februar 2015
159

Zur nächsten Seite