abl-03

Dieses Dokument ist Teil der Anfrage „Amtsblätter bis 2018

/ 336
PDF herunterladen
Amtsblatt der Bundesnetzagentur
                                für Elektrizität, Gas, Telekommunikation, Post und Eisenbahnen
  3 2015                   – Mitteilungen, Telekommunikation, Teil A, Mitteilungen der Bundesnetzagentur –   1007


         Anlage 3 – Frequenznutzungsbestimmungen zum Frequenzbereich 700 MHz

         Durch diese Nutzungsbestimmungen soll die störungsfreie Koexistenz der Netze unter-
         schiedlicher Betreiber des drahtlosen Netzzugangs zum Angebot von Telekommunikations-
         diensten innerhalb des Frequenzbereichs 694 - 790 MHz sowie die Koexistenz dieser Netze
         mit den Funkanwendungen der dazu benachbarten Frequenzbereichen sichergestellt wer-
         den. Bei den benachbarten Frequenzbereichen sind insbesondere Fernsehrundfunkanwen-
         dungen unterhalb 694 MHz berücksichtigt worden. Grundsätzlich müssen dazu der im Fol-
         genden beschriebene Kanalplan, die Frequenzblock-Entkopplungsmasken und weitere Be-
         dingungen eingehalten werden. Die Nutzungsbestimmungen berücksichtigen insbesondere
         breitbandige Funkanwendungen, die auf 5-MHz-Blöcken basieren und gegenwärtig vor allem
         im Zusammenhang mit dem drahtlosen Netzzugang zum Angebot von Telekommunikations-
         diensten im 700-MHz-Bereich in der Diskussion stehen. Sofern Funkanwendungen mit ande-
         ren Kanalbandbreiten zum Einsatz kommen, können Abweichungen davon erforderlich wer-
         den. Weiterhin können die unten aufgeführten Regelungen durch abweichende Vereinbarun-
         gen zwischen den verschiedenen betroffenen Frequenznutzern (des drahtlosen Netzzu-
         gangs zum Angebot von Telekommunikationsdiensten und des Fernsehrundfunks) für die
         Laufzeit dieser Betreiberabsprachen geändert werden. Entsprechende Vereinbarungen sind
         der Bundesnetzagentur vor Inbetriebnahme anzuzeigen. Bei Vereinbarungen, die von den im
         Rahmen der Grenzkoordinierung getroffenen Regelungen abweichen, müssen diese durch
         die zuständigen Regulierungsbehörden genehmigt werden.

         Die im Folgenden beschriebenen Frequenznutzungsbestimmungen berücksichtigen auch
         den gegenwärtigen Stand der Diskussionen innerhalb CEPT/ECC, insbesondere berücksich-
         tigen sie die Inhalte des CEPT Berichts 53 „Report A from CEPT to the European Commissi-
         on in response to the Mandate „To develop harmonised technical conditions for the 694 -
         790 MHz ('700 MHz') frequency band in the EU for the provision of wireless broadband and
         other uses in support of EU spectrum policy objectives““. Die Europäische Kommission hat
         mit dem gleichen Mandat außerdem eine Aktualisierung des Berichts 53 beauftragt (Report
         B), falls durch die Ergebnisse der Weltfunkkonferenz 2015 Aktualisierungen notwendig wer-
         den sollten.

         Das ECC hat bei seiner 38. Sitzung im November 2014 bereits die ECC Entscheidung „Har-
         monised technical conditions for mobile/fixed communications networks (MFCN) in the band
         694-790 MHz including a paired frequency arrangement (FDD 2x30 MHz) and an optional
         unpaired frequency arrangement (SDL)“ basierend auf den Ergebnissen des CEPT-Berichts
         53 für die öffentliche Kommentierung angenommen. Die endgültige Annahme der ECC Ent-
         scheidung wird für die 39. Sitzung des ECC im März 2015 erwartet. Weiterhin wird davon
         ausgegangen, dass die Europäische Kommission Anfang 2016 eine Kommissions-
         Entscheidung mit vergleichbarem Inhalt, insbesondere basierend auf den CEPT-Berichten
         53 (Report A) und der möglichen Aktualisierung (Report B), in Kraft setzen wird.

         Durch die Annahme der ECC-Arbeitsergebnisse im November 2014 besteht eine stabile Be-
         schlusslage, dennoch können z. B. sowohl durch die noch in der öffentlichen Kommentierung
         befindliche ECC-Entscheidung, als auch durch die zu erwartende Kommissions-
         Entscheidung nachträgliche Detailanpassungen bei den im Folgenden beschriebenen Fre-
         quenznutzungsbestimmungen erforderlich werden.

         Darüber hinaus können lokal oder regional zusätzliche Maßnahmen erforderlich werden.
         Einerseits können diese aus der notwendigen Grenzkoordinierung entstehen (siehe Nr. 4
         unten), andererseits können diese zum Schutz des Fernsehrundfunks notwendig werden.
         Diese zusätzlichen Maßnahmen werden vor allem bei der standortspezifischen Festlegung
         der frequenztechnischen Parameter der konkreten Basisstationen des drahtlosen Netzzu-
         gangs zum Angebot von Telekommunikationsdiensten zu berücksichtigen sein. Dabei wer-


                                                          1



Bonn, 11. Februar 2015
247

Amtsblatt der Bundesnetzagentur
                                 für Elektrizität, Gas, Telekommunikation, Post und Eisenbahnen
1008                        – Mitteilungen, Telekommunikation, Teil A, Mitteilungen der Bundesnetzagentur –        3 2015


       den auch die im CEPT-Bericht 30 aufgeführten Störungslinderungsmaßnahmen für die be-
       troffenen Einzelfälle angewendet werden.


       1. Frequenzbereich

       Innerhalb des Frequenzbereichs 694 – 790 MHz ist für den drahtlosen Netzzugang zum An-
       gebot von Telekommunikationsdiensten folgendes Spektrum verfügbar:

       703 – 733 MHz und 758 – 788 MHz, d. h. 2 x 30 MHz bzw. 6 Blöcke à 2 x 5 MHz gepaart.

       Die Duplexlücke (733 – 758 MHz) ist kein Bestandteil des zu vergebenden Spektrums für
       den drahtlosen Netzzugang zum Angebot von Telekommunikationsdiensten. Nach entspre-
       chenden Entscheidungen auf europäischer und nationaler Ebene steht sie grundsätzlich für
       weitere Anwendungen zur Verfügung. Die Bestimmungen zur evtl. Nutzung dieser Duplexlü-
       cke sind nicht Bestandteil der hier beschriebenen Frequenznutzungsbestimmungen und
       werden im Zusammenhang mit den Bestimmungen für drahtlose Mikrofone und ggf. anderen
       betroffenen Funkanwendungen unter Berücksichtigung des CEPT-Berichts 53 festgelegt
       werden.


       2. Kanalplan

       Der folgende Bandplan für FDD (Frequenzduplex) ist maßgebend:

       694-      703- 708- 713- 718- 723- 728-             733-758             758- 763- 768- 773- 778- 783-         788-
       703       708 713 718 723 728 733                                       763 768 773 778 783 788               791

       Schutz-    Sendefrequenzbereich TS                                        Sendefrequenzbereich BS            Schutz-
                                                        Duplexlücke
        band
                          (Uplink)                                                     (Downlink)                    band



        9                                                                                                            3
                  30 MHz (6 Blöcke à 5 MHz)                25 MHz               30 MHz (6 Blöcke à 5 MHz)
       MHz                                                                                                          MHz


       Anmerkungen:

       Die 1. Zeile beschreibt die jeweiligen Eckfrequenzen der Frequenzblöcke, Duplexlücke und
       Schutzbänder (in MHz).

       Die 2. und die 3. Zeile beschreiben die Sendefrequenzbereiche der Teilnehmerstationen
       (Uplink) und der Basisstationen (Downlink) sowie die Duplexlücke und die Schutzbänder.

       BS: Basisstation;
       TS: Teilnehmerstation (Endgerät).


       3. Frequenznutzungsbedingungen für FDD-Betrieb (Frequenzduplex)

       Die hier beschriebenen Frequenznutzungsbedingungen stellen einzuhaltende Mindestanfor-
       derungen dar. Eine Konkretisierung der Frequenznutzungsbedingungen erfolgt bei der
       standortspezifischen Festlegung der frequenztechnischen Parameter bezogen auf einen
       konkreten Standort einer Basisstation unter Berücksichtigung von Störungslinderungsmaß-
       nahmen.

                                                               2




                                                                                                              Bonn, 11. Februar 2015
248

Amtsblatt der Bundesnetzagentur
                                 für Elektrizität, Gas, Telekommunikation, Post und Eisenbahnen
  3 2015                    – Mitteilungen, Telekommunikation, Teil A, Mitteilungen der Bundesnetzagentur –   1009


         Zum Schutz von Rundfunknutzungen unterhalb 694 MHz und zur Erzielung der Koexistenz
         zwischen verschiedenen Betreibern des drahtlosen Netzzugangs zum Angebot von Tele-
         kommunikationsdiensten sind die Bedingungen von Frequenzblock-Entkopplungsmasken
         einzuhalten. Diese beziehen sich sowohl auf die Bedingungen innerhalb als auch außerhalb
         der Frequenzblöcke. Die Außerblockbedingungen beinhalten Grundanforderungen und spe-
         zifische Anforderungen. Zur Bestimmung der resultierenden Grenzwerte sind alle maßge-
         benden Frequenzblock-Entkopplungsmasken zu kombinieren. Zum Schutz des „portable
         indoor“ – DVB-T/DVB-T2 – Empfangs ist zusätzlich zu den aus den Frequenzblock-
         Entkopplungsmasken resultierenden Bedingungen eine maximale Strahlungsleistung des
         Mobilfunks in die am jeweils betrachteten Ort zur Realisierung eines Versorgungsbedarfs für
         terrestrischen Fernsehrundfunk tatsächlich betriebenen Rundfunkkanäle unterhalb 694 MHz
         von -57 dBm/8MHz einzuhalten. Sofern gepulste Aussendungen (Bursts) maßgebend sind,
         beziehen sich die angegebenen EIRP-Grenzwerte auf den über den jeweiligen Puls (Burst)
         gemittelten Wert. Sofern nicht anders angegeben, wird immer die Funkstelle betrachtet, d. h.
         die Anzahl der Antennen pro Funkstelle ist unerheblich.


         3.1 Allgemeine Parameter

             a) Die zugeteilten Frequenzblöcke umfassen ganzzahlige Vielfache von 5 MHz.


             b) Innerhalb des Frequenzbandes 703 - 788 MHz beträgt der Duplexabstand für Fre-
                quenzduplex-Betrieb (FDD) 55 MHz, wobei die Teilnehmerstationen bzw. Endgeräte
                (Uplink) im Unterband, beginnend bei 703 MHz (bis 733 MHz), senden und die Ba-
                sisstationen (Downlink) im Oberband, beginnend bei 758 MHz (bis 788 MHz), sen-
                den.


         3.2 Grenzwerte und Frequenzblock-Entkopplungsmaske(n) für Basisstationen

         3.2.1 Für blockinterne Aussendungen der Basisstationen

         Die innerhalb des Ausschusses für elektronische Kommunikation (ECC) der CEPT durchge-
         führten Studien (insbesondere die im CEPT-Bericht 53 enthaltenen) basieren auf unterstell-
         ten EIRP-Grenzwerten, die sich im Bereich von 64 dBm (entspricht 2500 W), bezogen auf
         5 MHz breite Frequenzblöcke, bewegen. Die Festlegung des Strahlungsleistungs-
         grenzwertes (EIRP) für eine konkrete Basisstation erfolgt unter Berücksichtigung standort-
         spezifischer Aspekte, die z. B. aus der notwendigen Koordinierung mit anderen Funkstellen,
         ggf. auch im benachbarten Ausland, entstehen können. Daher können für bestimmte Fälle
         auch höhere EIRP-Grenzwerte als oben angegeben zulässig sein.


         3.2.2 Für Außerblockaussendungen der Basisstationen

         Die Tabellen 1 bis 4 beschreiben die Anforderungen für die Außerblockaussendungen für die
         Basisstationen des drahtlosen Netzzugangs zum Angebot von Telekommunikationsdiensten.


         Tabelle 1:
         Grundanforderungen (Frequenzblock-Entkopplungsmaske für Außerblockaussendungen der
         Basisstationen)




                                                           3




Bonn, 11. Februar 2015
249

Amtsblatt der Bundesnetzagentur
                                  für Elektrizität, Gas, Telekommunikation, Post und Eisenbahnen
1010                       – Mitteilungen, Telekommunikation, Teil A, Mitteilungen der Bundesnetzagentur –          3 2015



                                                                                 Maximale mittlere
         Frequenzbereich, in den Außerblockaussendungen                          zulässige äquiva-       bezogen auf
                               fallen                                              lente isotrope
                                                                                Strahlungsleistung
                                                                                     (EIRPmax)
                                 703-733 MHz                                    -50 dBm pro Zelle (1)       5 MHz
               832-862 MHz (Uplink des 800 MHz Bands)                           -49 dBm pro Zelle (1)       5 MHz
             758-788 MHz und 791-821 MHz (Downlink des                          16 dBm pro Antenne          5 MHz
                              800 MHz Bands)
          Für digitale terrestrische Fernsehfrequenzen in denen                 -23 dBm pro Zelle (1)       8 MHz
                        der Rundfunk geschützt wird

              (1) Bei einem Multi-Sektor-Standort bezieht sich „Zelle“ auf einen der Sektoren.


       In Abhängigkeit von zukünftigen Primärnutzungen von Teilen der Mittenlücke und der
       Schutzbänder sind für die unerwünschten Aussendungen der Basisstationen ggf. Anpassun-
       gen in diesen Bereichen erforderlich. Diese werden für das untere Schutzband und den
       oberhalb 733 MHz angrenzenden Bereich voraussichtlich denen in 703-733 MHz und für den
       unterhalb an 758 MHz angrenzenden Bereich und das obere Schutzband denen in 758-
       788 MHz entsprechen.


       Tabelle 2:
       Spezifische Anforderungen (Frequenzblock-Entkopplungsmaske für Außerblock-
       aussendungen der Basisstationen), unterhalb der oberen Bandgrenze des Downlinks (im
       Bereich 733-788 MHz), bezogen auf die Antenne

                                                                                Maximale mittlere
                              Versatz                                           zulässige äquiva-       bezogen auf
                vom Rande des betroffenen Blocks                                  lente isotrope
           (bezogen auf unteren/oberen Rand des Blocks)                        Strahlungsleistung
                                                                                    (EIRPmax)
                    -10 bis -5 MHz (unterer Blockrand)                                18 dBm              5 MHz
                     -5 bis 0 MHz (unterer Blockrand)                                  22 dBm             5 MHz
                     0 bis +5 MHz (oberer Blockrand)                                   22 dBm             5 MHz
                    +5 bis +10 MHz (oberer Blockrand)                                  18 dBm             5 MHz



       Tabelle 3:
       Spezifische Anforderungen (Frequenzblock-Entkopplungsmaske für Außerblock-
       aussendungen der Basisstationen) oberhalb der oberen Bandgrenze des Downlinks (inner-
       halb 788 - 801 MHz), bezogen auf die Antenne

                                                                                Maximale mittlere
                              Frequenzbereich                                   zulässige äquiva-       bezogen auf
                                                                                  lente isotrope
                                                                               Strahlungsleistung
                                                                                    (EIRPmax)
            788-791 MHz für oberen Blockrand bei 788 MHz                              21 dBm              3 MHz
            788-791 MHz für oberen Blockrand bei 783 MHz                               16 dBm             3 MHz
            791-796 MHz für oberen Blockrand bei 788 MHz                               19 dBm             5 MHz
            791-796 MHz für oberen Blockrand bei 783 MHz                               17 dBm             5 MHz
            796-801 MHz für oberen Blockrand bei 788 MHz                               17 dBm             5 MHz
                                                                   4




                                                                                                             Bonn, 11. Februar 2015
250

Amtsblatt der Bundesnetzagentur
                                         für Elektrizität, Gas, Telekommunikation, Post und Eisenbahnen
  3 2015                          – Mitteilungen, Telekommunikation, Teil A, Mitteilungen der Bundesnetzagentur –       1011


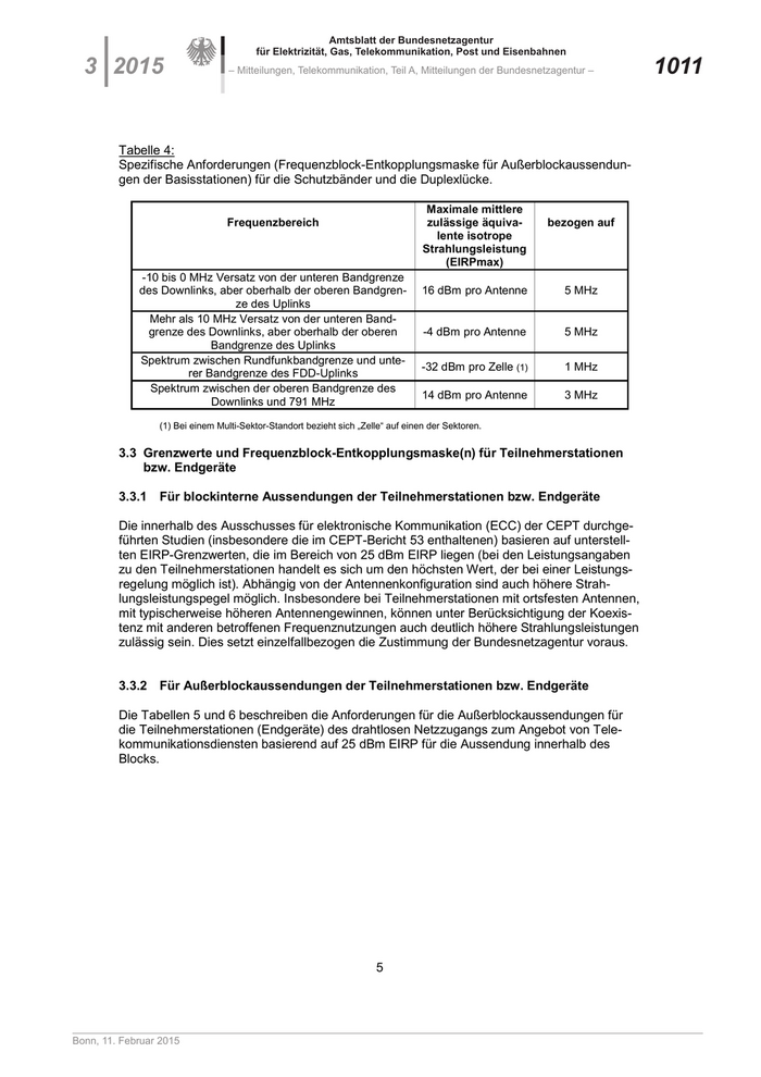
         Tabelle 4:
         Spezifische Anforderungen (Frequenzblock-Entkopplungsmaske für Außerblockaussendun-
         gen der Basisstationen) für die Schutzbänder und die Duplexlücke.

                                                                                   Maximale mittlere
                                 Frequenzbereich                                   zulässige äquiva-      bezogen auf
                                                                                     lente isotrope
                                                                                  Strahlungsleistung
                                                                                       (EIRPmax)
             -10 bis 0 MHz Versatz von der unteren Bandgrenze
             des Downlinks, aber oberhalb der oberen Bandgren-                    16 dBm pro Antenne        5 MHz
                                ze des Uplinks
               Mehr als 10 MHz Versatz von der unteren Band-
              grenze des Downlinks, aber oberhalb der oberen                      -4 dBm pro Antenne        5 MHz
                            Bandgrenze des Uplinks
             Spektrum zwischen Rundfunkbandgrenze und unte-
                                                                                  -32 dBm pro Zelle (1)     1 MHz
                       rer Bandgrenze des FDD-Uplinks
               Spektrum zwischen der oberen Bandgrenze des
                                                                                  14 dBm pro Antenne        3 MHz
                            Downlinks und 791 MHz

                 (1) Bei einem Multi-Sektor-Standort bezieht sich „Zelle“ auf einen der Sektoren.


         3.3 Grenzwerte und Frequenzblock-Entkopplungsmaske(n) für Teilnehmerstationen
             bzw. Endgeräte

         3.3.1 Für blockinterne Aussendungen der Teilnehmerstationen bzw. Endgeräte

         Die innerhalb des Ausschusses für elektronische Kommunikation (ECC) der CEPT durchge-
         führten Studien (insbesondere die im CEPT-Bericht 53 enthaltenen) basieren auf unterstell-
         ten EIRP-Grenzwerten, die im Bereich von 25 dBm EIRP liegen (bei den Leistungsangaben
         zu den Teilnehmerstationen handelt es sich um den höchsten Wert, der bei einer Leistungs-
         regelung möglich ist). Abhängig von der Antennenkonfiguration sind auch höhere Strah-
         lungsleistungspegel möglich. Insbesondere bei Teilnehmerstationen mit ortsfesten Antennen,
         mit typischerweise höheren Antennengewinnen, können unter Berücksichtigung der Koexis-
         tenz mit anderen betroffenen Frequenznutzungen auch deutlich höhere Strahlungsleistungen
         zulässig sein. Dies setzt einzelfallbezogen die Zustimmung der Bundesnetzagentur voraus.


         3.3.2 Für Außerblockaussendungen der Teilnehmerstationen bzw. Endgeräte

         Die Tabellen 5 und 6 beschreiben die Anforderungen für die Außerblockaussendungen für
         die Teilnehmerstationen (Endgeräte) des drahtlosen Netzzugangs zum Angebot von Tele-
         kommunikationsdiensten basierend auf 25 dBm EIRP für die Aussendung innerhalb des
         Blocks.




                                                                      5




Bonn, 11. Februar 2015
251

Amtsblatt der Bundesnetzagentur
                             für Elektrizität, Gas, Telekommunikation, Post und Eisenbahnen
1012                    – Mitteilungen, Telekommunikation, Teil A, Mitteilungen der Bundesnetzagentur –        3 2015


       Tabelle 5:
       Spezifische Anforderungen (Frequenzblock-Entkopplungsmaske für Außerblock-
       aussendungen der Teilnehmerstationen) für die Schutzbänder

                                                                    Maximale mittlere
              Versatz von der Bandgrenze des Uplinks                zulässige äquiva-          bezogen auf
                (bezogen auf unteren/oberen Rand)                     lente isotrope
                                                                   Strahlungsleistung
                                                                        (EIRPmax)
                   Mehr als -5 MHz (unterer Rand)                         -7 dBm                  4 MHz
                     -5 bis 0 MHz (unterer Rand)                           2 dBm                  5 MHz
               0 bis 5 MHz (oberer Rand) (Duplexlücke)                     2 dBm                  5 MHz
               5 bis 20 MHz (oberer Rand) (Duplexlücke)                    -6 dBm                 5 MHz
             Mehr als 20 MHz (oberer Rand) (Duplexlücke)                  -18 dBm                 5 MHz



       Tabelle 6:
       Anforderungen (Frequenzblock-Entkopplungsmaske für Außerblockaussendungen der Teil-
       nehmerstationen) unterhalb 694 MHz zum Schutz des digitalen Fernsehrundfunks, bezogen
       auf die am jeweils betrachteten Ort zur Realisierung eines Versorgungsbedarfs für terrestri-
       schen Fernsehrundfunk tatsächlich betriebenen Rundfunkkanäle unterhalb 694 MHz:

                                                                      Maximale mittlere         bezogen auf
                           Frequenzbereich                            zulässige äquiva-
                                                                        lente isotrope
                                                                     Strahlungsleistung
                                                                          (EIRPmax)
                        470 - 694 MHz, generell                            -42 dBm                  8 MHz
                    470 - 694 MHz, portable-indoor                          -57 dBm                 8 MHz



       4. Frequenzkoordinierung für Funkstellen im Grenzgebiet der Bundesrepublik
          Deutschland

       In den Grenzgebieten und einigen weiteren geografischen Gebieten der Bundesrepublik
       Deutschland stehen Frequenzen für den drahtlosen Netzzugang zum Angebot von Tele-
       kommunikationsdiensten aufgrund der Notwendigkeit der Frequenzkoordinierung mit den
       Nachbarländern nur eingeschränkt zur Verfügung.

       Einschränkungen werden hinsichtlich Frequenz und Umfang von Gebiet zu Gebiet unter-
       schiedlich sein, je nachdem, ob zwei, drei oder unter Umständen vier Länder in die Koordi-
       nierung einzubeziehen sind. Außerdem werden die Einschränkungen noch von den an den
       Grenzen sich gegenüberstehenden Funkanwendungen und Übertragungsverfahren abhän-
       gen.

       Die erforderliche Koordinierung erfolgt auf der Grundlage der von der Bundesrepublik
       Deutschland mit ihren Nachbarländern abgeschlossenen Verträgen und Vereinbarungen.

       Die endgültigen Verfahren hinsichtlich der Grenzkoordinierung zwischen Nutzungen des
       drahtlosen Netzzugangs zum Angebot von Telekommunikationsdiensten (5-MHz-Blöcke)
       und dem Fernsehrundfunk (8-MHz-Kanäle) innerhalb des Frequenzbereichs 694 - 790 MHz
       werden unter Berücksichtigung des Abkommens Genf-2006 (GE-06) bi- und multilateral fest-
       gelegt werden.

                                                           6




                                                                                                          Bonn, 11. Februar 2015
252

Amtsblatt der Bundesnetzagentur
                                     für Elektrizität, Gas, Telekommunikation, Post und Eisenbahnen
  3 2015                        – Mitteilungen, Telekommunikation, Teil A, Mitteilungen der Bundesnetzagentur –   1013


         Die Bestimmung 5.312 der Vollzugsordnung für den Funkdienst (VO Funk bzw. „Radio Re-
         gulations“ der Internationalen Fernmeldeunion (ITU), Ausgabe 2012) weist das Frequenz-
         band 645 - 862 MHz für die in dieser Bestimmung genannten Länder zusätzlich dem Flugna-
         vigationsfunkdienst mit primärem Status zu. Die endgültigen Festlegungen zur Grenzkoordi-
         nierung zwischen dem drahtlosen Netzzugang zum Angebot von Telekommunikationsdiens-
         ten und Anwendungen des Flugnavigationsfunkdienstes werden ebenfalls unter Berücksich-
         tigung des Abkommens Genf-2006 (GE-06) bi- und multilateral festgelegt werden.


         5. Frequenzkoordinierung innerhalb der Bundesrepublik Deutschland

         Bei der Festlegung der standortspezifischen Parametern der Basisstationen sind sowohl be-
         nachbarte Netze des drahtlosen Netzzugangs zum Angebot von Telekommunikationsdiens-
         ten innerhalb des Frequenzbereichs 703 - 788 MHz als auch die Fernsehrundfunknutzungen
         unterhalb 694 MHz zu berücksichtigen.


         6. Schutz von Funkmessstationen des Prüf– und Messdienstes der Bundesnetzagen-
            tur

         Die Festlegung der standortbezogenen funktechnischen Parameter bei der Frequenzzutei-
         lung erfolgt unter Zugrundelegung folgender Punkte (Schutzkonzept2). Das Schutzkonzept
         bezieht sich auf den Schutz der Empfangsanlagen der Bundesnetzagentur vor Desensibili-
         sierungs- und Übersteuerungseffekten:
             1. Zum Schutz der in Deutschland betriebenen und geplanten Empfangsfunkanlagen
                 des Prüf- und Messdienstes (PMD) der Bundesnetzagentur darf an deren Standorten
                 die durch Aussendungen im Frequenzbereich 9 kHz bis 790 MHz hervorgerufene
                 Feldstärke einen Wert von max. 80 dBµV/m nicht überschreiten.
               2. Dies gilt insbesondere auch für die Antennenstandorte des PMD, die durch die Fre-
                  quenznutzer gemeinsam mit dem PMD genutzt werden sollen.


         Die in der Amtsblattmitteilung Nr. 613/2012 festgeschriebene Stufe des Grenzwerts zum
         Schutz der Funkmessstationen bei 790 MHz basiert auf den Frequenzbereichen, die bisher
         durch den öffentlichen Mobilfunk genutzt wurden. Da durch das geplante Verfahren zur Fre-
         quenzvergabe dieser Frequenzbereich für den Mobilfunk erweitert wird, ist es geboten, auch
         diese Stufe anzupassen. Die Bundesnetzagentur beabsichtigt diesbezüglich noch in diesem
         Jahr den Feldstärkegrenzwert zum Schutz der Funkmessstationen im Rahmen einer Amts-
         blattverfügung auch für den Frequenzbereich von 694 MHz bis 790 MHz auf 90 dBμV/m
         festzusetzen.




         2
             Mitteilung Nr. 613/2012, Amtsblatt der Bundesnetzagentur 17/2012, Seite 3161
                                                               7




Bonn, 11. Februar 2015
253

Amtsblatt der Bundesnetzagentur
                            für Elektrizität, Gas, Telekommunikation, Post und Eisenbahnen
1014                   – Mitteilungen, Telekommunikation, Teil A, Mitteilungen der Bundesnetzagentur –        3 2015


       Anlage 4 – Frequenznutzungsbestimmungen zum Frequenzbereich 1,5 GHz
       Die Nutzungsbestimmungen dieser Anlage haben die Aufgabe, die störungsfreie Koexistenz
       unterschiedlicher Anwendungen in dem unten aufgeführten und den dazu benachbarten
       Frequenzbereichen sicherzustellen. Grundsätzlich müssen dabei zur Sicherstellung der stö-
       rungsfreien Koexistenz die in dieser Anlage beigefügten Spektrums- bzw. Frequenzblock-
       Entkopplungsmasken eingehalten werden. Diese basieren auf breitbandigen Funkanwen-
       dungen, die gegenwärtig im Zusammenhang mit diesen Frequenzbändern in der Diskussion
       stehen. Sofern Funkanwendungen mit kleinerer Kanalbandbreite zum Einsatz kommen, kön-
       nen Abweichungen davon erforderlich werden. Weiterhin können die unten aufgeführten Re-
       gelungen durch abweichende Vereinbarungen zwischen den verschiedenen betroffenen
       Frequenznutzern für die Laufzeit dieser Betreiberabsprachen geändert werden. Bei Verein-
       barungen, die von den im Rahmen der Grenzkoordinierung getroffenen Regelungen abwei-
       chen, müssen diese durch die zuständigen Regulierungsbehörden genehmigt werden.

       1.    Frequenzbereiche
       Innerhalb des Frequenzbereichs 1452 MHz bis 1492 MHz ist für den drahtlosen Netzzugang
       zum Angebot von Telekommunikationsdiensten das gesamte Spektrum verfügbar, d.h. 1 x
       40 MHz bzw. 8 Blöcke à 5 MHz ungepaart (SDL).
       Bei diesem Frequenzbereich handelt es sich um zusätzliches Downlink Spektrum (SDL) für
       den drahtlosen Netzzugang, das zusammen mit gepaartem (FDD) oder ungepaartem (TDD)
       Spektrum des drahtlosen Netzzugangs zur Erweiterung der Kapazität im Downlink genutzt
       werden kann. Eine Nutzung ohne zusätzliches Spektrum des drahtlosen Netzzugangs, das
       auch einen Uplink bietet, ist nicht möglich.

       Für die Nutzung dieser Frequenzen für den drahtlosen Netzzugang zum Angebot von Tele-
       kommunikationsdiensten werden die im Folgenden aufgeführten und im beigefügten Kanal-
       plan niedergelegten Bestimmungen zugrunde gelegt. Der Kanalplan befindet sich in Über-
       einstimmung mit der relevanten ECC-Entscheidung (13)03. Weiterhin berücksichtigen die im
       Folgenden beschriebenen Frequenznutzungsbestimmungen auch den CEPT Berichts 54
       „Report from CEPT to the European Commission in response to the Mandate „To develop
       harmonised technical conditions in the 1452-1492 MHz frequency band for wireless broad-
       band electronic communications services in the EU”“.

       Durch die endgültige Annahme der ECC-Arbeitsergebnisse im November 2014 besteht eine
       stabile Beschlusslage, dennoch können z. B. durch den zu erwartenden Durchführungsbe-
       schluss der Kommission nachträgliche Detailanpassungen bei den im Folgenden beschrie-
       benen Frequenznutzungsbestimmungen erforderlich werden.

       Darüber hinaus können lokal oder regional zusätzliche Maßnahmen erforderlich werden, die
       aus der notwendigen Koordinierung mit benachbarten Funkdiensten oder der Grenzkoordi-
       nierung entstehen (siehe Nr. 4 unten). Diese zusätzlichen Maßnahmen werden vor allem bei
       der standortspezifischen Festlegung der frequenztechnischen Parameter der konkreten Ba-
       sisstationen des drahtlosen Netzzugangs zum Angebot von Telekommunikationsdiensten zu
       berücksichtigen sein.

       Die Verwendung von unterschiedlichen Funksystemen und Zugriffsverfahren ist möglich,
       sofern der Kanalplan und die zugehörigen Frequenznutzungsbedingungen eingehalten wer-
       den.




                                                          1




                                                                                                         Bonn, 11. Februar 2015
254

Amtsblatt der Bundesnetzagentur
                                   für Elektrizität, Gas, Telekommunikation, Post und Eisenbahnen
  3 2015                      – Mitteilungen, Telekommunikation, Teil A, Mitteilungen der Bundesnetzagentur –   1015


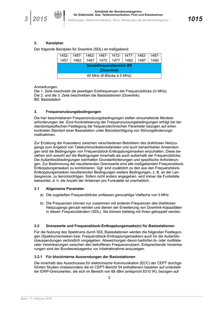
         2.       Kanalplan
         Der folgende Bandplan für Downlink (SDL) ist maßgebend:
                          1452-    1457- 1462- 1467- 1472- 1477- 1482- 1487-
                          1457     1462 1467 1472 1477 1482 1487 1492
                                          Sendefrequenzbereich BS
                                                 (Downlink)
                                          40 MHz (8 Blöcke à 5 MHz)


         Anmerkungen:
         Die 1. Zeile beschreibt die jeweiligen Eckfrequenzen der Frequenzblöcke (in MHz).
         Die 2. und die 3. Zeile beschreiben die Basisstationen (Downlink).
         BS: Basisstation


         3.       Frequenznutzungsbedingungen
         Die hier beschriebenen Frequenznutzungsbedingungen stellen einzuhaltende Mindest-
         anforderungen dar. Eine Konkretisierung der Frequenznutzungsbedingungen erfolgt bei der
         standortspezifischen Festlegung der frequenztechnischen Parameter bezogen auf einen
         konkreten Standort einer Basisstation unter Berücksichtigung von Störungslinderungs-
         maßnahmen.

         Zur Erzielung der Koexistenz zwischen verschiedenen Betreibern des drahtlosen Netzzu-
         gangs zum Angebot von Telekommunikationsdiensten und auch benachbarter Anwendun-
         gen sind die Bedingungen von Frequenzblock-Entkopplungsmasken einzuhalten. Diese be-
         ziehen sich sowohl auf die Bedingungen innerhalb als auch außerhalb der Frequenzblöcke.
         Die Außerblockbedingungen beinhalten Grundanforderungen und spezifische Anforderun-
         gen. Zur Bestimmung der resultierenden Grenzwerte sind alle maßgebenden Frequenzblock-
         Entkopplungsmasken zu kombinieren. Ggf. sind zusätzlich zu den aus den Frequenzblock-
         Entkopplungsmasken resultierenden Bedingungen weitere Bedingungen, z. B. an der Lan-
         desgrenze, zu berücksichtigen. Sofern nicht anders angegeben, wird immer die Funkstelle
         betrachtet, d. h. die Anzahl der Antennen pro Funkstelle ist unerheblich.

         3.1      Allgemeine Parameter
               a) Die zugeteilten Frequenzblöcke umfassen ganzzahlige Vielfache von 5 MHz.

               b) Die Frequenzen können nur zusammen mit anderen Frequenzen des drahtlosen
                  Netzzugangs genutzt werden und dienen der Erweiterung von Downlink-Kapazitäten
                  in diesen Frequenzbändern (SDL). Sie können beliebig mit ihnen gekoppelt werden.


         3.2      Grenzwerte und Frequenzblock-Entkopplungsmaske(n) für Basisstationen
         Für die Nutzung des Spektrums durch SDL Basisstationen werden die folgenden Festlegun-
         gen (Spektrumsmasken bzw. Frequenzblock-Entkopplungsmasken) auch für die Außerblo-
         ckaussendungen verbindlich vorgegeben. Abweichungen davon bedürfen bi- oder multilate-
         raler Vereinbarungen zwischen den betroffenen Frequenznutzern. Entsprechende Vereinba-
         rungen sind der Bundesnetzagentur vor Inbetriebnahme anzuzeigen.

         3.2.1 Für blockinterne Aussendungen der Basisstationen
         Die innerhalb des Ausschusses für elektronische Kommunikation (ECC) der CEPT durchge-
         führten Studien (insbesondere die im CEPT-Bericht 54 enthaltenen) basieren auf unterstell-
         ten EIRP-Grenzwerten, die sich im Bereich von 68 dBm (entspricht 6310 W), bezogen auf
                                                             2




Bonn, 11. Februar 2015
255

Amtsblatt der Bundesnetzagentur
                             für Elektrizität, Gas, Telekommunikation, Post und Eisenbahnen
1016                    – Mitteilungen, Telekommunikation, Teil A, Mitteilungen der Bundesnetzagentur –        3 2015


       5 MHz breite Frequenzblöcke, bewegen. Die Festlegung des Strahlungsleistungsgrenzwer-
       tes (EIRP) erfolgt für eine konkrete Basisstation unter Berücksichtigung standortspezifischer
       Aspekte, die z. B. aus der notwendigen Koordinierung mit anderen Funkstellen, ggf. auch im
       benachbarten Ausland, entstehen können. Daher können für bestimmte Fälle auch höhere
       EIRP-Grenzwerte als oben angegeben zulässig sein.


       3.2.2 Für Außerblockaussendungen der Basisstationen
       Die Tabellen 1 und 2 beschreiben die Anforderungen für die Außerblockaussendungen für
       die Basisstationen des drahtlosen Netzzugangs zum Angebot von Telekommunikations-
       diensten.


       Tabelle 1:
       Grundanforderungen (Frequenzblock-Entkopplungsmaske für Außerblockaussendungen der
       Basisstationen), bezogen auf die Antenne

                                                                      Maximale mittlere
                              Versatz                                 zulässige äquiva-         bezogen auf
                vom Rande des betroffenen Blocks                        lente isotrope
           (bezogen auf unteren/oberen Rand des Blocks)              Strahlungsleistung
                                                                          (EIRPmax)
                  –10 bis –5 MHz (unterer Blockrand)                        11 dBm                 5 MHz
                   –5 bis 0 MHz (unterer Blockrand)                        16.3 dBm                5 MHz
                    0 bis +5 MHz (oberer Blockrand)                        16.3 dBm                5 MHz
                  +5 bis +10 MHz (oberer Blockrand)                         11 dBm                 5 MHz
           Verbleibende SDL Frequenzen des drahtlosen Netz-                 9 dBm                  5 MHz
                               zugangs

       Tabelle 2:
       Grundanforderungen (Frequenzblock-Entkopplungsmaske für Außerblockaussendungen der
       Basisstationen) außerhalb des Bandes 1452-1492 MHz

                                                                     Maximale mittlere
                          Frequenzbereich                            zulässige äquiva-         bezogen auf
                                                                       lente isotrope
                                                                    Strahlungsleistung
                                                                         (EIRPmax)
                         Unterhalb 1440 MHz                               -38,5 dBm                1 MHz
                           1440 - 1449 MHz                                 -20 dBm                 1 MHz
                           1449-1452 MHz                                   14 dBm                  3 MHz
                           1492-1495 MHz                                   14 dBm                  3 MHz
                           1495 – 1504 MHz                                 -20 dBm                 1 MHz
                         Oberhalb 1504 MHz                                   -38,5 dBm             1 MHz



       4      Frequenzkoordinierung für Funkstellen im Grenzgebiet der Bundesrepublik
              Deutschland
       In den Grenzgebieten und einigen weiteren geografischen Gebieten der Bundesrepublik
       Deutschland stehen Frequenzen für den drahtlosen Netzzugang zum Angebot von Tele-
       kommunikationsdiensten aufgrund der Notwendigkeit der Frequenzkoordinierung mit den
       Nachbarländern nur eingeschränkt zur Verfügung.

                                                           3




                                                                                                          Bonn, 11. Februar 2015
256

Zur nächsten Seite