abl-14

Dieses Dokument ist Teil der Anfrage „Amtsblätter bis 2018

/ 228
PDF herunterladen
Amtsblatt der Bundesnetzagentur
       für Elektrizität, Gas, Telekommunikation, Post und Eisenbahnen
2170   – Mitteilungen, Energie, Teil A, Mitteilungen der Bundesnetzagentur –    14 2014




                                                                               Bonn, 6. August 2014
70

Amtsblatt der Bundesnetzagentur
                       für Elektrizität, Gas, Telekommunikation, Post und Eisenbahnen
14 2014                – Mitteilungen, Energie, Teil A, Mitteilungen der Bundesnetzagentur –   2171




Bonn, 6. August 2014
71

Amtsblatt der Bundesnetzagentur
       für Elektrizität, Gas, Telekommunikation, Post und Eisenbahnen
2172   – Mitteilungen, Energie, Teil A, Mitteilungen der Bundesnetzagentur –    14 2014




                                                                               Bonn, 6. August 2014
72

Amtsblatt der Bundesnetzagentur
                       für Elektrizität, Gas, Telekommunikation, Post und Eisenbahnen
14 2014                – Mitteilungen, Energie, Teil A, Mitteilungen der Bundesnetzagentur –   2173




Bonn, 6. August 2014
73

Amtsblatt der Bundesnetzagentur
       für Elektrizität, Gas, Telekommunikation, Post und Eisenbahnen
2174   – Mitteilungen, Energie, Teil A, Mitteilungen der Bundesnetzagentur –    14 2014




                                                                               Bonn, 6. August 2014
74

Amtsblatt der Bundesnetzagentur
                       für Elektrizität, Gas, Telekommunikation, Post und Eisenbahnen
14 2014                – Mitteilungen, Energie, Teil A, Mitteilungen der Bundesnetzagentur –   2175




Bonn, 6. August 2014
75

Amtsblatt der Bundesnetzagentur
       für Elektrizität, Gas, Telekommunikation, Post und Eisenbahnen
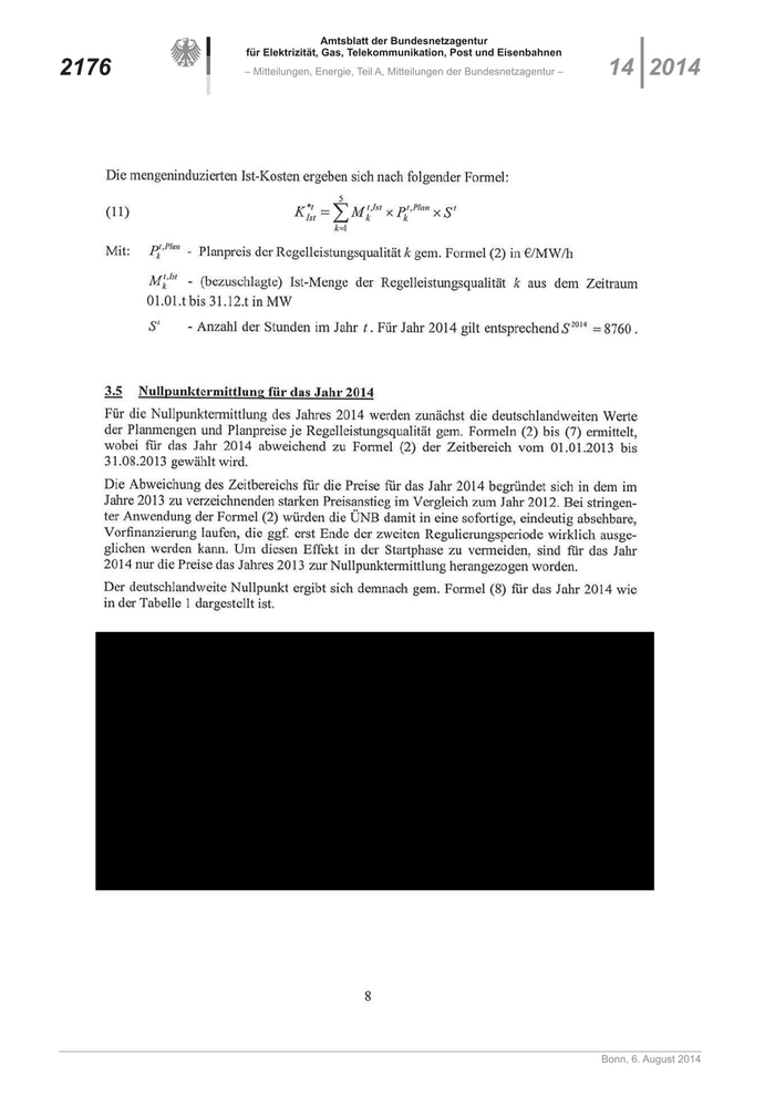
2176   – Mitteilungen, Energie, Teil A, Mitteilungen der Bundesnetzagentur –    14 2014




                                                                               Bonn, 6. August 2014
76

Amtsblatt der Bundesnetzagentur
                       für Elektrizität, Gas, Telekommunikation, Post und Eisenbahnen
14 2014                – Mitteilungen, Energie, Teil A, Mitteilungen der Bundesnetzagentur –   2177




Bonn, 6. August 2014
77

Amtsblatt der Bundesnetzagentur
       für Elektrizität, Gas, Telekommunikation, Post und Eisenbahnen
2178   – Mitteilungen, Energie, Teil A, Mitteilungen der Bundesnetzagentur –    14 2014




                                                                               Bonn, 6. August 2014
78

Amtsblatt der Bundesnetzagentur
                       für Elektrizität, Gas, Telekommunikation, Post und Eisenbahnen
14 2014                – Mitteilungen, Energie, Teil A, Mitteilungen der Bundesnetzagentur –   2179




Bonn, 6. August 2014
79

Zur nächsten Seite