abl-16

Dieses Dokument ist Teil der Anfrage „Amtsblätter bis 2018

/ 320
PDF herunterladen
Amtsblatt der Bundesnetzagentur
                                     für Elektrizität, Gas, Telekommunikation, Post und Eisenbahnen
16 2014                                      – Mitteilungen, Qualifizierte elektronische Signatur,           2591
                                                Teil A, Mitteilungen der Bundesnetzagentur –




        Herausgeber                    Bezeichnung                                  Bestätigung
                          Signaturerstellungseinheit                      SRC.
                          TCOS 3.0 Signature Card,                        00016.TE.11.2012
                          Version 2.0 Release 1/SLE78CLX1440P
                          Hersteller:
                          T-Systems Enterprise Services GmbH
        A-TRUST           Signaturerstellungseinheit                      T-Systems.02166.TE.07.2008
                          ACOS EMV-A04V1
                          Hersteller:
                          Austria Card Plastikkarten und
                          Ausweissysteme GmbH
       Tabelle 3 Zusätzliche bestätigte Produkte – Signaturkarten


          Hersteller                   Bezeichnung                                  Bestätigung
        Cherry GmbH Chipkartenterminal                                    BSI.02048.TE.12.2004
                    Familie SmartBoard xx44
                    Firmware Version 1.04
        ZF                Chipkartenterminal                              BSI.02095.TE.10.2007
        Electronics       Familie SmartTerminal ST-2xxx
        GmbH              Firmware Version 5.11
                          Chipkartenterminal                              BSI.02124.TE.09.2010
                          Familie SmartTerminal ST-2xxx
                          Firmware Version 6.01
        Fujitsu           Chipkartenterminal                              BSI.02107.TE.03.2010
                          Familie SmartCase KB SCR eSIG                   Nachtrag 1 04.02.2011
                          (S26381-K529-Vxxx)
                          Hardware Version HOS:01
                          Firmware Version 1.20
        KOBIL             Chipkartenterminal                              BSI.02050.TE.12.2006
        Systems           KAAN Advanced                                   Nachtrag 1 07.04.2008
        GmbH              Firmware Version 1.19 und
                          Hardware Version 1.04R3
                          KAAN                                            T-Systems.02246.TE.10.2010
                          EMV-TriCAP Reader
                          (Artikel-Nr. HCPNCKS/A04,
                          Firmware-Version 82.23)
                          SecOVID Reader III
                          (Artikel-Nr. HCPNCKS/B07,
                          Firmware-Version 82.23)
                          TriB@nk
                          (Artikel-Nr. HCPNCKS/C08, Firmware-
                          Version 79.23)
        OMNIKEY           Chipkartenterminal                              BSI.02057.TE.12.2005
        GmbH              Familie CardMan Trust CM3621
                          Firmware Version 6.00
                          Chipkartenterminal
                          Familie CardMan Trust CM3821
                          Firmware Version 6.00




        Herstellererklärung zu Sign Live! CC 6.2, Version 1.0                              Seite 10 von 37


Bonn, 3. September 2014
207

Amtsblatt der Bundesnetzagentur
                                     für Elektrizität, Gas, Telekommunikation, Post und Eisenbahnen
2592                                           – Mitteilungen, Qualifizierte elektronische Signatur,                    16 2014
                                                  Teil A, Mitteilungen der Bundesnetzagentur –




       Hersteller                        Bezeichnung                                         Bestätigung
   REINER               Chipkartenterminal                                     TUVIT.93107.TU.11.2004
   Kartengeräte         cyberJack pin pad, Version 3.0
   GmbH & Co.
   KG
                        Chipkartenterminal                                     TUVIT.93155.TE.09.2008
                        cyberJack e-com, Version 3.0
                        Chipkartenterminal                                     TUVIT.93156.TE.09.2008
                        cyberJack e-com plus Version 3.0
                        Chipkartenterminal                                     TUVIT.93154.TE.09.2008
                        cyberJack secoder Version 3.0
                        Chipkartenterminal                                     TUVIT.93179.TU.12.2010
                        cyberJack RFID standard, Version 1.0                   Nachtrag 1 vom 11.05.2011
                        Nachtrag 1: Version 1.1
                        Chipkartenterminal                                     TUVIT.93187.TU.02.2011
                        cyberJack RFID komfort, Version 1.0
                        Chipkartenterminal                                     TUVIT.93188.TU.07.2011
                        cyberJack RFID standard, Version 1.2
                        Chipkartenterminal                                     TUVIT.93180.TU.12.2011
                        cyberJack RFID komfort, Version 2.0
   SCM          Chipkartenterminal                                             BSI.02080.TE.10.2006
   Microsystems SPR532
   GmbH         Firmware Version 5.10
                        Chipkartenterminal                                     BSI.02117.TE.02.2010
                        SPR332
                        Firmware Version 6.01
   Tabelle 4 Zusätzliche bestätigte Produkte - Kartenleser

   SIGNATURVERFAHREN SIGNIT SIGNTRUST CC
   Bei Verwendung des Signaturverfahrens signIT signtrust CC muss ein Signaturserver laut
   folgender Tabelle eingesetzt werden. Dieses Verfahren ist nur unter den genannten
   Windows Betriebssystemen einsetzbar.

                                                                                        Bestätigung/
         Hersteller                         Bezeichnung
                                                                                     Herstellererklärung
   secunet Security           Vertriebsname der Deutschen Post                 TUVIT.
   Networks AG                Com GmbH: „Signtrust NET“                        93178.TE.03.2011
                              (realisiert auf Basis von „Signtrust
   Betreiber:
                              Signaturserver, Version 4.1“)
   Deutsche Post
   Com GmbH
   Tabelle 5 Zusätzliche bestätigte/herstellererklärte Produkte – Signtrust Signaturserver




   Herstellererklärung zu Sign Live! CC 6.2, Version 1.0                                          Seite 11 von 37


                                                                                                                    Bonn, 3. September 2014
208

Amtsblatt der Bundesnetzagentur
                                      für Elektrizität, Gas, Telekommunikation, Post und Eisenbahnen
16 2014                                       – Mitteilungen, Qualifizierte elektronische Signatur,                     2593
                                                 Teil A, Mitteilungen der Bundesnetzagentur –




        3          Funktionsbeschreibung

        3.1        Überblick
                   Sign Live! CC 6.2 ist gemäß SigG eine Teil-Signaturanwendungskomponente. Das Produkt
                   deckt die durch § 17 Abs. 2 SigG in Verbindung mit § 15 Abs. 2 und 4 SigV geforderte
                   Funktionalität ab. Es ist in dieser Version nicht sicherheitsbestätigt, basiert jedoch auf dem
                   nach den Common Criteria zertifizierten und vom Bundesamt für Sicherheit in der
                   Informationstechnik sicherheitsbestätigten Produkt Sign Live! CC 3.2.3.
                   Das Produkt dient der Bearbeitung von elektronischen Dokumenten in verschiedenen
                   Formaten, wie z. B. PDF, Text, TIFF und XML, mit besonderem Fokus auf elektronischen
                   Signaturen. In diesem Kontext bietet es die folgenden Funktionen:
                   -      vertrauenswürdige Anzeige von Dokumenten im Format PDF, Text, TIFF und XML
                   -      Validierung von elektronischen Signaturen für ein einzelnes Dokument, einen
                          Dokumentstapel oder im Massenvalidierungsverfahren
                   -      Erzeugung von qualifizierten, elektronischen Signaturen für ein einzelnes Dokument,
                          einen Dokumentstapel oder im Massensignaturverfahren
                   Zur Erstellung einer qualifizierten Signatur ist eine sichere Signaturerstellungseinheit in
                   Form einer Signaturkarte erforderlich. Um den unterschiedlichen Durchsatzanforderungen
                   gerecht zu werden, bietet das Produkt folgende Signaturverfahren, die Signaturkarten in
                   unterschiedlicher Weise an das Produkt anbinden:
                   -      Signaturverfahren signIT smartcard CC: Signaturkarten werden über Standard
                          Kartenleser der Klasse II und III direkt an den Arbeitsplatzrechner angeschlossen.
                   -      Signaturverfahren signIT signtrust CC: Eine oder mehrere Signaturkarten werden über
                          den Signtrust Signaturserver der Deutschen Post per Internet angeschlossen.
                   Zusätzlich ermöglicht das Produkt, qualifizierte Zeitstempel über einen externen Zeit-
                   stempelserver eines Zeitstempeldienstanbieters anzufordern und zu validieren.
                   Das Produkt bietet weitere Signaturverfahren – z. B. auf Basis von Software-Zertifikaten
                   und biometrischen Informationen –, die jedoch nicht zur Erstellung von qualifizierten
                   elektronischen Signaturen geeignet sind.
                   Das Produkt ist gleichermaßen über die graphische Benutzeroberfläche wie auch per
                   Kommandozeile bedienbar.
                   Das Produkt ist konzipiert als Java Applikation. Es ist lauffähig auf den in Kapitel 5.1.1.2
                   aufgeführten Betriebssystemen. Das Produkt ist in einem geschützten Einsatzbereich4
                   einzusetzen.
                   Das Produkt ist in deutscher und englischer Sprache bedienbar.

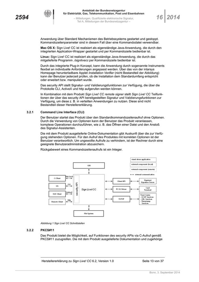
        3.2        Aufbau des Produktes
                   Abbildung 1 Sign Live! CC Schnittstellen gibt einen Überblick über den Aufbau des
                   Produktes und seine Schnittstellen.
                   Windows: Sign Live! CC ist realisiert als eigenständige Java-Anwendung, die durch den
                   integrierten Windows-Exe-Wrapper für den Benutzer wie eine Windows Anwendung per
                   Kommandozeile bedienbar ist. Durch einen weiteren Windows-Exe-Wrapper kann die
                   Anwendung auch als Windows-Dienst betrieben werden. In diesem Fall wird die




                   4
                    Definition gemäß dem von der Bundesnetzagentur veröffentlichten Dokument „Ein-
                   heitliche Spezifizierung der Einsatzbedingungen für Signaturanwendungskomponenten“
                   Version 1.5, Stand 11.11.2011 (http://www.bundesnetzagentur.de).




                       Herstellererklärung zu Sign Live! CC 6.2, Version 1.0                          Seite 12 von 37


Bonn, 3. September 2014
209

Amtsblatt der Bundesnetzagentur
                               für Elektrizität, Gas, Telekommunikation, Post und Eisenbahnen
2594                                     – Mitteilungen, Qualifizierte elektronische Signatur,            16 2014
                                            Teil A, Mitteilungen der Bundesnetzagentur –




           Anwendung über Standard Mechanismen des Betriebssystems gestartet und gestoppt.
           Kommandozeilenparameter sind in diesem Fall über eine Kommandodatei verwendbar.
           Mac OS X: Sign Live! CC ist realisiert als eigenständige Java-Anwendung, die durch den
           integrierten Application-Wrapper gestartet und per Kommandozeile bedienbar ist.
           Linux: Sign Live! CC ist realisiert als eigenständige Java-Anwendung, die durch das
           mitgelieferte Programm ./signlivecc per Kommandozeile bedienbar ist.
           Durch das integrierte Plug-in Konzept, kann die Anwendung durch sogenannte Instruments
           flexibel an individuelle Anforderungen angepasst werden. Über das von der intarsys
           Homepage herunterladbare Applet Installation Verifier (nicht Bestandteil der Abbildung)
           kann der Benutzer jederzeit prüfen, ob die Installation dem Standardumfang entspricht
           oder erweitert bzw. manipuliert wurde.
           Das security API stellt Signatur- und Validierungsfunktionen zur Verfügung, die über die
           Protokolle CLI, ActiveX und http aufgerufen werden können.
           In Kombination mit dem Produkt Sign Live! CC remote signer stellt Sign Live! CC Teilfunk-
           tionen der über das security API bereitgestellten Signatur und Validierungsfunktionen zur
           Verfügung, um diese z. B. in verteilten Anwendungen zu nutzen. Diese sind nicht
           Bestandteil dieser Herstellererklärung.

   3.2.1   Command Line Interface (CLI)
           Der Benutzer startet das Produkt über den Standardkommandozeilenaufruf ohne Optionen.
           Durch die Verwendung von Optionen kann der Benutzer das Produkt veranlassen,
           komplexe Operationen durchzuführen, wie z. B. das Öffnen einer Datei und den Anstoß
           des Signatur-Assistenten.
           Die mit dem Produkt ausgelieferte Online-Dokumentation gibt Auskunft über die zur Verfü-
           gung stehenden Optionen. Für den Aufruf des Produktes mit korrekten Optionen ist der
           Benutzer verantwortlich. Um ungewollte Aufrufe zu verhindern, ist der Rechner durch eine
           geeignete Benutzeradministration abzusichern.
           Rückgabewert eines Kommandozeilenaufrufs ist ein Integer.




           Abbildung 1 Sign Live! CC Schnittstellen

   3.2.2   PKCS#11
           Das Produkt bietet die Möglichkeit, auf Funktionen des security APIs via C-Aufruf gemäß
           PKCS#11 zuzugreifen. Die mit dem Produkt ausgelieferte Dokumentation und zugehörige




           Herstellererklärung zu Sign Live! CC 6.2, Version 1.0                                 Seite 13 von 37


                                                                                                      Bonn, 3. September 2014
210

Amtsblatt der Bundesnetzagentur
                                   für Elektrizität, Gas, Telekommunikation, Post und Eisenbahnen
16 2014                                    – Mitteilungen, Qualifizierte elektronische Signatur,                     2595
                                              Teil A, Mitteilungen der Bundesnetzagentur –




                   Beispiele geben Auskunft über die zur Verfügung stehenden Funktionen. Für den Aufruf
                   des Produktes mit korrekten Optionen ist der Benutzer verantwortlich. Um ungewollte
                   Aufrufe zu verhindern, ist der Rechner durch eine geeignete Benutzeradministration
                   abzusichern.

        3.2.3      ActiveX
                   Das Produkt bietet die Möglichkeit, auf Funktionen des security APIs via ActiveX
                   zuzugreifen. Die mit dem Produkt ausgelieferte Dokumentation und zugehörige Beispiele
                   geben Auskunft über die zur Verfügung stehenden Funktionen. Für den Aufruf des
                   Produktes mit korrekten Optionen ist der Benutzer verantwortlich. Um ungewollte Aufrufe
                   zu verhindern, ist der Rechner durch eine geeignete Benutzeradministration abzusichern.

        3.2.4      http
                   Das Produkt bietet die Möglichkeit, auf Funktionen des security APIs via http zuzugreifen.
                   Die mit dem Produkt ausgelieferte Dokumentation und zugehörige Beispiele geben
                   Auskunft über die zur Verfügung stehenden Funktionen. Für den Aufruf des Produktes mit
                   korrekten Optionen ist der Benutzer verantwortlich. Um ungewollte Aufrufe zu verhindern,
                   ist der Rechner durch eine Firewall und geeignete Benutzeradministration abzusichern.

        3.2.5      Graphical User Interface (GUI)
                   Das Produkt ist standardmäßig über seine graphische Benutzeroberfläche zu bedienen,
                   die über die Graphikbibliotheken des Betriebssystems dargestellt wird. Über die Komman-
                   dozeile kann das Produkt dazu veranlasst werden, ohne graphische Oberfläche zu arbei-
                   ten.

        3.2.6      File System
                   Zu verarbeitende Quelldateien liest das Produkt vom Dateisystem. Ergebnisdateien stellt
                   das Produkt über das Dateisystem des Betriebssystems zur Verfügung. Um Manipula-
                   tionen der Dateien während der Bearbeitung vorzubeugen, werden Dateien vollständig in
                   den Speicher geladen.

        3.2.7      PC/SC Driver
                   Das Produkt kommuniziert mit Kartenlesern/Signaturkarten über den PC/SC-Treiber des
                   Betriebssystems. Das Produkt stellt sicher, dass eine Verbindung zu einer Signaturkarte
                   exklusiv ist.

        3.2.8      TCP/IP
                   Das Produkt kommuniziert mit externen Diensten (OCSP-, CRL-, Timestamp-Services)
                   über die TCP/IP-Dienste des Betriebssystems. Das Verfahren ist sicher, da die erwarteten
                   Ergebnisse signiert sind und die Signatur vom Produkt geprüft wird.

        3.2.9      Client API
                   Sign Live! CC installiert und verwendet die zu der Signaturanwendungskomponente
                   Signtrust Signaturserver gehörige Client API zur abgesicherten Kommunikation mit dem
                   Signaturserver. Die Kommunikation zwischen Sign Live! CC und dem Client API erfolgt
                   durch programminternen Aufruf. Das Client API selbst gewährleistet die sichere
                   Übertragung der Daten. Zusätzlich sichert Sign Live! CC die Sicherheit der Übertragung,
                   indem der übergebene Hashwert mit dem empfangenen, signierten Hashwert verprobt
                   wird. Im Szenario mit Sign Live! CC übernimmt der Signaturserver die Rolle eines
                   Kartenlesers.




                   Herstellererklärung zu Sign Live! CC 6.2, Version 1.0                           Seite 14 von 37


Bonn, 3. September 2014
211

Amtsblatt der Bundesnetzagentur
                                für Elektrizität, Gas, Telekommunikation, Post und Eisenbahnen
2596                                    – Mitteilungen, Qualifizierte elektronische Signatur,            16 2014
                                           Teil A, Mitteilungen der Bundesnetzagentur –




   3.3       Sicherheitsfunktionen im Detail
             Im Folgenden werden die Sicherheitsfunktionen des Produktes detailliert erläutert. Die
             Erfüllung von SigG/SigV durch die Sicherheitsfunktionen ist in Kapitel 4 dargestellt.

   3.3.1     Einzeldokument vertrauenswürdig anzeigen
             Das Produkt bietet mit dem Trusted Viewer die Möglichkeit, Dokumente der Typen PDF,
             Text, TIFF, XML vertrauenswürdig und eindeutig anzuzeigen. XML Dateien werden ohne
             Umformung als Text dargestellt. Andere Dokumenttypen weist der Trusted Viewer als nicht
             darstellbar ab.
             Der Trusted Viewer erlaubt zusätzlich die Analyse der angezeigten Dokumente. Er weist
             auf unbekannte, aktive und versteckte Inhalte hin.

   3.3.2     Dokumentstapel vertrauenswürdig bearbeiten
             Das Produkt bietet über die integrierte Stapelverarbeitung die Möglichkeit, Dokumente zu
             einem Stapel zusammenzustellen, so dass Manipulationen an der Zusammenstellung des
             Stapels oder einzelner Dokumente, die während der Verarbeitung stattfinden, für den
             Benutzer erkennbar sind. Die Anwendung verarbeitet genau die Dokumente des Stapels.
             Somit ist die Begrenzung des Stapels hinsichtlich der Anzahl der Dokumente erfüllt.
             Zusätzlich besteht die Möglichkeit, jedes Dokument des Stapels über den Trusted Viewer
             vor Verarbeitung zu inspizieren. Wenn der Benutzer dies nicht tut, ist er dazu angehalten,
             nur Dokumente zu verarbeiten, die den gleichen Zweck haben (z. B. elektronischer
             Rechnungsversand).
             Der Ablauf der Signaturerstellung verhält sich wie unter 3.3.3 beschrieben.

   3.3.3     Signatur erstellen

   3.3.3.1   Signaturverfahren signIT smartcard CC
             Das Produkt bietet die Möglichkeit Einzel- und Stapelsignaturen mit Signaturkarten zu
             erstellen, die über einen direkt am Arbeitsplatzrechner angeschlossenen Kartenleser
             kontaktiert werden.
             Vor Beginn des Signaturprozesses weist das Produkt den Benutzer eindeutig darauf hin,
             dass er im Begriff ist, eine qualifizierte Signatur zu erstellen. Das Produkt macht kenntlich,
             mit welcher Identität der Benutzer signiert und welche Daten er signiert.
             Das Produkt ist zum Auslieferzeitpunkt so vorkonfiguriert, dass gültige Algorithmen zur
             Erstellung einer QES verwendet werden. Sollte dennoch – z. B. durch Umkonfigurieren des
             Benutzers – ein nicht mehr gültiger Algorithmus ausgewählt sein, weist das Produkt den
             Benutzer darauf hin.
             Die Anwendung kann folgende Signaturtypen erstellen:
             -      CAdES-BES, CAdES-EPES
             -      PAdES basic, PAdES-BES, PAdES-EPES
             -      XAdES (XMLDSig 1.0 mit RFC 4050 oder XMLDSig 1.1)
             Die Erstellung der Signatur ist über die PIN Eingabe auf einem von der Bundesnetzagentur
             zugelassenen Klasse II oder Klasse III Leser zu autorisieren.
             Bei der Erzeugung einer qualifizierten elektronischen Signatur ist die Verwendung dieser
             Leser sowie die Eingabe der PIN über die Tastatureinheit der Leser zwingend erforderlich.
             Die Anwendung hat keine Kenntnis der PIN und speichert diese nicht für eine spätere
             Verwendung zwischen.




                 Herstellererklärung zu Sign Live! CC 6.2, Version 1.0                          Seite 15 von 37


                                                                                                     Bonn, 3. September 2014
212

Amtsblatt der Bundesnetzagentur
                                       für Elektrizität, Gas, Telekommunikation, Post und Eisenbahnen
16 2014                                        – Mitteilungen, Qualifizierte elektronische Signatur,                     2597
                                                  Teil A, Mitteilungen der Bundesnetzagentur –




                   Der Benutzer hat die Möglichkeit, die PIN auch über die Anwendung anzugeben, wird
                   jedoch ausdrücklich darauf hingewiesen, dass dieses Vorgehen auf Grund der Sicherheits-
                   risiken nicht für die Erstellung einer qualifizierten Signatur geeignet ist.
                   Um sicherzustellen, dass die SSEE die übergebenen Daten korrekt signiert hat, werden die
                   signierten Daten entschlüsselt und der resultierende Hashwert mit dem zur Signatur
                   übergebenen Hashwert verifiziert. Stellt das Produkt einen Fehler fest, wird der Benutzer
                   mit einer Fehlermeldung per Oberfläche oder per Log in Kenntnis gesetzt.

        3.3.3.2    Signaturverfahren signIT signtrust CC
                   Im Unterschied zum Verfahren signIT smartcard CC werden beim Verfahren signIT
                   signtrust CC eine oder mehrere Signaturkarten über den Signtrust Signaturserver der
                   Deutschen Post per Internet angeschlossen. Die Signaturkarte(n) wird/werden auf dem
                   Server durch PIN-Eingabe des Karteninhabers freigeschaltet.
                   Am Arbeitsplatz prüft der Bearbeiter das oder die zu signierenden Dokumente und löst die
                   Signatur durch die Eingabe von Zugangskennung/Kennwort aus. Der Signaturauslösende
                   ist meistens nicht der Karteninhaber. Aus diesem Grund können nur zuvor vereinbarte,
                   gleichartige Dokumente als Auftragsleistung signiert werden.
                   Um sicherzustellen, dass die SSEE die übergebenen Daten korrekt signiert hat und die
                   Übertragung nicht manipuliert wurde, werden die signierten Daten entschlüsselt und der
                   resultierende Hashwert mit dem zur Signatur übergebenen Hashwert verifiziert. Stellt das
                   Produkt einen Fehler fest, wird der Benutzer mit einer Fehlermeldung per Oberfläche oder
                   per Log in Kenntnis gesetzt.
                   Die Kommunikation zwischen Client und Server sichert die Client-Komponente des
                   Signaturservers (Client-API) durch SSL und bereits zum Herstellzeitpunkt auf Client und
                   Server verteilte Zertifikate (RSA-4096) ab. Das Produkt berücksichtigt sowohl die Client-
                   Komponente als auch das Zertifikat in seiner Integritätsprüfung.

        3.3.4      Zeitstempel erstellen
                   Das Produkt bietet die Möglichkeit, einen qualifizierten Zeitstempel gemäß § 2 Nr. 14 SigG
                   eines Zertifizierungsdiensteanbieters anzufordern, zu prüfen und in eine QES zu
                   integrieren. Dazu übermittelt das Produkt zunächst den Hashwert der erstellten Signatur
                   per Time-Stamp Protocol (TSP gemäß RFC 3161) an den ZDA. Anschließend prüft das
                   Produkt die zurückgegebene, signierte Struktur hinsichtlich
                   -      mathematischer Korrektheit,
                   -      Übereinstimmung des gesendeten mit empfangenem Hashwert,
                   -      Eignung des signierenden Zertifikats für die Zeitstempelerstellung und
                   -      Gültigkeit der in der Zertifikatskette enthaltenen Zertifikate
                   Wenn die Struktur korrekt ist, wird sie in die QES integriert, andernfalls weist das Produkt
                   den Benutzer mit einer Fehlermeldung auf die Situation hin.
                   Zusätzlich bietet das Produkt die Möglichkeit, die Zeitstempelinformation des ZDAs als
                   separate Datei abzulegen.

        3.3.5      Signatur validieren
                   Das Produkt bietet die Möglichkeit, Dokumente in Einzel- und Stapelverarbeitung zu
                   validieren. Das Validierungsergebnis wird bei Einzelverarbeitung mit Hilfe der graphischen
                   Benutzeroberfläche angezeigt. Optional kann ein Validierungsprotokoll als Dokument
                   separat erstellt oder (nur bei PDF) an das validierte Dokument angehangen werden. Bei
                   der Stapelverarbeitung wird das Validierungsergebnis als Sammelprotokoll dargestellt.
                   Auch hier kann optional je Dokument zusätzlich ein Validierungsprotokoll erstellt werden.
                   Die Anwendung untersucht im Rahmen der Prüfung die folgenden Fragen:




                       Herstellererklärung zu Sign Live! CC 6.2, Version 1.0                           Seite 16 von 37


Bonn, 3. September 2014
213

Amtsblatt der Bundesnetzagentur
                                für Elektrizität, Gas, Telekommunikation, Post und Eisenbahnen
2598                                    – Mitteilungen, Qualifizierte elektronische Signatur,            16 2014
                                           Teil A, Mitteilungen der Bundesnetzagentur –




             -      Wurden die signierten Daten seit dem Anbringen der Signatur verändert?
                    (Integritätsprüfung)
             -      War das Zertifikat zum Zeitpunkt der Signaturerstellung gültig? (Zertifikatsprüfung)
             -      Handelt es sich um eine qualifizierte Signatur? (QES-Prüfung)
             Jede dieser Fragen wird mit einem Status beantwortet, der einen der folgenden Werte
             annehmen kann:
             -      gültig
             -      ungültig
             -      unbekannt (Der Status konnte nicht zuverlässig ermittelt werden.)
             Die Ergebnisse der einzelnen Prüfroutinen ergänzen sich zu einem Gesamtergebnis, das
             ebenfalls einen der oben genannten Werte einnehmen kann und dem Nutzer gemäß § 15
             Abs. 2 Nr. 2 SigV zutreffend angezeigt wird.

   3.3.5.1   Integrität prüfen
             Die Anwendung extrahiert und verifiziert den in der Signatur eines Dokuments enthaltenen
             Hashwert unter Anwendung des RSA Algorithmus sowie des im Signaturzertifikat
             enthaltenen öffentlichen Schlüssels. Dieser Hashwert wird mit dem Hashwert der
             signierten Daten verglichen, der auf Basis eines der folgenden Algorithmen ermittelt wird:
             SHA-1, SHA-224, SHA-256, SHA-384, SHA-512, RIPEMD-160. Bei Übereinstimmung der
             beiden Hashwerte ist die Integrität der signierten Daten sichergestellt.

   3.3.5.2   Zertifikat prüfen
             Die Anwendung prüft, ob das Signaturzertifikat zum Referenzzeitpunkt - dem Zeitpunkt, zu
             dem die Signatur erstellt wurde - gültig war. Die Anwendung ermittelt den
             Referenzzeitpunkt abhängig von der Verfügbarkeit entsprechender Informationen, in der
             folgenden Reihenfolge:
                    1. Der Zeitpunkt, der im Zeitstempel der Signatur ausgewiesen ist. Sind mehrere
                       Zeitstempel hinterlegt, so wird der erste gültige Zeitstempel verwendet.
                    2. Der Zeitpunkt, der in der Signatur-Datenstruktur dokumentiert ist.
                    3. Die aktuelle Systemzeit.
             Für die Zertifikatsprüfung wird zunächst die Zertifikatskette zu einem vertrauenswürdigen
             Zertifikat ermittelt. Anschließend prüft die Anwendung jedes Zertifikat der Kette einzeln. Die
             Prüfung wird nach dem Kettenmodell durchgeführt. Jedes Zertifikat wird unter Verwendung
             lokal installierter CRLs (Certificate Revocation List) oder OCSP-Antworten der OCSP-
             Dienste der Zertifikatsaussteller (Online Certificate Status Protocol) auf Sperrung gemäß §
             8 SigG geprüft.
             Falls dem Signaturzertifikat ein Attributzertifikat beigefügt ist, so wird auch dieses nach
             dem oben beschriebenen Verfahren geprüft.

   3.3.5.3   QES prüfen
             Die Anwendung prüft, ob es sich um eine qualifizierte Signatur handelt. Dies ist gegeben,
             wenn die Signatur ausschließlich qualifizierte Signatur- und Attributzertifikate gemäß § 2
             Nr. 7 SigG sowie qualifizierte Zeitstempel gemäß § 2 Nr. 14 SigG enthält. Ein Zertifikat wird
             als qualifiziertes Zertifikat ausgegeben, wenn die inhaltlichen Anforderungen an
             qualifizierte Zertifikate erfüllt sind sowie
             -      der ausstellende Zertifizierungsdiensteanbieter (ZDA) nach § 15 Abs. 1 SigG
                    akkreditiert ist oder




                 Herstellererklärung zu Sign Live! CC 6.2, Version 1.0                          Seite 17 von 37


                                                                                                     Bonn, 3. September 2014
214

Amtsblatt der Bundesnetzagentur
                                       für Elektrizität, Gas, Telekommunikation, Post und Eisenbahnen
16 2014                                        – Mitteilungen, Qualifizierte elektronische Signatur,                     2599
                                                  Teil A, Mitteilungen der Bundesnetzagentur –




                   -      der ZDA die Ausstellung qualifizierter Zertifikate nach § 15 Abs. 1 SigG der
                          zuständigen Behörde angezeigt hat.
                   Die Anwendung beinhaltet fest eingebaute Vertrauensanker der akkreditierten und
                   angezeigten Zertifizierungsdiensteanbieter, die die o. g. Identifikation ermöglichen.

        3.3.5.4    Zeitstempel prüfen
                   Wenn die Signatur einen qualifizierten Zeitstempel gemäß § 2 Nr. 14 SigG enthält, prüft
                   das Produkt diesen mit den gleichen Mechanismen, wie eine QES geprüft wird. Signierter
                   Inhalt ist in diesem Fall der Hashwert der QES.
                   Zusätzlich prüft das Produkt, ob das Zertifikat, das den qualifizierten Zeitstempel erstellt
                   hat, für die Erstellung von qualifizierten Zeitstempeln markiert ist.

        3.3.5.5    Ergebnisdarstellung
                   Die Prüfergebnisse lassen sich in drei verschiedenen Varianten darstellen:
                   -      Verdichtete Darstellung
                   -      Detail-Darstellung
                   -      Verifikationsprotokoll
                   Verdichtete und Detail-Darstellung werden über das GUI dargestellt. Die Detail-Darstellung
                   detailliert die verdichtete Darstellung für jeweils eine Signatur. Das Verifikationsprotokoll
                   wird als PDF-Dokument erzeugt und kann somit über das GUI dargestellt und gespeichert
                   werden.
                   Die in Kap. 4 beschriebenen Regeln zur Darstellung der Prüfungsergebnisse bzgl.
                   abgelaufener Algorithmen werden berücksichtigt.

                   VERDICHTETE DARSTELLUNG
                   Die verdichtete Darstellung gibt Aufschluss über die wichtigsten Aspekte einer Signatur:
                   -      Name/Pfad der externen Signaturdatei bzw. Kennzeichnung als interne Signatur
                   -      Signaturtyp (Signatur / qualifizierte Signatur)
                   -      Erzeuger der Signatur
                   -      Zeitpunkt der Signaturerstellung
                   -      Gesamtstatus der Signatur
                   -      Status der Datenintegrität
                   -      Status des Signaturzertifikats
                   -      Status der Attributzertifikate (falls vorhanden)
                   -      Status der Zeitstempel (falls vorhanden)

                   DETAIL-DARSTELLUNG
                   Die Detail-Darstellung des Prüfergebnisses ermöglicht eine genaue Inspektion aller
                   Signaturdaten. Dies sind je Signatur:
                   -      Verdichtete Darstellung der Signaturdaten
                   -      Status zur Datenintegrität
                                   o   Hash-Algorithmus
                                   o   Berechneter / signierter Hashwert
                                   o   Signaturalgorithmus




                       Herstellererklärung zu Sign Live! CC 6.2, Version 1.0                           Seite 18 von 37


Bonn, 3. September 2014
215

Amtsblatt der Bundesnetzagentur
                          für Elektrizität, Gas, Telekommunikation, Post und Eisenbahnen
2600                               – Mitteilungen, Qualifizierte elektronische Signatur,               16 2014
                                      Teil A, Mitteilungen der Bundesnetzagentur –




                   o   Signaturbytes (hexadezimal)
       -   Status des verwendeten Unterschriftszertifikats
                   o   Allgemeine Daten
                                Status
                                Prüfzeitpunkt
                                Bestandteile des X500-Namens
                   o   Details
                                Gültigkeitszeitraum
                                Inhaber
                                Aussteller
                                Signaturalgorithmus
                                Seriennummer
                                Version
                                Öffentlicher Schlüssel (hexadezimal)
                   o   Attribute
                                OID
                                Name
                                Wert
                   o   Erweiterungen
                                OID
                                Name
                                Wert
                                kritisch (ja / nein)
                   o   Zertifikatsrichtlinien
                   o   Status des Zertifizierungspfads
                                Status
                                Validierungsmodell
                                Status der einzelnen Zertifikate
                   o   Sperrlistenstatus / Onlinestatus
                   o   Qualifiziertes Zertifikat
                                Status
                                Richtlinie (Common PKI / Common PKI SigG)
                                Vertrauensbasis (Akkreditierter ZDA / Angezeigter ZDA /
                                 Ausländischer ZDA)
                                QC-Aussagen
       -   Status je verwendetem Attributzertifikat (falls vorhanden)
                   o   Darstellung analog zum Unterschriftszertifikat
       -   Status je Zeitstempel (falls vorhanden)




       Herstellererklärung zu Sign Live! CC 6.2, Version 1.0                               Seite 19 von 37


                                                                                                  Bonn, 3. September 2014
216

Zur nächsten Seite