abl-17

Dieses Dokument ist Teil der Anfrage „Amtsblätter bis 2018

/ 440
PDF herunterladen
Amtsblatt der Bundesnetzagentur
                                      für Elektrizität, Gas, Telekommunikation, Post und Eisenbahnen
17 2014                                       – Mitteilungen, Qualifizierte elektronische Signatur,                            3077
                                                 Teil A, Mitteilungen der Bundesnetzagentur –




                                                                                     Herstellererklärung bos-2013-04-01




         Produkt-   Bezeichnung                                       Beschreibung + Registriernummer der Bestäti-
         klasse                                                       gung
                    Herausgeber / Herstel-   Handelsname              Name in der Bestäti-            Registrierungsnr. der
                    ler                                               gungsurkunde                    Bestätigungsurkunde
         SSEE       Bundesagentur für Ar-    Signaturkarte der        Signaturerstellungseinheit      T­Systems.02182.TE.11.
                    beit                     Bundesagentur für        „Chipkarte mit Prozessor        2006
                                             Arbeit (BA)              SLE66CX322P (oder               Nachtrag 1 vom
                                                                      SLE66CX642P), Software          06.02.2007
                                                                      CardOS V4.3B Re_Cert
                                                                      with Applikation for Digita-    Nachtrag 2 vom
                                                                      le Signature“                   06.05.2008
         Karten-    OMNIKEY GmbH             CardMan 3621         SAK Chipkartenterminal              BSI.02057.TE.12.2005
         leser                                                    der Familie CardMan Trust
                                                                  CM3621, Firmware-
                                                                  Version 6.00
         Karten-    OMNIKEY GmbH             CardMan 3821         SAK Chipkartenterminal              BSI.02057.TE.12.2005
         leser                                                    der Familie CardMan Trust
                                                                  CM3821, Firmware-
                                                                  Version 6.00
         Karten-    Cherry GmbH              Cherry Smartboard    Chipkartenterminal der              BSI.02048.TE.12.2004
         leser                               G83-6744             Familie SmartBoard xx44
                                                                  Firmware-Version 1.04
         Karten-    Cherry GmbH              Cherry SmartTerminal Chipkartenterminal der              BSI.02124.TE.09.2010
         leser                               2000 U               Familie SmartTerminal
                                                                  ST-2xxx, Firmware Versi-
                                                                  on 6.01
         Karten-    Reiner SCT Karten-       CyberJack e­com      Chipkartenleser, cyber­             TUVIT.93155.TE.09.200
         leser      lesegeräte GmbH                               Jack e-com, Version 3.0             8
         Karten-    Reiner SCT Karten-       CyberJack e­com          Chipkartenleser, cyber­         TUVIT.93156.TE.09.200
         leser      lesegeräte GmbH          plus                     Jack e-com plus, Version        8
                                                                      3.0
         Karten-    Reiner SCT Karten-       CyberJack pinpad         Chipkartenleser, cyber­         TUVIT.93107.TU.11.200
         leser      lesegeräte GmbH          Version 3                Jack pinpad, Version 3.0        4
         Karten-    Reiner SCT Karten-       Cyberjack RFID kom­      Cyberjack RFID komfort          TUVIT.93180.TU.12.201
         leser      lesegeräte GmbH          fort                     Version 2.0                     1
         Karten-    Reiner SCT Karten-       Cyberjack RFID stan­     Cyberjack RFID standard         TUVIT.93187.TU.07.201
         leser      lesegeräte GmbH          dard                     Version 1.2                     1
         Karten-    Reiner SCT Karten-       CyberJack secoder        Chipkartenleser Cyber­          TUVIT.93154.TE.09.200
         leser      lesegeräte GmbH                                   Jack secoder Version 3.0        8
         Karten-    Fujitsu Siemens          Fujitsu Siemens          Chipkartenleser-Tastatur        BSI.02082.TE.01.2007
         leser                               Chipkartenleser-         Sachnummer S26381-
                                             Tastatur KB SCR Pro      K329­V2xx HOS:01 Firm­
                                                                      ware Version 1.06
         Karten-    Fujitsu Siemens          Fujitsu Siemens          Chipkartenleser-Tastatur        BSI.02107.TE.03.2010
         leser                               Chipkartenleser-         Sachnummer S26381-              Nachtrag vom
                                             Tastatur Smartcase       K529-Vxxx Firmware              04.02.2011
                                             KB SCR eSIG              Version 1.20
         Karten-    Kobil Systems GmbH       Kobil KAAN Advan-        Chipkartenterminal KAAN         BSI.02050.TE.12.2006
         leser                               ced                      Advanced, Firmware Ver-
                                                                      sion 1.02, Hardware Ver-        Nachtrag vom
                                                                      sion K104R3,                    07.04.2008:
                                                                      Firmware 1.19 nachbestä-        T­Systems.
                                                                      tigt unter der Reg.-Nr          02207.TU.04.2008




      bremen online services Entwicklungs- und Betriebsgesellschaft mbH & Co. KG                              Seite 36 von 43
      Herstellererklärung für „Governikus Signer, Version 2.7.0.0“, Dokumentenversion 1.0


Bonn, 17. September 2014
373

Amtsblatt der Bundesnetzagentur
                                 für Elektrizität, Gas, Telekommunikation, Post und Eisenbahnen
3078                                      – Mitteilungen, Qualifizierte elektronische Signatur,                  17 2014
                                             Teil A, Mitteilungen der Bundesnetzagentur –




                                                                                 Herstellererklärung bos-2013-04-01




     Produkt-    Bezeichnung                                      Beschreibung + Registriernummer der Bestäti-
     klasse                                                       gung
                 Herausgeber / Herstel-   Handelsname             Name in der Bestäti-            Registrierungsnr. der
                 ler                                              gungsurkunde                    Bestätigungsurkunde
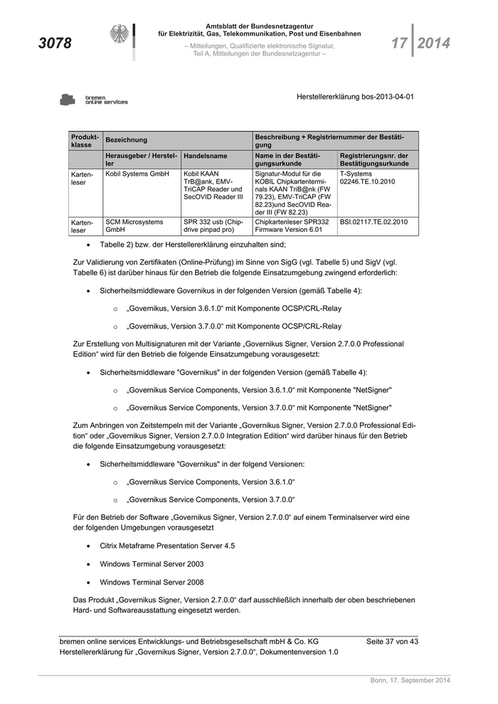
     Karten-     Kobil Systems GmbH       Kobil KAAN              Signatur-Modul für die          T­Systems
     leser                                TrB@ank, EMV-           KOBIL Chipkartentermi-          02246.TE.10.2010
                                          TriCAP Reader und       nals KAAN TriB@nk (FW
                                          SecOVID Reader III      79.23), EMV-TriCAP (FW
                                                                  82.23)und SecOVID Rea-
                                                                  der III (FW 82.23)
     Karten-     SCM Microsystems         SPR 332 usb (Chip-      Chipkartenleser SPR332          BSI.02117.TE.02.2010
     leser       GmbH                     drive pinpad pro)       Firmware Version 6.01

               Tabelle 2) bzw. der Herstellererklärung einzuhalten sind;

       Zur Validierung von Zertifikaten (Online-Prüfung) im Sinne von SigG (vgl. Tabelle 5) und SigV (vgl.
       Tabelle 6) ist darüber hinaus für den Betrieb die folgende Einsatzumgebung zwingend erforderlich:

               Sicherheitsmiddleware Governikus in der folgenden Version (gemäß Tabelle 4):

                    o   „Governikus, Version 3.6.1.0“ mit Komponente OCSP/CRL­Relay

                    o   „Governikus, Version 3.7.0.0“ mit Komponente OCSP/CRL­Relay

       Zur Erstellung von Multisignaturen mit der Variante „Governikus Signer, Version 2.7.0.0 Professional
       Edition“ wird für den Betrieb die folgende Einsatzumgebung vorausgesetzt:

               Sicherheitsmiddleware "Governikus" in der folgenden Version (gemäß Tabelle 4):

                    o   „Governikus Service Components, Version 3.6.1.0“ mit Komponente "NetSigner"

                    o   „Governikus Service Components, Version 3.7.0.0“ mit Komponente "NetSigner"

       Zum Anbringen von Zeitstempeln mit der Variante „Governikus Signer, Version 2.7.0.0 Professional Edi-
       tion“ oder „Governikus Signer, Version 2.7.0.0 Integration Edition“ wird darüber hinaus für den Betrieb
       die folgende Einsatzumgebung vorausgesetzt:

               Sicherheitsmiddleware "Governikus" in der folgend Versionen:

                    o   „Governikus Service Components, Version 3.6.1.0“

                    o   „Governikus Service Components, Version 3.7.0.0“

       Für den Betrieb der Software „Governikus Signer, Version 2.7.0.0“ auf einem Terminalserver wird eine
       der folgenden Umgebungen vorausgesetzt

               Citrix Metaframe Presentation Server 4.5

               Windows Terminal Server 2003

               Windows Terminal Server 2008

       Das Produkt „Governikus Signer, Version 2.7.0.0“ darf ausschließlich innerhalb der oben beschriebenen
       Hard- und Softwareausstattung eingesetzt werden.



  bremen online services Entwicklungs- und Betriebsgesellschaft mbH & Co. KG                              Seite 37 von 43
  Herstellererklärung für „Governikus Signer, Version 2.7.0.0“, Dokumentenversion 1.0


                                                                                                           Bonn, 17. September 2014
374

Amtsblatt der Bundesnetzagentur
                                    für Elektrizität, Gas, Telekommunikation, Post und Eisenbahnen
17 2014                                      – Mitteilungen, Qualifizierte elektronische Signatur,                       3079
                                                Teil A, Mitteilungen der Bundesnetzagentur –




                                                                                    Herstellererklärung bos-2013-04-01




      5.2 Anbindung an ein Netzwerk

          Für den Betrieb des Produktes „Governikus Signer, Version 2.7.0.0“ ist, je nach genutztem Funktions-
          umfang, ein Netzwerk notwendig.

          Bei Anbindung des Produktes an ein Netzwerk müssen die folgenden Maßnahmen zum Schutz beachtet
          werden: Netzwerkverbindungen müssen so abgesichert sein, dass Angriffe erkannt bzw. unterbunden
          werden – z. B. durch eine geeignet konfigurierte Firewall und durch die Verwendung geeigneter Anti-
          Viren-Programme.

          Für den Betrieb der Software „Governikus Signer, Version 2.7.0.0“ in einer Terminalserver-Umgebung
          ist die Verbindung zwischen Client und Server über SSL bzw. TLS zu realisieren. Der Verbindungsauf-
          bau ist durch gegenseitige Authentisierung über ausgetauschte Zertifikate zu schützen. Der Betrieb in
          einer Terminalserver-Umgebung ist nur innerhalb eines Intranets erlaubt.

          Zur Erstellung von Multisignaturen mit den Varianten „Governikus Signer, Version 2.7.0.0 Professional
          Edition“ ist die Verbindung zu der Software „Governikus“ (vgl. 5.1) verschlüsselt über das Protokoll
          HTTPS zu realisieren. Der Nutzung der Software „Governikus“ zur Erstellung von Multisignaturen ist nur
          innerhalb eines Intranets erlaubt.

          Die in diesem Abschnitt gemachten Auflagen müssen eingehalten werden.

      5.3 Auslieferung und Installation

          Die Auslieferung erfolgt online per Download von einem Webserver.

          Alle Dateien der Software werden vor der Auslieferung vom Hersteller mit einem Hashwert versehen,
          um Schutz vor unerkannten nachträglichen Manipulationen zu bieten. Der Hashwert wird vom Hersteller
          separat mitgeteilt.

          Die Software „Governikus Signer, Version 2.7.0.0“ lässt sich über eine Installationsroutine einfach instal-
          lieren. In der Installationsroutine werden einige Parameter zur Installation (Ort des Installationsverzeich-
          nisses, Anlegen einer Desktopverknüpfung etc.) abgefragt. Mit dem Produkt „Governikus Signer, Versi-
          on 2.7.0.0“ wird stets eine Java Runtime Environment (JRE) mitinstalliert. Diese wird ebenfalls im
          Installationsverzeichnis abgelegt und beeinflusst somit andere Java-Installationen nicht.

          Die Variante „Governikus Signer, Version 2.7.0.0 Integration Edition“ bietet darüber hinaus die Möglich-
          keit, die für die Installation benötigten Parameter über eine Konfigurationsdatei vorzugeben.

      5.4 Auflagen für den Betrieb des Produktes

          Die Software „Governikus Signer, Version 2.7.0.0“ wird in einem „geschützten Einsatzbereich (Regelfall/
          Standardlösung)“ (vgl. das Dokument der Bundesnetzagentur, „Einheitliche Spezifizierung der Einsatz-
          komponenten für Signaturanwendungskomponenten – Arbeitsgrundlage für Entwickler/Hersteller und
          Prüf-/Bestätigungsstellen“, Version 1.4, 19.07.2005) betrieben.

          Für den Betrieb der Software „Governikus Signer, Version 2.7.0.0“ in einer Terminalserver-Umgebung
          gelten die nachfolgenden Auflagen sowohl für den Terminalserver als auch für den Client-PC des Be-
          nutzers.

          Während des Betriebs sind die folgenden Bedingungen für den sachgemäßen Einsatz zu beachten:



      bremen online services Entwicklungs- und Betriebsgesellschaft mbH & Co. KG                        Seite 38 von 43
      Herstellererklärung für „Governikus Signer, Version 2.7.0.0“, Dokumentenversion 1.0


Bonn, 17. September 2014
375

Amtsblatt der Bundesnetzagentur
                                 für Elektrizität, Gas, Telekommunikation, Post und Eisenbahnen
3080                                     – Mitteilungen, Qualifizierte elektronische Signatur,             17 2014
                                            Teil A, Mitteilungen der Bundesnetzagentur –




                                                                                Herstellererklärung bos-2013-04-01




        Auflagen zur Sicherheit der IT-Plattform und Applikationen
        Es muss gewährleistet sein, dass von der Hardware, auf der die Software „Governikus Signer, Version
        2.7.0.0“ betrieben wird, keine Angriffe ausgehen. Insbesondere ist sicherzustellen, dass

               die auf dem eingesetzten Personalcomputer installierte Software – insbesondere die Java
                Virtual Machine – nicht böswillig manipuliert oder verändert werden kann,

               auf dem Personalcomputer keine Viren oder Trojanische Pferde eingespielt werden können,

               die Hardware des Personalcomputers nicht unzulässig verändert werden kann,

               der verwendete Chipkartenleser nicht böswillig manipuliert wurde, um Daten (z. B. PIN, Hash-
                werte etc.) auszuforschen oder zu verändern.

        Das Ausforschen der PIN auf dem Personalcomputer kann nur dann mit Sicherheit ausgeschlossen
        werden, wenn ein Chipkartenleser mit sicherer PIN-Eingabe eingesetzt wird.

        Auflagen zum Schutz vor manuellem Zugriff Unbefugter
        Der eingesetzte Personalcomputer muss gegen einen manuellen Zugriff Unbefugter geschützt werden –
        insbesondere, um Manipulation von Dateien auf Dateisystemebene, die die Software zur Darstellung der
        Nachrichten benötigt, zu unterbinden. Dies kann z. B. durch Aufstellung in einem abschließbaren Raum
        geschehen.

        Im Fall der Verwendung der Variante „Governikus Signer, Version 2.7.0.0 Professional Edition“ zur Er-
        stellung von Multisignaturen sind der Betrieb und die Aufbewahrung in einem zugriffssicheren Betriebs-
        raum oder Stahlschrank erforderlich, so dass ein Zugriff Unbefugter ausgeschlossen ist oder zumindest
        mit hoher Sicherheit erkennbar wird.

        Der Authentisierungsschlüssel für den Zugriff auf die Komponente NetSigner der Sicherheitsmiddleware
        „Governikus“ muss durch den Schlüssel-Administrator des Governikus Systems bereit gestellt werden16.

        Für das Passwort und insbesondere für das Zugangspasswort zu einer Terminalserver-Sitzung sind fol-
        gende Auflagen einzuhalten:

               Es dürfen keine Trivialpasswörter (z. B. "BBBBBBBB" oder "12345678") verwendet werden.

               Das Passwort enthält mindestens ein Zeichen, das kein Buchstabe ist (Sonderzeichen oder
                Zahl),

               Das Passwort muss mindestens 8 Zeichen lang sein

        Die Unterrichtung des Zertifizierungsdiensteanbieters zur Handhabung der SSEE ist zu beachten.

        Auflagen zum Schutz vor Angriffen über Datenaustausch per Datenträger
        Bei Einspielen von Daten über Datenträger muss – z. B. durch die Verwendung geeigneter Anti-Viren-
        Programme – sichergestellt werden, dass keine Viren oder Trojanische Pferde eingespielt werden kön-
        nen.



  16
       Vgl. Dokument „Governikus Betriebshandbuch“, Kapitel „Auflagen für den Betrieb gemäß Signaturgesetz“


  bremen online services Entwicklungs- und Betriebsgesellschaft mbH & Co. KG                        Seite 39 von 43
  Herstellererklärung für „Governikus Signer, Version 2.7.0.0“, Dokumentenversion 1.0


                                                                                                     Bonn, 17. September 2014
376

Amtsblatt der Bundesnetzagentur
                                    für Elektrizität, Gas, Telekommunikation, Post und Eisenbahnen
17 2014                                     – Mitteilungen, Qualifizierte elektronische Signatur,                       3081
                                               Teil A, Mitteilungen der Bundesnetzagentur –




                                                                                   Herstellererklärung bos-2013-04-01




          Auflagen zur Sicherheitsadministration des Betriebs
          Hinsichtlich der Software „Governikus Signer, Version 2.7.0.0“ ist keine spezielle Sicherheitsadministra-
          tion für den Betrieb vorgesehen. Der eingesetzte Personalcomputer und der eingesetzte Chipkartenle-
          ser sind aber in jedem Fall gegen eine unberechtigte Benutzung zu sichern.

          Für den Betrieb einer Multisignaturkarte gelten besondere Sicherheitsanforderungen, wie der physische
          Schutz gegen unbefugten Zugriff zur SSEE, insbesondere bei einem unbeaufsichtigten Betrieb. Hierzu
          sind unbedingt die Auflagen des Kartenherausgebers hinsichtlich der Nutzung der Multisignaturkarte
          beachten.

          Für den Betrieb der Software „Governikus Signer, Version 2.7.0.0“ in einer Terminalserver-Umgebung
          ist durch ein geeignetes Berechtigungssystem sicherzustellen, dass die Dateien innerhalb des persönli-
          chen Verzeichnisses des Benutzers der Software „Governikus Signer, Version 2.7.0.0“ nicht durch Un-
          befugte gelesen oder verändert werden können.

          Auflagen zum Schutz vor Fehlern bei Betrieb/Nutzung
          Folgende Auflagen sind für den sachgemäßen Einsatz der Software „Governikus Signer, Version
          2.7.0.0“ zu beachten:

                 Sofern eine Visualisierung einer zu signierenden Datei erfolgen soll, ist eine geeignete Anwen-
                  dung zu nutzen, d. h. eine Anwendung, die Dateien des entsprechenden Dateityps öffnen und
                  die zu signierenden oder signierten Daten zuverlässig darstellen kann.

                 Es wird eine vertrauenswürdige Eingabe der PIN vorausgesetzt. Der Nutzer hat dafür Sorge zu
                  tragen, dass die Eingabe der PIN weder beobachtet noch die PIN anderen Personen bekannt
                  gemacht wird. Er muss seine PIN ändern, wenn er den Verdacht oder die Gewissheit hat, die
                  PIN könnte nicht mehr geheim sein.

                 Nur beim Betrieb mit einem bestätigten Chipkartenleser mit PIN-Pad ist sicher gestellt, dass die
                  PIN nur zur SSEE übertragen wird.

                 Zum Signieren darf die PIN nur am PIN-Pad des Chipkartenlesers eingegeben werden.

                 Hinweise von Zertifizierungsdiensteanbietern zum Umgang mit persönlichen, geheimen Signa-
                  tur-PIN sind zu beachten.

                 Eine Signaturgesetz-konforme Nachprüfung qualifizierter Zertifikate kann nur erfolgen, soweit
                  dafür die technischen Voraussetzungen – insbesondere durch die Verbindung zum OCSP/CRL-
                  Relay – gegeben sind.

          Ergänzend zu den oben genannten Auflagen müssen zur sachgemäßen Erstellung von Multisignaturen
          mit den Varianten „Governikus Signer, Version 2.7.0.0 Professional Edition“ und „Governikus Signer,
          Version 2.7.0.0 Integration Edition“ folgende Auflagen beachtet werden.

                 Hinsichtlich des Anforderns von qualifizierten Zeitstempeln über die Varianten „Governikus Sig-
                  ner, Version 2.7.0.0 Professional Edition“ oder „Governikus Signer, Version 2.7.0.0 Integration
                  Edition“ wird die Verwendung eines korrekt konfigurierten Zeitstempelservers der Sicherheits-
                  middelware "Governikus" (vgl. Kapitel 3.1) vorausgesetzt, welcher die Zeitstempel von einem
                  dafür geeigneten Zeitstempeldienstanbieter anfordert.



      bremen online services Entwicklungs- und Betriebsgesellschaft mbH & Co. KG                       Seite 40 von 43
      Herstellererklärung für „Governikus Signer, Version 2.7.0.0“, Dokumentenversion 1.0


Bonn, 17. September 2014
377

Amtsblatt der Bundesnetzagentur
                                 für Elektrizität, Gas, Telekommunikation, Post und Eisenbahnen
3082                                     – Mitteilungen, Qualifizierte elektronische Signatur,             17 2014
                                            Teil A, Mitteilungen der Bundesnetzagentur –




                                                                                Herstellererklärung bos-2013-04-01




               Die Erstellung von Multisignaturen über die Variante „Governikus Signer, Version 2.7.0.0 Pro-
                fessional Edition“ unter Verwendung der Sicherheitsmiddleware „Governikus“ ist ausschließlich
                durch den Signaturschlüssel-Inhaber durchzuführen. Für das Signieren eines Dokumentensta-
                pels ist nach dem Prinzip der Individualsignatur17 zu verfahren, wobei der Signaturschlüssel-
                Inhaber „unterschiedliche Vorgänge“17 vor der Signaturerstellung einzeln lesen muss.

               Alle Auflagen aus dem Governikus Betriebshandbuch an den Signaturschlüssel-Inhaber hin-
                sichtlich der Nutzung der Sicherheitsmiddleware „Governikus“ zur Erstellung von Multisignatu-
                ren sind einzuhalten16.

               Es wird eine vertrauenswürdige Eingabe der Authentisierungs-PIN vorausgesetzt. Der Nutzer
                hat dafür Sorge zu tragen, dass die Eingabe der Authentisierungs-PIN weder beobachtet noch
                die Authentisierungs-PIN anderen Personen bekannt gemacht wird.

        Bei dem Einsatz der Software „Governikus Signer, Version 2.7.0.0“ in einer Terminalserver-Umgebung
        muss eine gesicherte und verschlüsselte Verbindung zwischen Terminalserver und Client-PC sicherge-
        stellt werden.

        Auflagen für Wartung/Reparatur
        Eine Pflege und Wartung der Software „Governikus Signer, Version 2.7.0.0“ ist nicht vorgesehen. Ggf.
        erfolgt eine Aktualisierung über einen Download von einem Webserver.


  6     Algorithmen und zugehörige Parameter

        Zur Erzeugung qualifizierter elektronischer Signaturen wird vom Produkt „Governikus Signer, Version
        2.7.0.0“ die Hashfunktion SHA-256 bereitgestellt.18

        Zur Prüfung qualifizierter elektronischer Signaturen werden vom Produkt „Governikus Signer, Version
        2.7.0.0“ die Hashfunktionen SHA-256, RIPEMD-160 und SHA-1 sowie der Signaturalgorithmus19 RSA
        sowie ECDSA bereitgestellt.

        Die gemäß Anlage 1 Abs. I Nr. 2 SigV festgestellte Eignung für die verwendeten kryptografischen Algo­
        rithmen sind gemäß den Angaben der Bundesnetzagentur20 wie folgt als geeignet eingestuft:




  17
       Vgl. www.bundesnetzagentur.de, Sachgebiet qualifizierte elektronische Signatur, FAQ Nr. 18 und Nr. 18a
  18
    Hinweis: Das Produkt unterstützt ferner die Hashfunktionen SHA-1 und RIPEMD-160, welche nicht mehr
  für eine qualifizierte elektronische Signatur verwendet werden dürfen. Bei der Verwendung der Hashfunktio-
  nen SHA-1 oder RIPEMD-160 zu Signaturerstellung, wird dem Benutzer ein entsprechender Warnhinweis
  angezeigt.
  19
    Die Schlüssellänge richtet sich nach der zu verifizierenden Signatur; das Produkt „Governikus Signer,
  Version 2.7.0.0“ unterstützt die gängigen Schlüssellängen von 2048 Bit (RSA) bzw. q=250 Bit (ECDSA).
  20
    vgl. „Bekanntmachung zur elektronischen Signatur nach dem Signaturgesetz und der Signaturverordnung
  (Übersicht über geeignete Algorithmen)“ der Bundesnetzagentur für Elektrizität, Gas, Telekommunikation,
  Post und Eisenbahn vom 18. Februar 2013


  bremen online services Entwicklungs- und Betriebsgesellschaft mbH & Co. KG                        Seite 41 von 43
  Herstellererklärung für „Governikus Signer, Version 2.7.0.0“, Dokumentenversion 1.0


                                                                                                     Bonn, 17. September 2014
378

Amtsblatt der Bundesnetzagentur
                                    für Elektrizität, Gas, Telekommunikation, Post und Eisenbahnen
17 2014                                     – Mitteilungen, Qualifizierte elektronische Signatur,                       3083
                                               Teil A, Mitteilungen der Bundesnetzagentur –




                                                                                   Herstellererklärung bos-2013-04-01




                            Algorithmus              Schlüssellänge            Gültig bis
                            SHA-224                                            31.12.2015
                            SHA-256                                            31.12.2019
                            SHA-384                                            31.12.2019
                            SHA-512                                            31.12.2019
                            RSA                      2048 Bit                  31.12.2019
                            ECDSA                    Q=250 Bit                 31.12.2019




      7   Gültigkeit der Herstellererklärung

          Diese Erklärung ist bis zu ihrem Widerruf durch den Hersteller oder der zuständigen Behörde (s.u.),
          längstens jedoch bis zum 31.12.2018 gültig. Die Gültigkeit der Herstellererklärung ist weiter beschränkt
          durch die in Kapitel 6 aufgeführten Gültigkeiten der Algorithmen; die Gültigkeit kann sich verkürzen,
          wenn z. B. neue Feststellungen hinsichtlich der Sicherheit des Produktes oder der Eignung der Algo-
          rithmen im Bundesanzeiger veröffentlicht werden.

          Der aktuelle Status der Gültigkeit der Erklärung ist bei der zuständigen Behörde (Bundesnetzagentur,
          Referat Qualifizierte Elektronische Signatur – Technischer Betrieb) zu erfragen.


      8   Zusatzdokumentation

          Folgende Bestandteile der Herstellererklärung wurden aus dem Veröffentlichungstext ausgegliedert und
          bei der zuständigen Behörde hinterlegt:

                 „Unterlagen zur Herstellererklärung gemäß § 17 Abs. 4 SigG für die Software ‚Governikus Sig-
                  ner, Version 2.7.0.0’ – Sicherheitstechnische Produktbeschreibung und Spezifikation“,
                  16.05.2013, 94 Seiten.

                 „Unterlagen zur Herstellererklärung gemäß § 17 Abs. 4 SigG für die Software ‚Governikus Sig-
                  ner, Version 2.7.0.0’ – Testdokumentation“, 16.05.2013, 23 Seiten.

                 „Governikus Signer – Benutzerhandbuch“, Dokument-Version 2.7.0.0_0, 126 Seiten.

                 „Governikus Signer – Administratorhandbuch“, Dokument-Version 2.7.0.0_0, 8 Seiten.

                 „Governikus Signer Integrated Edition – Administratorhandbuch“, Dokumentversion 2.7.0.0_0,
                  12 Seiten.
                 „Governikus Signer Integrated Edition – Entwicklerhandbuch“, Dokumentversion 2.7.0.0_0,
                  50 Seiten.

                 „Governikus Signer – Systemanforderungen“, Dokumentenversion 2.7.0.0_0, 14.05.2013,
                  17 Seiten.

                  „Governikus Signer – Testhandbuch“, Version 2.7.0.0_0, 125 Seiten.

                 „Governikus Signer Integration Edition – Testhandbuch“, Version 1.2, 22 Seiten.


      bremen online services Entwicklungs- und Betriebsgesellschaft mbH & Co. KG                       Seite 42 von 43
      Herstellererklärung für „Governikus Signer, Version 2.7.0.0“, Dokumentenversion 1.0


Bonn, 17. September 2014
379

Amtsblatt der Bundesnetzagentur
                                für Elektrizität, Gas, Telekommunikation, Post und Eisenbahnen
3084                                    – Mitteilungen, Qualifizierte elektronische Signatur,             17 2014
                                           Teil A, Mitteilungen der Bundesnetzagentur –




                                                                               Herstellererklärung bos-2013-04-01




             Testprotokolle Governikus Signer, Stand 16.05.2013

             Beschreibung bos-Prüfprotokoll 3.4.0.4, Dokumentenversion 1.0, 111 Seiten

             Verification Interpreter - Testhandbuch, Version CIVI_3_4_0_4

             Verification Interpreter – Testprotokoll, Stand 29.04.2013

       Die Dokumente wurden von der bremen online services Entwicklungs- und Betriebsgesellschaft mbH &
       Co. KG erstellt.

                                           Ende der Herstellererklärung




  bremen online services Entwicklungs- und Betriebsgesellschaft mbH & Co. KG                       Seite 43 von 43
  Herstellererklärung für „Governikus Signer, Version 2.7.0.0“, Dokumentenversion 1.0


                                                                                                    Bonn, 17. September 2014
380

Amtsblatt der Bundesnetzagentur
                                       für Elektrizität, Gas, Telekommunikation, Post und Eisenbahnen
17 2014                                         – Mitteilungen, Qualifizierte elektronische Signatur,                        3085
                                                   Teil A, Mitteilungen der Bundesnetzagentur –




Mitteilung Nr. 1036/2014                                                     •    Testhandbuch - Verification Interpreter 3_4_1_0, Doku-
                                                                                  mentenversion 1.0, 32 Seiten
Veröffentlichung von Herstellererklärungen für Produkte für
qualifizierte elektronische Signaturen nach § 17 Abs. 4 SigG,
die bei der Bundesnetzagentur hinterlegt wurden;

hier: bremen online services Entwicklungs- und Betriebsge-
sellschaft mbH & Co. KG, Governikus Signer, Version 2.7.1.0            Es folgt der Text der Herstellererklärung:

Veröffentlichungshinweis

Die Bundesnetzagentur ist aufgrund des § 17 Abs. 4 des Sig-
naturgesetzes (SigG) vom 16. Mai 2001 (BGBl. I S. 876), zuletzt
geändert durch Artikel 4 des Gesetzes vom 17. Juli 2009
(BGBl. I S. 2091), verpflichtet, Erklärungen durch Hersteller
von Produkten für qualifizierte elektronische Signaturen (Her-
stellererklärungen) im Amtsblatt der Bundesnetzagentur zu
veröffentlichen. Das Amtsblatt dient insoweit nur als Veröf-
fentlichungsmedium. Der Veröffentlichung ist weder eine ma-
terielle Prüfung der Herstellererklärungen noch eine Prüfung
der in ihnen bezuggenommenen Produkte durch die Bundes-
netzagentur vorausgegangen. Für den Inhalt der Herstellerer-
klärungen und für die Produkte sind allein die Hersteller ver-
antwortlich.


Hersteller:
bremen online services Entwicklungs- und Betriebsgesellschaft
mbH & Co. KG
Am Fallturm 9
28359 Bremen

Produkt:
Governikus Signer, Version 2.7.1.0, Stand: 20.11.2013

Bezeichnung der Herstellererklärung:
Nachtrag 1 zur Herstellererklärung Governikus Signer, Version
2.7.0.0

Als weitere Unterlagen wurden eingereicht:

     •    „Unterlagen zur Herstellererklärung gemäß § 17 Abs. 4
          SigG für die Software Governikus Signer, Version 2.7.1.0
          – Sicherheitstechnische Produktbeschreibung und Spe-
          zifikation“, 14.11.2013, 8 Seiten.

     •    „Unterlagen zur Herstellererklärung gemäß § 17 Abs. 4
          SigG für die Software Governikus Signer, Version 2.7.1.0
          – Testdokumentation“, 14.11.2013, 22 Seiten.

     •    „Governikus Signer – Benutzerhandbuch“, Dokumenten-
          version 2.7.1.0_0, 01.10.2013, 129 Seiten.

     •    „Governikus Signer – Administratorhandbuch“, Doku-
          mentenversion 2.7.1.0_0, 24.10.2013, 9 Seiten.

     •    „Governikus Signer Integrated Edition – Administrator-
          handbuch“, Dokumentenversion 2.7.1.0_0, 24.10.2013,
          13 Seiten.

     •    „Governikus Signer Integrated Edition – Entwicklerhand-
          buch“, Dokumentenversion 2.7.1.0_0, 24.10.2013,
          49 Seiten.

     •    „Governikus Signer – Systemanforderungen“, Dokumen-
          tenversion 2.7.1.0_0, 11.11.2013, 17 Seiten.

     •    „Governikus Signer – Testhandbuch“, Dokumentenversi-
          on 2.7.1.0_2, 22.10.2013, 126 Seiten.

     •    Governikus Signer - Testprotokolle, Stand 11.11.2013

     •    Beschreibung    bos-Prüfprotokoll,   Version     3.4.1.0,
          30.08.2013, 148 Seiten




Bonn, 17. September 2014
381

Amtsblatt der Bundesnetzagentur
                               für Elektrizität, Gas, Telekommunikation, Post und Eisenbahnen
3086                                   – Mitteilungen, Qualifizierte elektronische Signatur,            17 2014
                                          Teil A, Mitteilungen der Bundesnetzagentur –




                                                                         Herstellererklärung bos-2013-04-01-N1

      Nachtrag 1 zur Herstellererklärung für das Produkt „Governikus Signer, Version 2.7.0.0“ mit der
                           Dokumentennummer bos-2013-04-01 vom 16.05.2013




                                                        Die

              bremen online services Entwicklungs- und Betriebsgesellschaft mbH & Co. KG

                                                 Am Fallturm 9

                                                 28359 Bremen




           erklärt hiermit gemäß § 17 Abs. 4 Satz 2 SigG1 in Verbindung mit § 15 Abs. 5 Satz 1 SigV2,
                     dass die o.g. Herstellererklärung für die Signaturanwendungskomponente

                                     Governikus Signer, Version 2.7.0.0

                                           auf die Nachfolgeversion

                                     Governikus Signer, Version 2.7.1.0

           erweitert wurde und die Nachfolgeversion die nachstehend genannten Anforderungen des
                        Signaturgesetzes1 bzw. der Signaturverordnung2 in Teilen erfüllt.




                                           Bremen, den 20.11.2013




                                             gez. Dr. Stephan Klein
                                                Geschäftsführer




            Dieser Nachtrag mit der Dokumentennummer bos-2013-04-01-N1 besteht aus 11 Seiten.




  1
   Gesetz über Rahmenbedingungen für elektronische Signaturen (Signaturgesetz – SigG) vom 16. Mai 2001
  (BGBl. I S. 876), zuletzt geändert durch Artikel 4 des Gesetzes vom 17. Juli 2009 (BGBl. I S. 2091)
  2
   Verordnung zur elektronischen Signatur (Signaturverordnung – SigV) vom 16. November 2001 (BGBl. I S.
  3074), zuletzt geändert durch die Verordnung vom 15. November 2010 (BGBl. I S. 1542)

  bremen online services Entwicklungs- und Betriebsgesellschaft mbH & Co. KG                     Seite 1 von 11
  Herstellererklärung für „Governikus Signer, Version 2.7.1.0“, Dokumentenversion 1.1



                                                                                                 Bonn, 17. September 2014
382

Zur nächsten Seite