abl-23

Dieses Dokument ist Teil der Anfrage „Amtsblätter bis 2018

/ 256
PDF herunterladen
Amtsblatt der Bundesnetzagentur
                               für Elektrizität, Gas, Telekommunikation, Post und Eisenbahnen
23 2014                   – Mitteilungen, Telekommunikation, Teil A, Mitteilungen der Bundesnetzagentur –   4179


 1.25.4) Aufwendungen für Universal International Shared Cost Number (UISCN)-Datenbank:
                                                                                    UISCN-Datenbank
                                                                                            €/Min
                                                                                           0,0002


 1.26. Für die Leistung ICP-N-O.6
 Verbindungen zum Service-Dienst 0180 von ICP - im Online-Billing-Verfahren -


 Diese Preise gelten nur in Verbindung mit einer bestehenden PSTN/ISDN-Zusammenschaltung:
 1.26.1) Verbindungen mit Ursprung in Festnetzen
 Mischpreise für Transit und Zuführung

 Mischentgelte für Kennzahl 0180-1, 0180 3, 0180-5
                                                                                             Tarif
                                                                                            €/Min
                                                                                           0,0033


 1.26.2) Verbindungen mit Ursprung in Festnetzen
 Mischpreise für Transit und Zuführung
 Mischentgelte für Kennzahl 0180-2, 0180 4,
                                                                                             Tarif
                                                                                            €/Verb
                                                                                           0,0125


 Diese Preise gelten nur, sofern keine PSTN/ISDN-Zusammenschaltung besteht:
 1.26.3) Verbindungen mit Ursprung in Festnetzen
 Mischpreise für Transit und Zuführung
 Mischentgelte für Kennzahl 0180-1, 0180 3, 0180-5
                                                                                             Tarif
                                                                                            €/Min
                                                                                           0,0042


 1.26.4) Verbindungen mit Ursprung in Festnetzen
 Mischpreise für Transit und Zuführung aus NGN & PSTN
 Mischentgelte für Kennzahl 0180-2, 0180 4
                                                                                             Tarif
                                                                                            €/Verb
                                                                                           0,0159




Bonn, 10. Dezember 2014
95

Amtsblatt der Bundesnetzagentur
                              für Elektrizität, Gas, Telekommunikation, Post und Eisenbahnen
4180                     – Mitteilungen, Telekommunikation, Teil A, Mitteilungen der Bundesnetzagentur –   23 2014


1.27. Für die Leistung ICP-N-O.7
Verbindungen zum ICP-Vote-Call von ICP - im Online-Billing-Verfahren -


Diese Preise gelten nur in Verbindung mit einer bestehenden PSTN/ISDN-Zusammenschaltung:
1.27.1) Verbindungen mit Ursprung in Festnetzen
Mischpreise für Transit und Zuführung
Mischentgelte für Kennzahl 0137 2-4
                                                                                            Tarif
                                                                                           €/Min
                                                                                          0,0033


1.27.2) Verbindungen mit Ursprung in Festnetzen
Mischpreise für Transit und Zuführung
Mischentgelte für Kennzahl 0137 1, 0137 5-9
                                                                                            Tarif
                                                                                           €/Verb
                                                                                          0,0011


Diese Preise gelten nur, sofern keine PSTN/ISDN-Zusammenschaltung besteht:
1.27.3) Verbindungen mit Ursprung in Festnetzen
Mischpreise für Transit und Zuführung aus NGN & PSTN
                                                                                            Tarif
                                                                                           €/Min
                                                                                          0,0042


1.27.4) Verbindungen mit Ursprung in Festnetzen
Mischpreise für Transit und Zuführung aus NGN & PSTN
Mischentgelte für Kennzahl 0137 1, 0137 5-9
                                                                                            Tarif
                                                                                           €/Verb
                                                                                          0,0014




                                                                                                     Bonn, 10. Dezember 2014
96

Amtsblatt der Bundesnetzagentur
                               für Elektrizität, Gas, Telekommunikation, Post und Eisenbahnen
23 2014                   – Mitteilungen, Telekommunikation, Teil A, Mitteilungen der Bundesnetzagentur –          4181


 1.28. Für die Leistung ICP-N-O.8
 Verbindungen zum Service-Dienst 0180 6-7 von ICP - im Online-Billing-Verfahren -


 Diese Preise gelten nur in Verbindung mit einer bestehenden PSTN/ISDN-Zusammenschaltung:
 1.28.1) Verbindungen mit Ursprung in Festnetzen
 Mischpreise für Transit und Zuführung
 jeweils für 0180 6 Preisminderung, 0180 7 Preis ab 31. Sekunde
 und 0180 7 Preisminderung bis 30. Sekunde
                                                                                             Tarif
                                                                                            €/Min
                                                                                           0,0033


 Diese Preise gelten nur, sofern keine PSTN/ISDN-Zusammenschaltung besteht:


 1.28.2) Verbindungen mit Ursprung in Festnetzen
 Mischpreise für Transit und Zuführung aus NGN & PSTN
 jeweils für 0180 6 Preisminderung, 0180 7 Preis ab 31. Sekunde
 und 0180 7 Preisminderung bis 30. Sekunde
                                                                                             Tarif
                                                                                            €/Min
                                                                                           0,0042


 1.29. Für die Leistung ICP-N-O.11
 Verbindungen zum Service 0700 von ICP - im Online-Billing-Verfahren -


 Diese Preise gelten nur in Verbindung mit einer bestehenden PSTN/ISDN-Zusammenschaltung:
 1.29.1) Preise für Transit und Zuführung
                                                                              Peak-Tarif          Off-peak-Tarif
                                                                                 €/Min                 €/Min
                                                                                0,0033                0,0033


 Diese Preise gelten nur, sofern keine PSTN/ISDN-Zusammenschaltung besteht:
 1.29.2) Preise für Transit und Zuführung aus NGN & PSTN
                                                                              Peak-Tarif          Off-peak-Tarif
                                                                                 €/Min                 €/Min
                                                                                0,0042                0,0042


BK3c-14/015 –



Bonn, 10. Dezember 2014
97

Amtsblatt der Bundesnetzagentur
                                  für Elektrizität, Gas, Telekommunikation, Post und Eisenbahnen
4182                         – Mitteilungen, Telekommunikation, Teil A, Mitteilungen der Bundesnetzagentur –   23 2014


Mitteilung Nr. 1387/2014

TKG § 35 Abs. 7 i. V. m. § 5 S.1 TKG;

Tenor der vorläufigen Genehmigung der Mobilfunkterminierungsentgelte und zugehörigen Zusammen-
schaltungsentgelten der Telekom Deutschland GmbH

In dem o.g. Entgeltgenehmigungsverfahren hat die Beschlusskammer 3 der Bundesnetzagentur für Elektrizität,
Gas, Telekommunikation, Post und Eisenbahnen auf die mündliche Verhandlung vom 03.06.2014 beschlossen:

     1. Gemäß § 13 Abs. 1 S. 2 i.V.m. § 12 Abs. 3 S. 1 Alt. 2 TKG entsprechend werden die in Ziffern 1. und
        2. des anliegenden Beschlussentwurfs tenorierten Entgelte mit Wirkung ab dem 01.12.2014 vorläufig
        genehmigt.

     2. Die vorläufige Genehmigung und die Nebenbestimmung in Ziffer 4. des Tenors gelten bis zum Wirk-
        samwerden der Entscheidung im Hauptsacheverfahren.

Tenor des der vorläufigen Genehmigung anliegenden Beschlussentwurfs

     1. Das Verbindungsentgelt für die Terminierung im Mobilfunknetz der Antragstellerin wird ab dem
        01.12.2014 wie folgt genehmigt:

         a. bis zum 30.11.2015:			                              1,72 Eurocent/Min.

         b. ab dem 01.12.2015: 			                              1,66 Eurocent/Min.

     2. Die Entgelte für Zugangsleistungen im Zusammenhang mit der Terminierung im Mobil­funknetz der
        Antragstellerin werden ab dem 01.12.2014 wie folgt genehmigt:

           Pos.                                  Leistung                                         Entgelt (netto)
           1       Entgelte für Intra-Building-Abschnitte
           1.1     Einmaliges Bereitstellungsentgelt je Intra-Building-Ab­schnitt               483,55 Euro
                   2Mbit/s
           1.2     Jährliches Überlassungsentgelt für den Intra-Building-                       788,08 Euro
                   Abschnitt 2Mbit/s bei einer Mindestüberlassungsdauer von 1
                   Jahr
           2       Entgelt für Zentrale Zeichengabekanäle
           2.1     Jährliches Überlassungsentgelt für den Zentralen Zei­                        349,76 Euro
                   chengabekanal bei einer Mindestüberlassungsdauer von 1
                   Jahr
           3       Entgelte für Zusammenschaltungs- und Konfigurations­
                   maßnahmen
           3.1     Maßnahmen zur Errichtung und Änderung der Zusam­                             Nach Aufwand
                   menschaltung (insbesondere Verkehrsweglenkung und –
                   registrierung)
           3.2     Durchführung von Zusammenschaltungs- und Interope­                           Nach Aufwand
                   rabilitätstests (einschließlich Anmietung einer Testumgebung)

     4. Die Beschlusskammer behält sich vor, nachträglich eine Auflage aufzunehmen, wonach, wenn die An-
        tragstellerin einen an eine geographische Rufnummer gerichteten Anruf unternehmensintern von der




                                                                                                         Bonn, 10. Dezember 2014
98

Amtsblatt der Bundesnetzagentur
                                  für Elektrizität, Gas, Telekommunikation, Post und Eisenbahnen
23 2014                      – Mitteilungen, Telekommunikation, Teil A, Mitteilungen der Bundesnetzagentur –        4183


         Festnetzsparte übernimmt und im Mobilfunknetz terminiert, der interne Verrechnungspreis für den Ter-
         minierungsdienst einen bestimmten Betrag nicht unterschreiten darf.




BK3a-14/011




Mitteilung Nr. 1388/2014

TKG § 35 Abs. 7 i. V. m. § 5 S.1 TKG;

Tenor der vorläufigen Genehmigung der Mobilfunkterminierungsentgelte und zugehörigen Zusammen-
schaltungsentgelten der E-Plus Mobilfunk GmbH & Co. KG

In dem o.g. Entgeltgenehmigungsverfahren hat die Beschlusskammer 3 der Bundesnetzagentur für Elektrizität,
Gas, Telekommunikation, Post und Eisenbahnen auf die mündliche Verhandlung vom 03.06.2014 beschlossen:

     1. Gemäß § 13 Abs. 1 S. 2 i.V.m. § 12 Abs. 3 S. 1 Alt. 2 TKG entsprechend werden die in Ziffern 1. bis
        3. des anliegenden Beschlussentwurfs tenorierten Entgelte mit Wirkung ab dem 01.12.2014 vorläufig
        genehmigt.

     2. Die vorläufige Genehmigung und die Nebenbestimmung in Ziffer 5. des Tenors gelten bis zum Wirk-
        samwerden der Entscheidung im Hauptsacheverfahren.

Tenor des der vorläufigen Genehmigung anliegenden Beschlussentwurfs

     1. Das Verbindungsentgelt für die Terminierung im Mobilfunknetz der Antragstellerin wird ab dem
        01.12.2014 wie folgt genehmigt:

         a. bis zum 30.11.2015:			                              1,72 Eurocent/Min.

         b. ab dem 01.12.2015: 			                              1,66 Eurocent/Min.

     2. Wird ein an eine geographische Rufnummer gerichteter Anruf terminiert, wird abweichend von Ziffer 1.
        das Verbindungsentgelt für die Terminierung im Netz der Antragstellerin ab dem 01.12.2014 wie folgt
        genehmigt:

                                                        0 Cent/Min.

     3. Die Entgelte für Zugangsleistungen im Zusammenhang mit der Terminierung im Mobilfunknetz der
        Antragstellerin werden ab dem 01.12.2014 wie folgt genehmigt:

           Pos.                                  Leistung                                         Entgelt (netto)
           1       Entgelte für Intra-Building-Abschnitte
           1.1     Einmaliges Bereitstellungsentgelt je Intra-Building-Abschnitt                483,55 Euro
                   2Mbit/s
           1.2     Jährliches Überlassungsentgelt für den Intra-Building-                       788,08 Euro
                   Abschnitt 2Mbit/s bei einer Mindestüberlassungsdauer von 1
                   Jahr



Bonn, 10. Dezember 2014
99

Amtsblatt der Bundesnetzagentur
                                  für Elektrizität, Gas, Telekommunikation, Post und Eisenbahnen
4184                         – Mitteilungen, Telekommunikation, Teil A, Mitteilungen der Bundesnetzagentur –   23 2014


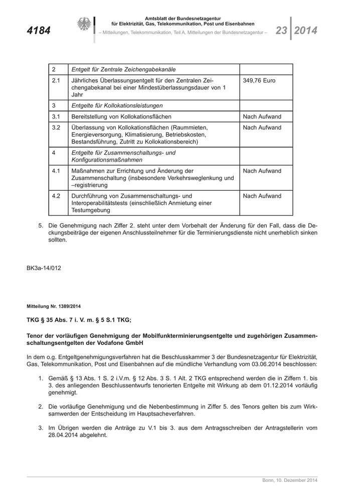
           2       Entgelt für Zentrale Zeichengabekanäle
           2.1     Jährliches Überlassungsentgelt für den Zentralen Zei­                        349,76 Euro
                   chengabekanal bei einer Mindestüberlassungsdauer von 1
                   Jahr
           3       Entgelte für Kollokationsleistungen
           3.1     Bereitstellung von Kollokationsflächen                                       Nach Aufwand
           3.2     Überlassung von Kollokationsflächen (Raummieten,                             Nach Aufwand
                   Energieversorgung, Klimatisierung, Betriebskosten,
                   Bestandsführung, Zutritt zu Kollokationsbereich)
           4       Entgelte für Zusammenschaltungs- und
                   Konfigurationsmaßnahmen
           4.1     Maßnahmen zur Errichtung und Änderung der                                    Nach Aufwand
                   Zusammenschaltung (insbesondere Verkehrsweglenkung und
                   –registrierung
           4.2     Durchführung von Zusammenschaltungs- und                                     Nach Aufwand
                   Interoperabilitätstests (einschließlich Anmietung einer
                   Testumgebung

     5. Die Genehmigung nach Ziffer 2. steht unter dem Vorbehalt der Änderung für den Fall, dass die De-
        ckungsbeiträge der eigenen Anschlussteilnehmer für die Terminierungsdienste nicht unerheblich sinken
        sollten.



BK3a-14/012




Mitteilung Nr. 1389/2014

TKG § 35 Abs. 7 i. V. m. § 5 S.1 TKG;

Tenor der vorläufigen Genehmigung der Mobilfunkterminierungsentgelte und zugehörigen Zusammen-
schaltungsentgelten der Vodafone GmbH

In dem o.g. Entgeltgenehmigungsverfahren hat die Beschlusskammer 3 der Bundesnetzagentur für Elektrizität,
Gas, Telekommunikation, Post und Eisenbahnen auf die mündliche Verhandlung vom 03.06.2014 beschlossen:

     1. Gemäß § 13 Abs. 1 S. 2 i.V.m. § 12 Abs. 3 S. 1 Alt. 2 TKG entsprechend werden die in Ziffern 1. bis
        3. des anliegenden Beschlussentwurfs tenorierten Entgelte mit Wirkung ab dem 01.12.2014 vorläufig
        genehmigt.

     2. Die vorläufige Genehmigung und die Nebenbestimmung in Ziffer 5. des Tenors gelten bis zum Wirk-
        samwerden der Entscheidung im Hauptsacheverfahren.

     3. Im Übrigen werden die Anträge zu V.1 bis 3. aus dem Antragsschreiben der Antragstellerin vom
        28.04.2014 abgelehnt.




                                                                                                         Bonn, 10. Dezember 2014
100

Amtsblatt der Bundesnetzagentur
                                 für Elektrizität, Gas, Telekommunikation, Post und Eisenbahnen
23 2014                     – Mitteilungen, Telekommunikation, Teil A, Mitteilungen der Bundesnetzagentur –        4185


Tenor des der vorläufigen Genehmigung anliegenden Beschlussentwurfs

    1. Das Verbindungsentgelt für die Terminierung im Mobilfunknetz der Antragstellerin wird ab dem
       01.12.2014 wie folgt genehmigt:

         a. bis zum 30.11.2015:			                             1,72 Eurocent/Min.

         b. ab dem 01.12.2015: 			                             1,66 Eurocent/Min.

    2. Wird ein an eine geographische Rufnummer gerichteter Anruf terminiert, wird abweichend von Ziffer 1.
       das Verbindungsentgelt für die Terminierung im Netz der Antragstellerin ab dem 01.12.2014 wie folgt
       genehmigt:

                                                       0 Cent/Min.

    3. Die Entgelte für Zugangsleistungen im Zusammenhang mit der Terminierung im Mobilfunknetz der
       Antragstellerin werden ab dem 01.12.2014 wie folgt genehmigt:

          Pos.                                  Leistung                                         Entgelt (netto)
          1       Entgelte für Intra-Building-Abschnitte
          1.1     Einmaliges Bereitstellungsentgelt je Intra-Building-Ab­schnitt               483,55 Euro
                  2Mbit/s
          1.2     Jährliches Überlassungsentgelt für den Intra-Building-                       788,08 Euro
                  Abschnitt 2Mbit/s bei einer Mindestüberlassungsdauer von 1
                  Jahr
          2       Entgelt für Zentrale Zeichengabekanäle
          2.1     Jährliches Überlassungsentgelt für den Zentralen Zei­                        349,76 Euro
                  chengabekanal bei einer Mindestüberlassungsdauer von 1
                  Jahr
          3       Entgelte für Kollokationsleistungen
          3.1     Bereitstellung von Kollokationsflächen                                       Nach Aufwand
          3.2     Überlassung von Kollokationsflächen (Raummieten,                             Nach Aufwand
                  Energieversorgung, Klimatisierung, Betriebskosten,
                  Bestandsführung, Zutritt zu Kollokationsbereich)
          4       Entgelte für Zusammenschaltungs- und
                  Konfigurationsmaßnahmen
          4.1     Maßnahmen zur Errichtung und Änderung der                                    Nach Aufwand
                  Zusammenschaltung (insbesondere Verkehrsweglenkung und
                  –registrierung
          4.2     Durchführung von Zusammenschaltungs- und                                     Nach Aufwand
                  Interoperabilitätstests (einschließlich Anmietung einer
                  Testumgebung

    5. Die Genehmigung nach Ziffer 2. steht unter dem Vorbehalt der Änderung für den Fall, dass die De-
       ckungsbeiträge der eigenen Anschlussteilnehmer für die Terminierungsdienste nicht unerheblich sinken
       sollten.



BK3a-14/013


Bonn, 10. Dezember 2014
101

Amtsblatt der Bundesnetzagentur
                                  für Elektrizität, Gas, Telekommunikation, Post und Eisenbahnen
4186                         – Mitteilungen, Telekommunikation, Teil A, Mitteilungen der Bundesnetzagentur –   23 2014


Mitteilung Nr. 1390/2014

TKG § 35 Abs. 7 i. V. m. § 5 S.1 TKG;

Tenor der vorläufigen Genehmigung der Mobilfunkterminierungsentgelte und zugehörigen Zusammen-
schaltungsentgelten der Telefónica Germany GmbH & Co. OHG

In dem o.g. Entgeltgenehmigungsverfahren hat die Beschlusskammer 3 der Bundesnetzagentur für Elektrizität,
Gas, Telekommunikation, Post und Eisenbahnen auf die mündliche Verhandlung vom 03.06.2014 beschlossen:

     1. Gemäß § 13 Abs. 1 S. 2 i.V.m. § 12 Abs. 3 S. 1 Alt. 2 TKG entsprechend werden die in Ziffern 1. und
        2. des anliegenden Beschlussentwurfs tenorierten Entgelte mit Wirkung ab dem 01.12.2014 vorläufig
        genehmigt.

     2. Die vorläufige Genehmigung und die Nebenbestimmung in Ziffer 4. des Tenors gelten bis zum Wirk-
        samwerden der Entscheidung im Hauptsacheverfahren.

Tenor des der vorläufigen Genehmigung anliegenden Beschlussentwurfs

     1. Das Verbindungsentgelt für die Terminierung im Mobilfunknetz der Antragstellerin wird ab dem
        01.12.2014 wie folgt genehmigt:

         a. bis zum 30.11.2015:			                              1,72 Eurocent/Min.

         b. ab dem 01.12.2015: 			                              1,66 Eurocent/Min.

     2. Die Entgelte für Zugangsleistungen im Zusammenhang mit der Terminierung im Mobilfunknetz der
        Antragstellerin werden ab dem 01.12.2014 wie folgt genehmigt:

           Pos.                                  Leistung                                         Entgelt (netto)
           1       Entgelte für Intra-Building-Abschnitte
           1.1     Einmaliges Bereitstellungsentgelt je Intra-Building-Abschnitt                483,55 Euro
                   2Mbit/s
           1.2     Jährliches Überlassungsentgelt für den Intra-Building-                       788,08 Euro
                   Abschnitt 2Mbit/s bei einer Mindestüberlassungsdauer von 1
                   Jahr
           2       Entgelt für Zentrale Zeichengabekanäle
           2.1     Jährliches Überlassungsentgelt für den Zentralen Zei­                        349,76 Euro
                   chengabekanal bei einer Mindestüberlassungsdauer von 1
                   Jahr
           3       Entgelte für Kollokationsleistungen
           3.1     Bereitstellung von Kollokationsflächen                                       Nach Aufwand
           3.2     Überlassung von Kollokationsflächen (Raummieten,                             Nach Aufwand
                   Energieversorgung, Klimatisierung, Betriebskosten,
                   Bestandsführung, Zutritt zu Kollokationsbereich)




                                                                                                         Bonn, 10. Dezember 2014
102

Amtsblatt der Bundesnetzagentur
                                  für Elektrizität, Gas, Telekommunikation, Post und Eisenbahnen
23 2014                      – Mitteilungen, Telekommunikation, Teil A, Mitteilungen der Bundesnetzagentur –   4187


           4       Entgelte für Zusammenschaltungs- und
                   Konfigurationsmaßnahmen
           4.1     Maßnahmen zur Errichtung und Änderung der                                    Nach Aufwand
                   Zusammenschaltung (insbesondere Verkehrsweglenkung und
                   –registrierung
           4.2     Durchführung von Zusammenschaltungs- und                                     Nach Aufwand
                   Interoperabilitätstests (einschließlich Anmietung einer
                   Testumgebung

     4. Die Beschlusskammer behält sich vor, nachträglich eine Auflage aufzunehmen, wonach, wenn die An-
        tragstellerin einen an eine geographische Rufnummer gerichteten Anruf unternehmensintern von der
        Festnetzsparte übernimmt und im Mobilfunknetz terminiert, der interne Verrechnungspreis für den Ter-
        minierungsdienst einen bestimmten Betrag nicht unterschreiten darf.



BK3a-14/014




Mitteilung Nr. 1391/2014

TKG § 35 Abs. 7 i. V. m. § 5 S.1 TKG;

Tenor der vorläufigen Genehmigung von Terminierungsleistungen im virtuellen Mobilfunknetz der Sip-
gate Wireless GmbH und weiterer damit in Zusammenhang stehender Leistungsentgelte

Die Beschlusskammer 3 der Bundesnetzagentur für Elektrizität, Gas, Telekommunikation, Post und Eisenbah-
nen hat beschlossen:

     1. Gemäß § 13 Abs. 1 S. 2 i.V.m. § 12 Abs. 3 S. 1 Alt. 2 TKG entsprechend werden die in Ziffern 1. und
        2. des anliegenden Beschlussentwurfs tenorierten Entgelte mit Wirkung ab dem 01.12.2014 vorläufig
        genehmigt.

     2. Die vorläufige Genehmigung und die Nebenbestimmung in Ziffer 4. des Tenors gelten bis zum Wirk-
        samwerden der Entscheidung im Hauptsacheverfahren.

     3. Im Übrigen wird der Antrag zu VII. aus dem Antragsschreiben der Antragstellerin vom 20.08.2014 ab-
        gelehnt.

Tenor des der vorläufigen Genehmigung anliegenden Beschlussentwurfs

     1. Das Verbindungsentgelt für die Terminierung im Mobilfunknetz der Antragstellerin wird ab dem
        01.12.2014 wie folgt genehmigt:

         a. bis zum 30.11.2015:			                              1,72 Eurocent/Min.

         b. ab dem 01.12.2015: 			                              1,66 Eurocent/Min.

     2. Die Entgelte für Zugangsleistungen im Zusammenhang mit der Terminierung im Mobilfunknetz der
        Antragstellerin werden ab dem 01.12.2014 wie folgt genehmigt:




Bonn, 10. Dezember 2014
103

Amtsblatt der Bundesnetzagentur
                                  für Elektrizität, Gas, Telekommunikation, Post und Eisenbahnen
4188                         – Mitteilungen, Telekommunikation, Teil A, Mitteilungen der Bundesnetzagentur –   23 2014


           Pos.                                  Leistung                                         Entgelt (netto)
           1       Entgelte für Intra-Building-Abschnitte
           1.1     Einmaliges Bereitstellungsentgelt je Intra-Building-Abschnitt                483,55 Euro
                   2Mbit/s
           1.2     Jährliches Überlassungsentgelt für den Intra-Building-                       788,08 Euro
                   Abschnitt 2Mbit/s bei einer Mindestüberlassungsdauer von 1
                   Jahr
           2       Entgelt für Zentrale Zeichengabekanäle
           2.1     Jährliches Überlassungsentgelt für den Zentralen Zei­                        349,76 Euro
                   chengabekanal bei einer Mindestüberlassungsdauer von 1
                   Jahr
           3       Entgelte für Kollokationsleistungen
           3.1     Bereitstellung von Kollokationsflächen                                       Nach Aufwand
           3.2     Überlassung von Kollokationsflächen (Raummieten,                             Nach Aufwand
                   Energieversorgung, Klimatisierung, Betriebskosten,
                   Bestandsführung, Zutritt zu Kollokationsbereich)
           4       Entgelte für Zusammenschaltungs- und
                   Konfigurationsmaßnahmen
           4.1     Maßnahmen zur Errichtung und Änderung der                                    Nach Aufwand
                   Zusammenschaltung (insbesondere Verkehrsweglenkung und
                   –registrierung
           4.2     Durchführung von Zusammenschaltungs- und                                     Nach Aufwand
                   Interoperabilitätstests (einschließlich Anmietung einer
                   Testumgebung

     4. Die Genehmigung nach Ziffer 1. steht unter dem Vorbehalt der Änderung für den Fall, dass ein nicht
        unerheblicher Anteil von Terminierungsleistungen ohne Nutzung einer Luftschnittstelle erbracht werden
        sollte.



BK3b-14/026




Mitteilung Nr. 1392/2014

TKG § 35 Abs. 7 i. V. m. § 5 S.1 TKG;

Tenor der vorläufigen Genehmigung von Terminierungsleistungen im virtuellen Mobilfunknetz der Lyca-
mobile Germany GmbH und weiterer damit in Zusammenhang stehender Leistungsentgelte

Die Beschlusskammer 3 der Bundesnetzagentur für Elektrizität, Gas, Telekommunikation, Post und Eisenbah-
nen hat beschlossen:

     1. Gemäß § 13 Abs. 1 S. 2 i.V.m. § 12 Abs. 3 S. 1 Alt. 2 TKG entsprechend werden die in Ziffern 1. und
        2. des anliegenden Beschlussentwurfs tenorierten Entgelte mit Wirkung ab dem 01.12.2014 vorläufig
        genehmigt.


                                                                                                         Bonn, 10. Dezember 2014
104

Zur nächsten Seite