abl-17

Dieses Dokument ist Teil der Anfrage „Amtsblätter bis 2018

/ 520
PDF herunterladen
Amtsblatt der Bundesnetzagentur
                           für Elektrizität, Gas, Telekommunikation, Post und Eisenbahnen
2714                 – Mitteilungen, Telekommunikation, Teil A, Mitteilungen der Bundesnetzagentur –       17 2013


   c)   Migrationsprozess

   Zur Frage, ob die Unternehmen Ihr Telekommunikationsnetz bereits in Teilen auf IP umge-
   stellt bzw. innerhalb der nächsten zweieinhalb Jahre eine Umstellung der Netze auf IP beab-
   sichtigen, wurden von den 55 Unternehmen folgende Angaben getätigt:

                                     Umstellung auf IP                             Keine An-            Keine
                                                                                    gaben              Antwort
                      Ja           Ja, zum          geplant           Nein
                                     Teil
   Unternehmen        14             17                 8               5                9                 2

   Hinsichtlich des zeitlichen Ablaufs sowie den Auswirkungen auf die Netz- und Zusammen-
   schaltungsstruktur wurden von den 55 Unternehmen folgende Angaben getätigt:

                           Auswirkungen vorhanden                   Keine Angaben            Keine Antwort
                                                                    bzw. Frage nicht
                                                                       relevant
   Unternehmen                           32                               21                           2

   Die zeitliche Planung der Unternehmen sehe einen Zeitraum von zwei bis zehn Jahre bis zur
   Umstellung auf eine IP-Zusammenschaltungsstruktur vor. Diese orientiere sich u. a. auch an
   den Vorgaben der TDG. Als eine der wesentlichen Auswirkungen auf die Netz- und Zusam-
   menschaltungsstruktur wurde von einigen Unternehmen ausgeführt, dass Zusammenschal-
   tungen auf IP-Basis im Vergleich zu PSTN-Zusammenschaltungen eine geringere Anzahl an
   ICAs und damit weniger Investitionen erforderten. Darüber hinaus könne die PSTN-Struktur
   schrittweise angebaut werden.

   3.   IN-Abfrage

   Die TDG hat zu der Thematik unter anderem ausgeführt, dass nichtgeografische Mehrwert-
   diensterufnummern über das IN geführt würden, um zwischen Diensten anderer Netzbetrei-
   ber und eigenen Diensten zu unterscheiden. Dies gelte sowohl für Verbindungen mit Ur-
   sprung im TDG-Netz als auch für Verbindungen mit Ursprung in anderen Fest- und Mobil-
   funknetzen. Ferner diene die IN-Abfrage dazu, eine Information zum Routing (nächster
   Netzübergang zum jeweiligen Carrier/Diensteanbieter) zu erhalten.

   Sowohl [B. u. G.] als auch [B. u. G.], die jeweils eine eigene IN-Abfrage durchführen, haben
   ausgeführt, dass eine Übergabe an andere Netzbetreiber derzeit nicht rentabel sei. So führt
   [B. u. G.] beispielsweise aus, dass die IN-Abfrage derzeit ausschließlich zum Ausfiltern der
   eigenen IN-Rufnummern diene, da das „Setzen“ des richtigen Flags für weitere Netzbetreiber
   derzeit ökonomisch nicht belohnt werde. [B. u. G.] gibt in diesem Zusammenhang an, dass
   der restliche, nicht sortierte Verkehr an die TDG übergeben werde, da sich aus Kosten-
   Nutzen-Gründen eine Übergabe an andere Netzbetreiber u. a. wegen des geringen Minuten-
   volumens bzw. wegen erhöhter Abrechnungsaufwände nicht rechne.

   4.   Betreiberauswahl- und Betreibervorauswahl

   Zum Fragenkomplex „Betreiberauswahl bzw. Betreibervorauswahl“ wurden von den 55 Un-
   ternehmen folgende Angaben getätigt:




                                                  - - 45 - -



                                                                                                 Bonn, 11. September 2013
138

Amtsblatt der Bundesnetzagentur
                                    für Elektrizität, Gas, Telekommunikation, Post und Eisenbahnen
17 2013                        – Mitteilungen, Telekommunikation, Teil A, Mitteilungen der Bundesnetzagentur –         2715


                                 Änderungen            Keine Änderun-         Keine Angaben            Keine Antwort
                                  denkbar                   gen               bzw. Frage nicht
                                                                                 relevant
         Unternehmen                    140                     8                    44                          2

         Die TDG trägt vor, dass sich an der Situation bezüglich CIC-Hosting nichts geändert habe.
         Grundlage für die technische Realisierung der Betreiber(vor)auswahl sei nach wie vor die
         multilateral abgestimmte AKNN-Spezifikation "Betreiberauswahl (Carrier Selection)". Dem-
         entsprechend werde einem Verbindungsnetzbetreiber bei der Zuführung einer Verbindung
         an der Netzgrenze nur die Rufnummer des B-Teilnehmers als Routinginformation über Ver-
         kehrsstrom B übermittelt, so dass über den Verkehrsstrom erkennbar sei, dass der ICP aus-
         gewählter VNB sei. Das heißt, die Verbindung werde ohne die Betreiberkennzahl übergeben.
         Eine nachgelagerte Aufteilung des zugeführten B.2-Verkehrs auf unterschiedliche Betreiber-
         kennzahlen sei insofern nicht möglich.

         Nach Erkenntnissen von [B. u. G.] sei das CIC-Hosting in der Zwischenzeit durchaus tech-
         nisch möglich. Dieses werde auch dringend für Diensteanbieter ohne eigenes Netz, die sich
         jedoch eigene Rufnummern zuteilen lassen können, unbedingt benötigt. Hier erscheine eine
         Änderung des bisherigen Regimes unbedingt angezeigt, da neue Geschäftsmodelle hier-
         durch erheblich behindert würden, obwohl an anderer Stelle (Stichwort Nummernzuteilung)
         entsprechende Möglichkeiten bereits bestünden.

         5.        Substituierbarkeit

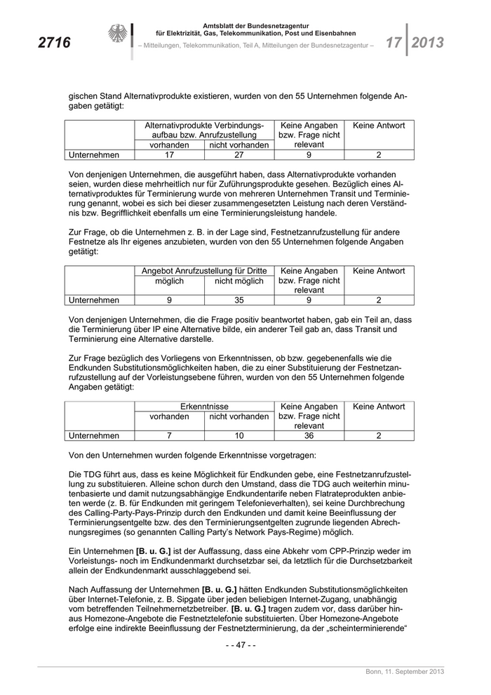
         Zur Frage, ob derzeit und gegebenenfalls inwieweit aus Nachfragersicht von Verbindungs-
         aufbauleistungen bzw. Leistungen der Anrufzustellung in andere Festnetze nach dem derzei-
         tigen technologischen Stand Alternativprodukte unter Berücksichtigung von technischen und
         ökonomischen Gesichtspunkten existieren, wurden von den 55 Unternehmen folgende An-
         gaben getätigt:

                                 Alternativprodukte Verbindungs-              Keine Angaben            Keine Antwort
                                   aufbau bzw. Anrufzustellung                bzw. Frage nicht
                                  vorhanden       nicht vorhanden                relevant
         Unternehmen                   14                28                         11                           2

         Von denjenigen Unternehmen, die ausgeführt haben, dass Alternativprodukte vorhanden
         seien, wurden des Öfteren die nachfolgende Alternative sowohl für die Zuführungs- als auch
         die Terminierungsleistung genannt. So gibt beispielsweise [B. u. G.] an, dass eine Aus-
         tauschbarkeit von leitungsvermittelten Verbindungsaufbauleistungen, die auf PSTN-Ebene
         übergeben bzw. übernommen werden, mit paketvermittelten Leistungen, die auf IP-Ebene
         übergeben bzw. übernommen werden, bestünden.

         Eine solche technische Austauschbarkeit wäre jedoch nur dann gegeben, wenn diese mit
         einer garantierten, dem PSTN entsprechenden Qualität („Quality of Service“, QoS) erfolge.
         Diese Alternative wurde auch von den Unternehmen [B. u. G.] genannt.

         Bezüglich eines weiteren Alternativproduktes für Terminierung wurde zudem von mehreren
         Unternehmen eine so genannte Transitleistung (inklusive einer Terminierungsleistung im
         Sinne des Verständnisses der Bundesnetzagentur) durch ein drittes Unternehmen genannt.

         Zur Frage, ob es derzeit und gegebenenfalls inwieweit aus Anbietersicht für die Verbin-
         dungsaufbauleistung bzw. die Leistung der Anrufzustellung nach dem derzeitigen technolo-

         40
              [B. u. G.].

                                                            - - 46 - -



Bonn, 11. September 2013
139

Amtsblatt der Bundesnetzagentur
                          für Elektrizität, Gas, Telekommunikation, Post und Eisenbahnen
2716                 – Mitteilungen, Telekommunikation, Teil A, Mitteilungen der Bundesnetzagentur –       17 2013


   gischen Stand Alternativprodukte existieren, wurden von den 55 Unternehmen folgende An-
   gaben getätigt:

                       Alternativprodukte Verbindungs-              Keine Angaben            Keine Antwort
                         aufbau bzw. Anrufzustellung                bzw. Frage nicht
                        vorhanden       nicht vorhanden                relevant
   Unternehmen               17                27                          9                           2

   Von denjenigen Unternehmen, die ausgeführt haben, dass Alternativprodukte vorhanden
   seien, wurden diese mehrheitlich nur für Zuführungsprodukte gesehen. Bezüglich eines Al-
   ternativproduktes für Terminierung wurde von mehreren Unternehmen Transit und Terminie-
   rung genannt, wobei es sich bei dieser zusammengesetzten Leistung nach deren Verständ-
   nis bzw. Begrifflichkeit ebenfalls um eine Terminierungsleistung handele.

   Zur Frage, ob die Unternehmen z. B. in der Lage sind, Festnetzanrufzustellung für andere
   Festnetze als Ihr eigenes anzubieten, wurden von den 55 Unternehmen folgende Angaben
   getätigt:

                      Angebot Anrufzustellung für Dritte            Keine Angaben            Keine Antwort
                         möglich        nicht möglich               bzw. Frage nicht
                                                                       relevant
   Unternehmen                9                      35                    9                           2

   Von denjenigen Unternehmen, die die Frage positiv beantwortet haben, gab ein Teil an, dass
   die Terminierung über IP eine Alternative bilde, ein anderer Teil gab an, dass Transit und
   Terminierung eine Alternative darstelle.

   Zur Frage bezüglich des Vorliegens von Erkenntnissen, ob bzw. gegebenenfalls wie die
   Endkunden Substitutionsmöglichkeiten haben, die zu einer Substituierung der Festnetzan-
   rufzustellung auf der Vorleistungsebene führen, wurden von den 55 Unternehmen folgende
   Angaben getätigt:

                               Erkenntnisse                         Keine Angaben            Keine Antwort
                        vorhanden     nicht vorhanden               bzw. Frage nicht
                                                                       relevant
   Unternehmen                7                      10                   36                           2

   Von den Unternehmen wurden folgende Erkenntnisse vorgetragen:

   Die TDG führt aus, dass es keine Möglichkeit für Endkunden gebe, eine Festnetzanrufzustel-
   lung zu substituieren. Alleine schon durch den Umstand, dass die TDG auch weiterhin minu-
   tenbasierte und damit nutzungsabhängige Endkundentarife neben Flatrateprodukten anbie-
   ten werde (z. B. für Endkunden mit geringem Telefonieverhalten), sei keine Durchbrechung
   des Calling-Party-Pays-Prinzip durch den Endkunden und damit keine Beeinflussung der
   Terminierungsentgelte bzw. des den Terminierungsentgelten zugrunde liegenden Abrech-
   nungsregimes (so genannten Calling Party’s Network Pays-Regime) möglich.

   Ein Unternehmen [B. u. G.] ist der Auffassung, dass eine Abkehr vom CPP-Prinzip weder im
   Vorleistungs- noch im Endkundenmarkt durchsetzbar sei, da letztlich für die Durchsetzbarkeit
   allein der Endkundenmarkt ausschlaggebend sei.

   Nach Auffassung der Unternehmen [B. u. G.] hätten Endkunden Substitutionsmöglichkeiten
   über Internet-Telefonie, z. B. Sipgate über jeden beliebigen Internet-Zugang, unabhängig
   vom betreffenden Teilnehmernetzbetreiber. [B. u. G.] tragen zudem vor, dass darüber hin-
   aus Homezone-Angebote die Festnetztelefonie substituierten. Über Homezone-Angebote
   erfolge eine indirekte Beeinflussung der Festnetzterminierung, da der „scheinterminierende“

                                                  - - 47 - -


                                                                                                 Bonn, 11. September 2013
140

Amtsblatt der Bundesnetzagentur
                                  für Elektrizität, Gas, Telekommunikation, Post und Eisenbahnen
17 2013                      – Mitteilungen, Telekommunikation, Teil A, Mitteilungen der Bundesnetzagentur –          2717


         Festnetzpartner des Mobilfunkunternehmens aufgrund regulatorischer Erlaubnis die für den
         restlichen Teil des Marktes festgelegten, nichtdiskriminierend anzuwendenden Festnetzter-
         minierungsentgelte unterlaufen könne.

         Gemäß der Aussage von [B. u. G.] hätten die Endkunden des terminierenden Unterneh-
         mens derzeit nur eine begrenzte Möglichkeit der Substitution. Sie könnten einerseits ein Ge-
         spräch auf ihrem Festnetzanschluss nicht entgegennehmen. Dann entginge ihnen allerdings
         auch der Nutzen des Gesprächs, falls der Anrufer nicht noch andere Möglichkeiten (z. B.
         Mobilfunknummer oder Skype-ID) der Kontaktaufnahme hätte. Andererseits könnten sie
         ausgehende Gespräche vorrangig unter der Rufnummer (bzw. dem Netz) führen, unter wel-
         cher sie gerne zurückgerufen werden wollen. So könnten sie zumindest statistisch etwas das
         Verhalten der anrufenden Partei beeinflussen.

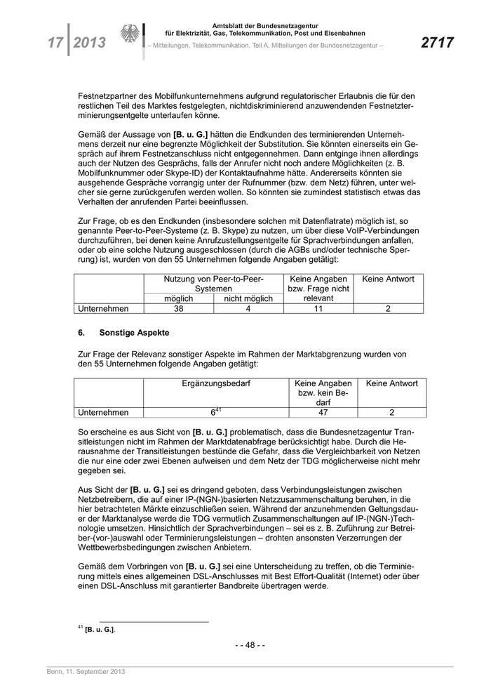
         Zur Frage, ob es den Endkunden (insbesondere solchen mit Datenflatrate) möglich ist, so
         genannte Peer-to-Peer-Systeme (z. B. Skype) zu nutzen, um über diese VoIP-Verbindungen
         durchzuführen, bei denen keine Anrufzustellungsentgelte für Sprachverbindungen anfallen,
         oder ob eine solche Nutzung ausgeschlossen (durch die AGBs und/oder technische Sper-
         rung) ist, wurden von den 55 Unternehmen folgende Angaben getätigt:

                                  Nutzung von Peer-to-Peer-                 Keine Angaben            Keine Antwort
                                          Systemen                          bzw. Frage nicht
                                  möglich       nicht möglich                  relevant
         Unternehmen                38                 4                          11                           2

         6.        Sonstige Aspekte

         Zur Frage der Relevanz sonstiger Aspekte im Rahmen der Marktabgrenzung wurden von
         den 55 Unternehmen folgende Angaben getätigt:

                                        Ergänzungsbedarf                      Keine Angaben           Keine Antwort
                                                                               bzw. kein Be-
                                                                                   darf
         Unternehmen                              641                               47                         2

         So erscheine es aus Sicht von [B. u. G.] problematisch, dass die Bundesnetzagentur Tran-
         sitleistungen nicht im Rahmen der Marktdatenabfrage berücksichtigt habe. Durch die He-
         rausnahme der Transitleistungen bestünde die Gefahr, dass die Vergleichbarkeit von Netzen
         die nur eine oder zwei Ebenen aufweisen und dem Netz der TDG möglicherweise nicht mehr
         gegeben sei.

         Aus Sicht der [B. u. G.] sei es dringend geboten, dass Verbindungsleistungen zwischen
         Netzbetreibern, die auf einer IP-(NGN-)basierten Netzzusammenschaltung beruhen, in die
         hier betrachteten Märkte einzuschließen seien. Während der anzunehmenden Geltungsdau-
         er der Marktanalyse werde die TDG vermutlich Zusammenschaltungen auf IP-(NGN-)Tech-
         nologie umsetzen. Hinsichtlich der Sprachverbindungen – sei es z. B. Zuführung zur Betrei-
         ber-(vor-)auswahl oder Terminierungsleistungen – drohten ansonsten Verzerrungen der
         Wettbewerbsbedingungen zwischen Anbietern.

         Gemäß dem Vorbringen von [B. u. G.] sei eine Unterscheidung zu treffen, ob die Terminie-
         rung mittels eines allgemeinen DSL-Anschlusses mit Best Effort-Qualität (Internet) oder über
         einen DSL-Anschluss mit garantierter Bandbreite übertragen werde.



         41
              [B. u. G.].

                                                          - - 48 - -


Bonn, 11. September 2013
141

Amtsblatt der Bundesnetzagentur
                               für Elektrizität, Gas, Telekommunikation, Post und Eisenbahnen
2718                     – Mitteilungen, Telekommunikation, Teil A, Mitteilungen der Bundesnetzagentur –       17 2013


   [B. u. G.] führt aus, dass die weite Verbreitung von Flatrates (insbesondere im Mobilfunkbe-
   reich) zunehmend zu signifikantem Missbrauch führe. Hierbei riefen sich am Markt registrier-
   te Verbindungsnetzbetreiber (oder deren Reseller) selbst von Flatrate-Endgeräten auf eige-
   nen Nummern an. Die hohen Ausschüttungen der TDG (TZ III und TZ II) führten zu schnel-
   lem Return on Investment (ROI). Den Schaden trage der Flatrateanbieter.

   III.   Beträchtliche Marktmacht
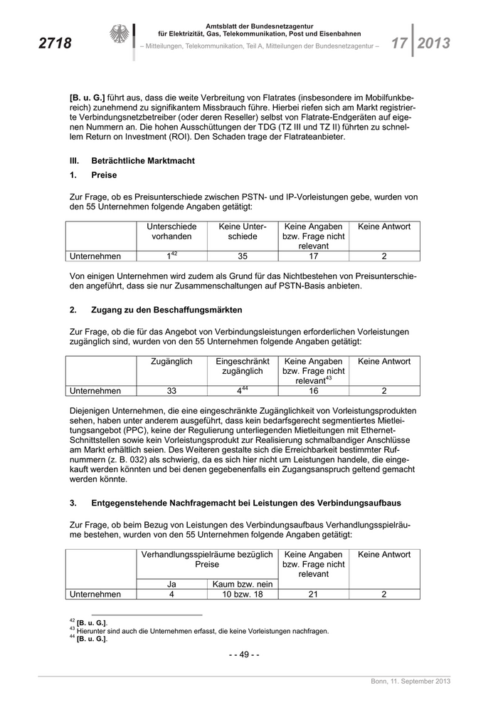
   1.     Preise

   Zur Frage, ob es Preisunterschiede zwischen PSTN- und IP-Vorleistungen gebe, wurden von
   den 55 Unternehmen folgende Angaben getätigt:

                           Unterschiede            Keine Unter-         Keine Angaben            Keine Antwort
                            vorhanden                schiede            bzw. Frage nicht
                                                                           relevant
   Unternehmen                   142                     35                    17                          2

   Von einigen Unternehmen wird zudem als Grund für das Nichtbestehen von Preisunterschie-
   den angeführt, dass sie nur Zusammenschaltungen auf PSTN-Basis anbieten.

   2.     Zugang zu den Beschaffungsmärkten

   Zur Frage, ob die für das Angebot von Verbindungsleistungen erforderlichen Vorleistungen
   zugänglich sind, wurden von den 55 Unternehmen folgende Angaben getätigt:

                             Zugänglich           Eingeschränkt         Keine Angaben            Keine Antwort
                                                    zugänglich          bzw. Frage nicht
                                                                           relevant43
   Unternehmen                    33                     444                   16                          2

   Diejenigen Unternehmen, die eine eingeschränkte Zugänglichkeit von Vorleistungsprodukten
   sehen, haben unter anderem ausgeführt, dass kein bedarfsgerecht segmentiertes Mietlei-
   tungsangebot (PPC), keine der Regulierung unterliegenden Mietleitungen mit Ethernet-
   Schnittstellen sowie kein Vorleistungsprodukt zur Realisierung schmalbandiger Anschlüsse
   am Markt erhältlich seien. Des Weiteren gestalte sich die Erreichbarkeit bestimmter Ruf-
   nummern (z. B. 032) als schwierig, da es sich hier nicht um Leistungen handele, die einge-
   kauft werden könnten und bei denen gegebenenfalls ein Zugangsanspruch geltend gemacht
   werden könnte.

   3.     Entgegenstehende Nachfragemacht bei Leistungen des Verbindungsaufbaus

   Zur Frage, ob beim Bezug von Leistungen des Verbindungsaufbaus Verhandlungsspielräu-
   me bestehen, wurden von den 55 Unternehmen folgende Angaben getätigt:

                         Verhandlungsspielräume bezüglich               Keine Angaben            Keine Antwort
                                     Preise                             bzw. Frage nicht
                                                                           relevant
                                  Ja            Kaum bzw. nein
   Unternehmen                    4               10 bzw. 18                    21                         2

   42
      [B. u. G.].
   43
      Hierunter sind auch die Unternehmen erfasst, die keine Vorleistungen nachfragen.
   44
      [B. u. G.].

                                                      - - 49 - -


                                                                                                     Bonn, 11. September 2013
142

Amtsblatt der Bundesnetzagentur
                                    für Elektrizität, Gas, Telekommunikation, Post und Eisenbahnen
17 2013                       – Mitteilungen, Telekommunikation, Teil A, Mitteilungen der Bundesnetzagentur –          2719


         Das Unternehmen [B. u. G.] gibt in diesem Zusammenhang an, dass je nach Ziel ein Ver-
         handlungsspielraum von fünf bis 30 Prozent vorliege.

         Zur Frage, inwieweit sich das eigene Unternehmen beim Angebot von Leistungen des Ver-
         bindungsaufbaus einer entgegenstehenden Verhandlungsmacht der Nachfrageseite ausge-
         setzt sieht, wurden von den 55 Unternehmen folgende Angaben getätigt:

                                        Verhandlungsmacht                    Keine Angaben            Keine Antwort
                                                                             bzw. Frage nicht
                                       Ja                    Nein               relevant
         Unternehmen                   8                      11                   34                           2

         Zur Frage, ob sich hier innerhalb der letzten zwei Jahre wesentliche Änderungen ergeben
         haben, wurden von den 55 Unternehmen folgende Angaben getätigt:

                                            Änderungen                       Keine Angaben            Keine Antwort
                                                                             bzw. Frage nicht
                                       Ja                    Nein               relevant
         Unternehmen                   2                      14                   37                           2


         4.     Entgegenstehende Nachfragemacht bei Leistungen der Anrufzustellung
         a)     Anbietersicht

         Zur Frage, inwieweit sich das eigene Unternehmen beim Angebot von Leistungen der Anruf-
         zustellung einer entgegengerichteten Nachfragemacht des Verhandlungspartners ausgesetzt
         sieht, wurden von den 55 Unternehmen folgende Angaben getätigt:

                                          Nachfragemacht                     Keine Angaben            Keine Antwort
                                                                             bzw. Frage nicht
                                       Ja                    Nein               relevant
         Unternehmen                   17                     17                   19                           2

         Das Unternehmen [B. u. G.] führt aus, dass in Vertragsverhältnissen mit Wettbewerbern mit
         Ausnahme der TDG je nach Nachfrager ein unterschiedlicher Grad entgegengerichteter rela-
         tiver Nachfragemacht bestehe, der sich – hauptsächlich bedingt durch Nachfragemengen –
         in unterschiedlichen Preisen ausdrücke.

         Das Unternehmen [B. u. G.] trägt vor, dass sich [B. u. G.] weigerten, Anrufe in Festnetze
         zuzustellen, die Endkunden zur Realisierung von so genannten Call-Trough-Diensten45
         (0800er Rufnummern) nutzten. Eine Zustellung erfolge nur dann, wenn Terminierungsleis-
         tungen kostenlos gegenüber [B. u. G.] erbracht werden würden. Dies sei sowohl technisch
         als auch kaufmännisch unmöglich. [B. u. G.] leite den Verkehr nun indirekt ins Netz von
         [B. u. G.] mit schlechter Qualität.

         [B. u. G.] führt in diesem Zusammenhang aus, dass die Nachfragemacht der TDG erdrü-
         ckend sei. Bestes Beispiel für die erdrückende Nachfragemacht sei, dass [B. u. G.] gegen-
         über der TDG nicht die Vertragsbedingungen für die eigenen Terminierungsleistungen set-
         zen bzw. durchsetzen könne. Anders als in Zusammenschaltungen mit anderen Festnetz-
         partnern setze hier nicht der Anbieter, sondern der Nachfrager die Vertragsbedingungen.
         [B. u. G.] unterliege im Bereich der Anrufzustellung zwar grundsätzlich der Regulierung, je-
         doch nicht der Zusammenschaltungspflicht. Mit diesem – nicht-reziproken – Verpflichtungs-

         45
            Unter Call-Through bezeichnet man ein Verfahren, bei dem Verbindungsleistungen durch einen Diensteanbie-
         ter vermittelt werden, der nicht Betreiber des für den Anruf verwendeten Teilnehmeranschlusses ist.

                                                           - - 50 - -


Bonn, 11. September 2013
143

Amtsblatt der Bundesnetzagentur
                           für Elektrizität, Gas, Telekommunikation, Post und Eisenbahnen
2720                  – Mitteilungen, Telekommunikation, Teil A, Mitteilungen der Bundesnetzagentur –       17 2013


   regime werde ausschließlich der Nachfrager TDG gestärkt, da [B. u. G.] sich bezüglich An-
   ordnungsentscheidungen nicht mehr an die Bundesnetzagentur wenden könne.

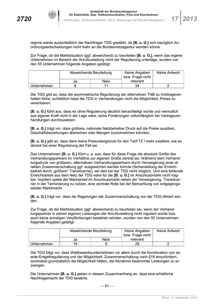
   Zur Frage, ob die Marktsituation (ggf. abweichend) zu beurteilen [B. u. G.], wenn das eigene
   Unternehmen im Bereich der Anrufzustellung nicht der Regulierung unterläge, wurden von
   den 55 Unternehmen folgende Angaben getätigt:

                            Abweichende Beurteilung                  Keine Angaben            Keine Antwort
                                                                     bzw. Frage nicht
                               Ja                    Nein               relevant
   Unternehmen                 8                      11                   34                           2

   Die TDG gibt an, dass die asymmetrische Regulierung der alternativen TNB zu Arbitragever-
   halten führe; schließlich habe die TDG in Verhandlungen nicht die Möglichkeit, Preise zu
   vereinbaren.

   [B. u. G.] führt aus, dass es ohne Regulierung deutlich benachteiligt würde und vermutlich
   aus eigener Kraft nicht in der Lage wäre, seine Forderungen vollumfänglich bei Vertragsver-
   handlungen durchzusetzen.

   [B. u. G.] trägt vor, dass größere, nationale Netzbetreiber Druck auf die Preise ausüben,
   Geschäftsbeziehungen abbrechen oder Mengen zurücknehmen könnten.

   [B. u. G.] gibt an, dass dann keine Preisuntergrenze für den Tarif TZ I mehr existiere, wie es
   derzeit bei einer Regulierung der Fall sei.

   Das Unternehmen [B. u. G.] führt u. a. aus, dass für diese Frage die absolute Größe des
   Verhandlungspartners im Verhältnis zur eigenen Größe zentral sei. Während dem Verhand-
   lungsdruck von größeren, alternativen Verhandlungspartnern durch Verweigerung einer di-
   rekten Zusammenschaltung ggf. ausgewichen werden könnte (Sicherstellung der Erreich-
   barkeit durch „größere“ Transitcarrier), sei dies bei der TDG nicht möglich. Und eine fehlende
   Erreichbarkeit aus dem Netz der TDG wäre für die [B. u. G.] im Anschlussmarkt nicht trag-
   bar. Insofern spiele der Marktanteil im Anschlussmarkt neben der Verweigerung, Transitcar-
   rier in der Terminierung zu nutzen, eine zentrale Rolle bei der Betrachtung von entgegenge-
   setzter Marktmacht.

   [B. u. G.] trägt vor, dass die Regelungen der Zusammenschaltung von der TDG diktiert wür-
   den.

   Zur Frage, ob die Marktsituation (ggf. abweichend) zu beurteilen sei, wenn der Verhand-
   lungspartner in seinen eigenen Leistungen der Anrufzustellung nicht reguliert würde bzw.
   auch keine sonstigen Verpflichtungen bestehen würden, wurden von den 55 Unternehmen
   folgende Angaben getätigt:

                            Abweichende Beurteilung                  Keine Angaben            Keine Antwort
                                                                     bzw. Frage nicht
                              Ja                     Nein               relevant
   Unternehmen                19                      5                    29                           2

   Die TDG trägt vor, dass Wettbewerbsunternehmen vor allem durch die Kombination von ex-
   ante-Entgeltregulierung und der Möglichkeit, Zusammenschaltung nach §18 einzufordern,
   zumindest grundsätzlich die Möglichkeit hätten, die Abnahme bestimmter Leistungen zu er-
   zwingen.

   Die Unternehmen [B. u. G.] geben in diesem Zusammenhang an, dass eine erhebliche
   Nachfragemacht der TDG bestehe.

                                                   - - 51 - -


                                                                                                  Bonn, 11. September 2013
144

Amtsblatt der Bundesnetzagentur
                                für Elektrizität, Gas, Telekommunikation, Post und Eisenbahnen
17 2013                    – Mitteilungen, Telekommunikation, Teil A, Mitteilungen der Bundesnetzagentur –         2721


         Das Unternehmen [B. u. G.] gibt an, dass es in Vertragsverhältnissen mit Wettbewerbern
         von der Bedeutung der Erreichbarkeit der Endkunden des jeweiligen Wettbewerbers abhin-
         ge, inwieweit es einer entgegengerichteten Nachfragemacht ausgesetzt wäre.

         [B. u. G.] trägt vor, dass größere, nationale Netzbetreiber Ihre Marktmacht nutzen könnten,
         um höhere Preise zu verlangen, so dass kleinere Carrier ggf. nicht mehr in der Lage wären,
         Flatrates anzubieten.

         Das Unternehmen [B. u. G.] gibt an, dass die TDG ein Zusammenschaltungsangebot ver-
         weigern könne.

         Das Unternehmen [B. u. G.] führt aus, dass sich bei Entlassung der TGD aus der Regulie-
         rung eine Missbrauchssituation einstellen könne. Von den übrigen Netzbetreibern sei dies
         nicht zu erwarten. Bei der TDG begründe sich dies darauf, dass die TDG trotz des großen
         Anstiegs der Endkundenzahlen von [B. u. G.] die mittel- und langfristige ICA-Planung nicht
         anpasse. Dies könnte zu Netzengpässen in Form der Nichterreichbarkeit der Endkunden von
         Unitymedia führen. Ein weiteres Beispiel sei das Ausfallrouting. Die TDG weigere sich ein
         Ausfallrouting in die Verkehrsrichtung von [B. u. G.] einzurichten.

         [B. u. G.] trägt vor, dass die TDG beispielsweise regelmäßig die Interconnection-Anschlüsse
         nicht als Leistung der Zusammenschaltungspartner anerkenne und auch nicht zu einer Ver-
         gütung dieser bereit sei, obwohl sie diese nutze.

         b)     Nachfragersicht gegenüber Festnetzbetreibern

         Zur Frage, inwieweit und gegebenenfalls durch welche Instrumente aus der Sicht des eige-
         nen Unternehmens als Nachfrager von Leistungen der Anrufzustellung die Möglichkeit, direkt
         Nachfragemacht auszuüben, besteht, wurden von den 55 Unternehmen folgende Angaben
         getätigt:

                                      Nachfragemacht                      Keine Angaben            Keine Antwort
                                                                          bzw. Frage nicht
                                    Ja            Kaum bzw. nein             relevant
         Unternehmen                6               4 bzw. 27                   16                           2

         Das Unternehmen [B. u. G.] gibt in diesem Zusammenhang an, dass die einzige Möglichkeit
         der Ausübung von Nachfragemacht in einer Mengenrücknahme bestehe.

         Zur Frage, ob die beim Bezug von Verbindungsleistungen in andere Festnetze trotz Regulie-
         rung der Festnetzanrufzustellungsentgelte Verhandlungsspielräume (gegebenenfalls welche)
         bezüglich der Preise bestehen, wurden von den 55 Unternehmen folgende Angaben getätigt:

                            Verhandlungsspielräume bezüglich              Keine Angaben            Keine Antwort
                                        Preise                            bzw. Frage nicht
                                                                             relevant
                                   Ja             Kaum bzw. nein
         Unternehmen               16                   5                         32                         2

         Das Unternehmen [B. u. G.] führt aus, dass Verhandlungsspielräume in Abhängigkeit des
         bestehenden Geschäftsumfangs (Nachfragemengen) bestünden.

         Das Unternehmen [B. u. G.] gibt an, dass einziger Spielraum die Bildung von Mischkalkula-
         tionen auf Basis der verschiedenen Tarifzonen sei.


                                                        - - 52 - -



Bonn, 11. September 2013
145

Amtsblatt der Bundesnetzagentur
                           für Elektrizität, Gas, Telekommunikation, Post und Eisenbahnen
2722                  – Mitteilungen, Telekommunikation, Teil A, Mitteilungen der Bundesnetzagentur –       17 2013


   Zur Frage, ob die Marktsituation (ggf. abweichend) zu beurteilen sei, wenn das eigene Un-
   ternehmen im Bereich der Anrufzustellung nicht der Regulierung unterläge, wurden von den
   55 Unternehmen folgende Angaben getätigt:

                            Abweichende Beurteilung                  Keine Angaben            Keine Antwort
                                                                     bzw. Frage nicht
                               Ja                    Nein               relevant
   Unternehmen                 7                      12                   34                           2

   [B. u. G.] trägt vor, dass große, nationale Netzbetreiber Ihre Position ausnutzen und höhere
   Preise verlangen könnten, da nach wie vor ein Großteil der IC-Minuten in das Netz der TDG
   übergeben werde. Mit kleineren, alternativen Carriern könnten dagegen eventuell sogar bes-
   sere Preise reziprok erzielt werden.

   [B. u. G.] führt aus, dass eine flexiblere Preisgestaltung möglich sein könnte.

   [B. u. G.] gibt an, dass andere Abrechnungsmodelle als minutenbasierte denkbar seien, z.
   B. parallele Anrufe in den Hauptverkehrsstunden.

   Zur Frage, ob die Marktsituation (ggf. abweichend) zu beurteilen sei, wenn der Verhand-
   lungspartner in seinen eigenen Leistungen der Anrufzustellung nicht reguliert würde bzw.
   auch keine sonstigen Verpflichtungen bestehen würden, wurden von den 55 Unternehmen
   folgende Angaben getätigt:

                            Abweichende Beurteilung                  Keine Angaben            Keine Antwort
                                                                     bzw. Frage nicht
                              Ja                     Nein               relevant
   Unternehmen                22                      1                    30                           2

   Das Unternehmen [B. u. G.] führt aus, dass die Verhandlungsmacht neu zu definieren sei
   und diese sich allerdings auch ins Gegenteil wenden könne (keine Nachfrage nach Terminie-
   rungsleistungen).

   Das Unternehmen [B. u. G.] gibt an, dass ohne regulierte Standardleistungen bzw. Preise
   marktmächtige Markteilnehmer kleine Anbieter über Preisbildung oder Qualitäts- bzw. Leis-
   tungsbeschränkung aus dem Markt drängen könnten. So seien gegenüber dem Endkunden
   keine Preisaufschläge bzw. Leistungsabschläge verhandelbar.

   Gemäß den Ausführungen der Unternehmen [B. u. G.] sei davon auszugehen, dass die
   TDG ihre Nachfragemacht stärker ausnützen werde.

   [B. u. G.] trägt vor, dass große, nationale Netzbetreiber Ihre Position ausnutzen und höhere
   Preise verlangen könnten, da nach wie vor ein Großteil der IC-Minuten in das Netz der TDG
   übergeben werde. Mit kleineren, alternativen Carriern könnten dagegen eventuell sogar bes-
   sere Preise reziprok erzielt werden.

   Das Unternehmen [B. u. G.] gibt an, dass die TDG ein Zusammenschaltungsangebot ver-
   weigern könne.

   [B. u. G.] führt aus, dass eine flexiblere Preisgestaltung möglich sein könnte.

   [B. u. G.] gibt an, dass andere Abrechnungsmodelle als minutenbasierte denkbar seien, z.
   B. parallele Anrufe in den Hauptverkehrsstunden.

   [B. u. G.] führt in diesem Zusammenhang aus, dass der Wegfall der Regulierung Verhand-
   lungen erst ermöglichen würde, daher wäre die Situation eine andere. In der wirtschaftlichen

                                                   - - 53 - -


                                                                                                  Bonn, 11. September 2013
146

Amtsblatt der Bundesnetzagentur
                                 für Elektrizität, Gas, Telekommunikation, Post und Eisenbahnen
17 2013                    – Mitteilungen, Telekommunikation, Teil A, Mitteilungen der Bundesnetzagentur –          2723


         Praxis wäre aber kaum zu erwarten, dass kleine oder mittelgroße Netzbetreiber überhöhte,
         signifikant über den Produktionskosten liegende Entgelte durchsetzen könnten, da sie sich
         immer einer entgegenstehenden Nachfragemacht ausgesetzt sehen würden. Bei großen
         Netzbetreibern wäre die Situation eine andere. Aufgrund der wirtschaftlichen Gegebenheiten
         würde der Wegfall der Regulierung wahrscheinlich wieder zu überhöhten Monopolpreisen
         dieser Betreiber führen, da sie sich zumindest in Bezug auf kleinere Nachfrager keiner signi-
         fikanten entgegenstehenden Nachfragemacht ausgesetzt sehen würden.

         5.     Einordnung der Anrufe nach Herkunftsnetz bzw. Zielnetz

         Zur Frage, ob im Rahmen der Leistung der Anrufzustellung nach dem Herkunftsnetz des
         Anrufs unterschieden werden kann und ob gegebenenfalls eine Preisdifferenzierung bei feh-
         lender Regulierung denkbar wäre, wurden von den 55 Unternehmen folgende Angaben getä-
         tigt:

                             Unterscheidung nach Herkunfts-               Keine Angaben            Keine Antwort
                                          netz                            bzw. Frage nicht
                               möglich         nicht möglich                 relevant
         Unternehmen              25                 20                          8                           2

                                   Preisdifferenzierung                   Keine Angaben            Keine Antwort
                                 möglich        nicht möglich             bzw. Frage nicht
                                                                             relevant
         Unternehmen               22                      24                    7                           2

         Zur Frage, ob im Rahmen der Leistung des Verbindungsaufbaus nach dem Zielnetz des An-
         rufs unterschieden werden kann und ob gegebenenfalls eine Preisdifferenzierung bei fehlen-
         der Regulierung denkbar wäre, wurden von den 55 Unternehmen folgende Angaben getätigt:

                              Unterscheidung nach Zielnetz                Keine Angaben            Keine Antwort
                               möglich        nicht möglich               bzw. Frage nicht
                                                                             relevant
         Unternehmen               25                      15                   13                           2

                                   Preisdifferenzierung                   Keine Angaben            Keine Antwort
                                 möglich        nicht möglich             bzw. Frage nicht
                                                                             relevant
         Unternehmen               27                      14                   12                           2

         6.     Größenvorteile

         Zur Frage, wie sich die Kosten der hier relevanten Verbindungsleistungen bei einer Verdop-
         pelung des Umsatzes entwickeln, wurden von den 55 Unternehmen folgende Angaben getä-
         tigt:

                                            Angaben                         Keine Angaben           Keine Antwort
                                                                             bzw. nicht ab-
                                                                               schätzbar
         Unternehmen                            31                                22                         2

         Diejenigen Unternehmen, die Angaben zur Kostenentwicklung getätigt haben, führen aus,
         dass die Kosten sich zum Teil ebenfalls verdoppeln würden, zum Teil stiegen sie unter-
         durchschnittlich stark und zum Teil blieben sie konstant.


                                                        - - 54 - -


Bonn, 11. September 2013
147

Zur nächsten Seite