abl-05

Dieses Dokument ist Teil der Anfrage „Amtsblätter bis 2018

/ 260
PDF herunterladen
Amtsblatt der Bundesnetzagentur
                                 für Elektrizität, Gas, Telekommunikation, Post und Eisenbahnen
05 2012                    – Mitteilungen, Telekommunikation, Teil A, Mitteilungen der Bundesnetzagentur –         589



       c)     Migrationsprozess

       Zur Frage, ob die Unternehmen Ihr Telekommunikationsnetz bereits in Teilen auf IP
       umgestellt bzw. innerhalb der nächsten zweieinhalb Jahre eine Umstellung der Netze auf IP
       beabsichtigen, wurden von den 55 Unternehmen folgende Angaben getätigt:

                                         Umstellung auf IP                               Keine            Keine
                                                                                        Angaben          Antwort
                           Ja          Ja, zum          geplant           Nein
                                         Teil
       Unternehmen         14             17                8               5               9                2

       Hinsichtlich des zeitlichen Ablaufs sowie den Auswirkungen auf die Netz- und
       Zusammenschaltungsstruktur wurden von den 55 Unternehmen folgende Angaben getätigt:

                                Auswirkungen vorhanden                 Keine Angaben            Keine Antwort
                                                                       bzw. Frage nicht
                                                                          relevant
       Unternehmen                           32                               21                        2

       Nach den Angaben der Unternehmen sind Zeiträume von zwei bis zehn Jahren bis zur
       Umstellung auf eine IP-Zusammenschaltungsstruktur vorgesehen. Diese orientiere sich u. a.
       auch an den Vorgaben der TDG. Als eine der wesentlichen Auswirkungen auf die Netz- und
       Zusammenschaltungsstruktur wurde von einigen Unternehmen ausgeführt, dass
       Zusammenschaltungen auf IP-Basis im Vergleich zu PSTN-Zusammenschaltungen eine
       geringere Anzahl an ICAs und damit weniger Investitionen erforderten. Darüber hinaus
       könne die PSTN-Struktur schrittweise angebaut werden.

       3.     IN-Abfrage

       Die TDG hat zu der Thematik unter anderem ausgeführt, dass nichtgeografische Mehrwert-
       diensterufnummern über das IN geführt würden, um zwischen Diensten anderer
       Netzbetreiber und eigenen Diensten zu unterscheiden. Dies gelte sowohl für Verbindungen
       mit Ursprung im TDG-Netz als auch für Verbindungen mit Ursprung in anderen Fest- und
       Mobilfunknetzen. Ferner diene die IN-Abfrage dazu, eine Information zum Routing (nächster
       Netzübergang zum jeweiligen Carrier/Diensteanbieter) zu erhalten.

       Sowohl [B.u.G.] als auch [B.u.G.], die jeweils eine eigene IN-Abfrage durchführen, haben
       ausgeführt, dass eine Übergabe an andere Netzbetreiber derzeit nicht rentabel sei. So führt
       [B.u.G.] beispielsweise aus, dass die IN-Abfrage derzeit ausschließlich zum Ausfiltern der
       eigenen IN-Rufnummern diene, da das „Setzen“ des richtigen Flags für weitere Netzbetreiber
       derzeit ökonomisch nicht belohnt werde. [B.u.G.] gibt in diesem Zusammenhang an, dass
       der restliche, nicht sortierte Verkehr an die TDG übergeben werde, da sich aus Kosten-
       Nutzen-Gründen eine Übergabe an andere Netzbetreiber u. a. wegen des geringen
       Minutenvolumens bzw. wegen erhöhter Abrechnungsaufwände nicht rechne.

       4.     Betreiberauswahl- und Betreibervorauswahl

       Zum Fragenkomplex „Betreiberauswahl bzw. Betreibervorauswahl“ wurden von den 55
       Unternehmen folgende Angaben getätigt:




                                                      - - 45 - -


Bonn, 14. März 2012
89

Amtsblatt der Bundesnetzagentur
                                    für Elektrizität, Gas, Telekommunikation, Post und Eisenbahnen
590                         – Mitteilungen, Telekommunikation, Teil A, Mitteilungen der Bundesnetzagentur –   05 2012



                             Änderungen               Keine             Keine Angaben            Keine Antwort
                              denkbar               Änderungen          bzw. Frage nicht
                                                                           relevant
      Unternehmen                   139                    8                   44                        2

      Die TDG trägt vor, dass sich an der Situation bezüglich CIC-Hosting nichts geändert habe.
      Grundlage für die technische Realisierung der Betreiber(vor)auswahl sei nach wie vor die
      multilateral abgestimmte AKNN-Spezifikation "Betreiberauswahl (Carrier Selection)".
      Dementsprechend werde einem Verbindungsnetzbetreiber bei der Zuführung einer
      Verbindung an der Netzgrenze nur die Rufnummer des B-Teilnehmers als
      Routinginformation über Verkehrsstrom B übermittelt, so dass über den Verkehrsstrom
      erkennbar sei, dass der ICP ausgewählter VNB sei. Das heißt, die Verbindung werde ohne
      die Betreiberkennzahl übergeben. Eine nachgelagerte Aufteilung des zugeführten B.2-
      Verkehrs auf unterschiedliche Betreiberkennzahlen sei insofern nicht möglich.

      Nach Erkenntnissen von [B.u.G.] sei das CIC-Hosting in der Zwischenzeit durchaus tech-
      nisch möglich. Dieses werde auch dringend für Diensteanbieter ohne eigenes Netz, die sich
      jedoch eigene Rufnummern zuteilen lassen können, unbedingt benötigt. Hier erscheine eine
      Änderung des bisherigen Regimes unbedingt angezeigt, da neue Geschäftsmodelle
      hierdurch erheblich behindert würden, obwohl an anderer Stelle (Stichwort
      Nummernzuteilung) entsprechende Möglichkeiten bereits bestünden.

      5.       Substituierbarkeit

      Zur Frage, ob derzeit und gegebenenfalls inwieweit aus Nachfragersicht von
      Verbindungsaufbauleistungen bzw. Leistungen der Anrufzustellung in andere Festnetze nach
      dem derzeitigen technologischen Stand Alternativprodukte unter Berücksichtigung von
      technischen und ökonomischen Gesichtspunkten existieren, wurden von den 55
      Unternehmen folgende Angaben getätigt:

                                   Alternativprodukte                   Keine Angaben            Keine Antwort
                                Verbindungsaufbau bzw.                  bzw. Frage nicht
                                     Anrufzustellung                       relevant
                              vorhanden       nicht vorhanden
      Unternehmen                 14                 28                          11                      2

      Von denjenigen Unternehmen, die ausgeführt haben, dass Alternativprodukte vorhanden
      seien, wurden des Öfteren die nachfolgende Alternative sowohl für die Zuführungs- als auch
      die Terminierungsleistung genannt. So gibt beispielsweise [B.u.G.] an, dass eine
      Austauschbarkeit von leitungsvermittelten Verbindungsaufbauleistungen, die auf PSTN-
      Ebene übergeben bzw. übernommen werden, mit paketvermittelten Leistungen, die auf IP-
      Ebene übergeben bzw. übernommen werden, bestünden.

      Eine solche technische Austauschbarkeit wäre jedoch nur dann gegeben, wenn diese mit
      einer garantierten, dem PSTN entsprechenden Qualität („Quality of Service“, QoS) erfolge.
      Diese Alternative wurde auch von den Unternehmen [B.u.G.] genannt.

      Bezüglich eines weiteren Alternativproduktes für Terminierung wurde zudem von mehreren
      Unternehmen eine so genannte Transitleistung (inklusive einer Terminierungsleistung im
      Sinne des Verständnisses der Bundesnetzagentur) durch ein drittes Unternehmen genannt.



      39
           [B.u.G.].

                                                       - - 46 - -


                                                                                                              Bonn, 14. März 2012
90

Amtsblatt der Bundesnetzagentur
                                für Elektrizität, Gas, Telekommunikation, Post und Eisenbahnen
05 2012                    – Mitteilungen, Telekommunikation, Teil A, Mitteilungen der Bundesnetzagentur –      591


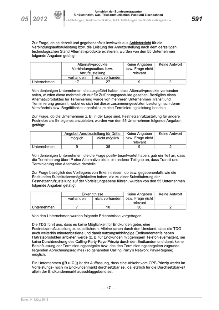
       Zur Frage, ob es derzeit und gegebenenfalls inwieweit aus Anbietersicht für die
       Verbindungsaufbauleistung bzw. die Leistung der Anrufzustellung nach dem derzeitigen
       technologischen Stand Alternativprodukte existieren, wurden von den 55 Unternehmen
       folgende Angaben getätigt:

                                 Alternativprodukte                    Keine Angaben            Keine Antwort
                              Verbindungsaufbau bzw.                   bzw. Frage nicht
                                   Anrufzustellung                        relevant
                            vorhanden       nicht vorhanden
       Unternehmen              17                 27                            9                      2

       Von denjenigen Unternehmen, die ausgeführt haben, dass Alternativprodukte vorhanden
       seien, wurden diese mehrheitlich nur für Zuführungsprodukte gesehen. Bezüglich eines
       Alternativproduktes für Terminierung wurde von mehreren Unternehmen Transit und
       Terminierung genannt, wobei es sich bei dieser zusammengesetzten Leistung nach deren
       Verständnis bzw. Begrifflichkeit ebenfalls um eine Terminierungsleistung handele.

       Zur Frage, ob die Unternehmen z. B. in der Lage sind, Festnetzanrufzustellung für andere
       Festnetze als Ihr eigenes anzubieten, wurden von den 55 Unternehmen folgende Angaben
       getätigt:

                          Angebot Anrufzustellung für Dritte           Keine Angaben            Keine Antwort
                             möglich        nicht möglich              bzw. Frage nicht
                                                                          relevant
       Unternehmen                9                      35                   9                         2

       Von denjenigen Unternehmen, die die Frage positiv beantwortet haben, gab ein Teil an, dass
       die Terminierung über IP eine Alternative bilde, ein anderer Teil gab an, dass Transit und
       Terminierung eine Alternative darstelle.

       Zur Frage bezüglich des Vorliegens von Erkenntnissen, ob bzw. gegebenenfalls wie die
       Endkunden Substitutionsmöglichkeiten haben, die zu einer Substituierung der
       Festnetzanrufzustellung auf der Vorleistungsebene führen, wurden von den 55 Unternehmen
       folgende Angaben getätigt:

                                   Erkenntnisse                        Keine Angaben            Keine Antwort
                            vorhanden     nicht vorhanden              bzw. Frage nicht
                                                                          relevant
       Unternehmen                7                      10                   36                        2

       Von den Unternehmen wurden folgende Erkenntnisse vorgetragen:

       Die TDG führt aus, dass es keine Möglichkeit für Endkunden gebe, eine
       Festnetzanrufzustellung zu substituieren. Alleine schon durch den Umstand, dass die TDG
       auch weiterhin minutenbasierte und damit nutzungsabhängige Endkundentarife neben
       Flatrateprodukten anbieten werde (z. B. für Endkunden mit geringem Telefonieverhalten), sei
       keine Durchbrechung des Calling-Party-Pays-Prinzip durch den Endkunden und damit keine
       Beeinflussung der Terminierungsentgelte bzw. des den Terminierungsentgelten zugrunde
       liegenden Abrechnungsregimes (so genannten Calling Party’s Network Pays-Regime)
       möglich.

       Ein Unternehmen ([B.u.G.]) ist der Auffassung, dass eine Abkehr vom CPP-Prinzip weder im
       Vorleistungs- noch im Endkundenmarkt durchsetzbar sei, da letztlich für die Durchsetzbarkeit
       allein der Endkundenmarkt ausschlaggebend sei.



                                                      - - 47 - -


Bonn, 14. März 2012
91

Amtsblatt der Bundesnetzagentur
                                  für Elektrizität, Gas, Telekommunikation, Post und Eisenbahnen
592                        – Mitteilungen, Telekommunikation, Teil A, Mitteilungen der Bundesnetzagentur –       05 2012


      Nach Auffassung der Unternehmen [B.u.G.] hätten Endkunden Substitutionsmöglichkeiten
      über Internet-Telefonie, z. B. Sipgate über jeden beliebigen Internet-Zugang, unabhängig
      vom betreffenden Teilnehmernetzbetreiber. [B.u.G.] tragen zudem vor, dass darüber hinaus
      Homezone-Angebote die Festnetztelefonie substituierten. Über Homezone-Angebote erfolge
      eine indirekte Beeinflussung der Festnetzterminierung, da der „scheinterminierende“
      Festnetzpartner des Mobilfunkunternehmens aufgrund regulatorischer Erlaubnis die für den
      restlichen Teil des Marktes festgelegten, nichtdiskriminierend anzuwendenden
      Festnetzterminierungsentgelte unterlaufen könne.

      Gemäß der Aussage von [B.u.G.] hätten die Endkunden des terminierenden Unternehmens
      derzeit nur eine begrenzte Möglichkeit der Substitution. Sie könnten einerseits ein Gespräch
      auf ihrem Festnetzanschluss nicht entgegennehmen. Dann entginge ihnen allerdings auch
      der Nutzen des Gesprächs, falls der Anrufer nicht noch andere Möglichkeiten (z. B.
      Mobilfunknummer oder Skype-ID) der Kontaktaufnahme hätte. Andererseits könnten sie
      ausgehende Gespräche vorrangig unter der Rufnummer (bzw. dem Netz) führen, unter
      welcher sie gerne zurückgerufen werden wollen. So könnten sie zumindest statistisch etwas
      das Verhalten der anrufenden Partei beeinflussen.

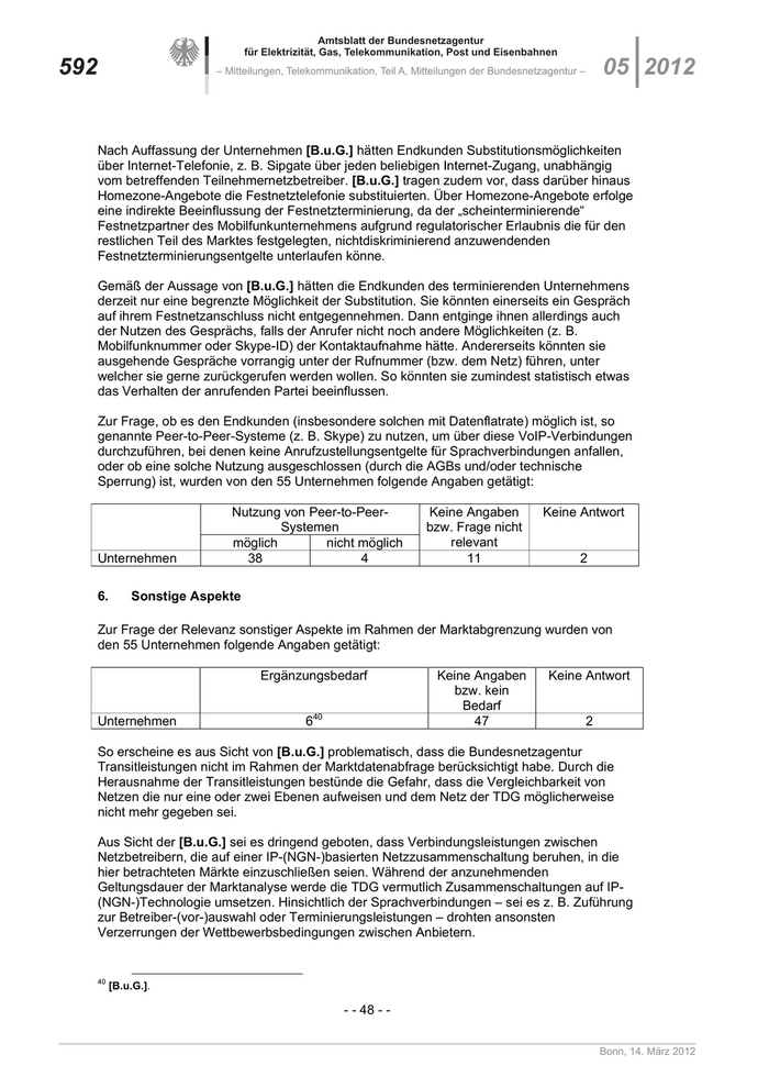
      Zur Frage, ob es den Endkunden (insbesondere solchen mit Datenflatrate) möglich ist, so
      genannte Peer-to-Peer-Systeme (z. B. Skype) zu nutzen, um über diese VoIP-Verbindungen
      durchzuführen, bei denen keine Anrufzustellungsentgelte für Sprachverbindungen anfallen,
      oder ob eine solche Nutzung ausgeschlossen (durch die AGBs und/oder technische
      Sperrung) ist, wurden von den 55 Unternehmen folgende Angaben getätigt:

                              Nutzung von Peer-to-Peer-                Keine Angaben            Keine Antwort
                                      Systemen                         bzw. Frage nicht
                              möglich       nicht möglich                 relevant
      Unternehmen               38                 4                          11                        2

      6.       Sonstige Aspekte

      Zur Frage der Relevanz sonstiger Aspekte im Rahmen der Marktabgrenzung wurden von
      den 55 Unternehmen folgende Angaben getätigt:

                                     Ergänzungsbedarf                     Keine Angaben           Keine Antwort
                                                                            bzw. kein
                                                                              Bedarf
      Unternehmen                             640                               47                           2

      So erscheine es aus Sicht von [B.u.G.] problematisch, dass die Bundesnetzagentur
      Transitleistungen nicht im Rahmen der Marktdatenabfrage berücksichtigt habe. Durch die
      Herausnahme der Transitleistungen bestünde die Gefahr, dass die Vergleichbarkeit von
      Netzen die nur eine oder zwei Ebenen aufweisen und dem Netz der TDG möglicherweise
      nicht mehr gegeben sei.

      Aus Sicht der [B.u.G.] sei es dringend geboten, dass Verbindungsleistungen zwischen
      Netzbetreibern, die auf einer IP-(NGN-)basierten Netzzusammenschaltung beruhen, in die
      hier betrachteten Märkte einzuschließen seien. Während der anzunehmenden
      Geltungsdauer der Marktanalyse werde die TDG vermutlich Zusammenschaltungen auf IP-
      (NGN-)Technologie umsetzen. Hinsichtlich der Sprachverbindungen – sei es z. B. Zuführung
      zur Betreiber-(vor-)auswahl oder Terminierungsleistungen – drohten ansonsten
      Verzerrungen der Wettbewerbsbedingungen zwischen Anbietern.


      40
           [B.u.G.].

                                                      - - 48 - -


                                                                                                                 Bonn, 14. März 2012
92

Amtsblatt der Bundesnetzagentur
                                     für Elektrizität, Gas, Telekommunikation, Post und Eisenbahnen
05 2012                        – Mitteilungen, Telekommunikation, Teil A, Mitteilungen der Bundesnetzagentur –      593


       Gemäß dem Vorbringen von [B.u.G.] sei eine Unterscheidung zu treffen, ob die
       Terminierung mittels eines allgemeinen DSL-Anschlusses mit Best Effort-Qualität (Internet)
       oder über einen DSL-Anschluss mit garantierter Bandbreite übertragen werde.

       [B.u.G.] führt aus, dass die weite Verbreitung von Flatrates (insbesondere im
       Mobilfunkbereich) zunehmend zu signifikantem Missbrauch führe. Hierbei riefen sich am
       Markt registrierte Verbindungsnetzbetreiber (oder deren Reseller) selbst von Flatrate-
       Endgeräten auf eigenen Nummern an. Die hohen Ausschüttungen der TDG (TZ III und TZ II)
       führten zu schnellem Return on Investment (ROI). Den Schaden trage der Flatrateanbieter.

       III.   Beträchtliche Marktmacht
       1.     Preise

       Zur Frage, ob es Preisunterschiede zwischen PSTN- und IP-Vorleistungen gebe, wurden von
       den 55 Unternehmen folgende Angaben getätigt:

                               Unterschiede              Keine             Keine Angaben            Keine Antwort
                                vorhanden             Unterschiede         bzw. Frage nicht
                                                                              relevant
       Unternehmen                   141                     35                   17                        2

       Von einigen Unternehmen wird zudem als Grund für das Nichtbestehen von Preisunterschie-
       den angeführt, dass sie nur Zusammenschaltungen auf PSTN-Basis anbieten.

       2.     Zugang zu den Beschaffungsmärkten

       Zur Frage, ob die für das Angebot von Verbindungsleistungen erforderlichen Vorleistungen
       zugänglich sind, wurden von den 55 Unternehmen folgende Angaben getätigt:

                                 Zugänglich          Eingeschränkt         Keine Angaben            Keine Antwort
                                                       zugänglich          bzw. Frage nicht
                                                                              relevant42
       Unternehmen                    33                     443                  16                        2

       Diejenigen Unternehmen, die eine eingeschränkte Zugänglichkeit von Vorleistungsprodukten
       sehen, haben unter anderem ausgeführt, dass kein bedarfsgerecht segmentiertes
       Mietleitungsangebot (PPC), keine der Regulierung unterliegenden Mietleitungen mit
       Ethernet-Schnittstellen sowie kein Vorleistungsprodukt zur Realisierung schmalbandiger
       Anschlüsse am Markt erhältlich seien. Des Weiteren gestalte sich die Erreichbarkeit
       bestimmter Rufnummern (z. B. 032) als schwierig, da es sich hier nicht um Leistungen
       handele, die eingekauft werden könnten und bei denen gegebenenfalls ein
       Zugangsanspruch geltend gemacht werden könnte.

       3.    Entgegenstehende Nachfragemacht bei Leistungen des Verbindungsaufbaus
       Zur Frage, ob beim Bezug von Leistungen des Verbindungsaufbaus Verhandlungsspielräu-
       me bestehen, wurden von den 55 Unternehmen folgende Angaben getätigt:




       41
          [B.u.G.].
       42
          Hierunter sind auch die Unternehmen erfasst, die keine Vorleistungen nachfragen.
       43
          [B.u.G.].

                                                          - - 49 - -


Bonn, 14. März 2012
93

Amtsblatt der Bundesnetzagentur
                                    für Elektrizität, Gas, Telekommunikation, Post und Eisenbahnen
594                           – Mitteilungen, Telekommunikation, Teil A, Mitteilungen der Bundesnetzagentur –   05 2012



                             Verhandlungsspielräume bezüglich             Keine Angaben            Keine Antwort
                                         Preise                           bzw. Frage nicht
                                                                             relevant
                                     Ja            Kaum bzw. nein
      Unternehmen                     4              10 bzw. 18                    21                      2

      Das Unternehmen [B.u.G.] gibt in diesem Zusammenhang an, dass je nach Ziel ein
      Verhandlungsspielraum von fünf bis 30 Prozent vorliege.

      Zur Frage, inwieweit sich das eigene Unternehmen beim Angebot von Leistungen des
      Verbindungsaufbaus einer entgegenstehenden Verhandlungsmacht der Nachfrageseite
      ausgesetzt sieht, wurden von den 55 Unternehmen folgende Angaben getätigt:

                                      Verhandlungsmacht                   Keine Angaben            Keine Antwort
                                                                          bzw. Frage nicht
                                     Ja                   Nein               relevant
      Unternehmen                     8                    11                    34                        2

      Zur Frage, ob sich hier innerhalb der letzten zwei Jahre wesentliche Änderungen ergeben
      haben, wurden von den 55 Unternehmen folgende Angaben getätigt:

                                          Änderungen                      Keine Angaben            Keine Antwort
                                                                          bzw. Frage nicht
                                     Ja                   Nein               relevant
      Unternehmen                     2                    14                    37                        2


      4.     Entgegenstehende Nachfragemacht bei Leistungen der Anrufzustellung
      a)     Anbietersicht

      Zur Frage, inwieweit sich das eigene Unternehmen beim Angebot von Leistungen der
      Anrufzustellung einer entgegengerichteten Nachfragemacht des Verhandlungspartners
      ausgesetzt sieht, wurden von den 55 Unternehmen folgende Angaben getätigt:

                                        Nachfragemacht                    Keine Angaben            Keine Antwort
                                                                          bzw. Frage nicht
                                     Ja                   Nein               relevant
      Unternehmen                    17                    17                    19                        2

      Das Unternehmen [B.u.G.] führt aus, dass in Vertragsverhältnissen mit Wettbewerbern mit
      Ausnahme der TDG je nach Nachfrager ein unterschiedlicher Grad entgegengerichteter
      relativer Nachfragemacht bestehe, der sich – hauptsächlich bedingt durch Nachfragemen-
      gen – in unterschiedlichen Preisen ausdrücke.

      Das Unternehmen [B.u.G.] trägt vor, dass sich [B.u.G.] weigerten, Anrufe in Festnetze
      zuzustellen, die Endkunden zur Realisierung von so genannten Call-Trough-Diensten44
      (0800er Rufnummern) nutzten. Eine Zustellung erfolge nur dann, wenn
      Terminierungsleistungen kostenlos gegenüber [B.u.G.] erbracht werden würden. Dies sei
      sowohl technisch als auch kaufmännisch unmöglich. [B.u.G.] leite den Verkehr nun indirekt
      ins Netz von [B.u.G.] mit schlechter Qualität.


      44
         Unter Call-Through bezeichnet man ein Verfahren, bei dem Verbindungsleistungen durch einen
      Diensteanbieter vermittelt werden, der nicht Betreiber des für den Anruf verwendeten Teilnehmeranschlusses ist.

                                                         - - 50 - -


                                                                                                                Bonn, 14. März 2012
94

Amtsblatt der Bundesnetzagentur
                                für Elektrizität, Gas, Telekommunikation, Post und Eisenbahnen
05 2012                    – Mitteilungen, Telekommunikation, Teil A, Mitteilungen der Bundesnetzagentur –      595


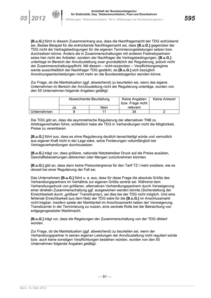
       [B.u.G.] führt in diesem Zusammenhang aus, dass die Nachfragemacht der TDG erdrückend
       sei. Bestes Beispiel für die erdrückende Nachfragemacht sei, dass [B.u.G.] gegenüber der
       TDG nicht die Vertragsbedingungen für die eigenen Terminierungsleistungen setzen bzw.
       durchsetzen könne. Anders als in Zusammenschaltungen mit anderen Festnetzpartnern
       setze hier nicht der Anbieter, sondern der Nachfrager die Vertragsbedingungen. [B.u.G.]
       unterliege im Bereich der Anrufzustellung zwar grundsätzlich der Regulierung, jedoch nicht
       der Zusammenschaltungspflicht. Mit diesem – nicht-reziproken – Verpflichtungsregime
       werde ausschließlich der Nachfrager TDG gestärkt, da [B.u.G.] sich bezüglich
       Anordnungsentscheidungen nicht mehr an die Bundesnetzagentur wenden könne.

       Zur Frage, ob die Marktsituation (ggf. abweichend) zu beurteilen sei, wenn das eigene
       Unternehmen im Bereich der Anrufzustellung nicht der Regulierung unterläge, wurden von
       den 55 Unternehmen folgende Angaben getätigt:

                               Abweichende Beurteilung                 Keine Angaben            Keine Antwort
                                                                       bzw. Frage nicht
                                 Ja                    Nein               relevant
       Unternehmen                8                     11                    34                        2

       Die TDG gibt an, dass die asymmetrische Regulierung der alternativen TNB zu
       Arbitrageverhalten führe; schließlich habe die TDG in Verhandlungen nicht die Möglichkeit,
       Preise zu vereinbaren.

       [B.u.G.] führt aus, dass es ohne Regulierung deutlich benachteiligt würde und vermutlich
       aus eigener Kraft nicht in der Lage wäre, seine Forderungen vollumfänglich bei
       Vertragsverhandlungen durchzusetzen.

       [B.u.G.] trägt vor, dass größere, nationale Netzbetreiber Druck auf die Preise ausüben,
       Geschäftsbeziehungen abbrechen oder Mengen zurücknehmen könnten.

       [B.u.G.] gibt an, dass dann keine Preisuntergrenze für den Tarif TZ I mehr existiere, wie es
       derzeit bei einer Regulierung der Fall sei.

       Das Unternehmen [B.u.G.] führt u. a. aus, dass für diese Frage die absolute Größe des
       Verhandlungspartners im Verhältnis zur eigenen Größe zentral sei. Während dem
       Verhandlungsdruck von größeren, alternativen Verhandlungspartnern durch Verweigerung
       einer direkten Zusammenschaltung ggf. ausgewichen werden könnte (Sicherstellung der
       Erreichbarkeit durch „größere“ Transitcarrier), sei dies bei der TDG nicht möglich. Und eine
       fehlende Erreichbarkeit aus dem Netz der TDG wäre für die [B.u.G.] im Anschlussmarkt
       nicht tragbar. Insofern spiele der Marktanteil im Anschlussmarkt neben der Verweigerung,
       Transitcarrier in der Terminierung zu nutzen, eine zentrale Rolle bei der Betrachtung von
       entgegengesetzter Marktmacht.

       [B.u.G.] trägt vor, dass die Regelungen der Zusammenschaltung von der TDG diktiert
       würden.

       Zur Frage, ob die Marktsituation (ggf. abweichend) zu beurteilen sei, wenn der
       Verhandlungspartner in seinen eigenen Leistungen der Anrufzustellung nicht reguliert würde
       bzw. auch keine sonstigen Verpflichtungen bestehen würden, wurden von den 55
       Unternehmen folgende Angaben getätigt:




                                                      - - 51 - -


Bonn, 14. März 2012
95

Amtsblatt der Bundesnetzagentur
                               für Elektrizität, Gas, Telekommunikation, Post und Eisenbahnen
596                       – Mitteilungen, Telekommunikation, Teil A, Mitteilungen der Bundesnetzagentur –   05 2012



                              Abweichende Beurteilung                 Keine Angaben            Keine Antwort
                                                                      bzw. Frage nicht
                                Ja                    Nein               relevant
      Unternehmen               19                     5                     29                        2

      Die TDG trägt vor, dass Wettbewerbsunternehmen vor allem durch die Kombination von ex-
      ante-Entgeltregulierung und der Möglichkeit, Zusammenschaltung nach §18 einzufordern,
      zumindest grundsätzlich die Möglichkeit hätten, die Abnahme bestimmter Leistungen zu
      erzwingen.

      Die Unternehmen [B.u.G.] geben in diesem Zusammenhang an, dass eine erhebliche
      Nachfragemacht der TDG bestehe.

      Das Unternehmen [B.u.G.] gibt an, dass es in Vertragsverhältnissen mit Wettbewerbern von
      der Bedeutung der Erreichbarkeit der Endkunden des jeweiligen Wettbewerbers abhinge,
      inwieweit es einer entgegengerichteten Nachfragemacht ausgesetzt wäre.

      [B.u.G.] trägt vor, dass größere, nationale Netzbetreiber Ihre Marktmacht nutzen könnten,
      um höhere Preise zu verlangen, so dass kleinere Carrier ggf. nicht mehr in der Lage wären,
      Flatrates anzubieten.

      Das Unternehmen [B.u.G.] gibt an, dass die TDG ein Zusammenschaltungsangebot
      verweigern könne.

      Das Unternehmen [B.u.G.] führt aus, dass sich bei Entlassung der TGD aus der Regulierung
      eine Missbrauchssituation einstellen könne. Von den übrigen Netzbetreibern sei dies nicht zu
      erwarten. Bei der TDG begründe sich dies darauf, dass die TDG trotz des großen Anstiegs
      der Endkundenzahlen von [B.u.G.] die mittel- und langfristige ICA-Planung nicht anpasse.
      Dies könnte zu Netzengpässen in Form der Nichterreichbarkeit der Endkunden von
      Unitymedia führen. Ein weiteres Beispiel sei das Ausfallrouting. Die TDG weigere sich ein
      Ausfallrouting in die Verkehrsrichtung von [B.u.G.] einzurichten.

      [B.u.G.] trägt vor, dass die TDG beispielsweise regelmäßig die Interconnection-Anschlüsse
      nicht als Leistung der Zusammenschaltungspartner anerkenne und auch nicht zu einer
      Vergütung dieser bereit sei, obwohl sie diese nutze.

      b)   Nachfragersicht gegenüber Festnetzbetreibern

      Zur Frage, inwieweit und gegebenenfalls durch welche Instrumente aus der Sicht des
      eigenen Unternehmens als Nachfrager von Leistungen der Anrufzustellung die Möglichkeit,
      direkt Nachfragemacht auszuüben, besteht, wurden von den 55 Unternehmen folgende
      Angaben getätigt:

                                   Nachfragemacht                     Keine Angaben            Keine Antwort
                                                                      bzw. Frage nicht
                                Ja             Kaum bzw. nein            relevant
      Unternehmen                6               4 bzw. 27                   16                        2

      Das Unternehmen [B.u.G.] gibt in diesem Zusammenhang an, dass die einzige Möglichkeit
      der Ausübung von Nachfragemacht in einer Mengenrücknahme bestehe.

      Zur Frage, ob die beim Bezug von Verbindungsleistungen in andere Festnetze trotz
      Regulierung der Festnetzanrufzustellungsentgelte Verhandlungsspielräume (gegebenenfalls


                                                     - - 52 - -


                                                                                                            Bonn, 14. März 2012
96

Amtsblatt der Bundesnetzagentur
                                für Elektrizität, Gas, Telekommunikation, Post und Eisenbahnen
05 2012                    – Mitteilungen, Telekommunikation, Teil A, Mitteilungen der Bundesnetzagentur –      597


       welche) bezüglich der Preise bestehen, wurden von den 55 Unternehmen folgende Angaben
       getätigt:

                          Verhandlungsspielräume bezüglich             Keine Angaben            Keine Antwort
                                      Preise                           bzw. Frage nicht
                                                                          relevant
                                 Ja             Kaum bzw. nein
       Unternehmen               16                   5                         32                      2

       Das Unternehmen [B.u.G.] führt aus, dass Verhandlungsspielräume in Abhängigkeit des
       bestehenden Geschäftsumfangs (Nachfragemengen) bestünden.

       Das Unternehmen [B.u.G.] gibt an, dass einziger Spielraum die Bildung von
       Mischkalkulationen auf Basis der verschiedenen Tarifzonen sei.

       Zur Frage, ob die Marktsituation (ggf. abweichend) zu beurteilen sei, wenn das eigene
       Unternehmen im Bereich der Anrufzustellung nicht der Regulierung unterläge, wurden von
       den 55 Unternehmen folgende Angaben getätigt:

                               Abweichende Beurteilung                 Keine Angaben            Keine Antwort
                                                                       bzw. Frage nicht
                                 Ja                    Nein               relevant
       Unternehmen                7                     12                    34                        2

       [B.u.G.] trägt vor, dass große, nationale Netzbetreiber Ihre Position ausnutzen und höhere
       Preise verlangen könnten, da nach wie vor ein Großteil der IC-Minuten in das Netz der TDG
       übergeben werde. Mit kleineren, alternativen Carriern könnten dagegen eventuell sogar
       bessere Preise reziprok erzielt werden.

       [B.u.G.] führt aus, dass eine flexiblere Preisgestaltung möglich sein könnte.

       [B.u.G.] gibt an, dass andere Abrechnungsmodelle als minutenbasierte denkbar seien, z. B.
       parallele Anrufe in den Hauptverkehrsstunden.

       Zur Frage, ob die Marktsituation (ggf. abweichend) zu beurteilen sei, wenn der
       Verhandlungspartner in seinen eigenen Leistungen der Anrufzustellung nicht reguliert würde
       bzw. auch keine sonstigen Verpflichtungen bestehen würden, wurden von den 55
       Unternehmen folgende Angaben getätigt:

                               Abweichende Beurteilung                 Keine Angaben            Keine Antwort
                                                                       bzw. Frage nicht
                                 Ja                    Nein               relevant
       Unternehmen               22                     1                     30                        2

       Das Unternehmen [B.u.G.] führt aus, dass die Verhandlungsmacht neu zu definieren sei und
       diese sich allerdings auch ins Gegenteil wenden könne (keine Nachfrage nach
       Terminierungsleistungen).

       Das Unternehmen [B.u.G.] gibt an, dass ohne regulierte Standardleistungen bzw. Preise
       marktmächtige Markteilnehmer kleine Anbieter über Preisbildung oder Qualitäts- bzw.
       Leistungsbeschränkung aus dem Markt drängen könnten. So seien gegenüber dem
       Endkunden keine Preisaufschläge bzw. Leistungsabschläge verhandelbar.

       Gemäß den Ausführungen der Unternehmen [B.u.G.] sei davon auszugehen, dass die TDG
       ihre Nachfragemacht stärker ausnützen werde.


                                                      - - 53 - -


Bonn, 14. März 2012
97

Amtsblatt der Bundesnetzagentur
                               für Elektrizität, Gas, Telekommunikation, Post und Eisenbahnen
598                       – Mitteilungen, Telekommunikation, Teil A, Mitteilungen der Bundesnetzagentur –   05 2012


      [B.u.G.] trägt vor, dass große, nationale Netzbetreiber Ihre Position ausnutzen und höhere
      Preise verlangen könnten, da nach wie vor ein Großteil der IC-Minuten in das Netz der TDG
      übergeben werde. Mit kleineren, alternativen Carriern könnten dagegen eventuell sogar
      bessere Preise reziprok erzielt werden.

      Das Unternehmen [B.u.G.] gibt an, dass die TDG ein Zusammenschaltungsangebot
      verweigern könne.

      [B.u.G.] führt aus, dass eine flexiblere Preisgestaltung möglich sein könnte.

      [B.u.G.] gibt an, dass andere Abrechnungsmodelle als minutenbasierte denkbar seien, z. B.
      parallele Anrufe in den Hauptverkehrsstunden.

      [B.u.G.] führt in diesem Zusammenhang aus, dass der Wegfall der Regulierung
      Verhandlungen erst ermöglichen würde, daher wäre die Situation eine andere. In der
      wirtschaftlichen Praxis wäre aber kaum zu erwarten, dass kleine oder mittelgroße
      Netzbetreiber überhöhte, signifikant über den Produktionskosten liegende Entgelte
      durchsetzen könnten, da sie sich immer einer entgegenstehenden Nachfragemacht
      ausgesetzt sehen würden. Bei großen Netzbetreibern wäre die Situation eine andere.
      Aufgrund der wirtschaftlichen Gegebenheiten würde der Wegfall der Regulierung
      wahrscheinlich wieder zu überhöhten Monopolpreisen dieser Betreiber führen, da sie sich
      zumindest in Bezug auf kleinere Nachfrager keiner signifikanten entgegenstehenden
      Nachfragemacht ausgesetzt sehen würden.

      5.   Einordnung der Anrufe nach Herkunftsnetz bzw. Zielnetz

      Zur Frage, ob im Rahmen der Leistung der Anrufzustellung nach dem Herkunftsnetz des
      Anrufs unterschieden werden kann und ob gegebenenfalls eine Preisdifferenzierung bei
      fehlender Regulierung denkbar wäre, wurden von den 55 Unternehmen folgende Angaben
      getätigt:

                               Unterscheidung nach                    Keine Angaben            Keine Antwort
                                   Herkunftsnetz                      bzw. Frage nicht
                             möglich        nicht möglich                relevant
      Unternehmen              25                 20                         8                         2

                               Preisdifferenzierung                   Keine Angaben            Keine Antwort
                             möglich        nicht möglich             bzw. Frage nicht
                                                                         relevant
      Unternehmen               22                      24                   7                         2

      Zur Frage, ob im Rahmen der Leistung des Verbindungsaufbaus nach dem Zielnetz des
      Anrufs unterschieden werden kann und ob gegebenenfalls eine Preisdifferenzierung bei
      fehlender Regulierung denkbar wäre, wurden von den 55 Unternehmen folgende Angaben
      getätigt:

                            Unterscheidung nach Zielnetz              Keine Angaben            Keine Antwort
                             möglich        nicht möglich             bzw. Frage nicht
                                                                         relevant
      Unternehmen               25                      15                   13                        2




                                                     - - 54 - -


                                                                                                            Bonn, 14. März 2012
98

Zur nächsten Seite