abl-13

Dieses Dokument ist Teil der Anfrage „Amtsblätter bis 2018

/ 272
PDF herunterladen
Amtsblatt der Bundesnetzagentur
                              für Elektrizität, Gas, Telekommunikation, Post und Eisenbahnen
2358                                  – Mitteilungen, Qualifizierte elektronische Signatur,      13 2012
                                         Teil A, Mitteilungen der Bundesnetzagentur –




   Herstellererklärung
   SecCommerce SecVerificationServer 5



   6       Algorithmen und zugehörige Parameter

   Das Produkt SecVerificationServer 5 setzt den RSA Algorithmus mit der im Signaturzertifikat angegebenen
   Schlüssellänge von mindestens 1976 Bit ein.
   Die unterstützten RSA-Verfahren gelten nach der Übersicht über geeignete Algorithmen der
   Bundesnetzagentur bis 31.12.2018 als sicher8 und werden zur Prüfung qualifizierter Signaturen und
   Zertifikate verwendet.


   Ferner unterstützt SecVerificationServer 5 das EC-DSA-Verfahren basierend auf elliptischen Kurven mit
   einer Parameterlänge für q von 224 Bit. Für die Bitlänge von p gibt es keine Einschränkung.
   Das unterstützte EC-DSA-Verfahren gilt nach der Übersicht über geeignete Algorithmen der
   Bundesnetzagentur bis 31.12.2015 als sicher9 und werden zur Prüfung qualifizierter Signaturen und
   Zertifikate erwendet.


   Das Produkt SecVerificationServer 5 unterstützt die Hash-Funktion SHA-256, SHA-384, SHA-512.
   Die unterstützten Hash-Funktionen gelten nach der Übersicht über geeignete Algorithmen der
   Bundesnetzagentur bei Anwendung für qualifizierte Zertifikate bis 31.12.2018 als sicher10 und werden zur
   Prüfung qualifizierter Signaturen und Zertifikate verwendet.



   6.1     Nicht mehr geeignete kryptographische Algorithmen

   In diesem Abschnitt sind kryptographischen Algorithmen mit Schlüssellängen und Parametergrößen
   aufgeführt, die vormals zur Erstellung von qualifizierten elektronischen Signaturen und qualifizierten
   Zertifikaten geeignet waren, und diese Eignung inzwischen aber verloren haben. Diese Algorithmen werden
   auch weiterhin zur Prüfung von Signaturen oder Zertifikaten benötigt.
   Das Produkt SecVerificationServer 5 unterstützt für die Prüfung von Signaturen oder Zertifikaten den RSA
   Algorithmus mit den im Signaturzertifikat angegebenen Schlüssellängen. Die nachfolgende Tabelle enthält
   den letzten Zeitpunkt, an dem der RSA Algorithmus mit der angegebenen Schlüssellänge zur Erzeugung
   qualifizierter elektronischer Signaturen und qualifizierter Zertifikate nach der Übersicht über geeignete
   Algorithmen der Bundesnetzagentur11 geeignet war bzw. eine Übergangsfrist endet:




   8 Bundesnetzagentur für Elektrizität, Gas, Telekommunikation, Post und Eisenbahnen, "Bekanntmachung
      zur elektronischen Signatur nach dem Signaturgesetz und der Signaturverordnung (Übersicht über
      geeignete Algorithmen)", Bundesanzeiger Nr. 10, Seite 243ff. vom 18. Januar 2012
   9 Bundesnetzagentur für Elektrizität, Gas, Telekommunikation, Post und Eisenbahnen, "Bekanntmachung
      zur elektronischen Signatur nach dem Signaturgesetz und der Signaturverordnung (Übersicht über
      geeignete Algorithmen)", Bundesanzeiger Nr. 10, Seite 243ff. vom 18. Januar 2012
   10 Bundesnetzagentur für Elektrizität, Gas, Telekommunikation, Post und Eisenbahnen, "Bekanntmachung
      zur elektronischen Signatur nach dem Signaturgesetz und der Signaturverordnung (Übersicht über
      geeignete Algorithmen)", Bundesanzeiger Nr. 10, Seite 243ff. vom 18. Januar 2012
   11 Bundesnetzagentur für Elektrizität, Gas, Telekommunikation, Post und Eisenbahnen, "Bekanntmachung
      zur elektronischen Signatur nach dem Signaturgesetz und der Signaturverordnung (Übersicht über
      geeignete Algorithmen)", Bundesanzeiger Nr. 10, Seite 243ff. vom 18. Januar 2012

   Herstellererklärung zu SecVerificationServer 5, Version 1.2                                 Seite 18 von 21



                                                                                                  Bonn, 11. Juli 2012
266

Amtsblatt der Bundesnetzagentur
                                    für Elektrizität, Gas, Telekommunikation, Post und Eisenbahnen
13 2012                                     – Mitteilungen, Qualifizierte elektronische Signatur,                2359
                                               Teil A, Mitteilungen der Bundesnetzagentur –




         Herstellererklärung
         SecCommerce SecVerificationServer 5



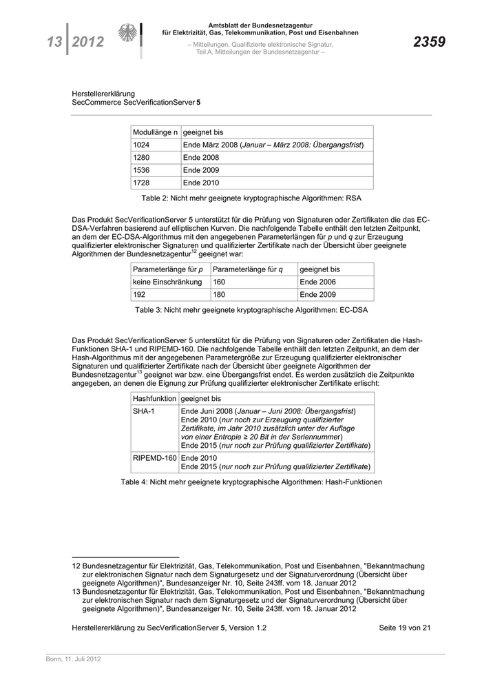
                           Modullänge n geeignet bis
                           1024           Ende März 2008 (Januar – März 2008: Übergangsfrist)
                           1280           Ende 2008
                           1536           Ende 2009
                           1728           Ende 2010

                              Table 2: Nicht mehr geeignete kryptographische Algorithmen: RSA

         Das Produkt SecVerificationServer 5 unterstützt für die Prüfung von Signaturen oder Zertifikaten die das EC-
         DSA-Verfahren basierend auf elliptischen Kurven. Die nachfolgende Tabelle enthält den letzten Zeitpunkt,
         an dem der EC-DSA-Algorithmus mit den angegebenen Parameterlängen für p und q zur Erzeugung
         qualifizierter elektronischer Signaturen und qualifizierter Zertifikate nach der Übersicht über geeignete
         Algorithmen der Bundesnetzagentur12 geeignet war:

                           Parameterlänge für p      Parameterlänge für q           geeignet bis
                           keine Einschränkung       160                            Ende 2006
                           192                       180                            Ende 2009

                            Table 3: Nicht mehr geeignete kryptographische Algorithmen: EC-DSA



         Das Produkt SecVerificationServer 5 unterstützt für die Prüfung von Signaturen oder Zertifikaten die Hash-
         Funktionen SHA-1 und RIPEMD-160. Die nachfolgende Tabelle enthält den letzten Zeitpunkt, an dem der
         Hash-Algorithmus mit der angegebenen Parametergröße zur Erzeugung qualifizierter elektronischer
         Signaturen und qualifizierter Zertifikate nach der Übersicht über geeignete Algorithmen der
         Bundesnetzagentur13 geeignet war bzw. eine Übergangsfrist endet. Es werden zusätzlich die Zeitpunkte
         angegeben, an denen die Eignung zur Prüfung qualifizierter elektronischer Zertifikate erlischt:

                           Hashfunktion geeignet bis
                           SHA-1          Ende Juni 2008 (Januar – Juni 2008: Übergangsfrist)
                                          Ende 2010 (nur noch zur Erzeugung qualifizierter
                                          Zertifikate, im Jahr 2010 zusätzlich unter der Auflage
                                          von einer Entropie ≥ 20 Bit in der Seriennummer)
                                          Ende 2015 (nur noch zur Prüfung qualifizierter Zertifikate)
                           RIPEMD-160 Ende 2010
                                      Ende 2015 (nur noch zur Prüfung qualifizierter Zertifikate)

                       Table 4: Nicht mehr geeignete kryptographische Algorithmen: Hash-Funktionen




         12 Bundesnetzagentur für Elektrizität, Gas, Telekommunikation, Post und Eisenbahnen, "Bekanntmachung
            zur elektronischen Signatur nach dem Signaturgesetz und der Signaturverordnung (Übersicht über
            geeignete Algorithmen)", Bundesanzeiger Nr. 10, Seite 243ff. vom 18. Januar 2012
         13 Bundesnetzagentur für Elektrizität, Gas, Telekommunikation, Post und Eisenbahnen, "Bekanntmachung
            zur elektronischen Signatur nach dem Signaturgesetz und der Signaturverordnung (Übersicht über
            geeignete Algorithmen)", Bundesanzeiger Nr. 10, Seite 243ff. vom 18. Januar 2012

         Herstellererklärung zu SecVerificationServer 5, Version 1.2                                    Seite 19 von 21



Bonn, 11. Juli 2012
267

Amtsblatt der Bundesnetzagentur
                               für Elektrizität, Gas, Telekommunikation, Post und Eisenbahnen
2360                                   – Mitteilungen, Qualifizierte elektronische Signatur,        13 2012
                                          Teil A, Mitteilungen der Bundesnetzagentur –




   Herstellererklärung
   SecCommerce SecVerificationServer 5



   7       Gültigkeitsdauer der Herstellererklärung

   Diese Erklärung ist bis zum 31.12.2015 gültig. Der aktuelle Status der Herstellererklärung liegt immer bei der
   Bundesnetzagentur vor.




   Herstellererklärung zu SecVerificationServer 5, Version 1.2                                   Seite 20 von 21



                                                                                                     Bonn, 11. Juli 2012
268

Amtsblatt der Bundesnetzagentur
                                    für Elektrizität, Gas, Telekommunikation, Post und Eisenbahnen
13 2012                                     – Mitteilungen, Qualifizierte elektronische Signatur,              2361
                                               Teil A, Mitteilungen der Bundesnetzagentur –




        Herstellererklärung
        SecCommerce SecVerificationServer 5



        8        Zusatzdokumentation

        Folgende Bestandteile der Herstellererklärung wurden aus dem Veröffentlichungstext ausgegliedert und bei
        der zuständigen Behörde hinterlegt:
                „Aus der Herstellererklärung ausgegliederte Dokumentation als Anhang zur Herstellererklärung des
                 Herstellers SecCommerce Informationssysteme GmbH, Obenhauptstraße 5, 22335 Hamburg, für
                 sein Produkt SecVerificationServer 5“:
                 SecCommerce.SecSigner_Anhang_5_04.07.2011 vom 04.07.2011, 20 Seiten
                „SecVerificationServer Handbuch“ des Herstellers SecCommerce Informationssysteme GmbH,
                 Obenhauptstraße 5, 22335 Hamburg, für sein Produkt SecVerificationServer 5“:
                 SecVerificationServer_Handbuch.pdf, Version 1.10 vom 16.03.2011, 11 Seiten




        Ende der Herstellererklärung




        Herstellererklärung zu SecVerificationServer 5, Version 1.2                                  Seite 21 von 21



Bonn, 11. Juli 2012
269


                                            
                                                
                                                270
                                            
                                        


                                            
                                                
                                                271
                                            
                                        

media production bonn gmbh
Mechenstr. 36
53129 Bonn

9390

Herausgeber          Bundesnetzagentur für Elektrizität, Gas, Telekommunikation, Post und Eisenbahnen
Redaktion            Bundesnetzagentur für Elektrizität, Gas, Telekommunikation, Post und Eisenbahnen
                     Referat Z 15 · Postfach 80 01 · 53105 Bonn; Tulpenfeld 4, 53113 Bonn
                     Telefon: (02 28) 14 53 18
                     Telefax: (02 28) 14 65 33
                     E-Mail: amtsblatt@bnetza.de
Erscheinungsweise    Das Amtsblatt der BNetzA erscheint nach Bedarf, in der Regel 14täglich
Bezugspreis          (einschließlich Versandkosten)

                      Bezug                                        Versandform und Bezugspreis
                                                            nur Papier          nur            Papier und
                                                             Version       elektronische      elektronische
                                                                              Version            Version

                      Halbjahresabonnement Inland              26 €             26 €              47 €
                      Jahresabonnement Inland                  48 €             48 €              86 €
                      Halbjahresabonnement Ausland             52 €             52 €              94 €
                      Jahresabonnement Ausland                 96 €             96 €             173 €
                      Einzelexemplar                          6,50 €           6,50 €             12 €
                     Im Bezugspreis ist keine Umsatzsteuer im Sinne des § 14 UStG enthalten
Bestellung/          media production bonn gmbh, Mechenstr. 36, 53129 Bonn
Versand              Abonnementverwaltung/Einzellieferung
                     Telefon: (02 28) 3 91 80-10
                     Telefax: (02 28) 3 91 80-29
                     E-Mail: info@bnetza-amtsblatt.de
                     Der Versand erfolgt gegen Rechnung
                     Kontoverbindung: Sparkasse KölnBonn, Kto.: 190 197 0234, BLZ: 370 501 98
                     Halbjahresabonnements können jeweils zum 30.6. oder 31.12., Jahresabonnements zum 31.12. eines
                     Jahres mit einer Frist von vier Wochen gekündigt werden.
Druck                Medienhaus Plump GmbH, Rolandsecker Weg 33, 53619 Rheinbreitbach


Bestellung                               Bezug                                          Versandform und Bezugspreis
Amtsblatt der Bundesnetzagentur
für Elektrizität, Gas,                                                         nur Papier           nur         Papier und
                                                                                Version        elektronische   elektronische
Telekommunikation, Post                                                                           Version         Version
und Eisenbahnen
                                         Halbjahresabonnement Inland                26 €              26 €             47 €
Bestellung der elektronischen            Jahresabonnement Inland                    48 €              48 €             86 €
Version nur über:
                                         Halbjahresabonnement Ausland               52 €              52 €             94 €
www.bnetza-amtsblatt.de
                                         Jahresabonnement Ausland                   96 €              96 €            173 €

                                         Einzelexemplar                           6,50 €            6,50 €             12 €


                                       Der Versand erfolgt gegen Rechnung. Abo ab: _ ___________________

                                       Anzahl der Exemplare________ Nummer bei Einzelexemplaren ______________
                                       _________________________
                                       Name/Firma _______________________________________________________
                                       Anschrift   _________________________________________________________
                                                   _________________________________________________________
                                                   _________________________________________________________
media production bonn gmbh             Mit der Weiterleitung einer neuen Anschrift durch die media production bonn gmbh
z. Hd. Frau Mathieu                    an den Verleger bin ich einverstanden
Mechenstr. 36
53129 Bonn                             Datum/Unterschrift __________________________________________________
                                       _________________________________________________________________
272