abl-12

Dieses Dokument ist Teil der Anfrage „Amtsblätter bis 2018

/ 404
PDF herunterladen
Amtsblatt der Bundesnetzagentur
                           für Elektrizität, Gas, Telekommunikation, Post und Eisenbahnen
12 2011                                  – Regulierung, Telekommunikation –                           1933


                      Anhänge mit normativem Charakter




   TR-Notruf Ausgabe 1.0                      23 (56)                                       22. Juni 2011




Bonn, 22. Juni 2011
29

Amtsblatt der Bundesnetzagentur
                                    für Elektrizität, Gas, Telekommunikation, Post und Eisenbahnen
1934                                              – Regulierung, Telekommunikation –                       12 2011


       Anhang N1:                 Datenformatbeschreibung Verwaltungsgebiete

       Die geografische Beschreibung von Verwaltungsgebieten (Gemeinden und gemeindefreie Gebiete)
       erfolgt gemäß VG250-N des Bundesamtes für Kartographie und Geodäsie. Die Dokumentation zu
       VG250-N stellt die Bundesnetzagentur der geschlossenen Benutzergruppe Notrufverkehrslenkung
       und den nach Landesrecht zuständigen Behörden zum Abruf zur Verfügung. Die Bereitstellung
       erfolgt im „SHAPE-Datenformat“ - beschrieben in ESRI White Paper July 1998: ESRI Shapefile
       Technical Description - einem De-facto-Industriestandard für den Austausch von Geodaten.19


       Verwaltungsgebiete
       Verwaltungsgebiete setzen sich zusammen aus Land- und Gewässerflächen. Alle Teile eines Ver-
       waltungsgebietes sind durch den gleichen amtlichen Gemeindeschlüssel im Attribut AGS gekenn-
       zeichnet.
       Besteht die Land- oder Gewässerfläche eines Verwaltungsgebietes aus mehreren geografisch ge-
       trennten Flächen, so gibt es für jedes Teilgebiet einen eigenen Datensatz. Zur Unterscheidung dieser
       Teilgebiete wird im Attribut AGS_N der amtliche Gemeindeschlüssel um einen Kleinbuchstaben
       (a-z) erweitert. Die jeweils größte Gewässer- oder Landfläche trägt den Buchstaben „a“.


       Stammfläche
       Die Stammfläche eines Verwaltungsgebietes ist die größte Landfläche des Verwaltungsgebietes.
       Landflächen sind durch den Wert „4“ beim Attribut GF gekennzeichnet. Besteht ein Verwaltungs-
       gebiet aus mehreren Landflächen, so trägt das Gebiet der Stammfläche die Erweiterung „a“ im Att-
       ribut AGS_N.
       Hat das Verwaltungsgebiet nur eine Landfläche, so ist keine Erweiterung im Attribut AGS_N ver-
       wendet. In diesem Falle beinhaltet das Attribut AGS_N den amtlichen Gemeindeschlüssel.


       Eindeutige Kennzeichnung eines geografischen Gebietes
       Der Datensatz eines geografischen Gebietes ist durch die Kombination der Attribute AGS_N und
       GF eindeutig gekennzeichnet.


       Zuordnung von Gebieten zu Notrufursprungsbereichen
       Die Zuordnung der Teilflächen von Verwaltungsgebieten zu Notrufursprungsbereichen erfolgt über
       die folgenden Attribute der Flächen:
           1. AGS_N (Amtlicher Gemeindeschlüssel speziell für Notruf)
           2. GF (Trennung von Land- und Gewässerflächen)
           3. GEN (Geografischer Name)
       Das Attribut GEN ist hierbei redundant und soll helfen, Fehler oder Verwechselungen zu vermeiden.




       19
            Quelle: Bundesamt für Kartographie und Geodäsie

       TR-Notruf Ausgabe 1.0                              24 (56)                                    22. Juni 2011



                                                                                                            Bonn, 22. Juni 2011
30

Amtsblatt der Bundesnetzagentur
                                      für Elektrizität, Gas, Telekommunikation, Post und Eisenbahnen
12 2011                                             – Regulierung, Telekommunikation –                                 1935


          Anhang N2:                Spezifikation ETSI TS 101 109
          Editorielle Korrekturen zu ETSI TS 101 109 V7.2.0 (2002-12):

                      Die korrekte Form des Abschnitts 6.7 lautet wie folgt:

                             6.7 Angle
                             Offset and included angle are encoded in increments of 2° using an 8 bit binary
                             coded number N in the range 0 to 179. The relation between the number N and the
                             range of angle a (in degrees) it encodes is described by the following equation;
                             2 N ≤ a < 2 (N+1)
                             Accepted values for a are within the range from 0 to 360 degrees.




          TR-Notruf Ausgabe 1.0                            25 (56)                                     22. Juni 2011



Bonn, 22. Juni 2011
31

Amtsblatt der Bundesnetzagentur
                               für Elektrizität, Gas, Telekommunikation, Post und Eisenbahnen
1936                                         – Regulierung, Telekommunikation –                       12 2011


       Anhang N3:           Notrufverbindungen im ISDN
       Bei Notrufverbindungen im ISDN sind die notrufbegleitenden Informationen mittels User-to-user
       Signalling Service 1 implicit gemäß Anlage N3-A zu übertragen. Dies ist eine Abweichung vom
       Standard, da dieser Parameter vorgesehen ist, um Informationen zwischen den Endgeräten auszu-
       tauschen. Diese Abweichung vom Standard ist erforderlich, da die ISUP Parameter, die geeignet
       wären, Standortdaten zu übermitteln, nicht im DSS1-Protokoll unterstützt werden und damit auch
       nicht über einen ISDN-Notrufanschluss übertragen werden können. Daher ist bei Notrufen der U-
       ser-to-user Signalling Service 1 für seinen ursprünglichen Zweck nicht mehr verwendbar. Sollte der
       Notrufende bzw. das Endgerät das User-user information element benutzt haben, so ist es vom Te-
       lefondiensteanbieter zu überschreiben.

       N3.1 Kennzeichnung der Notrufverbindung
       Notrufverbindungen sind an den Netzübergängen dadurch zu kennzeichnen, dass die B-Rufnummer
       zwei aufeinanderfolgende hexadezimale Ziffern Chex enthält. Die Kennzeichnung ist im ISUP IAM-
       Parameter Called party number zu übertragen.

       N3.2 Übertragung der notrufbegleitenden Informationen
       Die Übertragung der notrufbegleitenden Informationen hat mittels Zeichengabeprotokoll beim Auf-
       bau der Verbindung in den ISUP IAM- und DSS1 Setup-Nachrichten zu erfolgen.

       N3.2.1 Übertragung der Rufnummer des Notrufenden
       Die Rufnummer des Anschlusses, von dem die Notrufverbindung ausgeht, ist im ISUP IAM Para-
       meter Calling party number und in der DSS1 Setup-Nachricht im Calling party number information
       element zu übertragen.

       N3.2.2 Übertragung der Anbieterkennung
       Die Anbieterkennung ist im ISUP IAM-Parameter User-to-user information und in der DSS1 Se-
       tup-Nachricht im User-user information element gemäß Anhang N3-A.4 zu übertragen.

       N3.2.3 Übertragung der Standortdaten
       Die Standortdaten sind im ISUP IAM-Parameter User-to-user information und in der DSS1 Setup-
       Nachricht im User-user information element gemäß Anhang N3-A.5 und N3-A.6 zu übertragen.
       Auf Grund der Längenbeschränkung des User-user information element sind Einschränkungen bei
       der Beschreibung des Standortes gemäß Anhang N3-A.6 zu beachten.




       TR-Notruf Ausgabe 1.0                        26 (56)                                     22. Juni 2011



                                                                                                       Bonn, 22. Juni 2011
32

Amtsblatt der Bundesnetzagentur
                                     für Elektrizität, Gas, Telekommunikation, Post und Eisenbahnen
12 2011                                            – Regulierung, Telekommunikation –                                 1937


          Anhang N3, Anlage N3-A:
          Verwendung des User-to-user Information Parameter (UUI)
          Bei der Übermittlung des UUI-Parameters in der ISUP IAM und der DSS1 Setup sind gemäß I-
          TU-T-Empfehlung Q.931 folgende Informationen voranzustellen:

            UUI Parameter                                                        Oktett
            Parameter name = User-to-user information                               1
            Length Indicator                                                        2
            Protocol discriminator                                                  3

          Im „Length Indicator“ ist die aktuelle Länge des UUI-Parameters einzutragen.
          Die maximale Länge des Informationsinhaltes beträgt 31 Oktette.

          Informationselemente im UUI-Parameter
          Nicht genutzte Kodierungen sind reserviert für künftige Ergänzungen.

          N3-A.1          Parameter Name
          Das Feld Parameter Name ist gemäß ITU-T-Empfehlung Q.931 zu verwenden.

                      8        7       6        5        4       3      2                 1     Octet
                                     User-user information element identifier
                      0        1       1        1        1       1      1                 0     1
                                       Length of user-user contents                             2
                                          Protocol discriminator                                3
                                            User information                                    4
                                                                                                etc.
                                     Figure 4-36/Q.931 – User-user information element

          N3-A.2          Length Indicator
          Dieses Feld hat die Anzahl der aktuell zu übermittelnden Zeichen der Standortdaten anzugeben. Es
          ist die Anzahl der Oktette ab „length indicator“ anzugeben.

          Kodierung: Binär

          Inhalt:
          Anzahl der übermittelten Zeichen entsprechend der verwendeten geografischen Beschreibungsform.

          Wertebereich: 6 bis 32


          N3-A.3          Protocol discriminator
          Die Verwendung des „Protocol discriminator“ Feldes hat gemäß ITU-T-Empfehlung Q.931 zu er-
          folgen.




          TR-Notruf Ausgabe 1.0                           27 (56)                                     22. Juni 2011


Bonn, 22. Juni 2011
33

Amtsblatt der Bundesnetzagentur
                                         für Elektrizität, Gas, Telekommunikation, Post und Eisenbahnen
1938                                                    – Regulierung, Telekommunikation –                       12 2011


       Protocol discriminator (octet 3)
         Bits
         87654321
         0 0 0 0 0 0 0 0 User-specific protocol

       The user information is structured according to user needs.
                                         Table 4-26/Q.931 – User-user information element

   Kodierung: Binär

   Inhalt: Bei Übermittlung von Standortdaten ist die folgende Bitfolge zu verwenden:

                       Oktett 3
       8       7   6   5 4 3         2   1
       0       0   0   0 0 0         0   0



   N3-A.4                      Anbieterkennung
   Die Anbieterkennung ist in den Oktetten 4 und 5 zu übermitteln.

       UUI Parameter (Anbieterkennung)                                               Oktett
                                                                                        4
       Anbieterkennung
                                                                                        5

   Dieses Feld hat die Anbieterkennung des Telefondiensteanbieters zu enthalten, von dem die Not-
   rufverbindung ausgeht.

   Kodierung: Hexadezimal, 4 Zeichen in den Oktetten 4 und 5

   Inhalt:

                                             Oktett 4
           8           7         6           5      4        3       2         1
       Anbieterkennung Zeichen 2                   Anbieterkennung Zeichen 1
                                             Oktett 5
        8      7      6       5                     4      3     2       1
       Anbieterkennung Zeichen 4                   Anbieterkennung Zeichen 3

   Beispiel einer Anbieterkennung:

   Zeichen
   1               2       3     4
   D               1       2     3




   TR-Notruf Ausgabe 1.0                                      28 (56)                                     22. Juni 2011


                                                                                                                 Bonn, 22. Juni 2011
34

Amtsblatt der Bundesnetzagentur
                                       für Elektrizität, Gas, Telekommunikation, Post und Eisenbahnen
12 2011                                                – Regulierung, Telekommunikation –                               1939


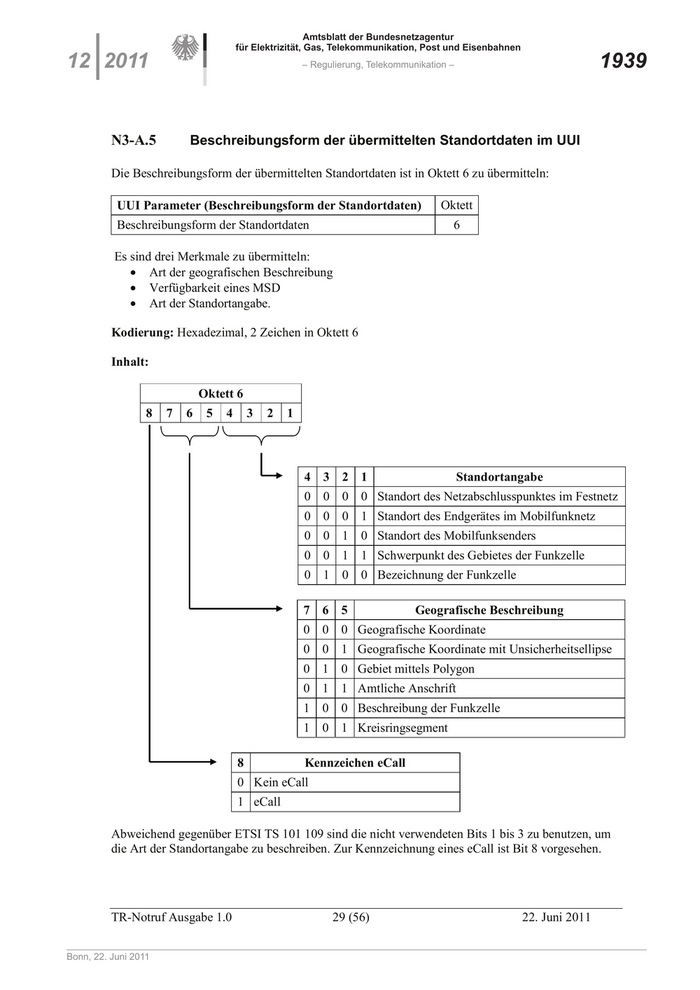
          N3-A.5          Beschreibungsform der übermittelten Standortdaten im UUI

          Die Beschreibungsform der übermittelten Standortdaten ist in Oktett 6 zu übermitteln:

           UUI Parameter (Beschreibungsform der Standortdaten)                        Oktett
           Beschreibungsform der Standortdaten                                          6

          Es sind drei Merkmale zu übermitteln:
             • Art der geografischen Beschreibung
             • Verfügbarkeit eines MSD
             • Art der Standortangabe.

          Kodierung: Hexadezimal, 2 Zeichen in Oktett 6

          Inhalt:

                              Oktett 6
                  8   7   6    5   4       3   2   1




                                                       4 3 2 1                              Standortangabe
                                                       0 0 0 0 Standort des Netzabschlusspunktes im Festnetz
                                                       0 0 0 1 Standort des Endgerätes im Mobilfunknetz
                                                       0 0 1 0 Standort des Mobilfunksenders
                                                       0 0 1 1 Schwerpunkt des Gebietes der Funkzelle
                                                       0 1 0 0 Bezeichnung der Funkzelle

                                                       7 6 5                    Geografische Beschreibung
                                                       0 0 0 Geografische Koordinate
                                                       0 0 1 Geografische Koordinate mit Unsicherheitsellipse
                                                       0 1 0 Gebiet mittels Polygon
                                                       0 1 1 Amtliche Anschrift
                                                       1 0 0 Beschreibung der Funkzelle
                                                       1 0 1 Kreisringsegment

                                       8               Kennzeichen eCall
                                       0 Kein eCall
                                       1 eCall

          Abweichend gegenüber ETSI TS 101 109 sind die nicht verwendeten Bits 1 bis 3 zu benutzen, um
          die Art der Standortangabe zu beschreiben. Zur Kennzeichnung eines eCall ist Bit 8 vorgesehen.




          TR-Notruf Ausgabe 1.0                              29 (56)                                    22. Juni 2011


Bonn, 22. Juni 2011
35

Amtsblatt der Bundesnetzagentur
                             für Elektrizität, Gas, Telekommunikation, Post und Eisenbahnen
1940                                       – Regulierung, Telekommunikation –                        12 2011


   N3-A.6           Beschreibung des Standorts
   Für die Übermittlung der Standortdaten stehen die Oktette 7 bis 34 zur Verfügung.
   Abhängig von der Art der Standortdaten sind unterschiedliche Informationen zu übermitteln.
   Bei der Verwendung von geografischen Koordinaten ist die Kodierung nach ITU-T-Empfehlung
   Q.763, „Signalling System No. 7 – ISDN user part formats and codes“, Clause 3.88.1 (Ellipsoid
   point shape description) zu verwenden.

   N3-A.6.1         Geografische Beschreibung des Standorts
   Die geografische Beschreibung des Standortes hat in den Oktetten 7 bis 31 zu erfolgen. Die tatsäch-
   liche Parameterlänge ergibt sich aus der gewählten Beschreibungsform. Die Kodierung hat gemäß
   ETSI TS 101 109, Clause 7.3.3 oder 7.3.4. zu erfolgen.
   Für die Beschreibungsform „Gebiet mittels Polygon“ können auf Grund der Längebeschränkung
   nicht mehr als 4 Polygonstützpunkte übermittelt werden.

   N3-A.6.1.1 Geografische Koordinate
   Die Angabe zum Standort erfolgt gemäß ETSI TS 101 109, Clause 5.1 in Form
      • einer geografischen Koordinate in Länge und Breite.

       UUI Parameter (Koordinaten)                                         Oktett
       ETSI TS 101 109, Clause 7.3.1, Oktetts 2 bis 7                     7 bis 12


   N3-A.6.1.2 Geografische Koordinate mit Unsicherheitsellipse
   Die Angabe zum Standort erfolgt gemäß ETSI TS 101 109, Clause 5.3 in Form
      • einer geografischen Koordinate in Länge und Breite,
      • einer Unsicherheitsellipse mittels zweier Halbachsen und Winkelangabe zur Hauptachse und
      • einer Angabe zum Vertrauensniveau.
   Das Vertrauensniveau ist auf 100% zu setzen.

       UUI Parameter (Koordinaten mit Unsicherheitsellipse)                Oktett
       ETSI TS 101 109, Clause 7.3.3, Oktetts 2 bis 11                    7 bis 16


   N3-A.6.1.3 Polygon
   Die Angabe zum Standort erfolgt gemäß ETSI TS 101 109, Clause 5.4 in Form von
      • der Anzahl der Polygonpunkte (minimal 3, maximal 4),
      • geografischen Koordinaten in Länge und Breite zu jedem Polygonstützpunkt.

       UUI Parameter (Polygon)                                        Oktett
       ETSI TS 101 109, Clause 7.3.4, Oktetts 1 bis 25               7 bis 31


   N3-A.6.1.4 Gebiet mittels Kreisringsegment
   Die Angabe zum Standort erfolgt, gemäß ETSI TS 101 109, Clause 5.7, in Form
      • einer geografischen Koordinate in Länge und Breite und
      • Angabe zum inneren Radius und der Breite des Rings,
      • Startwinkel in Grad bezogen auf Nord und Breite des Winkelsegments in Grad und


   TR-Notruf Ausgabe 1.0                          30 (56)                                     22. Juni 2011


                                                                                                     Bonn, 22. Juni 2011
36

Amtsblatt der Bundesnetzagentur
                                      für Elektrizität, Gas, Telekommunikation, Post und Eisenbahnen
12 2011                                               – Regulierung, Telekommunikation –                               1941


             • Vertrauensniveau der Information.
          Das Vertrauensniveau ist auf 100% zu setzen.

          UUI Parameter (Kreisringsegment)                                        Oktett
          ETSI TS 101 109, Clause 7.3.7, Oktetts 2 bis 13                        7 bis 18


          N3-A.6.2          Amtliche Anschrift
          Die zu übermittelnde amtliche Anschrift setzt sich zusammen aus:
             • Postleitzahl,
             • Straßenname und
             • Hausnummer

          Auf Grund der Längenbeschränkung des UUI Parameters sind Straßennamen auf maximal 21 Zei-
          chen zu begrenzen. Längere Straßennamen sind bei der Belegung des Parameters entsprechend zu
          kürzen.

           UUI Parameter (Amtliche Anschrift)                                   Oktett
           Postleitzahl                                                         7 bis 9
           Hausnummer                                                        10 bis 12
           Straßenname                                                       13 bis 33


          N3-A.6.2.1 Postleitzahl (PLZ)
          Das Feld hat die 5-stellige Postleitzahl zu enthalten.

          Kodierung: Dezimal 5 Ziffern in den Oktetten 7 bis 9.

          Inhalt:

                                       Oktett 7
             8         7       6        5         4       3      2          1
                      PLZ Ziffer 2                       PLZ Ziffer 1
                                       Oktett 8
             8         7          6     5         4        3       2        1
                      PLZ Ziffer 4                       PLZ Ziffer 3
                                       Oktett 9
             8         7          6     5         4       3      2          1
                           Fhex                          PLZ Ziffer 5


          N3-A.6.2.2 Hausnummer
          Das Feld hat die Hausnummer der amtlichen Anschrift zu enthalten. Es sind zwei Merkmale zu ü-
          bermitteln:
             • Ziffern der Hausnummer
             • Zusatz zur Hausnummer


          TR-Notruf Ausgabe 1.0                             31 (56)                                    22. Juni 2011


Bonn, 22. Juni 2011
37

Amtsblatt der Bundesnetzagentur
                            für Elektrizität, Gas, Telekommunikation, Post und Eisenbahnen
1942                                       – Regulierung, Telekommunikation –                       12 2011


   Kodierung: Dezimal 4 Ziffern in den Oktetten 10 und 11 sowie 1 Zeichen ASCII in Oktett 13.
   Leere Halboktette bei ein-, zwei- oder dreistelligen Hausnummern werden mit Fhex kodiert. Ein lee-
   rer Zusatz zur Hausnummer wird mit FFhex kodiert.

   Inhalt:

                             Oktett 10
       8        7     6        5       4     3     2       1
           Hausnummer Ziffer 2          Hausnummer Ziffer 1
                             Oktett 11
       8        7      6         5     4        3       2        1
           Hausnummer Ziffer 4           Hausnummer Ziffer 3
                             Oktett 12
       8        7      6         5     4        3       2        1
                       Zusatz zur Hausnummer


   N3-A.6.2.3 Straßenname
   Das Feld hat den Straßennamen der amtlichen Anschrift zu enthalten.

   Kodierung: maximal 21 ASCII Zeichen in den Oktetten 13 bis 33

   Inhalt: Straßenname 21 Zeichen. Ist der Straßenname länger als 21 Zeichen, so sind die Zeichen 1
   bis 21 des Straßennamens zu verwenden.

   N3-A.6.3         Beschreibung der Funkzelle
   Die geografische Beschreibung der Funkzelle hat zu erfolgen als
      • Standort des Mobilfunksenders oder
      • Schwerpunkt des Gebietes der Funkzelle.
   Alternativ oder ergänzend kann eine eindeutige Bezeichnung der Funkzelle, aus der die Verbindung
   aufgebaut wurde, angegeben werden. Bei der Verwendung der Bezeichnung der Funkzelle ist si-
   cherzustellen, dass die Informationen zur Umsetzung der Bezeichnung in die geografischen Anga-
   ben zum Gebiet bei den Notrufabfragestellen gemäß Abschnitt 6.2.3.2 vorliegen.

   N3-A.6.3.1 Standort des Mobilfunksenders
   Der Standort des Mobilfunksenders kann als geografische Koordinate des Fußpunktes oder als geo-
   grafische Koordinate des Fußpunktes in Verbindung mit der Hauptstrahlrichtung der Antenne ange-
   geben werden.

   N3-A.6.3.1.1            Geografische Koordinate des Mobilfunksenders
   Der Standort des Mobilfunksenders ist mittels der geografischen Koordinate des Fußpunktes des
   Antennenträgers durch Angabe der geografischen Länge und Breite gemäß N3-A.6.1.1 zu beschrei-
   ben.




   TR-Notruf Ausgabe 1.0                         32 (56)                                     22. Juni 2011



                                                                                                    Bonn, 22. Juni 2011
38

Zur nächsten Seite