abl-23

Dieses Dokument ist Teil der Anfrage „Amtsblätter bis 2018

/ 220
PDF herunterladen
Amtsblatt der Bundesnetzagentur
                                für Elektrizität, Gas, Telekommunikation, Post und Eisenbahnen
23 2011                                       – Regulierung, Telekommunikation –                      4159


  Projekt 2016                                                                      Seite 20 von 26

  Um die Ernsthaftigkeit der angemeldeten Bedarfe glaubhaft zu machen, werden in diesem
  Verfahren bestimmte Anforderungen an die Bedarfsanmeldungen gestellt. Die Kammer folgt
  insoweit dem Großteil der Kommentatoren, die ein qualifiziertes Bedarfsanmeldungsverfahren
  gefordert haben. Entsprechend dem Zweck einer Bedarfsabfrage – Feststellung eines
  Bedarfsüberhangs als Grundlage für die Prognose, dass mit einer die verfügbaren Frequenzen
  übersteigenden Anzahl von Anträgen zu rechnen ist (§ 55 Abs. 9 Satz 1 Alt. 1 TKG) – sind
  solche Bedarfsanmeldungen besonders aussagekräftig, die bei ihrer Darlegung eines Interesses
  an der konkreten Nutzung der Frequenzen auch die sachlichen und subjektiven Kriterien für eine
  künftige Frequenzzuteilung berücksichtigen (§ 55 Abs. 3, 4 und 5 TKG).

  Voraussetzung für eine Frequenzzuteilung ist, dass „eine effiziente und störungsfreie
  Frequenznutzung durch den Antragsteller sichergestellt ist“ und „die Verträglichkeit mit anderen
  Frequenznutzungen gegeben ist“ (siehe § 55 Abs. 5 Satz 1 Nr. 3 und 4 TKG). Interessierte
  Unternehmen werden daher aufgefordert, schlüssig und nachvollziehbar darzulegen, dass eine
  effiziente und störungsfreie Frequenznutzung im Sinne des § 55 Abs. 5 Satz 1 Nr. 4 TKG durch
  sie zum Zeitpunkt der Zuteilung sichergestellt sein wird. Dabei hat sich die schlüssige und
  nachvollziehbare Darlegung sowohl auf die subjektiven Voraussetzungen der Zuverlässigkeit,
  Leistungsfähigkeit und Fachkunde als auch auf die Vorlage eines schlüssigen Konzepts für die
  beabsichtigte Nutzung der zuzuteilenden Frequenzen zu erstrecken.

  Für eine den Zielen des TKG verpflichtete effiziente Nutzung dieser Frequenzen sind
  Darlegungen eines Interessenten auf der Grundlage seines Geschäftsmodells zweckdienlich.
  Dies gilt insbesondere in den Fällen – wie auch von Kommentatoren gefordert – in denen
  Unternehmen bereits über geeignetes Spektrum zur Umsetzung des jeweiligen
  Geschäftsmodells verfügen. Die Kammer folgt insoweit nicht dem Vorschlag eines
  Kommentators, der für dieses Verfahren die Berücksichtigung bereits in der Vergangenheit
  erfüllter Zuteilungsvoraussetzungen gefordert hat.

  Im Einzelnen:


  a)    Wettbewerbliche Unabhängigkeit

  Jedes interessierte Unternehmen ist aufgerufen, nur einmal einen Frequenzbedarf geltend zu
  machen. Dies gilt auch für Bedarfsanmeldungen im Rahmen von Konsortien. Unternehmen, die
  nach § 37 des Gesetzes gegen Wettbewerbsbeschränkungen (GWB) miteinander
  zusammengeschlossen sind, gelten als ein Unternehmen. Das Gebot der wettbewerblichen
  Unabhängigkeit entspricht der bisherigen Regulierungspraxis (vgl. ABl. RegTP 4/2000; Vfg.
  13/2000, Vfg. 42/2006, ABl. BNetzA 20/2006; Vfg. 59/2009, ABl. BNetzA 20/2009). Das
  Regulierungsziel der Sicherstellung eines chancengleichen und funktionsfähigen Wettbewerbs
  (§ 2 Abs. 2 Nr. 2 TKG) erfordert die wettbewerbliche Unabhängigkeit der Netzbetreiber.

  Die Bedarfsanmeldung sollte daher zur Darlegung der wettbewerblichen Unabhängigkeit
  folgende Angaben enthalten: Name und Adresse, Rechtsform und Sitz des Unternehmens sowie
  Ausführungen zur Beteiligungsstruktur.

  b)    Zuverlässigkeit, Leistungsfähigkeit und Fachkunde

  Im Hinblick auf die Darlegung zur Zuverlässigkeit sollte das bedarfsanmeldende Unternehmen
  darlegen, ob in der Vergangenheit eine Frequenzzuteilung entzogen wurde, Auflagen wegen der
  Nichterfüllung von Verpflichtungen aus einer Frequenzzuteilung gemacht wurden, ein Verstoß
  gegen Telekommunikations- oder Datenschutzrecht geahndet wurde oder derzeit ein Verfahren
  in vorgenannten Fällen anhängig ist und ggf. bei welcher Behörde.




Bonn, 7. Dezember 2011
103

Amtsblatt der Bundesnetzagentur
                               für Elektrizität, Gas, Telekommunikation, Post und Eisenbahnen
4160                                         – Regulierung, Telekommunikation –                      23 2011


 Projekt 2016                                                                      Seite 21 von 26

 Im Hinblick auf die Fachkunde sollte dargelegt werden, dass die bei dem Aufbau und Betrieb
 des Funknetzes tätigen Personen über die erforderlichen Kenntnisse, Erfahrungen und
 Fertigkeiten verfügen.

 Neben den Darlegungen zur Zuverlässigkeit und Fachkunde werden insbesondere die
 Darlegungen zur Leistungsfähigkeit von besonderer Bedeutung sein. Interessierte
 Unternehmen sollten daher über eine ausreichende finanzielle Leistungsfähigkeit verfügen und
 dieses substanziiert darstellen. Im Hinblick darauf sollte das bedarfsanmeldende Unternehmen
 darlegen, dass die finanziellen Mittel und gegebenenfalls auch Sachmittel (dauerhaft) für die
 Zuteilung der Frequenzen sowie für die entsprechend dem Frequenznutzungskonzept
 vorgesehenen Investitionen in den Auf- und Ausbau sowie den Betrieb des Funknetzes zur
 Verfügung stehen werden und wie die Finanzierung erfolgen soll.

 Hierbei wird zu berücksichtigen sein, dass es sich bei den Frequenzspektren 900 MHz und
 1800 MHz um Frequenzen von außerordentlich hohem wirtschaftlichem Wert handelt. Den
 Funkfrequenzen in den Bereichen 900 MHz und 1800 MHz ist im Hinblick auf den Aufbau
 flächendeckender Funknetzinfrastrukturen auch für innovative mobile Breitbandangebote eine
 große gesellschaftliche Bedeutung beizumessen (vgl. die Regulierungsziele in § 2 Abs. 2 Nr. 1
 bis 3 TKG). Daher liegt es im öffentlichen Interesse, durch eine effiziente und wirksame
 Frequenzregulierung zu gewährleisten, dass diese Frequenzen so effizient wie möglich genutzt
 werden.

 Die Ziele der Sicherstellung der optimalen Nutzung und effizienten Verwendung (vgl.
 Regulierungsziel § 2 Abs. 2 Nr. 7 TKG) der Frequenzen werden nicht zuletzt auch mit der
 Festsetzung der Gebühren für die Zuteilung verfolgt, § 142 Abs. 2 TKG. Dementsprechend sind
 die Gebühren für Entscheidungen über die Zuteilungen auf der Grundlage der
 Frequenzgebührenverordnung so festzusetzen, dass sie als Lenkungszweck eine optimale und
 den Zielen des Telekommunikationsgesetzes verpflichtete effiziente Nutzung dieser Frequenzen
 sicherstellen; nach § 142 Abs. 2 Satz 4 TKG ist demnach bei der Gebührenbemessung der
 Lenkungszweck entscheidend.

 Bislang sind für Frequenzzuteilungen für den drahtlosen Netzzugang noch keine
 Frequenzzuteilungsgebühren verordnet. Die derzeitige Gebührenverordnung enthält insoweit
 keine Anhaltspunkte, da bislang für die hier in Frage stehenden Frequenzbereiche nur
 Gebührentatbestände für die Nutzung mit GSM festgelegt wurden. Die Gebührenverordnung
 wird derzeit überarbeitet. Es ist vorgesehen, dass die neuen Gebührentatbestände rechtzeitig
 vor der verbindlichen Antragsstellung auf Frequenzzuteilung in Kraft treten.

 Gleichwohl weist die Kammer hierzu auf Folgendes hin:

 Hinsichtlich der Gebührenbemessung gibt § 142 Abs. 2 Satz 4 TKG vor, dass Gebühren für
 Entscheidungen über die Zuteilung eines Nutzungsrechts so festzusetzen sind, dass sie als
 Lenkungszweck die optimale Nutzung und eine den Zielen des TKG verpflichtete Verwendung
 dieser Güter sicherstellt. Damit wird der Bundesnetzagentur auferlegt, ihr Gebührenmodell so
 auszugestalten, dass die Zuteilungsnehmer durch wirksame gebührenrechtliche Anreize unter
 anderem zur effizienten Nutzung der Frequenzen angehalten werden und eine Hortung der
 Frequenzen vermieden wird.

 Den Funkfrequenzen in den Bereichen 900 MHz und 1800 MHz ist eine herausragende
 wirtschaftliche Bedeutung für die elektronische Kommunikation beizumessen. Dies gilt
 insbesondere mit Blick auf den Aufbau flächendeckender Funknetzinfrastrukturen auch für
 innovative mobile Breitbandangebote (vgl. die Regulierungsziele in § 2 Abs. 2 Nr. 1 bis 3 TKG).
 Daher liegt es im öffentlichen Interesse, durch eine effiziente und wirksame Frequenzregulierung
 zu gewährleisten, dass diese Frequenzen so effizient wie möglich genutzt werden.

 Für die Zuteilung von Frequenzspektren mit denselben oder vergleichbaren
 frequenztechnischen Nutzungsbedingungen und dem Nutzungszweck drahtloser Netzzugang



                                                                                                Bonn, 7. Dezember 2011
104

Amtsblatt der Bundesnetzagentur
                                für Elektrizität, Gas, Telekommunikation, Post und Eisenbahnen
23 2011                                       – Regulierung, Telekommunikation –                      4161


  Projekt 2016                                                                      Seite 22 von 26

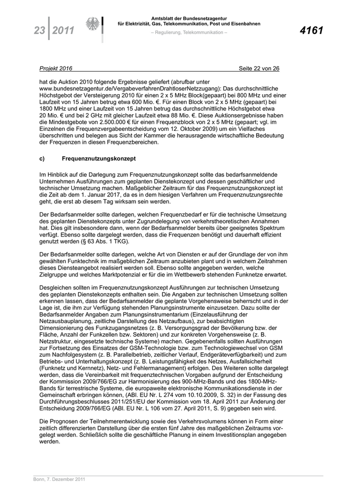
  hat die Auktion 2010 folgende Ergebnisse geliefert (abrufbar unter
  www.bundesnetzagentur.de/VergabeverfahrenDrahtloserNetzzugang): Das durchschnittliche
  Höchstgebot der Versteigerung 2010 für einen 2 x 5 MHz Block(gepaart) bei 800 MHz und einer
  Laufzeit von 15 Jahren betrug etwa 600 Mio. €. Für einen Block von 2 x 5 MHz (gepaart) bei
  1800 MHz und einer Laufzeit von 15 Jahren betrug das durchschnittliche Höchstgebot etwa
  20 Mio. € und bei 2 GHz mit gleicher Laufzeit etwa 88 Mio. €. Diese Auktionsergebnisse haben
  die Mindestgebote von 2.500.000 € für einen Frequenzblock von 2 x 5 MHz (gepaart; vgl. im
  Einzelnen die Frequenzvergabeentscheidung vom 12. Oktober 2009) um ein Vielfaches
  überschritten und belegen aus Sicht der Kammer die herausragende wirtschaftliche Bedeutung
  der Frequenzen in diesen Frequenzbereichen.

  c)        Frequenznutzungskonzept

  Im Hinblick auf die Darlegung zum Frequenznutzungskonzept sollte das bedarfsanmeldende
  Unternehmen Ausführungen zum geplanten Dienstekonzept und dessen geschäftlicher und
  technischer Umsetzung machen. Maßgeblicher Zeitraum für das Frequenznutzungskonzept ist
  die Zeit ab dem 1. Januar 2017, da es in dem hiesigen Verfahren um Frequenznutzungsrechte
  geht, die erst ab diesem Tag wirksam sein werden.

  Der Bedarfsanmelder sollte darlegen, welchen Frequenzbedarf er für die technische Umsetzung
  des geplanten Dienstekonzepts unter Zugrundelegung von verkehrstheoretischen Annahmen
  hat. Dies gilt insbesondere dann, wenn der Bedarfsanmelder bereits über geeignetes Spektrum
  verfügt. Ebenso sollte dargelegt werden, dass die Frequenzen benötigt und dauerhaft effizient
  genutzt werden (§ 63 Abs. 1 TKG).

  Der Bedarfsanmelder sollte darlegen, welche Art von Diensten er auf der Grundlage der von ihm
  gewählten Funktechnik im maßgeblichen Zeitraum anzubieten plant und in welchem Zeitrahmen
  dieses Diensteangebot realisiert werden soll. Ebenso sollte angegeben werden, welche
  Zielgruppe und welches Marktpotenzial er für die im Wettbewerb stehenden Funknetze erwartet.

  Desgleichen sollten im Frequenznutzungskonzept Ausführungen zur technischen Umsetzung
  des geplanten Dienstekonzepts enthalten sein. Die Angaben zur technischen Umsetzung sollten
  erkennen lassen, dass der Bedarfsanmelder die geplante Vorgehensweise beherrscht und in der
  Lage ist, die ihm zur Verfügung stehenden Planungsinstrumente einzusetzen. Dazu sollte der
  Bedarfsanmelder Angaben zum Planungsinstrumentarium (Einzelausführung der
  Netzausbauplanung, zeitliche Darstellung des Netzaufbaus), zur beabsichtigten
  Dimensionierung des Funkzugangsnetzes (z. B. Versorgungsgrad der Bevölkerung bzw. der
  Fläche, Anzahl der Funkzellen bzw. Sektoren) und zur konkreten Vorgehensweise (z. B.
  Netzstruktur, eingesetzte technische Systeme) machen. Gegebenenfalls sollten Ausführungen
  zur Fortsetzung des Einsatzes der GSM-Technologie bzw. zum Technologiewechsel von GSM
  zum Nachfolgesystem (z. B. Parallelbetrieb, zeitlicher Verlauf, Endgeräteverfügbarkeit) und zum
  Betriebs- und Unterhaltungskonzept (z. B. Leistungsfähigkeit des Netzes, Ausfallsicherheit
  (Funknetz und Kernnetz), Netz- und Fehlermanagement) erfolgen. Des Weiteren sollte dargelegt
  werden, dass die Vereinbarkeit mit frequenztechnischen Vorgaben aufgrund der Entscheidung
  der Kommission 2009/766/EG zur Harmonisierung des 900-MHz-Bands und des 1800-MHz-
  Bands für terrestrische Systeme, die europaweite elektronische Kommunikationsdienste in der
  Gemeinschaft erbringen können, (ABl. EU Nr. L 274 vom 10.10.2009, S. 32) in der Fassung des
  Durchführungsbeschlusses 2011/251/EU der Kommission vom 18. April 2011 zur Änderung der
  Entscheidung 2009/766/EG (ABl. EU Nr. L 106 vom 27. April 2011, S. 9) gegeben sein wird.

  Die Prognosen der Teilnehmerentwicklung sowie des Verkehrsvolumens können in Form einer
  zeitlich differenzierten Darstellung über die ersten fünf Jahre des maßgeblichen Zeitraums vor-
  gelegt werden. Schließlich sollte die geschäftliche Planung in einem Investitionsplan angegeben
  werden.




Bonn, 7. Dezember 2011
105

Amtsblatt der Bundesnetzagentur
                              für Elektrizität, Gas, Telekommunikation, Post und Eisenbahnen
4162                                        – Regulierung, Telekommunikation –                      23 2011


 Projekt 2016                                                                     Seite 23 von 26

 Sofern über die dargestellten Anforderungen an das Bedarfsermittlungsverfahren hinaus seitens
 eines Kommentators gefordert wurde, dass bereits mit dem Bedarfsermittlungsverfahren
 klarzustellen sei, dass für Frequenzzuteilungen im Bereich 800 MHz/900 MHz die bei der
 Frequenzauktion 2010 angewandte anbieterbezogene Spektrumskappe von 2 x 20 MHz gelte,
 kann sich die Kammer der Forderung nicht anschließen. Die Bedarfsanmeldungen dienen als
 Grundlage für eine Prognoseentscheidung der Kammer nach § 55 Abs. 9 Satz 2 Alt. 1 TKG.
 Hierfür ist erforderlich, dass die Kammer dieser Prognose Frequenzbedarfe zugrunde legt, die
 auf objektiven Tatsachen beruhen und die tatsächlichen Bedarfe interessierter Unternehmen
 widerspiegeln. Festlegungen, die konkrete Auswirkungen auf die Bedarfsanmeldungen solcher
 Unternehmen hätten, würden dieses objektive Verfahren exogen beeinflussen und die wahre
 Bedarfslage im Markt verzerren. Eine solche Wirkung wäre aber der Festlegung z. B. einer
 Spektrumskappe zuzuschreiben. Derartige Regelungen können erst nach Feststellung der
 Knappheit im Rahmen der Festlegungen im konkreten Verfahren zur Gewährleistung eines
 chancengleichen Zugangs zu Frequenzen dienen. Sie sind daher erst nach Kenntnis aller
 Umstände und Bedarfe der interessierten Unternehmen zu erwägen.

 Zu 6.   Weitere Verfahrensschritte

 Zweck der Bedarfsabfrage ist die Ermittlung eines möglichen Bedarfsüberhangs als eine
 Grundlage für eine Prognose im Sinne des § 55 Abs. 9 Satz 1, 1. Alt. TKG.

 Zu 6.1 Veröffentlichung

 Die Präsidentenkammer wird das Ergebnis der Bedarfsermittlung veröffentlichen. Hierdurch wird
 dem Informationsbedürfnis der Allgemeinheit Rechnung getragen und insbesondere den
 potenziellen Bewerbern soweit möglich Transparenz verschafft. Soweit in diesem
 Zusammenhang seitens eines Kommentators die Frage nach der Individualisierung der
 festgestellten Bedarfe gestellt wurde, weist die Kammer darauf hin, dass die qualifizierten
 Bedarfsanmeldungen in diesem Verfahren Betriebs- und Geschäftsgeheimnisse der
 interessierten Unternehmen enthalten werden. Die Veröffentlichung des Ergebnisses der
 Bedarfsermittlung wird diesem Umstand Rechnung tragen.

 Zu 6.2 Weitere Verfahrensschritte

 Die Bedarfsanmeldungen dienen der Ermittlung eines möglichen Frequenzbedarfsüberhangs
 und der sich hieraus ergebenden gesetzlich vorgesehenen Verfahrensschritte für die
 Frequenzzuteilungen.

 Für die Zuteilung der Funkfrequenzen aus den Bereichen 900 MHz und 1800 MHz kommen
 nach erster Einschätzung der Präsidentenkammer im Wesentlichen die Verfahren der
 Verlängerung gemäß § 55 Abs. 8 TKG oder der (Neu-)Vergabe der Frequenzen gemäß §§ 55
 Abs. 3 und 9, 61 TKG bei Frequenzknappheit in Betracht.

 Nach § 55 Abs. 9 Satz 1 TKG in Verbindung mit § 132 Abs. 3 Satz 1 TKG trifft die
 Präsidentenkammer unter Beteiligung betroffener Kreise zunächst eine Feststellung darüber, ob
 eine Frequenzknappheit für die Frequenzen in den Bereichen 900 MHz und 1800 MHz besteht
 oder nicht.

 Die Präsidentenkammer wird auf der Grundlage des ermittelten Frequenzbedarfs in den
 Bereichen 900 MHz und 1800 MHz erwägen, ob eine Verlängerung der Befristungen
 bestehender Frequenznutzungsrechte (§ 55 Abs. 8 Satz 1 TKG) oder die Durchführung eines
 Vergabeverfahrens (§§ 55 Abs. 9 und 61 TKG) in Betracht kommt. Die seitens des
 Telekommunikationsgesetzes vorgesehenen Anhörungen der betroffenen Kreise werden – wie
 auch von Kommentatoren gefordert – vor den jeweiligen Entscheidungen der
 Präsidentenkammer durchgeführt werden.


                                                                                               Bonn, 7. Dezember 2011
106

Amtsblatt der Bundesnetzagentur
                               für Elektrizität, Gas, Telekommunikation, Post und Eisenbahnen
23 2011                                      – Regulierung, Telekommunikation –                      4163


  Projekt 2016                                                                     Seite 24 von 26

  Nach § 55 Abs. 8 TKG ist eine Verlängerung der Befristung der Frequenznutzungsrechte
  möglich. Dies gilt gemäß § 55 Abs. 9 Satz 1 TKG grundsätzlich nicht, wenn Frequenzknappheit
  besteht. Sind für Frequenzzuteilungen nicht in ausreichendem Umfang verfügbare Frequenzen
  vorhanden, kann die Präsidentenkammer anordnen, dass der Zuteilung ein Vergabeverfahren
  voranzugehen hat. Vor der Entscheidung sind die betroffenen Kreise anzuhören (§ 55 Abs. 9
  Satz 2 TKG). Zutreffend weisen Kommentatoren in diesem Zusammenhang darauf hin, dass das
  Telekommunikationsgesetz hier der Präsidentenkammer einen Ermessensspielraum einräumt.
  Soweit von Kommentatoren gefordert wird, bereits zum jetzigen Zeitpunkt zugunsten der
  derzeitigen Frequenzzuteilungsinhaber über eine Verlängerung zu entscheiden, kann sich die
  Kammer dem nicht anschließen, da zunächst in dem hier vorliegenden Verfahren die
  notwendigen entscheidungserheblichen Tatsachen für die Ermessensentscheidung zu ermitteln
  sind.

  Die Frequenzen werden durch die Bundesnetzagentur auf schriftlichen Antrag als
  Einzelzuteilungen und gegebenenfalls erst nach Teilnahme an einem Vergabeverfahren
  zugeteilt. Hierfür wird die Bundesnetzagentur zeitnah vor der Durchführung eines bestimmten
  Verfahrens für die Zuteilung der Frequenzen zur Beantragung von Nutzungsrechten auffordern.
  Auch Unternehmen, die ihr Interesse an konkreten Nutzungen der Frequenzen in den Bereichen
  900 MHz und 1800 MHz bereits im Rahmen des Bedarfsermittlungsverfahrens bekundet haben
  werden, haben gemäß § 55 Abs. 3 und 4 TKG schriftliche Anträge auf Zuteilung von
  Frequenzen zu stellen und entsprechende konkretere Darlegungen und auch Nachweise für die
  Erfüllung der gesetzlichen Zuteilungsbedingungen zu erbringen. Für den Fall der Anordnung
  eines Vergabeverfahrens werden die Interessenten zusätzlich zu ihrer Bedarfsanmeldung nach
  § 61 Abs. 4 Satz 2 Nr. 1 TKG Anträge auf Zulassung zum Vergabeverfahren stellen und
  entsprechende Darlegungen und Nachweise zu den oben genannten gesetzlichen
  Mindestzulassungsvoraussetzungen beibringen müssen.

  Die Anmerkungen der Kommentatoren zu den im späteren Verfahren festzulegenden
  Zuteilungsbedingungen – wie die Laufzeit der Frequenznutzungsrechte, Regelungen zur
  Versorgungsverpflichtung, der konkreten Frequenznutzungsbedingungen – werden im weiteren
  Verlauf des Verfahrens Berücksichtigung finden.

  Zu 6.3 Zeitpunkt der Entscheidung über die Folgenutzung

  Nach heutiger Einschätzung soll das Verfahren möglichst drei Jahre vor Ablauf der
  gegenwärtigen Laufzeit der Frequenznutzungsrechte abgeschlossen sein, um den
  Netzbetreibern und den übrigen interessierten Unternehmen die erforderliche Planungs- und
  Investitionssicherheit zu gewähren.

  Bereits in ihrer Flexibilisierungsentscheidung vom 12. Oktober 2009 hat die Präsidentenkammer
  als Maßnahme für die Flexibilisierung von Frequenznutzungsrechten für drahtlose Netzzugänge
  in den Bereichen 900 MHz und 1800 MHz in Aussicht gestellt, rechtzeitig, d. h. etwa drei Jahre
  vor dem Ende der jetzigen Befristung (31. Dezember 2016), über die Zuteilung dieser
  Frequenzen zu entscheiden (a. a. O., S. 3576):

             „Maßnahme 3:     Die Bundesnetzagentur wird von Amts wegen rechtzeitig vor dem
                              Ende der derzeitigen Befristung der Frequenznutzungsrechte in
                              den Frequenzbereichen 900 MHz und 1800 MHz eine
                              Entscheidung über die Zuteilung dieser Frequenzen ab dem
                              01.01.2017 treffen.

                              Entsprechendes gilt für den Fall, dass ein
                              Frequenzzuteilungsinhaber einen Antrag auf Verlängerung der
                              Befristung über den 31.12.2016 hinaus stellt.“




Bonn, 7. Dezember 2011
107

Amtsblatt der Bundesnetzagentur
                              für Elektrizität, Gas, Telekommunikation, Post und Eisenbahnen
4164                                        – Regulierung, Telekommunikation –                      23 2011


 Projekt 2016                                                                     Seite 25 von 26

 Hierzu hat die Präsidentenkammer in ihrer Begründung Folgendes ausgeführt (a. a. O.,
 S. 3610 f.):

          „Die Bundesnetzagentur wird von Amts wegen rechtzeitig vor dem Ende der
          derzeitigen Befristung der Frequenznutzungsrechte in den Frequenzbereichen 900
          MHz und 1800 MHz eine Entscheidung über die Zuteilung dieser Frequenzen ab dem
          01.01.2017 treffen.

          (…) wird die Bundesnetzagentur rechtzeitig, d. h. etwa drei Jahre vor dem Ende der
          jetzigen Befristung (31.12.2016), über die weitere Erteilung von
          Frequenznutzungsrechten entscheiden. Die Kammer hat hierbei insbesondere das
          Ergebnis der jüngsten Anhörungen berücksichtigt.

          (…) Aus Sicht der Kammer sind die hiermit verbundenen Fragen von besonderer
          Komplexität und die zu treffende Entscheidung von hervorgehobener Bedeutung mit
          erheblichen Auswirkungen für den Markt. Um diese Entscheidung auf eine
          dementsprechend sichere und stabile Grundlage zu stellen, wird die
          Bundesnetzagentur das Verfahren zur Erarbeitung dieser Entscheidung rechtzeitig
          einleiten.“

 Soweit von einem Kommentator darauf hingewiesen wird, dass eine abschließende
 Entscheidung über die Folgenutzung auch zu einem späteren Zeitpunkt ausreichend sei, weist
 die Kammer darauf hin, dass es zur Gewährleistung einer rechtzeitigen Entscheidung über die
 Nutzung der Frequenzen ab dem 1. Januar 2017 noch weiterer Verfahrensschritte bedarf. Die
 zeitliche Planung hat sich dabei an den gesetzlich vorgesehenen Verfahrensschritten zu
 orientieren, die gegebenenfalls auch die Anordnung und Durchführung eines Vergabeverfahrens
 beinhalten können. Die in diesem Fall durchzuführenden gesetzlich vorgesehenen Anhörungen
 der betroffenen Kreise sowie die hierfür vorgesehenen Präsidentenkammerentscheidungen, die
 im Benehmen mit dem Beirat bei der Bundesnetzagentur zu treffen sind, waren bei der
 zeitlichen Planung frühzeitig zu berücksichtigen.

 Die Kammer trägt dabei auch den Kommentaren Rechnung, die ein solches zügiges Vorgehen
 fordern, um die Dienstekontinuität weiter zu gewährleisten, Innovationen zuzulassen und für
 Investitionen zu sorgen. Dabei wird vor allem auf die eventuelle Notwendigkeit von
 Verkehrsmigrationen und die Kontinuität der Nutzungen dieser Frequenzbänder hingewiesen.
 Die Marktteilnehmer benötigten ausreichend Zeit, damit strategische Entscheidungen und ggf.
 Anpassungsmaßnahmen durchgeführt werden könnten. Bei kürzeren Umsetzungsfristen könne
 es zu zeitlichen Engpässen und sogar zu Unterbrechungen in der Diensteversorgung kommen.
 Eine Entscheidung drei Jahre vor dem Ende der Laufzeit der Frequenznutzungen sei mit Blick
 auf Erfahrungen zu den notwendigen, zeitaufwändigen Konsultations- und
 Vorbereitungsprozessen zudem angemessen und sachdienlich.

 Bundesnetzagentur für Elektrizität, Gas,
 Telekommunikation, Post und Eisenbahnen

 Die Präsidentenkammer                                             Bonn, den 21. November 2011




 Dr. Henseler-Unger                     Kurth                             Kindler
     Beisitzerin                     Vorsitzender                         Beisitzer




                                                                                               Bonn, 7. Dezember 2011
108

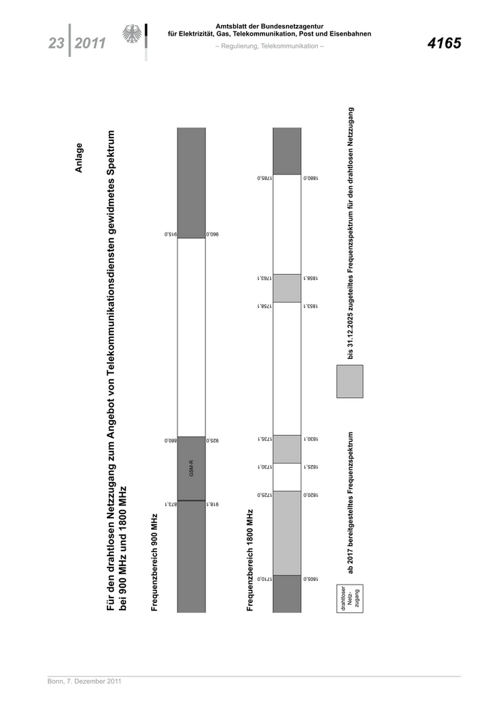
Anlage
                                                                                                                                                                                   23 2011



                         Für den drahtlosen Netzzugang zum Angebot von Telekommunikationsdiensten gewidmetes Spektrum




Bonn, 7. Dezember 2011
                         bei 900 MHz und 1800 MHz


                         Frequenzbereich 900 MHz




                                                                  873,1
                                                                                             880,0
                                                                                                                                          915,0
                                                                                   GSM-R




                                                                  918,1
                                                                                             925,0
                                                                                                                                          960,0



                         Frequenzbereich 1800 MHz




                                                                                                                     1758,1
                                                                                                                              1763,1




                                      1710,0
                                                                          1725,0
                                                                                    1730,1
                                                                                              1735,1
                                                                                                                                                          1785,0




                                                                                                                     1853,1
                                                                                                                              1858,1




                                      1805,0
                                                                          1820,0
                                                                                    1825,1
                                                                                              1830,1
                                                                                                                                                          1880,0
                                                                                                                                                                                                                                           Amtsblatt der Bundesnetzagentur

                                                                                                                                                                                    – Regulierung, Telekommunikation –




                         drahtloser
                           Netz-               ab 2017 bereitgestelltes Frequenzspektrum               bis 31.12.2025 zugeteiltes Frequenzspektrum für den drahtlosen Netzzugang
                          zugang
                                                                                                                                                                                                                         für Elektrizität, Gas, Telekommunikation, Post und Eisenbahnen
                                                                                                                                                                                   4165
109

Amtsblatt der Bundesnetzagentur
                                          für Elektrizität, Gas, Telekommunikation, Post und Eisenbahnen
4166                                                        – Regulierung, Telekommunikation –                 23 2011


Vfg Nr. 80/2011

SSB FE-OE 031 Schnittstellenbeschreibung für Punkt-zu-
Mehrpunkt-Richtfunkanlagen im 3,5-GHz-Bereich, Ausgabe
Juni 2011

Die Notifizierung für die o.g. Schnittstellenbeschreibung (SSB)
nach Richtlinie 1998/34/EG, zuletzt geändert durch die Richtlinie
2006/96/EG, ist abgeschlossen und bei der EU-Kommission unter
der Nr. 2011/432/D registriert.

Die o.g. SSB tritt daher mit sofortiger Wirkung in Kraft.

Ausdrucke dieser SSB können bei der Bundesnetzagentur für Elek-
trizität, Gas, Telekommunikation, Post und Eisenbahnen (Bundes-
netzagentur) schriftlich, per Fax oder per Internet bestellt (Bestell-
nummer: 409 421 031-1) und gegen Rechnung bezogen werden.

Die Anschrift lautet:
                 Bundesnetzagentur
                 Außenstelle Erfurt
                 Zeppelinstraße 16
                 99096 Erfurt

                Telefon: (0361) 7398-272
                Telefax: (0361) 7398-184
                eMail: druckschriften.versand@bnetza.de

Des Weiteren kann die SSB als PDF-Datei in Kürze im Internet
unter http://www.bundesnetzagentur.de (Amtsblatt / Publikationen
– Schnittstellenbeschreibungen) eingesehen und abgerufen wer-
den.

Für Fragen zu dieser SSB steht die E-Mail Adresse:
ssb@bnetza.de zur Verfügung.

Die Schnittstellenbeschreibung BNetzA SSB FE-OE 010, Ausgabe
September 2006, (BNetzA Amtsblatt 22, 2006, Vfg. Nr. 48) tritt hier-
mit außer Kraft.

421




                                                                                                           Bonn, 7. Dezember 2011
110

Amtsblatt der Bundesnetzagentur
                                        für Elektrizität, Gas, Telekommunikation, Post und Eisenbahnen
23 2011                                                         – Regulierung, Post –                                         4167


Regulierung

Post


Vfg Nr. 81/2011                                                        Vfg Nr. 82/2011

PEntgV § 8 Abs. 2 i. V. m. §§ 29 Abs. 2, Abs. 1 Satz 2, 28 Abs.        Veröffentlichung der Entscheidung über die Zusammenfas-
2, 19 Satz 1, 20, 21 Abs. 1 Nr. 1 PostG;                               sung von Dienstleistungen und Vorgabe von Maßgrößen für
                                                                       die Price-Cap-Regulierung für Briefsendungen bis 1.000
hier: Antrag der Deutschen Post AG auf Genehmigung des                 Gramm ab dem 01.01.2012
Entgelts für den Zugang zu Adressänderungsinformationen
                                                                       Nachfolgend werden die Festlegungen der Entscheidung BK5b-
Nachfolgend werden die Festlegungen der Entscheidung BK5b-             11/017 vom 14.11.2011 veröffentlicht.
11/066 vom 25.11.2011 veröffentlicht.

     1.   Die Entgelte für die Bereitstellung der Informationen über
          Adressänderungen im Wege der Prozessvariante „Black-         1.      Zusammenfassung von Dienstleistungen
          box“ werden in folgender Höhe genehmigt:
                                                                       Die der Price-Cap-Regulierung unterliegenden Dienstleistungen
          1.1 Für die Lieferung des Lesegerätes und der Smart-         werden gemäß § 1 Abs. 2 PEntgV in einem einzigen Dienstleis-
              card sowie für die Versandkosten wird ein Installati-    tungskorb zusammengefasst.
              onsentgelt von einmalig 59,29 € genehmigt.

          1.2 Für jeden Treffer bei einer Adressabfrage durch ei-
              nen Wettbewerber wird ein Entgelt von 0,12 € ge-         2.      Aufnahme neuer Dienstleistungen in die Price-Cap-
              nehmigt.                                                         Regulierung

     2.   Die Wirksamkeit der Genehmigung beginnt mit dem              Neue Dienstleistungen der Betroffenen können in die Price-Cap-
          01.01.2012 und endet am 31.12.2013.                          Regulierung nur dann aufgenommen werden, wenn im jeweils rele-
                                                                       vanten Referenzzeitraum mindestens während des letzten halben
     3.   Im Übrigen wird der Antrag abgelehnt.                        Jahres dieses Zeitraumes aus einer marktbeherrschenden Stellung
                                                                       heraus auf dem relevanten Markt Umsätze erzielt worden sind.
Die vollständige Entscheidung ist in der Beschlussdatenbank
(http://beschlussdatenbank.bundesnetzagentur.de) sowie im Inter-       Sofern durch produktspezifische Qualitätsänderungen (Modifizie-
net unter www.Bundesnetzagentur.de verfügbar.                          rung der Leistungsmerkmale) Dienstleistungen maßgeblich verän-
                                                                       dert werden, gelten sie als neue Angebote und sind wie solche zu
                                                                       behandeln.

Az.: BK5b-11/066

                                                                       3.      Herausnahme einzelner Dienstleistungen aus der
                                                                               Price-Cap-Regulierung

                                                                       Die Herausnahme einzelner Dienstleistungen aus der Price-Cap-
                                                                       Regulierung ist grundsätzlich möglich. Zuvor ist allerdings zu prü-
                                                                       fen, ob die festgelegten Price-Cap-Bestimmungen weiterhin einge-
                                                                       halten werden. Ist dies der Fall, sind Entgeltmaßnahmen nicht
                                                                       erforderlich. Werden die Bestimmungen hingegen nicht mehr er-
                                                                       füllt, müssen zeitgleich mit der Herausnahme der Dienstleistungen
                                                                       kompensierende Entgeltänderungen bei den noch in der Price-
                                                                       Cap-Regulierung verbleibenden Dienstleistungen durchgeführt wer-
                                                                       den.

                                                                       Bei Dienstleistungen, die wegen des Wegfalls einer marktbeherr-
                                                                       schenden Stellung aus der Price-Cap-Regulierung entlassen, aber
                                                                       weiter am Markt angeboten werden, lässt sich die Einhaltung der
                                                                       Price-Cap-Bestimmungen dadurch gewährleisten, dass der Anteil
                                                                       an der Erfüllung der Senkungsvorgabe unabhängig von zukünftigen
                                                                       Änderungen der Entgelte für den Rest der Price-Cap-Periode auf
                                                                       dem Niveau zum Zeitpunkt der Entlassung aus der Price-Cap-Re-
                                                                       gulierung für Referenzzwecke festgeschrieben wird.

                                                                       Entsprechendes gilt in den Fällen des § 27 PostG.



                                                                       4.      Ausgangsentgeltniveau

                                                                       a) Das Ausgangsentgeltniveau ergibt sich als gewichteter Durch-
                                                                       schnitt der Entgelte der im Korb enthaltenen Dienstleistungen. Als



Bonn, 7. Dezember 2011
111

Amtsblatt der Bundesnetzagentur
                                         für Elektrizität, Gas, Telekommunikation, Post und Eisenbahnen
4168                                                             – Regulierung, Post –                                 23 2011


Gewichte für die am 31.12.2011 von der Betroffenen auf einem            Übersicht über die vorhandenen Filialstandorte (mit Anschrift und
Markt für lizenzpflichtige Postdienstleistungen erhobenen Entgelte      Koordinaten) sowie Angaben zu Filialformat und Unternehmensor-
(pi) werden die Absatzmengen des Referenzjahres 2010 (vgl. Punkt        ganisation
11) verwendet.
                                                                        Angaben über die Brieflaufzeitmessung getrennt nach Bund / Leit-
b) Dem Durchschnitt der Entgelte wird die bei Erlass der Entschei-      region; jeweils aus Verbraucher- und Betriebssicht sowie Lieferung
dung tatsächlich erbrachte Qualität der Briefbeförderung zugrunde       des dazugehörigen Rohdatensatzes gem. EN 13850
gelegt. Zu diesem Zweck wird der Betroffenen in Tenor zu 7. e)
auferlegt, zusammen mit dem Entgeltgenehmigungsantrag für den           Angaben über Zahl, Standorte (Anschrift und Koordinaten) und
Zeitraum vom 01.01. bis 31.12.2012 Informationen mit Stand 3.           Leerungszeiten der Briefkästen.
Quartal 2011 vorzulegen.


                                                                        8.      Geltungsdauer
5.      Zu erwartende Produktivitätsfortschrittsrate – X-Faktor
                                                                        Die Maßgrößen der Price-Cap-Regulierung werden für den Zeit-
Die zu erwartende Produktivitätsfortschrittsrate (X-Faktor) wird wie    raum vom 1. Januar 2012 bis zum 31. Dezember 2013 festgelegt.
folgt vorgegeben:                                                       Dieser Zeitraum wird in zwei Price-Cap-Perioden mit einer Länge
                                                                        von je einem Jahr unterteilt.
Für die Jahre 2012 und 2013 wird eine erwartete Produktivitätsfort-
schrittsrate von jeweils 0,6 % festgelegt.

                                                                        9.      Prüfung der Einhaltung der Maßgrößen

6.      Gesamtwirtschaftliche Preissteigerungsrate –                    Unabhängig vom Initiativrecht des regulierten Unternehmens, je-
        Referenzindex I                                                 derzeit Genehmigungsanträge zu stellen, wird geprüft, ob zum
                                                                        1. Januar 2013 Entgeltänderungen nach den Price-Cap-Bestim-
Als Referenzindex I wird der Verbraucherpreisindex für Deutsch-         mungen erforderlich werden. Sofern sich bei dieser Überprüfung
land des Statistischen Bundesamtes herangezogen (Statistisches          die Notwendigkeit von Entgeltänderungen ergibt, sind diese zum 1.
Bundesamt, Fachserie17, Reihe 7). Als Wert für den Referenzindex        Januar 2013 umzusetzen.
wird jeweils das arithmetische Mittel der Monatswerte von Juli des
Referenzjahres (vgl. Punkt 11) bis Juni des Folgejahres herangezo-      Wird festgestellt, dass Entgeltänderungen erforderlich sind, hat das
gen. Für die Price-Cap-Periode 2012 beträgt der Referenzindex           betroffene Unternehmen spätestens zum 31. Juli eines jeden Jah-
somit 1,8 %.                                                            res alle relevanten Informationen - insbesondere Mengen und Um-
                                                                        satzzahlen des jeweiligen Referenzzeitraumes - bezüglich seiner
                                                                        Dienstleistungen in einer Weise darzustellen, die es der Regulie-
                                                                        rungsbehörde ermöglicht, die Einhaltung der Price-Cap-Bestim-
7.      Nebenbedingungen                                                mungen zu prüfen. Dies bedeutet, dass Einnahmen aus verschie-
                                                                        denen Dienstleistungen und die ihnen zugrunde liegenden
a) Vollbezahlte sowie ermäßigte Einzelentgelte innerhalb eines          Entgeltstrukturen so auszuweisen sind, dass eine eindeutige Zu-
Korbes dürfen nicht missbräuchlich im Sinne von § 20 Abs. 2 PostG       ordnung vorgenommen werden kann.
sein.

b) Die Entgelte für Brief International zum Kilotarif mit den Dienst-
leistungsmerkmalen, wie sie mit den im Rahmen des Maßgrößen-            10.     Übertragung ungenutzter Entgeltspielräume
verfahrens vorgelegten Leistungsbeschreibungen definiert werden,
können nur durch eine gleiche prozentuale Veränderung des Stück-        Ungenutzte Entgeltspielräume können sowohl durch nicht in vollem
preisanteils und des Kilopreisanteils geändert werden. Anderenfalls     Umfang genutzte Entgelterhöhungsmöglichkeiten als auch durch
ist rechnerisch nachvollziehbar zu belegen, dass die Entgeltände-       übererfüllte Senkungsvorgaben entstehen. Diese Entgelt­spielräume
rung weder missbräuchliche Abschläge noch Diskriminierungen             können auf die folgenden Price-Cap-Perioden übertragen werden.
enthält.
                                                                        Die Übertragung der Entgeltspielräume wird jedoch nur insoweit
c) Die im Price-Cap-Verfahren genehmigten Entgelte stellen Netto-       zugelassen, als diese nicht missbräuchlich genutzt werden.
entgelte im Sinne des Umsatzsteuergesetzes dar. Für Fragen der
Umsatzsteuerpflicht finden die steuerrechtlichen Regelungen An-
wendung.
                                                                        11.     Referenzzeiträume für die Gewichtung
d) Änderungen gegenüber der von der Betroffenen im Maßgrößen-
verfahren vorgelegten Leistungsbeschreibungen werden im Sinne           Referenzzeitraum für die Price-Cap-Periode 2012 ist das Jahr
des § 27 PostG behandelt.                                               2010. Für die Folgeperiode gilt als Referenzzeitraum dementspre-
                                                                        chend das Jahr 2011 für die Price-Cap-Periode 2013.
e) Über die dem Ausgangsentgeltniveau zugrunde liegende Quali-
tät der Briefbeförderung ist jeweils zum Ende eines Quartals in
elektronischer Form zu berichten, die eine Auswertung mittels einer
Datenbank erlaubt. Hierzu sind der Beschlusskammer in EDV-fähi-
gem Format folgende Informationen jeweils zwei Monate nach
Quartalsende mitzuteilen:




                                                                                                                  Bonn, 7. Dezember 2011
112

Zur nächsten Seite