abl-04

Dieses Dokument ist Teil der Anfrage „Amtsblätter bis 2018

/ 204
PDF herunterladen
Amtsblatt der Bundesnetzagentur
                                 für Elektrizität, Gas, Telekommunikation, Post und Eisenbahnen
708                                      – Mitteilungen, Qualifizierte elektronische Signatur,              4          2010
                                            Teil A, Mitteilungen der Bundesnetzagentur –

                                                                                     Herstellererklärung bos-2009-08-01


                        nicht gesperrt waren.
                                                                          ob das zugehörige qualifizierte Zertifikat
                                                                          zum angegebenen Zeitpunkt gültig war.
                                                                          Die Anforderungen zur korrekten und
                                                                          zuverlässigen Anzeige des Prüfprotokolls
                                                                          werden durch Auflagen zum Betrieb
                                                                          realisiert, vgl. Abschnitt 5
          § 15 Abs. 4   Sicherheitstechnische Veränderungen an            Die Anforderungen zur Erkennung sicher-
                        technischen Komponenten nach den                  heitstechnischer Veränderungen werden
                        Absätzen 1 bis 3 müssen für den Nutzer            durch Auflagen zum Betrieb realisiert, vgl.
                        erkennbar werden.                                 Abschnitt 5..
          Tabelle 5: Erfüllung der Anforderungen der SigV

          Die folgenden Anforderungen von SigG und SigV werden vom Produkt „Governikus Verification Service,
          Version 1.0.0.0“ nicht erfüllt, da die Erstellung von Signaturen sowie die Anzeige der zu signierenden
          bzw. signierten Dateien nicht zum Funktionsumfang des Produktes „Governikus Verification Service,
          Version 1.0.0.0“ gehört:

      § 17 Abs. 2   Für die Darstellung zu signierender Daten sind Signaturanwendungskomponenten
      Satz 1 SigG   erforderlich, die die Erzeugung einer qualifizierten elektronischen Signatur vorher
                    eindeutig anzeigen und feststellen lassen, auf welche Daten sich die Signatur bezieht.
      § 17 Abs. 2   Signaturanwendungskomponenten müssen nach Bedarf auch den Inhalt der zu
      Satz 3 SigG   signierenden […] Daten hinreichend erkennen lassen.
      § 15 Abs. 2   Signaturanwendungskomponenten nach § 17 Abs. 2 des Signaturgesetzes müssen
      Nr. 1 SigV    gewährleisten, dass […] bei der Erzeugung einer qualifizierten elektronischen Signatur
                    a) die Identifikationsdaten nicht preisgegeben und diese nur auf der jeweiligen sicheren
                    Signaturerstellungseinheit gespeichert werden,
                    b) eine Signatur nur durch die berechtigt signierende Person erfolgt,
                    c) die Erzeugung einer Signatur vorher eindeutig angezeigt wird [….].
          Tabelle 6: Nicht erfüllte Anforderungen des SigG und der SigV

          Darüber hinaus ist § 17 Abs. 2 Satz 4 SigG („Die Signaturschlüssel-Inhaber sollen solche Signatur-
          anwendungskomponenten einsetzen oder andere geeignete Maßnahmen zur Sicherheit qualifizierter
          elektronischer Signaturen treffen.“) nicht direkt durch das Produkt „Governikus Verification Service,
          Version 1.0.0.0“ umsetzbar.

          Hinweise zu schwach werdenden Algorithmen und qualifizierten Zeitstempeln

          Signaturanwendungskomponenten i. S. v. § 2 Nr. 11 b SigG müssen auch dann eine zuverlässige
          Prüfung und zutreffende Anzeige des Ergebnisses gem. § 15 Abs. 2 Nr. 2a SigV gewährleisten 8 , wenn
          die geprüfte Signatur auf einem Algorithmus oder Parameter beruht, der als nicht mehr geeignet und
          damit als nicht mehr hinreichend zuverlässig eingestuft ist, oder wenn ein qualifizierter Zeitstempel
          vorliegt.



      8
       Schreiben der Bundesnetzagentur „Hinweis im Zusammenhang mit der Prüfung von qualifizierten
      elektronischen Signaturen, die auf ungeeigneten Algorithmen beruhen, und von qualifizierten Zeitstempeln“
      vom 06.03.2009


      bremen online services Entwicklungs- und Betriebsgesellschaft mbH & Co. KG                          Seite 9 von 16
      Herstellererklärung für „Governikus Verification Service, Version 1.0.0.0“



                                                                                                            Bonn, 3. März 2010
160

Amtsblatt der Bundesnetzagentur
                                    für Elektrizität, Gas, Telekommunikation, Post und Eisenbahnen
4       2010                                – Mitteilungen, Qualifizierte elektronische Signatur,                        709
                                               Teil A, Mitteilungen der Bundesnetzagentur –

                                                                                        Herstellererklärung bos-2009-08-01

            Seitens der Bundesnetzagentur wurden die Anforderungen an Signaturanwendungskomponenten weiter
            präzisiert, die das Produkt „Governikus Verification Service, Version 1.0.0.0“ aktuell wie folgt erfüllt:

            Anforderung                                                  Erfüllung und Verhalten der Software
                                                                         „Governikus Verification Service, Version
                                                                         1.0.0.0“

            a) Abgelaufene Algorithmen:                                  Bei der Prüfung einer Signatur prüft das
                                                                         Produkt „Governikus Verification Service,
            Die Prüfung einer Signatur durch eine Signaturan-            Version 1.0.0.0“, ob die verwendeten krypto-
            wendungskomponente (SAK) für qualifizierte                   grafischen Algorithmen – sowohl zum Zeitpunkt
            elektronische Signaturen i. S. v. § 2 Nr. 11b SigG           der Prüfung (Prüfzeitpunkt) als auch zum
            muss bei abgelaufenen Algorithmen für den Nutzer             Signierzeitpunkt – als geeignet anzusehen sind.
            deutlich anzeigen, dass die geprüfte Signatur mit            Bzgl. der Eignung kryptografischer Algorithmen
            einem Algorithmus erzeugt wurde, der nicht mehr              werden die Angaben des offiziellen
            dem Stand der Wissenschaft und Technik entspricht,           Algorithmenkatalogs der Bundesnetzagentur
            und sie somit einen verminderten Beweiswert hin-             genutzt. 9
            sichtlich der Authentizität und Integrität des verbun-
            denen Dokuments gegenüber dem Signaturzeitpunkt              Das Prüfprotokoll, in dem die Ergebnisse der
            besitzt. Weiter sollte der Zeitpunkt, zu dem der Algo-       Prüfung zusammenfassend dem Benutzer
            rithmus seine Eignung verloren hat, zutreffend ange-         dargestellt werden, hebt Signaturen, deren
            zeigt werden.                                                zugehörige kryptografische Algorithmen zum
                                                                         Prüf- oder zum Signierzeitpunkt als nicht mehr
            Unspezifische Aussagen zu abgelaufene Algorithmen            geeignet anzusehen sind, entsprechend farb-
            sind nicht zulässig.                                         lich hervor und weist den Benutzer darauf hin,
                                                                         dass ein verwendeter Algorithmus zum Zeit-
                                                                         punkt der Prüfung oder zum Signierzeitpunkt
                                                                         gemäß Algorithmenkatalog nicht mehr für eine
                                                                         qualifizierte elektronische Signatur geeignet ist
                                                                         oder war. 10 Außerdem zeigt das Prüfprotokoll
                                                                         an, bis zu welchem Zeitpunkt die verwendeten
                                                                         Algorithmen gemäß Algorithmenkatalog als
                                                                         geeignet anzusehen sind, bzw. es waren.

            b) Nicht implementierte Algorithmen:                         Sofern die Software "Governikus Verification
                                                                         Service, Version 1.0.0.0" eine Prüfung einer
            Ist bei der Prüfung einer Signatur ein Algorithmus zu        Signatur nicht (vollständig) durchführen kann,
            verwenden, der in der Verifikationskomponente der            weil ein benötigter kryptografischer Algorithmus
            SAK nicht implementiert ist, so muss dies dem Nutzer         nicht implementiert ist, wird dies dem Benutzer
            zutreffend angezeigt werden.                                 entsprechend angezeigt: Das Prüfprotokoll, in
                                                                         dem die Ergebnisse der Prüfung zusammen-
            Unspezifische Aussagen zu nicht implementierten
                                                                         fassend dem Benutzer dargestellt werden, hebt
            Algorithmen sind nicht zulässig.
                                                                         Signaturen, deren zugehörige kryptografische



       9
        Detaillierte Erläuterungen finden sich im Informationspapier zur Umsetzung des bos-Prüfprotokolls gemäß
       FAQ 28 der BNetzA. (Vgl. Ausgegliederte Zusatzdokumentation).
       10
         Informationen zur graduellen und sukzessiven Einbuße des Beweiswertes der Signatur sind dem
       beiliegenden Dokument „bos-Prüfprotokoll mit Zertifikatsanzeige“ zu entnehmen.


       bremen online services Entwicklungs- und Betriebsgesellschaft mbH & Co. KG                          Seite 10 von 16
       Herstellererklärung für „Governikus Verification Service, Version 1.0.0.0“



Bonn, 3. März 2010
161

Amtsblatt der Bundesnetzagentur
                                   für Elektrizität, Gas, Telekommunikation, Post und Eisenbahnen
710                                        – Mitteilungen, Qualifizierte elektronische Signatur,             4        2010
                                              Teil A, Mitteilungen der Bundesnetzagentur –

                                                                                       Herstellererklärung bos-2009-08-01


          Anforderung                                                   Erfüllung und Verhalten der Software
                                                                        „Governikus Verification Service, Version
                                                                        1.0.0.0“

                                                                        Algorithmen nicht implementiert sind, ent-
                                                                        sprechend hervor und weist den Benutzer
                                                                        darauf hin, dass die Signatur nicht geprüft
                                                                        werden konnte, da ein Algorithmus nicht
                                                                        implementiert ist.9

          c) Qualifizierte Zeitstempel:                                 Das Produkt „Governikus Verification Service,
                                                                        Version 1.0.0.0“ bietet die Möglichkeit, Zeit-
          Tragen Daten einer qualifizierten Signatur, bei deren         stempel, die mit dem Produkt Governikus
          Verifikation zu erkennen ist, dass der Signatur-              Signer Professional Edition angebracht wurden,
          prüfschlüssel zu einem Zeitstempel-Zertifikat gehört,         zu prüfen.
          so ist dies dem Nutzer zutreffend anzuzeigen. Der
          Zeitpunkt, der im qualifizierten Zeitstempel enthalten        Das Prüfprotokoll zeigt den Inhalt des Zeit-
          ist, ist dem Nutzer ebenfalls darzulegen.                     stempel-Zertifikats, den Zeitstempel-Zeitpunkt
                                                                        sowie das Ergebnis der Verifikation des Zeit-
          Solange kein standardisiertes Verfahren für die Ein-          stempels inkl. des Ergebnisses der Validierung
          bindung von qualifizierten Zeitstempeln existiert, ist        des Zeitstempel-Zertifikats.
          es ausreichend, wenn das Produkt seine selbst inte-
          grierten qualifizierten Zeitstempel auswerten kann.
          Qualifizierte Zeitstempel, die aus Fremdprodukten
          und damit in einer evt. proprietären Datenstruktur
          vorliegen, müssen nicht zwingend durch das Produkt
          ausgewertet werden.

          Unspezifische Aussagen zu qualifizierten Zeitstem-
          peln sind nicht zulässig.

          Tabelle 7: Umsetzung der Anforderungen zu schwach werdenden Algorithmen und qualifizierten
           Zeitstempeln




      5   Maßnahmen in der Einsatzumgebung

      5.1 Server

      5.1.1 Einrichtung der IT-Komponenten

          Für den Betrieb der Software „Governikus Verification Service, Version 1.0.0.0“ wird eine
          Einsatzumgebung mit Application-Server und Datenbank (DBMS) vorausgesetzt.




      bremen online services Entwicklungs- und Betriebsgesellschaft mbH & Co. KG                          Seite 11 von 16
      Herstellererklärung für „Governikus Verification Service, Version 1.0.0.0“



                                                                                                             Bonn, 3. März 2010
162

Amtsblatt der Bundesnetzagentur
                                    für Elektrizität, Gas, Telekommunikation, Post und Eisenbahnen
4       2010                                – Mitteilungen, Qualifizierte elektronische Signatur,                       711
                                               Teil A, Mitteilungen der Bundesnetzagentur –

                                                                                        Herstellererklärung bos-2009-08-01

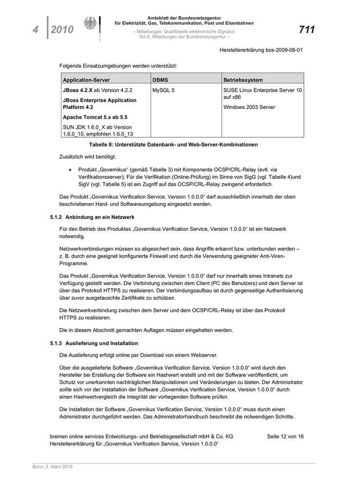
            Folgende Einsatzumgebungen werden unterstützt:

             Application-Server                       DBMS                                Betriebssystem
             JBoss 4.2.X ab Version 4.2.2             MySQL 5                             SUSE Linux Enterprise Server 10
                                                                                          auf x86
             JBoss Enterprise Application
             Platform 4.2                                                                 Windows 2003 Server
             Apache Tomcat 5.x ab 5.5
             SUN JDK 1.6.0_X ab Version
             1.6.0_10, empfohlen 1.6.0_13

                         Tabelle 8: Unterstützte Datenbank- und Web-Server-Kombinationen

            Zusätzlich wird benötigt:

                    Produkt „Governikus“ (gemäß Tabelle 3) mit Komponente OCSP/CRL-Relay (evtl. via
                     Verifikationsserver): Für die Verifikation (Online-Prüfung) im Sinne von SigG (vgl. Tabelle 4)und
                     SigV (vgl. Tabelle 5) ist ein Zugriff auf das OCSP/CRL-Relay zwingend erforderlich.

            Das Produkt „Governikus Verification Service, Version 1.0.0.0“ darf ausschließlich innerhalb der oben
            beschriebenen Hard- und Softwareumgebung eingesetzt werden.

       5.1.2 Anbindung an ein Netzwerk

            Für den Betrieb des Produktes „Governikus Verification Service, Version 1.0.0.0“ ist ein Netzwerk
            notwendig.

            Netzwerkverbindungen müssen so abgesichert sein, dass Angriffe erkannt bzw. unterbunden werden –
            z. B. durch eine geeignet konfigurierte Firewall und durch die Verwendung geeigneter Anti-Viren-
            Programme.

            Das Produkt „Governikus Verification Service, Version 1.0.0.0“ darf nur innerhalb eines Intranets zur
            Verfügung gestellt werden. Die Verbindung zwischen dem Client (PC des Benutzers) und dem Server ist
            über das Protokoll HTTPS zu realisieren. Der Verbindungsaufbau ist durch gegenseitige Authentisierung
            über zuvor ausgetauschte Zertifikate zu schützen.

            Die Netzwerkverbindung zwischen dem Server und dem OCSP/CRL-Relay ist über das Protokoll
            HTTPS zu realisieren.

            Die in diesem Abschnitt gemachten Auflagen müssen eingehalten werden.

       5.1.3 Auslieferung und Installation

            Die Auslieferung erfolgt online per Download von einem Webserver.

            Über die ausgelieferte Software „Governikus Verification Service, Version 1.0.0.0“ wird durch den
            Hersteller bei Erstellung der Software ein Hashwert erstellt und mit der Software veröffentlicht, um
            Schutz vor unerkannten nachträglichen Manipulationen und Veränderungen zu bieten. Der Administrator
            sollte sich vor der Installation der Software „Governikus Verification Service, Version 1.0.0.0“ durch
            einen Hashwertvergleich die Integrität der vorliegenden Software prüfen.

            Die Installation der Software „Governikus Verification Service, Version 1.0.0.0“ muss durch einen
            Administrator durchgeführt werden. Das Administratorhandbuch beschreibt die notwendigen Schritte.


       bremen online services Entwicklungs- und Betriebsgesellschaft mbH & Co. KG                          Seite 12 von 16
       Herstellererklärung für „Governikus Verification Service, Version 1.0.0.0“



Bonn, 3. März 2010
163

Amtsblatt der Bundesnetzagentur
                                für Elektrizität, Gas, Telekommunikation, Post und Eisenbahnen
712                                     – Mitteilungen, Qualifizierte elektronische Signatur,             4      2010
                                           Teil A, Mitteilungen der Bundesnetzagentur –

                                                                                    Herstellererklärung bos-2009-08-01

      5.1.4 Auflagen für den Betrieb des Produktes

         Die Software „Governikus Verification Service, Version 1.0.0.0“ wird in einem „geschützten Einsatzbe-
         reich (Regelfall/ Standardlösung)“ (vgl. das Dokument der Bundesnetzagentur, „Einheitliche Spezifi-
         zierung der Einsatzkomponenten für Signaturanwendungskomponenten – Arbeitsgrundlage für Entwick-
         ler/Hersteller und Prüf-/Bestätigungsstellen“, Version 1.4, 19.07.2005) betrieben.

         Während des Betriebs sind die folgenden Bedingungen für den sachgemäßen Einsatz zu beachten:

         Auflagen zur Sicherheit der IT-Plattform und Applikationen
         Es muss gewährleistet sein, dass von der Hardware, auf der die Software „Governikus Verification
         Service, Version 1.0.0.0“ betrieben wird, keine Angriffe ausgehen. Insbesondere ist sicherzustellen,
         dass

                die auf den eingesetzten Computern installierte Software nicht böswillig manipuliert oder
                 verändert werden kann,

                auf den Computern keine Viren oder trojanischen Pferde eingespielt werden können,

                die Hardware der Computer nicht unzulässig verändert werden kann.

         Auflagen zum Schutz vor manuellem Zugriff Unbefugter
         Der eingesetzte Server muss gegen einen manuellen Zugriff Unbefugter geschützt werden – insbeson-
         dere, um Manipulation von Dateien auf Dateisystemebene, die die Software zur Darstellung der
         Nachrichten benötigt, zu unterbinden. Dies kann z. B. durch Aufstellung in einem abschließbaren Raum
         geschehen.

         Für das Passwort sind folgende Auflagen einzuhalten:

                Es dürfen keine Trivialpasswörter (z. B. "BBBBBBBB" oder "12345678") verwendet werden.

                Das Passwort enthält mindestens ein Zeichen, das kein Buchstabe ist (Sonderzeichen oder
                 Zahl).

                Das Passwort muss mindestens 8 Zeichen lang sein.

         Auflagen zum Schutz vor Angriffen über Datenaustausch per Datenträger
         Bei Einspielen von Daten über Datenträger muss – z. B. durch die Verwendung geeigneter Anti-Viren-
         Programme – sichergestellt werden, dass keine Viren oder trojanischen Pferde eingespielt werden
         können.

         Auflagen zur Sicherheitsadministration des Betriebs
         Es sind folgende Auflagen einzuhalten:

                Der eingesetzte Server ist gegen einen unberechtigten Zugriff zu sichern.

                Für die unterschiedlichen Mandanten sind jeweils eigene Verzeichnisse als Speicherorte
                 einzutragen. Diese Verzeichnisse sind gegen unberechtigten Zugriff zu schützen.

                Die Administrationsanwendung ist gegen den Zugriff Unbefugter zu schützen (z. B. nur lokalen
                 Zugriff erlauben).



      bremen online services Entwicklungs- und Betriebsgesellschaft mbH & Co. KG                       Seite 13 von 16
      Herstellererklärung für „Governikus Verification Service, Version 1.0.0.0“



                                                                                                          Bonn, 3. März 2010
164

Amtsblatt der Bundesnetzagentur
                                    für Elektrizität, Gas, Telekommunikation, Post und Eisenbahnen
4       2010                                – Mitteilungen, Qualifizierte elektronische Signatur,                      713
                                               Teil A, Mitteilungen der Bundesnetzagentur –

                                                                                        Herstellererklärung bos-2009-08-01


                    Die Konfiguration der Software erfolgt über ein 4-Augen-Prinzip unter Aufsicht des IT-
                     Sicherheits- oder Datenschutzbeauftragten, welcher jede Konfiguration explizit autorisieren
                     muss, was dokumentiert wird. Der IT-Sicherheits- oder Datenschutzbeauftragte führt
                     regelmäßige Prüfungen der Konfiguration durch.

            Auflagen zum Schutz vor Fehlern bei Betrieb/Nutzung
            Folgende Auflagen sind für den sachgemäßen Einsatz der Software „Governikus Verification Service,
            Version 1.0.0.0“ zu beachten:

                    Eine Signaturgesetz-konforme Nachprüfung qualifizierter Zertifikate kann nur erfolgen, soweit
                     dafür die technischen Voraussetzungen – insbesondere durch die Verbindung zum OCSP/CRL-
                     Relay – gegeben sind.

            Auflagen für Wartung/Reparatur
            Eine Pflege und Wartung der Software „Governikus Verification Service, Version 1.0.0.0“ ist nicht vor-
            gesehen. Ggf. erfolgt eine Aktualisierung durch den Administrator über einen Download einer neuen
            Version von einem Webserver.

       5.2 Benutzer-PC

       5.2.1 Einrichtung der IT-Komponenten

            Folgende Kombinationen von Betriebssystemen und Browsern wird unterstützt:

              Betriebssystem                                            Browser
              Windows XP                                                Internet-Explorer ab Version 7
                                                                        Mozilla Firefox ab Version 2.0
              Windows Vista                                             Internet-Explorer ab Version 7
                                                                        Mozilla Firefox ab Version 2.0
              SuSE Linux 11.1                                           Mozilla Firefox ab Version 2.0
                      Tabelle 9: Unterstützte Kombinationen von Betriebssystemen und Browsern

       5.2.2 Anbindung an ein Netzwerk

            Für die Nutzung des Produktes „Governikus Verification Service, Version 1.0.0.0“ ist ein Netzwerk
            notwendig.

            Bei Anbindung des Benutzer-PCs an ein Netzwerk müssen die folgenden Maßnahmen zum Schutz
            beachtet werden: Netzwerkverbindungen müssen so abgesichert sein, dass Angriffe erkannt bzw.
            unterbunden werden – z. B. durch eine geeignet konfigurierte Firewall und durch die Verwendung
            geeigneter Anti-Viren-Programme.

            Die Nutzung des Produktes „Governikus Verification Service, Version 1.0.0.0“ ist nur innerhalb eines
            Intranets erlaubt, d. h., der Benutzer-PC muss innerhalb desselben Intranets wie der Server mit der
            Anwendung „Governikus Verification Service, Version 1.0.0.0“ betrieben werden. Die Verbindung
            zwischen dem Client (PC des Benutzers) und dem ist Server das Protokoll HTTPS zu realisieren. Der
            Verbindungsaufbau ist durch gegenseitige Authentisierung über zuvor ausgetauschte Zertifikate zu
            schützen.



       bremen online services Entwicklungs- und Betriebsgesellschaft mbH & Co. KG                          Seite 14 von 16
       Herstellererklärung für „Governikus Verification Service, Version 1.0.0.0“



Bonn, 3. März 2010
165

Amtsblatt der Bundesnetzagentur
                                  für Elektrizität, Gas, Telekommunikation, Post und Eisenbahnen
714                                       – Mitteilungen, Qualifizierte elektronische Signatur,             4      2010
                                             Teil A, Mitteilungen der Bundesnetzagentur –

                                                                                      Herstellererklärung bos-2009-08-01

      5.2.3 Auslieferung und Installation

           keine, da Nutzung über Browser erfolgt

      5.2.4 Auflagen für den Betrieb des Produktes

           Die Software „Governikus Verification Service, Version 1.0.0.0“ wird in einem „geschützten Einsatzbe-
           reich (Regelfall/ Standardlösung)“ (vgl. das Dokument der Bundesnetzagentur, „Einheitliche Spezifi-
           zierung der Einsatzkomponenten für Signaturanwendungskomponenten – Arbeitsgrundlage für Entwick-
           ler/Hersteller und Prüf-/Bestätigungsstellen“, Version 1.4, 19.07.2005) genutzt.

           Während der Nutzung sind die folgenden Bedingungen für den sachgemäßen Einsatz zu beachten:

           Auflagen zur Sicherheit der IT-Plattform und Applikationen
           Es muss gewährleistet sein, dass von der Hardware, auf der die Software „Governikus Verification
           Service, Version 1.0.0.0“ genutzt wird, keine Angriffe ausgehen. Insbesondere ist sicherzustellen, dass

                  die auf den eingesetzten Computern installierte Software nicht böswillig manipuliert oder
                   verändert werden kann,

                  auf den Computern keine Viren oder trojanische Pferde eingespielt werden können,

                  die Hardware der Computer nicht unzulässig verändert werden kann.

           Auflagen zum Schutz vor Angriffen über Datenaustausch per Datenträger
           Bei Einspielen von Daten über Datenträger muss – z. B. durch die Verwendung geeigneter Anti-Viren-
           Programme – sichergestellt werden, dass keine Viren oder trojanische Pferde eingespielt werden
           können.

           Datenschutz-rechtlicher Hinweis
           Die zu prüfenden Dateien werden auf einen Web-Server hochgeladen und verlassen damit den
           Benutzer-PC. Der Benutzer muss vor einer Nutzung sicherstellen, dass diese Datenübermittlung
           datenschutz-rechtlich sowie aus Gründen einer eventuell zu beachtenden Vertraulichkeit zulässig ist.

           Auflagen zur Nutzung des Produktes „Governikus Verification Service, Version 1.0.0.0“
           Die Anwendung „Governikus Verification Service, Version 1.0.0.0“ wird als Dienst durch einen
           Dienstanbieter bereitgestellt. Der Benutzer muss sich vor einer Nutzung über die Vertrauenswürdigkeit
           des Dienstanbieters und die Einhaltung der Auflagen an die Einsatzumgebung des Servers informieren
           bzw. entsprechende Vereinbarungen mit dem Dienstanbieter treffen.


      6    Algorithmen und zugehörige Parameter

           Zur Prüfung qualifizierter elektronischer Signaturen werden vom Produkt „Governikus Verification
           Service, Version 1.0.0.0“ verschiedene Algorithmen bereitgestellt. 11 Die jeweils verwendeten
           Algorithmen werden mit einer Bewertung ihrer Eignung zum Zeitpunkt der Signaturerstellung sowie zum
           Prüfzeitpunkt im Prüfprotokoll dargestellt.



      11
        Hinweis: Das Produkt unterstützt ferner die Hashfunktion SHA-1, die allerdings zum 30.6.2008
      ausgelaufen ist, so dass aufgrund der abgelaufenen oder gesperrten Zertifikate keine qualifizierten
      elektronischen Signaturen mehr erzeugt werden können.

      bremen online services Entwicklungs- und Betriebsgesellschaft mbH & Co. KG                         Seite 15 von 16
      Herstellererklärung für „Governikus Verification Service, Version 1.0.0.0“



                                                                                                            Bonn, 3. März 2010
166

Amtsblatt der Bundesnetzagentur
                                     für Elektrizität, Gas, Telekommunikation, Post und Eisenbahnen
4       2010                                 – Mitteilungen, Qualifizierte elektronische Signatur,                      715
                                                Teil A, Mitteilungen der Bundesnetzagentur –

                                                                                         Herstellererklärung bos-2009-08-01

            Die gemäß Anlage I Abs. 1 Nr. 2 SigV festgelegte Eignung für die verwendeten kryptografischen
            Algorithmen sind gemäß den Angaben der Bundesnetzagentur (vgl. „Bekanntmachung zur
            elektronischen Signatur nach dem Signaturgesetz und der Signaturverordnung (Übersicht über
            geeignete Algorithmen)“ der Bundesnetzagentur für Elektrizität, Gas, Telekommunikation, Post und
            Eisenbahn vom 17. November 2008, veröffentlicht am 27. Januar 2009 im Bundesanzeiger Nr. 13, S.
            343) wie folgt als geeignete eingestuft:

                    RIPEMD-160: gültig bis 31.12.2010

                    SHA-2 Familie (SHA-224, SHA-256, SHA-384, SHA-512): gültig bis 31.12.2015

                    RSA 12 mit Schlüssellänge 2048 Bit: gültig bis 31.12.2015.


       7    Gültigkeit der Herstellererklärung

            Diese Erklärung ist bis zu ihrem Widerruf, längstens jedoch bis zum 31.12.2010 gültig. Die Gültigkeit der
            Herstellererklärung kann sich verkürzen, wenn z. B. neue Feststellungen hinsichtlich der Sicherheit des
            Produktes oder der Eignung der Algorithmen im Bundesanzeiger veröffentlicht werden.

            Der aktuelle Status der Gültigkeit der Erklärung ist bei der zuständigen Behörde (Bundesnetzagentur,
            Referat Qualifizierte Elektronische Signatur – Technischer Betrieb) zu erfragen.


       8    Zusatzdokumentation

            Folgende Bestandteile der Herstellererklärung wurden aus dem Veröffentlichungstext ausgegliedert und
            bei der zuständigen Behörde hinterlegt:

                    „Unterlagen zur Herstellererklärung gemäß § 17 Abs. 4 SigG für die Software ‚Governikus
                     Verification Service, Version 1.0.0.0’ – Sicherheitstechnische Produktbeschreibung und
                     Spezifikation“, 10.12.2009, 59 Seiten.

                    „Unterlagen zur Herstellererklärung gemäß § 17 Abs. 4 SigG für die Software ‚Governikus
                     Verification Service, Version 1.0.0.0’ – Testdokumentation“, 10.12.2009, 13 Seiten.

                    „Governikus Verification Service – Administratorhandbuch“, Dokumenten-Version 1.0_0, 14
                     Seiten.

                    „bos-Prüfprotokoll“, (Verification Interpreter Version 2.2.0), 30.11.2009, 51 Seiten.

                    „Governikus Verification Service – Testhandbuch“, Version 1.0, 28 Seiten.

                    Testhandbuch „Testhandbuch            Verification    Interpreter“,     Release   VI_2_2_0_CI_1_8_4,
                     30.11.2009, 29 Seiten.

            Die Dokumente wurden von der bremen online services Entwicklungs- und Betriebsgesellschaft mbH &
            Co. KG erstellt.

                                                   Ende der Herstellererklärung




       12
         Die Schlüssellänge richtet sich nach den zu verifizierenden Signaturen; das Produkt „Governikus
       Verification Service, Version 1.0.0.0“ unterstützt die gängigen Schlüssellängen von 2048 Bit.


       bremen online services Entwicklungs- und Betriebsgesellschaft mbH & Co. KG                           Seite 16 von 16
       Herstellererklärung für „Governikus Verification Service, Version 1.0.0.0“



Bonn, 3. März 2010
167

Amtsblatt der Bundesnetzagentur
                                         für Elektrizität, Gas, Telekommunikation, Post und Eisenbahnen
716                                               – Mitteilungen, Qualifizierte elektronische Signatur,   4      2010
                                                     Teil A, Mitteilungen der Bundesnetzagentur –

Mitteilung Nr. 171/2010
Veröffentlichung von Herstellererklärungen für Produkte für
qualifizierte elektronische Signaturen nach § 17 Abs. 4 SigG,
die bei der Bundesnetzagentur hinterlegt wurden,
hier: bremen online services Entwicklungs- und Betriebs­
gesellschaft mbH & Co. KG,
Governikus Signer, Version 2.2.0.0


Veröffentlichungshinweis
Die Bundesnetzagentur ist aufgrund des § 17 Abs. 4 des
Signaturgesetzes­ (SigG) vom 16. Mai 2001 (BGBl. I S. 876),
zuletzt geändert durch Artikel 4 des Gesetzes vom vom 17. Juli
2009 (BGBl. I S. 2091), verpflichtet, Erklärungen durch Herstel-
ler von Produkten für qualifizierte elektronische Signaturen
(Herstellererklärungen) im Amtsblatt der Bundesnetzagentur
zu veröffentlichen. Das Amtsblatt dient insoweit nur als Veröf-
fentlichungsmedium. Der Veröffentlichung ist weder eine ma-
terielle Prüfung der Herstellererklärungen noch eine Prüfung
der in ihnen bezuggenommenen Produkte durch die Bundes-
netzagentur vorausgegangen. Für den Inhalt der Herstellerer-
klärungen und für die Produkte sind allein die Hersteller ver-
antwortlich.
Hersteller:
bremen online services Entwicklungs- und Betriebsgesellschaft
mbH & Co. KG
Am Fallturm 9
28359 Bremen

Produkt:
Governikus Signer, Version 2.2.0.0

Bezeichnung der Herstellererklärung:
Herstellererklärung Governikus Signer, Version 2.2.0.0, Stand: 14.
Dezember 2009

Als weitere Unterlagen wurden eingereicht:

     1.   Sicherheitstechnische Produktbeschreibung und Spezifi-
          kation, Stand: 14.12.2009, 94 Seiten
     2.   Testdokumentation, Stand: 14.12.2009, 24 Seiten
     3.   „Governikus Signer - Benutzerhandbuch“, Dokument-
          Version 2.2_0, Stand: 2009, 89 Seiten
     4.   Anwenderdokumentation „Governikus Signer Integrated
          Edition - Entwicklerhandbuch“, Dokumentenversion
          2.2_0, Stand: 2009, 35 Seiten
     5.   Anwenderdokumentation „Governikus Signer Integrated
          Edition - Administratorhandbuch“, Dokumentenversion
          2.2_0, Stand: 2009, 8 Seiten
     6.   „Governikus Signer – Testhandbuch“, Version 2.6, Stand:
          20.10.2009, 70 Seiten
     7.   „Governikus Signer Integration Edition - Testhandbuch“,
          Version 1.2, Stand: 27.01.2009,      23 Seiten
     8.   Beschreibung     bos-Prüfprotokoll,   Stand:   30.11.2009,
          51 Seiten


Es folgt der Text der Herstellererklärung:




                                                                                                          Bonn, 3. März 2010
168

Amtsblatt der Bundesnetzagentur
                                   für Elektrizität, Gas, Telekommunikation, Post und Eisenbahnen
4        2010                              – Mitteilungen, Qualifizierte elektronische Signatur,                        717
                                              Teil A, Mitteilungen der Bundesnetzagentur –

                                                                                 Herstellererklärung bos-2009-04-02


                                              Herstellererklärung



                                                  Der Hersteller



                bremen online services Entwicklungs- und Betriebsgesellschaft mbH & Co. KG

                                                  Am Fallturm 9

                                                  28359 Bremen



                                 erklärt hiermit gemäß § 17 Abs. 4 Satz 2 SigG 1

                                      in Verbindung mit § 15 Abs. 5 SigV 2 ,

                                                dass sein Produkt



                                       Governikus Signer, Version 2.2.0.0



      die nachstehend genannten Anforderungen des Signaturgesetzes1 bzw. der Signaturverordnung2 in Teilen
                                                   erfüllt.




                  Bremen, den 14.12.2009                                      gez. Dr. Stephan Klein

                                                                                 Geschäftsführung




           Diese Herstellererklärung mit der Dokumentennummer bos-2009-04-02 besteht aus 33 Seiten.




  1
   Gesetz über Rahmenbedingungen für elektronische Signaturen (Signaturgesetz – SigG) vom 16. Mai 2001
  (BGBl. I S. 876), zuletzt geändert durch Artikel 4 des Gesetzes vom 26. Februar 2007 (BGBl. I S. 179)
  2
   Verordnung zur elektronischen Signatur (Signaturverordnung – SigV) vom 16. November 2001 (BGBl. I S.
  3074), zuletzt geändert durch Artikel 9 Abs. 18 des Gesetzes vom 23. November 2007 (BGBl. I S. 2631)

  bremen online services Entwicklungs- und Betriebsgesellschaft mbH & Co. KG                           Seite 1 von 33
  Herstellererklärung für „Governikus Signer, Version 2.2.0.0“



Bonn, 3. März 2010
169

Zur nächsten Seite