abl-10

Dieses Dokument ist Teil der Anfrage „Amtsblätter bis 2018

/ 180
PDF herunterladen
Amtsblatt der Bundesnetzagentur
                              für Elektrizität, Gas, Telekommunikation, Post und Eisenbahnen
2558                   – Mitteilungen, Telekommunikation, Teil A, Mitteilungen der Bundesnetzagentur –   10 2009
 ENTWURF

 ALLGEMEINVERFÜGUNG

 Entscheidungen der Präsidentenkammer der Bundesnetzagentur für Elektrizität, Gas,
 Telekommunikation, Post und Eisenbahnen vom            über die Verbindung der
 Vergabe von Frequenzen in den Bereichen 790 bis 862 MHz sowie 1710 bis 1725 MHz
 und 1805 bis 1820 MHz mit dem Verfahren zur Vergabe von Frequenzen in den
 Bereichen 1,8 GHz, 2 GHz und 2,6 GHz für den drahtlosen Netzzugang zum Angebot
 von Telekommunikationsdiensten (Entscheidung der Präsidentenkammer vom
 07.04.2008, Az.: BK1-07/003 über die Anordnung und die Wahl des Vergabeverfahrens
 sowie über die Festlegungen und Regeln im Einzelnen) nach §§ 55 Abs. 9, 61 Abs. 1,
 Abs. 2, Abs. 4 und Abs. 5 Satz 2, 132 Abs. 1 und 3 TKG

 - Aktenzeichen: BK 1a-09/002 und BK 1- 07/003

 Die Bundesnetzagentur für Elektrizität, Gas, Telekommunikation, Post und Eisenbahnen
 erlässt durch die Präsidentenkammer auf Grundlage der §§ 55 Abs. 9, 61 Abs. 1, Abs. 2,
 Abs. 4 und Abs. 5 Satz 2, 132 Abs. 1 und 3 des Telekommunikationsgesetzes (TKG) vom
 22. Juni 2004 (BGBl. I S. 1190) zur Verbindung der Verfahren zur Vergabe von Frequenzen
 für den drahtlosen Netzzugang zum Angebot von Telekommunikationsdiensten in den
 Frequenzbereichen 790 bis 862 MHz sowie 1710 bis 1725 MHz und 1805 bis 1820 MHz mit
 dem Verfahren zur Vergabe von Frequenzen in den Bereichen 1,8 GHz, 2 GHz und 2,6 GHz
 folgende Entscheidungen:

 I.     Verfahrensverbindung
 Aktenzeichen: BK 1a-09/002
 Die Vergabe der Frequenzen in den Frequenzbereichen 790 bis 862 MHz sowie 1710 bis
 1725 MHz und 1805 bis 1820 MHz (Az.: BK 1a-09/002) für den drahtlosen Netzzugang wird
 mit der Vergabe der Frequenzen in den Frequenzbereichen 1,8 GHz, 2 GHz und 2,6 GHz
 (Az.: BK 1-07/003) verbunden. Die Frequenzen werden in einem gemeinsamen Verfahren
 vergeben.

 II.    Anordnung des Vergabeverfahrens
 Es wird gemäß § 55 Abs. 9 TKG angeordnet, dass der Zuteilung der Frequenzen für den
 drahtlosen Netzzugang zum Angebot von Telekommunikationsdiensten in den Bereichen
 790 bis 862 MHz sowie 1710 bis 1725 MHz und 1805 bis 1820 MHz und 1,8 GHz, 2 GHz
 und 2,6 GHz ein Vergabeverfahren nach § 61 TKG voranzugehen hat.

 III.   Wahl des Vergabeverfahrens
 Das Verfahren nach § 61 Abs. 1 TKG wird als Versteigerungsverfahren nach § 61 Abs. 4
 und 5 TKG durchgeführt.

 IV.    Festlegung und Regeln des Vergabeverfahrens

 1.     Voraussetzungen für die Zulassung zum Versteigerungsverfahren, § 61 Abs. 4
        Satz 2 Nr. 1 TKG
 1.1    Die Berechtigung zur Teilnahme am Versteigerungsverfahren im Rahmen der
        fachlichen und sachlichen Mindestvoraussetzungen im Sinne des § 61 Abs. 4 Satz 2
        Nr. 1 TKG ist nicht beschränkt.

 1.2    Jedes Unternehmen kann nur einmal zugelassen werden. Dies gilt auch für
        Zulassungen im Rahmen von Konsortien. Unternehmen, die nach § 37 des Gesetzes
        gegen Wettbewerbsbeschränkungen (GWB) miteinander zusammengeschlossen




                                                                                                         Bonn, 3. Juni 2009
66

Amtsblatt der Bundesnetzagentur
                                   für Elektrizität, Gas, Telekommunikation, Post und Eisenbahnen
10 2009                       – Mitteilungen, Telekommunikation, Teil A, Mitteilungen der Bundesnetzagentur –   2559
                                                          5


            sind, gelten als ein Unternehmen. Sofern sich Unternehmen zum Zwecke der
            Antragstellung zusammenschließen, hat der Antragsteller zu bescheinigen, dass
            gegen diese Organisationsform keine Bedenken aufgrund des GWB bestehen.

  1.3       Im Antrag ist darzulegen, dass die Voraussetzungen für die Zulassung zum
            Versteigerungsverfahren gemäß § 61 Abs. 4 Satz 2 Nr. 1 TKG erfüllt werden (vgl. zu
            den Antragsvoraussetzungen im Einzelnen Anlage 1).

  2.        Bestimmung des sachlich und räumlich relevanten Marktes, für den die zu
            vergebenden Frequenzen verwendet werden dürfen, § 61 Abs. 4 Satz 2 Nr. 2
            TKG
  2.1       Der sachlich relevante Markt, für den die zu vergebenden Frequenzen unter
            Beachtung des Frequenznutzungsplanes verwendet werden dürfen, ist der Markt für
            den drahtlosen Netzzugang zum Angebot von Telekommunikationsdiensten.

  2.2       Der räumlich relevante Markt, für den die zu vergebenden Frequenzen unter
            Beachtung des Frequenznutzungsplanes verwendet werden dürfen, ist die
            Bundesrepublik Deutschland.

  3.        Grundausstattung an Frequenzen und Beschränkung der Bietrechte, §§ 61
            Abs. 4 Satz 2 Nr. 3 TKG, 61 Abs. 5 Satz 1 i.V.m. § 61 Abs. 2 Satz 1TKG
  3.1       Eine Grundausstattung an Frequenzen gemäß § 61 Abs. 4 Satz 2 Nr. 3 TKG wird
            nicht festgelegt.
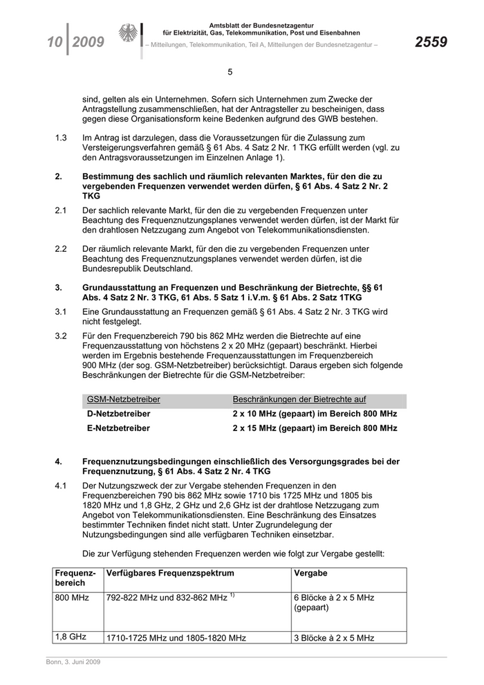
  3.2       Für den Frequenzbereich 790 bis 862 MHz werden die Bietrechte auf eine
            Frequenzausstattung von höchstens 2 x 20 MHz (gepaart) beschränkt. Hierbei
            werden im Ergebnis bestehende Frequenzausstattungen im Frequenzbereich
            900 MHz (der sog. GSM-Netzbetreiber) berücksichtigt. Daraus ergeben sich folgende
            Beschränkungen der Bietrechte für die GSM-Netzbetreiber:

             GSM-Netzbetreiber                                Beschränkungen der Bietrechte auf
             D-Netzbetreiber                                  2 x 10 MHz (gepaart) im Bereich 800 MHz
             E-Netzbetreiber                                  2 x 15 MHz (gepaart) im Bereich 800 MHz


  4.        Frequenznutzungsbedingungen einschließlich des Versorgungsgrades bei der
            Frequenznutzung, § 61 Abs. 4 Satz 2 Nr. 4 TKG
  4.1       Der Nutzungszweck der zur Vergabe stehenden Frequenzen in den
            Frequenzbereichen 790 bis 862 MHz sowie 1710 bis 1725 MHz und 1805 bis
            1820 MHz und 1,8 GHz, 2 GHz und 2,6 GHz ist der drahtlose Netzzugang zum
            Angebot von Telekommunikationsdiensten. Eine Beschränkung des Einsatzes
            bestimmter Techniken findet nicht statt. Unter Zugrundelegung der
            Nutzungsbedingungen sind alle verfügbaren Techniken einsetzbar.

            Die zur Verfügung stehenden Frequenzen werden wie folgt zur Vergabe gestellt:

  Frequenz-          Verfügbares Frequenzspektrum                               Vergabe
  bereich
  800 MHz            792-822 MHz und 832-862 MHz 1)                             6 Blöcke à 2 x 5 MHz
                                                                                (gepaart)


  1,8 GHz            1710-1725 MHz und 1805-1820 MHz                            3 Blöcke à 2 x 5 MHz

Bonn, 3. Juni 2009
67

Amtsblatt der Bundesnetzagentur
                                 für Elektrizität, Gas, Telekommunikation, Post und Eisenbahnen
2560                        – Mitteilungen, Telekommunikation, Teil A, Mitteilungen der Bundesnetzagentur –   10 2009
                                                        6


                                                                              (gepaart)
                  1730,1-1735,1 MHz und 1825,1-1830,1 MHz                     2 x 5 MHz (gepaart)
                  1758,1-1763,1 MHz und 1853,1-1858,1 MHz                     2 x 5 MHz (gepaart)
 2 GHz            1900,1-1905,1 MHz                                           5 MHz (ungepaart)
                  1930,2-1935,15 MHz und 2120,2-2125,15 MHz                   2 x 4,95 MHz (gepaart)
                  1935,15-1940,1 MHz und 2125,15-2130,1 MHz                   2 x 4,95 MHz (gepaart)
                  1950,0-1954,95 MHz und 2140,0-2144,95 MHz                   2 x 4,95 MHz (gepaart)
                  1954,95-1959,9 MHz und 2144,95-2149,9 MHz                   2 x 4,95 MHz (gepaart)
                  2010,5-2024,7 MHz                                           14,2 MHz (ungepaart)
 2,6 GHz          2500-2570 MHz und 2620-2690 MHz                             14 Blöcke à 2 x 5 MHz
                                                                              (gepaart)
                  2570-2620 MHz                                               10 Blöcke à 5 MHz
                                                                              (ungepaart)

       1)
            Gegenwärtig wird, auch auf Grund des Diskussionsstands auf europäischer Ebene,
            innerhalb 790 - 862 MHz von einem Bandplan ausgegangen, der auf gepaartem
            Spektrum basiert.

 4.2        Für die Frequenznutzungen in den Frequenzbereichen 1,8 GHz, 2 GHz und 2,6 GHz
            gelten die in der Anlage 2 enthaltenen Frequenznutzungsbestimmungen. Für die
            Frequenznutzungen im Frequenzbereich 800 MHz gelten die in der Anlage 3
            enthaltenen vorläufigen Frequenznutzungsbestimmungen.

            Die Frequenzzuteilungsinhaber können von diesen Bestimmungen abweichen, sofern
            sie entsprechende wechselseitige Vereinbarungen getroffen haben und die
            Frequenznutzungsrechte Dritter nicht beeinträchtigt werden. Die Bundesnetzagentur
            ist hierüber vorab schriftlich zu unterrichten.

            Die Frequenznutzungsbestimmungen können nachträglich geändert werden,
            insbesondere wenn dies zur Sicherstellung einer effizienten und störungsfreien
            Nutzung oder aufgrund internationaler Harmonisierungsvereinbarungen erforderlich
            wird. Insbesondere bei den in Anlage 3 beschriebenen
            Frequenznutzungsbestimmungen zum 800-MHz-Bereich sind Änderungen zu
            erwarten, da hierzu die endgültigen Entscheidungen auf europäischer und nationaler
            Ebene noch ausstehen.

 4.3        Die Frequenzzuteilungen werden bis zum 31.12.2025 befristet.

 4.4        Ein Frequenzzuteilungsinhaber ist verpflichtet, bei der Frequenznutzung für die
            Frequenzen im Bereich 1,8 GHz, 2 GHz und 2,6 GHz einen Versorgungsgrad der
            Bevölkerung von mindestens 25 % ab dem 01.01.2014 und mindestens 50 % ab dem
            01.01.2016 zu erreichen. Die hierbei zu erfüllenden Parameter werden nachträglich
            unter Berücksichtigung der eingesetzten Technik festgelegt.

            Die Verpflichtung nach Absatz 1 gilt für Frequenzen, die zum Zeitpunkt dieser
            Entscheidungen Gegenstand eines Verwaltungsrechtsstreits waren, abweichend mit
            der Maßgabe, dass die vorgeschriebenen Versorgungsgrade innerhalb von drei bzw.
            fünf Jahren nach Ablauf des Jahres, in dem die Rechtskraft eingetreten ist, zu
            erreichen sind. Dies gilt nur für den Fall, dass der jeweilige Verwaltungsrechtsstreit



                                                                                                              Bonn, 3. Juni 2009
68

Amtsblatt der Bundesnetzagentur
                                   für Elektrizität, Gas, Telekommunikation, Post und Eisenbahnen
10 2009                       – Mitteilungen, Telekommunikation, Teil A, Mitteilungen der Bundesnetzagentur –   2561
                                                          7


            nach dem Zeitpunkt der Bekanntgabe der jeweiligen Frequenzzuteilung rechtskräftig
            abgeschlossen ist.

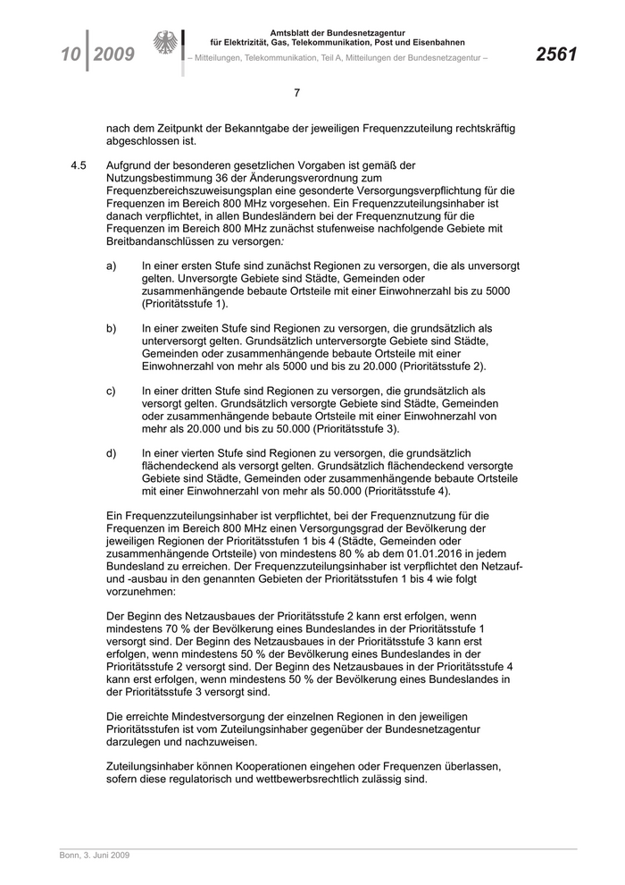
  4.5       Aufgrund der besonderen gesetzlichen Vorgaben ist gemäß der
            Nutzungsbestimmung 36 der Änderungsverordnung zum
            Frequenzbereichszuweisungsplan eine gesonderte Versorgungsverpflichtung für die
            Frequenzen im Bereich 800 MHz vorgesehen. Ein Frequenzzuteilungsinhaber ist
            danach verpflichtet, in allen Bundesländern bei der Frequenznutzung für die
            Frequenzen im Bereich 800 MHz zunächst stufenweise nachfolgende Gebiete mit
            Breitbandanschlüssen zu versorgen:

            a)       In einer ersten Stufe sind zunächst Regionen zu versorgen, die als unversorgt
                     gelten. Unversorgte Gebiete sind Städte, Gemeinden oder
                     zusammenhängende bebaute Ortsteile mit einer Einwohnerzahl bis zu 5000
                     (Prioritätsstufe 1).

            b)       In einer zweiten Stufe sind Regionen zu versorgen, die grundsätzlich als
                     unterversorgt gelten. Grundsätzlich unterversorgte Gebiete sind Städte,
                     Gemeinden oder zusammenhängende bebaute Ortsteile mit einer
                     Einwohnerzahl von mehr als 5000 und bis zu 20.000 (Prioritätsstufe 2).

            c)       In einer dritten Stufe sind Regionen zu versorgen, die grundsätzlich als
                     versorgt gelten. Grundsätzlich versorgte Gebiete sind Städte, Gemeinden
                     oder zusammenhängende bebaute Ortsteile mit einer Einwohnerzahl von
                     mehr als 20.000 und bis zu 50.000 (Prioritätsstufe 3).

            d)       In einer vierten Stufe sind Regionen zu versorgen, die grundsätzlich
                     flächendeckend als versorgt gelten. Grundsätzlich flächendeckend versorgte
                     Gebiete sind Städte, Gemeinden oder zusammenhängende bebaute Ortsteile
                     mit einer Einwohnerzahl von mehr als 50.000 (Prioritätsstufe 4).

            Ein Frequenzzuteilungsinhaber ist verpflichtet, bei der Frequenznutzung für die
            Frequenzen im Bereich 800 MHz einen Versorgungsgrad der Bevölkerung der
            jeweiligen Regionen der Prioritätsstufen 1 bis 4 (Städte, Gemeinden oder
            zusammenhängende Ortsteile) von mindestens 80 % ab dem 01.01.2016 in jedem
            Bundesland zu erreichen. Der Frequenzzuteilungsinhaber ist verpflichtet den Netzauf-
            und -ausbau in den genannten Gebieten der Prioritätsstufen 1 bis 4 wie folgt
            vorzunehmen:

            Der Beginn des Netzausbaues der Prioritätsstufe 2 kann erst erfolgen, wenn
            mindestens 70 % der Bevölkerung eines Bundeslandes in der Prioritätsstufe 1
            versorgt sind. Der Beginn des Netzausbaues in der Prioritätsstufe 3 kann erst
            erfolgen, wenn mindestens 50 % der Bevölkerung eines Bundeslandes in der
            Prioritätsstufe 2 versorgt sind. Der Beginn des Netzausbaues in der Prioritätsstufe 4
            kann erst erfolgen, wenn mindestens 50 % der Bevölkerung eines Bundeslandes in
            der Prioritätsstufe 3 versorgt sind.

            Die erreichte Mindestversorgung der einzelnen Regionen in den jeweiligen
            Prioritätsstufen ist vom Zuteilungsinhaber gegenüber der Bundesnetzagentur
            darzulegen und nachzuweisen.

            Zuteilungsinhaber können Kooperationen eingehen oder Frequenzen überlassen,
            sofern diese regulatorisch und wettbewerbsrechtlich zulässig sind.




Bonn, 3. Juni 2009
69

Amtsblatt der Bundesnetzagentur
                            für Elektrizität, Gas, Telekommunikation, Post und Eisenbahnen
2562                   – Mitteilungen, Telekommunikation, Teil A, Mitteilungen der Bundesnetzagentur –   10 2009
                                                   8


 4.6   Der Frequenzzuteilungsinhaber hat der Bundesnetzagentur ab der Zuteilung jeweils
       zum 31. Dezember eines Jahres über den Stand der Frequenznutzungen und des
       Netzaufbaus sowie des Netzausbaus zu berichten.

 4.7   Die Zuteilungen von Frequenzen, die zum Zeitpunkt dieser Entscheidungen
       Gegenstand eines zum Zeitpunkt der Zuteilung noch rechtshängigen
       Verwaltungsrechtsstreits waren, werden mit einer auflösenden Bedingung versehen,
       wonach die Frequenzzuteilung wegfällt, wenn die gesetzlichen
       Zuteilungsvoraussetzungen aufgrund der rechtskräftigen Entscheidung eines
       Gerichts als zum Zeitpunkt der Zuteilung nicht gegeben anzusehen sind. Die
       Abfassung dieser Nebenbestimmung bleibt dem jeweiligen
       Frequenzzuteilungsbescheid vorbehalten.

 4.8   Den Frequenzzuteilungsinhabern wird keine Verpflichtung auferlegt, Diensteanbietern
       diskriminierungsfrei Zugang zu Diensten anzubieten.

 5.    Mindestgebot, § 61 Abs. 5 Satz 2 TKG
 5.1   Das Mindestgebot für einen Frequenzblock von 2 x 5 MHz (gepaart) bzw. einen
       Frequenzblock von 2 x 4,95 MHz (gepaart) wird auf 2 500 000 Euro festgesetzt.

 5.2   Das Mindestgebot für einen Frequenzblock von 1 x 5 MHz (ungepaart) beträgt
       1 250 000 Euro.

 5.3   Das Mindestgebot für den Frequenzblock von 1 x 14,2 MHz (ungepaart) (2010,5 MHz
       bis 2024,7 MHz) wird auf 3 550 000 Euro festgesetzt.




                                                                                                         Bonn, 3. Juni 2009
70

Amtsblatt der Bundesnetzagentur
                               für Elektrizität, Gas, Telekommunikation, Post und Eisenbahnen
10 2009                   – Mitteilungen, Telekommunikation, Teil A, Mitteilungen der Bundesnetzagentur –   2563
                                                      9


  Gründe

  In den Bereichen 800 MHz, 1,8 GHz, 2 GHz und 2,6 GHz stehen – abhängig von den
  endgültigen Bandaufteilungen - insgesamt ca. 360 MHz für eine Vergabe zur Verfügung.
  Im Frequenzbereich 790-862 MHz stehen voraussichtlich 60 MHz für eine Vergabe für den
  drahtlosen Netzzugang zum Angebot von Telekommunikationsdiensten zur Verfügung. Nach
  der geltenden Frequenzbereichszuweisungsplanverordnung ist der Frequenzbereich bereits
  dem Mobilfunkdienst (außer mobiler Flugfunkdienst) zugewiesen. Bisher wurde dieser
  Frequenzbereich vorrangig für militärische Anwendungen, in einem Teilbereich für
  Rundfunkanwendungen, sowie für drahtlose Mikrofone genutzt. Der Kabinettentwurf einer
  Zweiten Verordnung zur Änderung der Frequenzbereichszuweisungsplanverordnung
  (Bundesrats-Drucksache 204/09) sieht eine vorrangige Identifizierung des Frequenzbereichs
  für drahtlose Breitbandversorgung vor allem im ländlichen Raum vor. Diese Nutzung steht im
  Zusammenhang mit der Breitbandstrategie der Bundesregierung vom 18.02.2009 (Anhang),
  mit der schnellstmöglich eine Versorgung von bisher nicht versorgten Gebieten mit
  Breitbandanschlussmöglichkeiten geschaffen werden soll. Die unterstützende
  Frequenzpolitik ist eine der vier Säulen der Breitbandstrategie der Bundesregierung.
  Das Bundesministerium der Verteidigung hat sich bereit erklärt, bestehende militärische
  Nutzungen aus dem Frequenzbereich bis Ende 2009 zu verlagern. Die bisher militärisch
  genutzten Frequenzbereiche 790 – 814 MHz und 838 – 862 MHz stehen damit ab
  01.01.2010 für eine zivile Nutzung zur Verfügung.
  Die bisher bestehenden Rundfunknutzungen im Teilbereich 814 MHz – 838 MHz (Kanäle 64,
  65 und 66) waren gemäß der Frequenzbereichszuweisungsplanverordnung auf den
  Übergang von analogem auf digitalen Fernsehrundfunk beschränkt. Dieser Übergang ist
  nahezu vollständig abgeschlossen. Derzeit werden nur noch weniger als zehn
  Rundfunksender in diesem Frequenzbereich betrieben. Es ist beabsichtigt, die bestehenden
  Rundfunknutzungen schnellstmöglich in andere Frequenzbereiche zu verlagern. Die
  Bundesnetzagentur leitet die hierzu erforderlichen Maßnahmen im Benehmen mit den
  zuständigen Landesbehörden und den Frequenzzuteilungsnehmern ein, um weiterhin die
  Umsetzung der Versorgungsbedarfe gemäß den rundfunkrechtlichen Festlegungen der
  Länder sicherzustellen. Die Maßnahmen für die Verlagerungen in diesem Frequenzbereich
  können grundsätzlich bis Mitte 2010 abgeschlossen werden. Eine über diesen Zeitpunkt
  hinaus fortgesetzte Ausübung eines derzeit bereits bestehenden Frequenznutzungsrechts
  wird im Einzelfall nur dann ermöglicht, wenn die weitere Ausübung dieses
  Frequenznutzungsrechts unter Würdigung der Umstände des Einzelfalles erforderlich ist und
  der Nutzung des Frequenzbereiches 790 – 862 MHz durch neue Anwendungen in keiner
  Weise entgegensteht. Neue Frequenzzuteilungen für die Übertragung von Rundfunk werden
  in diesem Frequenzbereich wegen des Auslaufens dieser Nutzungsart nicht mehr erteilt.
  Im Bereich 1,8 GHz stehen weitere 3 Blöcke à 2 x 5 MHz (gepaart) zur Verfügung, nachdem
  die militärische Verwaltung auf die weitere Nutzung der Frequenzbereiche 1710-1725 MHz
  und 1805-1820 MHz verzichtet hat. Im Frequenzbereich 1,8 GHz stehen damit insgesamt 5
  Blöcke à 2 x 5 MHz (gepaart) dem Grunde nach für eine Vergabe zur Verfügung.
  Mit Ausnahme der Frequenzen von 1710-1725 MHz und 1805-1820 MHz sind die
  Frequenzen im Bereich 1,8 GHz mittelbar streitbefangen. Im Rahmen der Umsetzung des
  ersten Handlungskomplexes des GSM-Konzepts (Vfg. 88/2005, ABl. Bundesnetzagentur
  23/2005, S. 1852 ff) wurden diese Frequenzen durch die E-Netzbetreiber im Gegenzug zur
  Zuteilung von Frequenzen im so genannten E-GSM-Band geräumt (vgl. Mitteilung 78/2006,
  ABl. Bundesnetzagentur 4/2006, S. 702). Gegen diese Frequenzverlagerungen sind Klagen
  erhoben worden, die allesamt in der ersten Instanz vor dem Verwaltungsgericht Köln
  abgewiesen wurden. Lediglich hinsichtlich einer erst zu einem späteren Zeitpunkt
  eingereichten Klage steht ein Urteil des Verwaltungsgerichts Köln in erster Instanz noch aus.
  Auch die übrigen Verfahren sind bisher allerdings nicht rechtskräftig entschieden und
  befinden sich in der Berufungsinstanz beim Oberverwaltungsgericht für das Land Nordrhein-
  Westfalen. Deshalb haben die E-Netzbetreiber auf die Nutzungsrechte an den geräumten

Bonn, 3. Juni 2009
71

Amtsblatt der Bundesnetzagentur
                             für Elektrizität, Gas, Telekommunikation, Post und Eisenbahnen
2564                    – Mitteilungen, Telekommunikation, Teil A, Mitteilungen der Bundesnetzagentur –   10 2009
                                                   10


 Frequenzen im Bereich 1,8 GHz unter der Bedingung verzichtet, dass die Zuteilungen der
 Frequenzen aus dem so genannten E-GSM-Band auch nach Abschluss der
 verwaltungsgerichtlichen Verfahren Bestand haben werden. Sollten die Klagen gegen die
 Frequenzverlagerungen entgegen der Erwartung der Bundesnetzagentur erfolgreich sein,
 würden die Verzichtserklärungen unwirksam werden und die Frequenzen im Bereich
 1,8 GHz nicht mehr verfügbar sein.
 Im Frequenzbereich 2 GHz stehen insgesamt etwa 2 x 20 MHz (gepaart) und 4 Blöcke zu je
 etwa 5 MHz (ungepaart) dem Grunde nach zur Verfügung. Durch die Rückgabe des ehemals
 der Mobilcom Multimedia GmbH im Rahmen des Versteigerungsverfahrens im Jahr 2000
 zugeteilten Spektrums sind 2 x 10 MHz (gepaart) und 1 x 5 MHz (ungepaart)
 uneingeschränkt für eine erneute Vergabe verfügbar. Die ursprünglich der Quam GmbH
 zugeteilten Frequenzen von insgesamt ebenfalls 2 x 10 MHz (gepaart) und 1 x 5 MHz
 (ungepaart) sind durch die Bundesnetzagentur widerrufen worden; gegen den Widerruf
 wurde Klage erhoben, die von dem Verwaltungsgericht Köln durch Urteil vom 25.04.2007 im
 ersten Rechtszug abgewiesen worden ist. Jedoch ist dieses Urteil noch nicht rechtskräftig,
 da hiergegen seitens der Klägerin Rechtsmittel eingelegt wurden, so dass diese Frequenzen
 zum Zeitpunkt dieser Entscheidung streitbefangen sind.
 Der Frequenzbereich 2,6 GHz umfasst insgesamt ein Spektrum von 190 MHz. Dieser
 Frequenzbereich, der im Frequenzbereichszuweisungsplan auslaufend bis zum 31.12.2007
 auch dem Festen Funkdienst zugewiesen war, ist ab dem 01.01.2008 primär im Sinne von
 § 3 Abs. 3 FreqBZPV ausschließlich dem Mobilfunkdienst zugewiesen. Ein Großteil dieses
 Spektrums ist derzeit nicht durch Nutzungen belegt und mithin verfügbar. Es ist jedoch
 darauf hinzuweisen, dass regional bis zu 56 MHz für Nutzungen des Festen Funkdienstes
 bis zum 31.12.2007 zugeteilt waren. Die Bundesnetzagentur hat die beantragte
 Verlängerung dieser Frequenzzuteilungen abgelehnt, gleichwohl hat die
 Frequenzzuteilungsinhaberin gegen die Ablehnung der Verlängerung Rechtsmittel eingelegt.
 In einem mündlichen Erörterungstermin am 02.03.2007 im Rahmen des Eilverfahrens wurde
 auf Vorschlag des Gerichts ein Prozessvergleich abgeschlossen, wonach die Klägerin die
 Frequenznutzungsrechte im 2,6-GHz-Band auch über den 31.12.2007 hinaus ausüben kann,
 bis das Hauptsacheverfahren rechtskräftig beendet ist, längstens jedoch bis zur Aufnahme
 der Nutzung durch einen anderen Zuteilungsinhaber. Das Verwaltungsgericht Köln hat
 aufgrund der mündlichen Verhandlung vom 15.06.2007 für Recht erkannt, dass die
 Bundesnetzagentur verpflichtet ist, die derzeitigen Frequenzzuteilungen für Nutzungen des
 Festen Funkdienstes im Bereich bei 2,6 GHz um den Zeitraum vom 01.01.2008 bis
 31.12.2016 zu verlängern. Im Berufungsverfahren hat das Oberwaltungsgericht für das Land
 Nordrhein-Westfalen am 30.10.2008 die Entscheidung des Verwaltungsgerichts Köln
 aufgehoben und die Klage unter Abänderung des erstinstanzlichen Urteils abgewiesen. Die
 Revision wurde nicht zugelassen. Derzeit ist eine Nichtzulassungsbeschwerde beim
 Bundesverwaltungsgericht anhängig.
 Darüber hinaus ist auch gegen die hier gegenständlichen Entscheidungen in der Fassung
 der Amtsblattverfügungen Nr. 34/2007 und Nr. 34/2008 (Entscheidungen der
 Präsidentenkammer über die Anordnung des Vergabeverfahrens im Wege der Versteigerung
 und über die Festlegungen und Regeln des Vergabeverfahrens) Klage erhoben worden,
 soweit Gegenstand der Entscheidung die Frequenzen waren, die vormals für Nutzungen des
 Festen Funkdienstes zugeteilt worden waren. Die Klage ist jedoch im Hauptsacheverfahren
 vor dem Verwaltungsgericht Köln mit Urteil vom 03.12.2008 abgewiesen worden, wobei die
 Revision zum Bundesverwaltungsgericht zugelassen wurde. Nach Einlegung der Revision ist
 die Klage derzeit beim Bundesverwaltungsgericht anhängig.
 Zum jetzigen Zeitpunkt ist nicht absehbar, wann die gerichtlichen Entscheidungen aller oben
 genannten Rechtsstreitigkeiten ergehen bzw. rechtskräftig werden. Sofern teilweise gefordert
 wurde, den Ausgang des Gerichtsverfahrens im ersten Rechtszug abzuwarten, weist die
 Kammer darauf hin, dass das Abwarten lediglich des erstinstanzlichen Urteils nicht
 notwendigerweise zur Rechtskraft und damit zu Rechts- und Investitionssicherheit führt.
 Diese kann nur eine rechtskräftige, das gerichtliche Verfahren abschließende Entscheidung

                                                                                                          Bonn, 3. Juni 2009
72

Amtsblatt der Bundesnetzagentur
                              für Elektrizität, Gas, Telekommunikation, Post und Eisenbahnen
10 2009                  – Mitteilungen, Telekommunikation, Teil A, Mitteilungen der Bundesnetzagentur –   2565
                                                    11


  erwirken, wie von einigen Kommentatoren auch vorgetragen. Ein Abwarten der
  letztinstanzlichen bzw. rechtskräftigen Entscheidungen in allen Verfahren könnte die
  Vergabe und damit die Nutzungsmöglichkeit der Frequenzen über Jahre hinaus verzögern.
  Die Streitbefangenheit der einzelnen Frequenzblöcke wird bei der Entscheidung über eine
  abstrakte oder konkrete Vergabe der Frequenzen im Rahmen der zeitlich späteren
  Entscheidung über die Regeln für die Durchführung des Versteigerungsverfahrens im
  Einzelnen (Versteigerungsregeln) nach § 61 Abs. 5 TKG konkret dargestellt.
  Die Kammer hat am 19.06.2007 entschieden, dass der Zuteilung der Frequenzen für
  digitalen zellularen Mobilfunk in den Bereichen 1,8 GHz, 2 GHz und 2,6 GHz ein
  Vergabeverfahren nach § 61 TKG voranzugehen hat. Sie hat ferner entschieden, dass das
  Verfahren nach § 61 Abs. 1 TKG als Versteigerungsverfahren nach § 61 Abs. 4 und 5 TKG
  durchgeführt wird. Die Entscheidungen wurden mit der Entscheidung der
  Präsidentenkammer vom 07.04.2008 insofern angepasst, als die Frequenzen für den
  drahtlosen Netzzugang zum Angebot von Telekommunikationsdiensten entsprechend den
  Widmungen im Frequenznutzungsplan zur Verfügung gestellt werden.
  Im Anschluss an diese Entscheidungen hatte die Kammer darüber entscheiden, welche
  Festlegungen und Regeln im Einzelnen im Sinne der §§ 61 Abs. 4 Satz 2 Nr. 1 bis 4, 61
  Abs. 5 TKG dem Verfahren zur Versteigerung von Frequenzen in den Bereichen 1,8 GHz,
  2 GHz und 2,6 GHz für den drahtlosen Netzzugang zum Angebot von
  Telekommunikationsdiensten (Vergabebedingungen) zugrunde gelegt werden, um hierdurch
  eine weitere Teilentscheidung für die Durchführung des Versteigerungsverfahrens möglichst
  frühzeitig zu treffen. Die Entscheidungen nach § 61 Abs. 4 Satz 2 Nr. 2 und 4 TKG ergingen
  nach § 132 Abs. 1 und 3 TKG im Benehmen mit dem Beirat bei der Bundesnetzagentur. Das
  Benehmen mit dem Beirat bei der Bundesnetzagentur wurde in der 61. Sitzung des Beirats
  am 07.04.2008 hergestellt.
  Vor einer Entscheidung der Präsidentenkammer über die Regeln für die Durchführung des
  Versteigerungsverfahrens im Einzelnen (Versteigerungsregeln) nach § 61 Abs. 5 TKG hat
  die Kammer zunächst mit Blick auf die Frage der Streitbefangenheit der Frequenzen
  insbesondere aus dem Bereich 2,6 GHz die angekündigte Entscheidung des
  Oberverwaltungsgerichts für das Land Nordrhein-Westfalen abgewartet, die zwischenzeitlich
  am 30.10.2008 ergangen ist. Das Oberverwaltungsgericht hat der Berufung der
  Bundesnetzagentur stattgegeben.
  Parallel hierzu begann sich die bereits im Jahr 2008 geführte Diskussion zur Verwendung
  der sog. Digitalen Dividende (790 – 862 MHz) dahin gehend zu konkretisieren, dass weitere
  Frequenzen für den drahtlosen Netzzugang zur Verfügung gestellt werden können. Mit der
  nunmehr vorgesehenen Widmung der Frequenzen im Bereich 790 - 862 MHz ebenfalls für
  den drahtlosen Netzzugang zum Angebot von Telekommunikationsdiensten sollen diese im
  Sinne der Durchführung von schnellen und unbürokratischen Verfahren entsprechend der
  Zielsetzung der Breitbandstrategie der Bundesregierung in das Verfahren zur Vergabe von
  Frequenzen in den Bereichen 1,8 GHz, 2 GHz und 2,6 GHz für den drahtlosen Netzzugang
  zum Angebot von Telekommunikationsdiensten einbezogen werden. Vor dem Hintergrund
  des begonnen Vergabeverfahrens leistet die Bundesnetzagentur mit der Einbeziehung
  insbesondere der Frequenzen aus dem Bereich 790 – 862 MHz einen Beitrag zur
  flächendeckenden Versorgung mit schnellen Internetzugängen.
  Die Bundesnetzagentur hat in Vorbereitung einer solchen Einbeziehung Eckpunkte für die
  Vergabe von Frequenzen im Bereich 790 - 862 MHz für den drahtlosen Netzzugang zum
  Angebot von Telekommunikationsdiensten erarbeitet. Um die Debatte frühzeitig zu
  strukturieren und allen Beteiligten konkrete Vorschläge zu unterbreiten, wurden die
  Eckpunkte im Amtblatt (Mitt. 209/2009, ABl. Bundesnetzagentur 6/2009, S. 985) und auf der
  Internetseite der Bundesnetzagentur veröffentlicht.
  Zusätzlich stehen nunmehr weitere Frequenzen aus dem Bereich 1710 - 1725 MHz/1805 –
  1820 MHz (ehemals militärische Nutzung) für den drahtlosen Netzzugang zum Angebot von
  Telekommunikationsdiensten zur Verfügung.

Bonn, 3. Juni 2009
73

Amtsblatt der Bundesnetzagentur
                              für Elektrizität, Gas, Telekommunikation, Post und Eisenbahnen
2566                     – Mitteilungen, Telekommunikation, Teil A, Mitteilungen der Bundesnetzagentur –   10 2009
                                                    12


 Die bereits ergangenen Entscheidungen der Präsidentenkammer über die Anordnung und
 die Wahl des Vergabeverfahrens sowie über die Festlegungen und Regeln im Einzelnen zur
 Vergabe von Frequenzen in den Bereichen 1,8 GHz, 2 GHz und 2,6 GHz für den drahtlosen
 Netzzugang zum Angebot von Telekommunikationsdiensten vom 19.06.2007 (Vfg. 34/2007,
 ABl. Bundesnetzagentur 14/2007) in der Fassung vom 07.04.2008 (Vfg. 34/2008, ABl.
 Bundesnetzagentur 7/2008) werden unter Beteiligung der Bundesländer gemäß den
 Vorgaben der Nutzungsbestimmung 36 in der
 Frequenzbereichszuweisungsplanänderungsverordnung nach Anhörung der betroffenen
 Kreise mit diesen Entscheidungen der Präsidentenkammer im Benehmen mit dem Beirat bei
 der Bundesnetzagentur angepasst.
 Die Entscheidung über die Versteigerungsregeln nach § 61 Abs. 5 TKG wird wie bereits
 angekündigt in einem weiteren Schritt nach Anhörung der betroffenen Kreise ergehen. Das
 Zulassungsverfahren für die Versteigerung wird mit Veröffentlichung der Entscheidung über
 die Versteigerungsregeln eröffnet. Es ist vorgesehen, wie ursprünglich angekündigt, das
 Verfahren noch in diesem Jahr zu eröffnen.
 Die Entscheidungen beruhen im Einzelnen auf folgenden Erwägungen:

 Zu I. Verbindung der Verfahren
 Die Präsidentenkammer wird das gesamte für den drahtlosen Netzzugang zum Angebot von
 Telekommunikationsdiensten verfügbare Spektrum aus den Frequenzbereichen 800 MHz,
 1,8 GHz, 2 GHz und 2,6 GHz gemeinsam zur Vergabe stellen.
 Das Potential der „Digitalen Dividende“ soll zügig genutzt werden, um vor allem die
 Versorgung der Bevölkerung mit breitbandigen Internetanschlüssen, insbesondere in
 ländlichen Bereichen, zu fördern. Mit der Einbeziehung in die bereits weit vorangeschrittenen
 Vorbereitungen zur Vergabe der höher gelegenen Frequenzen besteht eine besondere
 Chance zur schnellen Vergabe der 800-MHz-Frequenzen.
 Die Einbeziehung der 800 MHz-Frequenzen (und der weiteren verfügbaren Frequenzen im
 Bereich 1,8 GHz) folgt dem regulatorischen Ansatz der Vermeidung von
 regulierungsinduzierter Frequenzknappheit. Hierauf wurde bereits in der Verfügung 33/2005
 vom 04.05.2005 (ABl. Regulierungsbehörde für Telekommunikation und Post 8/2005, S. 782
 ff.) hingewiesen. Dort wird diesbezüglich Folgendes ausgeführt:
     „(….) folgt die Regulierungsbehörde dem Gedanken, infolge von Teilvergaben
     entstehende regulierungsinduzierte Frequenzknappheiten möglichst zu verhindern.
     Als Grundlage für das zu entwickelnde Konzept einer Frequenzvergabe für UMTS-
     Mobilfunk hat die Regulierungsbehörde nachfolgende Eckpunkte erarbeitet. Gegenstand
     der Eckpunkte ist die bedarfsgerechte, frühestmögliche gemeinsame Bereitstellung von
     Frequenzen für UMTS/IMT-2000-Mobilfunk aus den Frequenzbereichen des sog. UMTS-
     Kernbandes und des UMTS-Erweiterungsbandes.“
 Auch das GSM-Konzept folgt diesen Erwägungen. In dem GSM-Konzept wird hierzu
 Folgendes mitgeteilt (Vfg. 88/2005, ABl. Bundesnetzagentur 23/2005, S. 1852 ff):
     „Neben frequenztechnisch-regulatorischen Fragestellungen ist auch wettbewerblichen
     Aspekten Rechnung zu tragen, denen bei der Vergabe von Frequenzen besondere
     Bedeutung zukommen kann. So hat unter anderem die Menge des für eine Nutzung
     bereitgestellten bzw. bereitstellbaren Spektrums Einfluss auf die Frage der
     Frequenzknappheit (§§ 55 Abs. 9, 61 TKG) und damit auf die Art der Vergabeverfahren
     und nicht zuletzt auch auf die Kosten des Erwerbs der Ressource „Frequenz“.
     Andererseits können Funkanwendungen (wie zum Beispiel GSM- und UMTS/IMT-2000-
     Mobilfunk) aber nur dann wettbewerblich erfolgreich sein, wenn sie ausreichendes
     Spektrum und optimale technische Rahmenbedingungen zur Verfügung haben.
     Dementsprechend werden sowohl aktuell anstehende Teilkonzepte wie etwa für GSM
     und UMTS als auch das künftige Gesamtkonzept „Funkgestützte Zugangsmöglichkeiten“
     mit der Zielsetzung zu entwickeln sein, Knappheitsszenarien möglichst zu vermeiden


                                                                                                           Bonn, 3. Juni 2009
74

Amtsblatt der Bundesnetzagentur
                               für Elektrizität, Gas, Telekommunikation, Post und Eisenbahnen
10 2009                   – Mitteilungen, Telekommunikation, Teil A, Mitteilungen der Bundesnetzagentur –   2567
                                                     13


        sowie schnelle, transparente und unbürokratische Verfahren der Frequenzvergabe zu
        ermöglichen.
        Es ist geplant, das GSM-Konzept nach Durchführung der beschriebenen
        Handlungskomplexe im Hinblick auf die spätere Verbindung mit weiteren Konzepten wie
        z. B. dem UMTS-Konzept fortzuschreiben, um letztlich zu einem weitgehenden
        Zusammenfließen der Funkmärkte und ihrer regulatorischen Rahmenbedingungen zu
        gelangen.“
  Eine gemeinsame Vergabe des gesamten Spektrums unter Einschluss der 800-MHz-
  Frequenzen steht damit im Einklang mit der bisherigen Vergabepraxis der
  Präsidentenkammer, möglichst alle verfügbaren Frequenzen in einem Verfahren zur
  Vergabe zu stellen (Konsistenzgebot).
  Mit einer gemeinsamen Vergabe der 800-MHz-Frequenzen und weiteren 1,8-GHz-
  Frequenzen können insbesondere künstliche Frequenzknappheiten vermieden werden, die
  bei einer isolierten Vergabe des Spektrums gegebenenfalls entstehen könnten. Daher sind
  bei der Vergabe von Frequenzen konzeptionelle Erwägungen anzustellen, um möglichst alle
  verfügbaren Frequenzen in einem Verfahren zu vergeben. Neben frequenztechnisch-
  regulatorischen Aspekten berücksichtigt die Bundesnetzagentur daher bei der Entwicklung
  ihrer Konzepte wettbewerbliche Aspekte, die bei der Vergabe von Frequenzen von
  besonderer Bedeutung sein können. So hat unter anderem die Menge des für eine Nutzung
  bereitgestellten Spektrums Einfluss auf die Frage der Frequenzknappheit und damit die Art
  der Vergabe und nicht zuletzt auch auf die Kosten der Frequenzzuteilung. Andererseits
  können Geschäftsmodelle mit Funkanwendungen (wie zum Beispiel GSM- und UMTS/IMT-
  2000-Mobilfunk) aber nur dann wettbewerblich erfolgreich sein, wenn sie ausreichendes
  Spektrum und optimale technische Rahmenbedingungen zur Verfügung haben. Eine
  gemeinsame Vergabe des gesamten zur Verfügung stehenden Spektrums aus den
  verschiedenen Frequenzbereichen ermöglicht es hier den Bietern eine optimale
  Frequenzausstattung entsprechend ihren jeweiligen Geschäftsmodellen ersteigern zu
  können. Dementsprechend sind Gesamtkonzeptionen mit der Zielsetzung zu entwickeln,
  regulierungsinduzierte Knappheitsszenarien möglichst zu vermeiden sowie schnelle,
  transparente und unbürokratische Verfahren durchzuführen.
  Die Kammer hat bei der Einbeziehung weiterer Frequenzen auch berücksichtigt, dass eine
  gemeinsame Versteigerung aller verfügbaren Frequenzen den Bietwettbewerb entschärfen
  und den Zugang zu dem Frequenzspektrum erleichtern kann, weil Bieter im Verfahren auf
  andere (kostengünstigere) Frequenzen ausweichen können.
  Ein solches Verfahren bietet zudem Planungssicherheit für Bewerber, die auch
  Ergänzungsspektren bei 1,8 GHz, 2 GHz, 2,6 GHz für ihre Netze benötigen. Mit einer
  solchen Einbeziehung der 800-MHz-Frequenzen kann erreicht werden, dass Bieter in einem
  Verfahren gleichermaßen Frequenzen zur Flächenversorgung als auch zur
  Kapazitätsversorgung erwerben können.
  Die Vorbereitungen für das Vergabeverfahren bei 1,8 GHz, 2 GHz und 2,6 GHz sind bereits
  soweit vorangeschritten, dass nur noch die Auktionsregeln zu erarbeiten sind. Daher kann
  mit der Einbeziehung der weiteren Frequenzen in das Verfahren zur Vergabe von
  Frequenzen im Bereich 1,8 GHz, 2 GHz und 2,6 GHz insbesondere auch erreicht werden,
  dass die Frequenzen schnell dem Markt zur Verfügung gestellt werden können.
  Mit der Verbindung der Verfahren (Az.: BK 1-07/003 und BK 1a-09/002) zu einem Verfahren
  wird dieses künftig unter dem Aktenzeichen BK 1a-09/002 geführt.

  Zu II. Anordnung des Vergabeverfahrens
  Die Kammer hat in den Entscheidungen vom 19.06.2007 in der Fassung vom 07.04.2008
  angeordnet, dass der Zuteilung von Frequenzen aus den Frequenzbereichen 1,8 GHz,
  2 GHz und 2,6 GHz ein Vergabeverfahren voranzugehen hat (vgl. hierzu im Einzelnen Vfg.
  34/2007 zu Punkt I., ABl. Bundesnetzagentur 14/2007).


Bonn, 3. Juni 2009
75

Zur nächsten Seite