abl-08

Dieses Dokument ist Teil der Anfrage „Amtsblätter bis 2018

/ 416
PDF herunterladen
Amtsblatt der Bundesnetzagentur
                                  für Elektrizität, Gas, Telekommunikation, Post und Eisenbahnen
2198                                      – Mitteilungen, Qualifizierte elektronische Signatur,           08 2009
                                             Teil A, Mitteilungen der Bundesnetzagentur –

                                                         Herstellererklärung NSUITE® Signatur, Version 1.1

 5.4 Auflagen für den Betrieb des Produktes

 Während des Betriebs von NSUITE Signatur 1.1 sind die folgenden Bedingungen für den sachgemäßen
 Einsatz zu beachten:

 Der Einsatzbereich von NSUITE Signatur 1.1 kann als “Geschützter Einsatzbereich 10 ” klassifiziert werden.
 Das bedeutet, dass:

            die “Signatur-Arbeitsstation” so durch eine Firewall geschützt wird, dass eine Unterteilung in ein
             externes Netz (Internet) und internes Netz (Intranet) erfolgt.Zusätzlich muss vom Nutzer der
             Signaturanwendungskomponente gewährleistet werden, dass nur vertrauenswürdige Personen
             im Unternehmen vom Intranet aus auf die “Signatur-Arbeitsstation” zugreifen dürfen
             (administrative Maßnahme).

            potenzielle Angriffe über einen manuellen Zugriff Unbefugter durch folgende administrative
             Maßnahmen abgewehrt werden: NSUITE Signatur kann nur durch die Software NSUITE genutzt
             werden. In NSUITE.inhouse bzw. NSUITE.web ist eine Benutzerverwaltung integriert, die den
             möglichen Benutzerkreis festlegt. Nur diese Benutzer können auf NSUITE Signatur 1.1
             zugreifen. Wird diese Variante eingesetzt, so ist der Server durch eine Firewall vor
             unberechtigtem Zugriff zu schützen und es wird eine sichere Kommunikation zwischen Server
             und Browser-Client (über SSL/HTTPS) vorausgesetzt. Wurde NSUITE in Form von
             NSUITE.comfort lokal als Anwendung installiert, so ist die entsprechende Arbeitsstation durch
             eine Firewall zu schützen und die Arbeitsstation muss durch eine Benutzerkontensteuerung
             (Aufgabe des Betriebssystems) abgesichert werden. NSUITE Signatur 1.1 selbst wehrt einen
             unberechtigten Zugriff durch seine abgesicherten Schnittstellen ab.

            ein Datenaustausch per Datenträger abgewehrt wird, indem der PC, auf dem sich NSUITE
             Signatur 1.1 befindet, entsprechend durch einen geschlossenen Benutzerkreis und durch eine
             Firewall geschützt ist (administrative Maßnahme) und die an NSUITE Signatur 1.1 verschlüsselt
             übergebenen Daten nur von NSUITE Signatur 1.1 entschlüsselt werden können,

            für Installation, Nutzung und Wartung der installierten Software nur qualifiziertes /
             vertrauenswürdiges Personal eingesetzt werden darf und im Unternehmen administrative
             Sicherheitsmaßnahmen getroffen werden müssen.

 Durch diese Kombination von Sicherheitsvorkehrungen werden potentielle Angriffe in der
 Signaturanwendungskomponente selbst und in der Einsatzumgebung mit hoher Sicherheit abgewehrt.

 Es ist sicherzustellen, dass auf der von dem Produkt NSUITE Signatur 1.1 und der Anwendung benutzten
 Hardwareplattform keine Viren oder Trojanischen Pferde eingespielt werden.

 Die PIN darf nur dem jeweiligen Signaturschlüsselinhaber zugänglich / bekannt sein.

 Mit Auslieferung des Produktes NSUITE Signatur 1.1 ist der Anwender auf die Einhaltung der oben
 genannten Einsatzbedingungen hinzuweisen.




 10
   siehe dazu http://www.bundesnetzagentur.de/media/archive/2648.pdf
 ______________________________________________________________________________________
 © Copyright ٠Dr. Ing. Wandrei GmbH ٠Köpenicker Str. 325 ٠D-12555 Berlin                18 von 20
 Tel +49-(0)30-65 76 23 66 ٠ Fax +49-(0)30-657 16 24 ٠ info@wandrei.de ٠ www.wandrei.de



                                                                                                           Bonn, 6. Mai 2009
410

Amtsblatt der Bundesnetzagentur
                                    für Elektrizität, Gas, Telekommunikation, Post und Eisenbahnen
08 2009                                     – Mitteilungen, Qualifizierte elektronische Signatur,                    2199
                                               Teil A, Mitteilungen der Bundesnetzagentur –

                                                           Herstellererklärung NSUITE® Signatur, Version 1.1

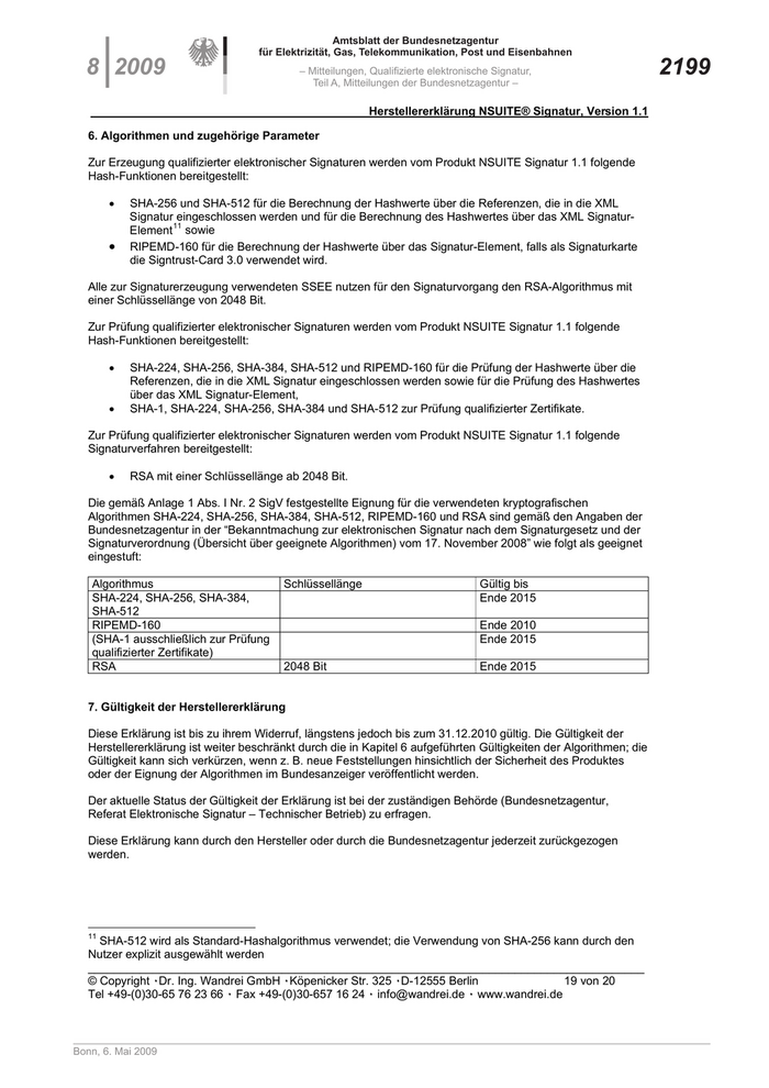
   6. Algorithmen und zugehörige Parameter

   Zur Erzeugung qualifizierter elektronischer Signaturen werden vom Produkt NSUITE Signatur 1.1 folgende
   Hash-Funktionen bereitgestellt:

           SHA-256 und SHA-512 für die Berechnung der Hashwerte über die Referenzen, die in die XML
            Signatur eingeschlossen werden und für die Berechnung des Hashwertes über das XML Signatur-
            Element 11 sowie
           RIPEMD-160 für die Berechnung der Hashwerte über das Signatur-Element, falls als Signaturkarte
            die Signtrust-Card 3.0 verwendet wird.

   Alle zur Signaturerzeugung verwendeten SSEE nutzen für den Signaturvorgang den RSA-Algorithmus mit
   einer Schlüssellänge von 2048 Bit.

   Zur Prüfung qualifizierter elektronischer Signaturen werden vom Produkt NSUITE Signatur 1.1 folgende
   Hash-Funktionen bereitgestellt:

           SHA-224, SHA-256, SHA-384, SHA-512 und RIPEMD-160 für die Prüfung der Hashwerte über die
            Referenzen, die in die XML Signatur eingeschlossen werden sowie für die Prüfung des Hashwertes
            über das XML Signatur-Element,
           SHA-1, SHA-224, SHA-256, SHA-384 und SHA-512 zur Prüfung qualifizierter Zertifikate.

   Zur Prüfung qualifizierter elektronischer Signaturen werden vom Produkt NSUITE Signatur 1.1 folgende
   Signaturverfahren bereitgestellt:

           RSA mit einer Schlüssellänge ab 2048 Bit.

   Die gemäß Anlage 1 Abs. I Nr. 2 SigV festgestellte Eignung für die verwendeten kryptografischen
   Algorithmen SHA-224, SHA-256, SHA-384, SHA-512, RIPEMD-160 und RSA sind gemäß den Angaben der
   Bundesnetzagentur in der “Bekanntmachung zur elektronischen Signatur nach dem Signaturgesetz und der
   Signaturverordnung (Übersicht über geeignete Algorithmen) vom 17. November 2008” wie folgt als geeignet
   eingestuft:

   Algorithmus                           Schlüssellänge                              Gültig bis
   SHA-224, SHA-256, SHA-384,                                                        Ende 2015
   SHA-512
   RIPEMD-160                                                                        Ende 2010
   (SHA-1 ausschließlich zur Prüfung                                                 Ende 2015
   qualifizierter Zertifikate)
   RSA                                   2048 Bit                                    Ende 2015


   7. Gültigkeit der Herstellererklärung

   Diese Erklärung ist bis zu ihrem Widerruf, längstens jedoch bis zum 31.12.2010 gültig. Die Gültigkeit der
   Herstellererklärung ist weiter beschränkt durch die in Kapitel 6 aufgeführten Gültigkeiten der Algorithmen; die
   Gültigkeit kann sich verkürzen, wenn z. B. neue Feststellungen hinsichtlich der Sicherheit des Produktes
   oder der Eignung der Algorithmen im Bundesanzeiger veröffentlicht werden.

   Der aktuelle Status der Gültigkeit der Erklärung ist bei der zuständigen Behörde (Bundesnetzagentur,
   Referat Elektronische Signatur – Technischer Betrieb) zu erfragen.

   Diese Erklärung kann durch den Hersteller oder durch die Bundesnetzagentur jederzeit zurückgezogen
   werden.




   11
     SHA-512 wird als Standard-Hashalgorithmus verwendet; die Verwendung von SHA-256 kann durch den
   Nutzer explizit ausgewählt werden
   ______________________________________________________________________________________
   © Copyright ٠Dr. Ing. Wandrei GmbH ٠Köpenicker Str. 325 ٠D-12555 Berlin                19 von 20
   Tel +49-(0)30-65 76 23 66 ٠ Fax +49-(0)30-657 16 24 ٠ info@wandrei.de ٠ www.wandrei.de



Bonn, 6. Mai 2009
411

Amtsblatt der Bundesnetzagentur
                                 für Elektrizität, Gas, Telekommunikation, Post und Eisenbahnen
2200                                     – Mitteilungen, Qualifizierte elektronische Signatur,          08 2009
                                            Teil A, Mitteilungen der Bundesnetzagentur –

                                                        Herstellererklärung NSUITE® Signatur, Version 1.1

8. Zusatzdokumentation

Folgende Bestandteile der Herstellererklärung wurden aus dem Veröffentlichungstext ausgegliedert und bei
der zuständigen Behörde hinterlegt:

1. Ausgegliederte Dokumentation zu Abschnitt 3.6 (Technische Realisierung – materielle Beschreibung /
   Spezifikation des Signaturproduktes), Version 1.5, 20 Seiten

2. Benutzerhandbuch, Version 1.2, 22 Seiten

3. Entwicklungsrichtlinien, Version 1.1, 2 Seiten

4. Spezifiziertes Auslieferungs- und Installationsverfahren zu NSUITE.comfort, Version 1.0, 23 Seiten

5. Spezifiziertes Auslieferungs- und Installationsverfahren zu NSUITE.inhouse, Version 1.0, 11 Seiten

6. Testspezifikationen zu NSUITE Signatur, Version 1.3, 14 Seiten

7. Testdokumente für die Tests zu NSUITE Signatur, Version 1.7, 8 Seiten

8. Testergebnisse zu NSUITE Signatur 1.1, Version 1.3, 13 Seiten



Ende der Herstellererklärung




______________________________________________________________________________________
© Copyright ٠Dr. Ing. Wandrei GmbH ٠Köpenicker Str. 325 ٠D-12555 Berlin                20 von 20
Tel +49-(0)30-65 76 23 66 ٠ Fax +49-(0)30-657 16 24 ٠ info@wandrei.de ٠ www.wandrei.de



                                                                                                        Bonn, 6. Mai 2009
412


                                            
                                                
                                                413
                                            
                                        


                                            
                                                
                                                414
                                            
                                        


                                            
                                                
                                                415
                                            
                                        

media production bonn gmbh
Baunscheidtstr. 19
53113 Bonn

9390

Herausgeber                Bundesnetzagentur für Elektrizität, Gas, Telekommunikation, Post und Eisenbahnen
Redaktion                  Bundesnetzagentur für Elektrizität, Gas, Telekommunikation, Post und Eisenbahnen
                           Referat Z 15 · Postfach 80 01 · 53105 Bonn; Tulpenfeld 4, 53113 Bonn
                           Telefon: (02 28) 14 53 18
                           Telefax: (02 28) 14 65 33
                           E-Mail: amtsblatt@bnetza.de
Erscheinungsweise          Das Amtsblatt der BNetzA erscheint nach Bedarf, in der Regel 14täglich
Bezugspreis                (einschließlich Versandkosten)

                            Bezug                                        Versandform und Bezugspreis
                                                                  nur Papier          nur            Papier und
                                                                   Version       elektronische      elektronische
                                                                                    Version            Version

                            Halbjahresabonnement Inland              26 €             26 €              47 €
                            Jahresabonnement Inland                  48 €             48 €              86 €
                            Halbjahresabonnement Ausland             52 €             52 €              94 €
                            Jahresabonnement Ausland                 96 €             96 €             173 €
                            Einzelexemplar                          6,50 €           6,50 €             12 €
                           Im Bezugspreis ist keine Umsatzsteuer im Sinne des § 14 UStG enthalten
Bestellung/                media production bonn gmbh, Baunscheidtstr. 19, 53113 Bonn
Versand                    Abonnementverwaltung/Einzellieferung
                           Telefon: (02 28) 3 91 80-10
                           Telefax: (02 28) 3 91 80-29
                           E-Mail: info@bnetza-amtsblatt.de
                           Der Versand erfolgt gegen Rechnung
                           Halbjahresabonnements können jeweils zum 30.6. oder 31.12., Jahresabonnements zum 31.12. eines
                           Jahres mit einer Frist von vier Wochen gekündigt werden.
Druck                      Medienhaus Plump Gmbh, Rolandsecker Weg 33, 53619 Rheinbreitbach
            Achtung neue Kontoverbindung: Sparkasse KölnBonn, Kto.: 190 197 0234, BLZ: 370 501 98

Bestellung                                     Bezug                                          Versandform und Bezugspreis
Amtsblatt der Bundesnetzagentur
für Elektrizität, Gas,                                                               nur Papier           nur         Papier und
                                                                                      Version        elektronische   elektronische
Telekommunikation, Post                                                                                 Version         Version
und Eisenbahnen
                                               Halbjahresabonnement Inland                26 €              26 €             47 €

                                               Jahresabonnement Inland                    48 €              48 €             86 €

                                               Halbjahresabonnement Ausland               52 €              52 €             94 €

                                               Jahresabonnement Ausland                   96 €              96 €            173 €

                                               Einzelexemplar                           6,50 €            6,50 €             12 €


                                             Der Versand erfolgt gegen Rechnung. Abo ab: _ ___________________

                                             Anzahl der Exemplare________ Nummer bei Einzelexemplaren ______________

                                             Name/Firma _______________________________________________________
                                             Anschrift   _________________________________________________________
                                                         _________________________________________________________
                                                         _________________________________________________________
media production bonn gmbh                   Mit der Weiterleitung einer neuen Anschrift durch die media production bonn gmbh
z. Hd. Frau Mathieu                          an den Verleger bin ich einverstanden
Baunscheidtstr. 19
53113 Bonn                                   Datum/Unterschrift __________________________________________________
416