abl-20

Dieses Dokument ist Teil der Anfrage „Amtsblätter bis 2018

/ 768
PDF herunterladen
Amtsblatt der Bundesnetzagentur
                                      für Elektrizität, Gas, Telekommunikation, Post und Eisenbahnen
20 2009                                                – Regulierung, Telekommunikation –                                           3807
Mit Breitband unterversorgte Gemeinden und Teilgemeinden in Baden-Württemberg                                 Prioritätsstufe 1


                                                                                                         Haus-     Verfügbarkeit
                                                                                      Einw. in
 Gemeinde-                                                                   Ein-              Haus-    halte in      1 Mbit/s
                        Gemeinde           Teilgemeinde       ArtGemeinde              Teil-
  schlüssel                                                                 wohner             halte     Teil-      für Prozent
                                                                                     gemeinde
                                                                                                       gemeinde der Haushalte
 08119024     Großerlach                                     Gemeinde         2586              1064                       72,07
 08119024     Grosserlach              Grab                                               695                286
 08119037     Kaisersbach                                    Gemeinde         2715              1117                         87,3
 08119038     Kirchberg an der Murr                          Gemeinde         3668              1509                           95
 08119044     Murrhardt                Fornsbach                                        1.514                658
 08119053     Oppenweiler                                    Gemeinde         4265              1755                       93,03
 08119055     Plüderhausen             Walkersbach                                        267                112
 08119067     Schorndorf               Buhlbronn                                          699                315
 08119067     Schorndorf               Miedelsbach                                      1.945                876
 08119069     Spiegelberg                                    Gemeinde         2167               892                       78,35
 08119069     Spiegelberg              Nassach Kurzach                                    329                135
 08119075     Sulzbach Murr            Bartenbach harrenb.                                253                106
 08119075     Sulzbach Murr            Berwinkel                                           48                  20
 08119075     Sulzbach Murr            Eschenstruet                                        70                  29
 08119075     Sulzbach Murr            Liemannsklinge                                      20                    8
 08119075     Sulzbach Murr            Schleissweiler                                     166                  69
 08119075     Sulzbach Murr            Zwerenberg                                          44                  18
 08119087     Aspach                   Kleinaspach                                      1.840                770
 08119089     Berglen                  Birkenweissbuch                                    382                160
 08119089     Berglen                  Hösslinswart                                       824                345
 08119089     Berglen                  Kottweil                                           198                  83
 08119089     Berglen                  Linsenhof                                           22                    9
 08119089     Berglen                  Ödernhardt                                         297                124
 08119089     Berglen                  Oppelsbohm                                       1.046                438
 08119089     Berglen                  Öschelbronn                                        296                124
 08119089     Berglen                  Rettersburg                                        531                222
 08119089     Berglen                  Steinach                                           894                374
 08119089     Berglen                  Streich                                            199                  83
 08119089     Berglen                  Vorderweissbuch                                    140                  59
 08125001     Abstatt                                        Gemeinde         4503              1853                       85,01
 08125005     Bad Friedrichshall       Untergriesheim                                   1.366                594
 08125006     Bad Rappenau             Fürfeld                                          1.390                626
 08125013     Brackenheim              Hausen an der Zaber                              1.834                797
 08125013     Brackenheim              Neipperg                                           605                263
 08125013     Brackenheim              Stockheim                                          835                363
 08125017     Cleebronn                                      Gemeinde         2740              1128                           95
 08125021     Eberstadt                                      Gemeinde         3221              1326                           95
 08125021     Eberstadt                Hölzern                                            366                151
 08125024     Ellhofen                                       Gemeinde         3381              1391                           95
 08125026     Eppingen                 Adelshofen                                       1.280                577
 08125026     Eppingen                 Kleingartach                                     1.538                693
 08125026     Eppingen                 Rohrbach                                         1.675                754
 08125038     Güglingen                Eibensbach                                         960                402
 08125039     Gundelsheim              Obergriesheim                                      679                284
 08125039     Gundelsheim              Tiefenbach                                         671                281
 08125047     Ittlingen                                      Gemeinde         2422               997                       74,61
 08125048     Jagsthausen                                    Gemeinde         1520               626                       58,45
 08125048     Jagsthausen              Olnhausen                                          305                126
 08125057     Lehrensteinsfeld                               Gemeinde         2092               861                           95
 08125059     Löwenstein                                     Stadt            3106              1278                       64,67
 08125061     Massenbachhausen                               Gemeinde         3626              1492                       71,65
 08125063     Möckmühl                 Bittelbronn                                        197                  82
 08125063     Möckmühl                 Korb                                               322                135
 08125063     Möckmühl                 Züttlingen                                       1.537                643
 08125065     Neckarsulm               Dahenfeld                                        1.263                569
 08125066     Neckarwestheim                                 Gemeinde         3517              1447                           95
 08125068     Neudenau                 Reichertshausen                                    229                  96
 08125069     Neuenstadt               Cleversulzbach                                     810                339
 08125074     Nordheim                 Nordhausen                                       1.234                516
 08125078     Ödheim                   Degmarn                                            709                297
 08125079     Offenau                                        Gemeinde         2715              1117                       77,64
 08125081     Pfaffenhofen                                   Gemeinde         2379               979                       67,75
 08125084     Roigheim                                       Gemeinde         1444               594                         63,2
 08125084     Roigheim                                                                  1.521                626
 08125086     Schwaigern               Massenbach                                       1.713                745
 08125094     Talheim                                        Gemeinde         4746              1953                           95
 08125102     Weinsberg                Wimmental                                          593                258



                                                          2 von 27



Bonn, 21. Oktober 2009
243

Amtsblatt der Bundesnetzagentur
                                      für Elektrizität, Gas, Telekommunikation, Post und Eisenbahnen
3808                                                    – Regulierung, Telekommunikation –                                20 2009
Mit Breitband unterversorgte Gemeinden und Teilgemeinden in Baden-Württemberg                                  Prioritätsstufe 1


                                                                                                          Haus-     Verfügbarkeit
                                                                                       Einw. in
 Gemeinde-                                                                    Ein-              Haus-    halte in      1 Mbit/s
                       Gemeinde            Teilgemeinde        ArtGemeinde              Teil-
  schlüssel                                                                  wohner             halte     Teil-      für Prozent
                                                                                      gemeinde
                                                                                                        gemeinde der Haushalte
08125108      Zaberfeld                                      Gemeinde          3978              1637                       67,84
08125111      Hardthausen am Kocher                          Gemeinde          4055              1669                       69,26
08125111      Hardthausen              Kochersteinsfeld                                  1.009                415
08125111      Hardthausen              Lampoldshausen                                      995                410
08125113      Langenbrettach                                 Gemeinde          3543              1458                       67,53
08125113      Langenbrettach           Langenbeutingen                                   1.240                510
08126011      Bretzfeld                Adolzfurt                                         1.127                490
08126011      Bretzfeld                Dimbach                                             754                328
08126011      Bretzfeld                Geddelsbach                                         239                104
08126011      Bretzfeld                Scheppach                                           952                414
08126011      Bretzfeld                Schwabbach                                        1.171                509
08126011      Bretzfeld                Siebeneich                                          202                  88
08126011      Bretzfeld                Unterheimbach                                     1.177                512
08126011      Bretzfeld                Waldbach                                          1.379                600
08126020      Dörzbach                                       Gemeinde          2411               992                       78,44
08126020      Dörzbach                 Hohebach                                            578                238
08126028      Forchtenberg             Sindringen                                          819                343
08126028      Forchtenberg             Wohlmuthausen                                       423                177
08126039      Ingelfingen              Criesbach                                           597                250
08126039      Ingelfingen              Diebach                                             232                  97
08126039      Ingelfingen              Dörrenzimmern                                       392                164
08126039      Ingelfingen              Eberstal                                            400                167
08126039      Ingelfingen              Hermuthausen                                        275                115
08126039      Ingelfingen              Stachenhausen                                       228                  95
08126039      Ingelfingen              Weldingsfelden                                      222                  93
08126045      Krautheim                                      Stadt             4871              2005                       55,44
08126045      Krautheim                Oberginsbach                                        345                142
08126045      Krautheim                Oberndorf                                           137                  56
08126045      Krautheim                Unterginsbach                                       268                110
08126046      Künzelsau                Amrichshausen                                       510                222
08126046      Künzelsau                Belsenberg                                          436                190
08126046      Künzelsau                Gaisbach                                          1.814                789
08126046      Künzelsau                Kocherstetten                                       808                351
08126046      Künzelsau                Lassbach                                            270                117
08126046      Künzelsau                Morsbach                                            633                275
08126046      Künzelsau                Nitzenhausen                                        257                112
08126046      Künzelsau                Steinbach                                           276                120
08126047      Kupferzell               Fessbach                                            609                255
08126047      Kupferzell               Goggenbach                                            1                    0
08126047      Kupferzell               Mangoldsall                                         280                117
08126047      Kupferzell               Kupferzell                                        2.567              1.074
08126056      Mulfingen                                      Gemeinde          3852              1585                       64,74
08126056      Mulfingen                Ailringen                                           486                200
08126056      Mulfingen                Buchenbach                                          604                249
08126056      Mulfingen                Eberbach                                            230                  95
08126056      Mulfingen                Hollenbach                                          515                212
08126056      Mulfingen                Simprechtshausen                                    240                  99
08126056      Mulfingen                Zaisenhausen                                        278                114
08126058      Neuenstein               Kirchensall                                         765                320
08126060      Niedernhall                                    Stadt             3956              1628                           95
08126066      Öhringen                 Baumerlenbach                                       465                209
08126066      Öhringen                 Büttelbronn                                         287                129
08126066      Öhringen                 Möglingen                                           263                118
08126066      Öhringen                 Obermassholderbach                                  165                  74
08126066      Öhringen                 Ohrnberg                                            796                359
08126066      Öhringen                 Schwoellbronn                                       145                  65
08126066      Öhringen                 Untermassholderbach                                 112                  50
08126066      Öhringen                 Weinsbach                                           199                  90
08126072      Schöntal                 Aschhausen                                          259                108
08126072      Schöntal                 Bieringen                                         1.103                461
08126072      Schöntal                 Marlach                                             490                205
08126072      Schöntal                 Oberkessach                                       1.089                456
08126072      Schöntal                 Sindeldorf                                          469                196
08126072      Schöntal                 Westernhausen                                     1.025                429
08126072      Schöntal                 Winzenhofen                                         303                127
08126085      Waldenburg                                     Stadt             3091              1272                       77,04
08126085      Waldenburg               Bahnhofsiedlung                                     462                190



                                                          3 von 27



                                                                                                                      Bonn, 21. Oktober 2009
244

Amtsblatt der Bundesnetzagentur
                                       für Elektrizität, Gas, Telekommunikation, Post und Eisenbahnen
20 2009                                                    – Regulierung, Telekommunikation –                                           3809
Mit Breitband unterversorgte Gemeinden und Teilgemeinden in Baden-Württemberg                                     Prioritätsstufe 1


                                                                                                             Haus-     Verfügbarkeit
                                                                                          Einw. in
 Gemeinde-                                                                       Ein-              Haus-    halte in      1 Mbit/s
                        Gemeinde            Teilgemeinde          ArtGemeinde              Teil-
  schlüssel                                                                     wohner             halte     Teil-      für Prozent
                                                                                         gemeinde
                                                                                                           gemeinde der Haushalte
 08126085     Waldenburg                Obersteinbach                                         413                170
 08126085     Waldenburg                Rathaus                                               568                234
 08126085     Waldenburg                Schule                                              1.625                669
 08126086     Weißbach                                          Gemeinde          2204               907                       79,49
 08126094     Zweiflingen                                       Gemeinde          1731               712                         70,2
 08126094     Zweiflingen               Eichach                                               150                  62
 08126094     Zweiflingen               Friedrichsruhe                                        256                105
 08126094     Zweiflingen               Friedrichsruhe 2                                       47                  19
 08126094     Zweiflingen               Orendelsall                                           259                107
 08126094     Zweiflingen               Pfahlbach                                             110                  45
 08126094     Zweiflingen               Tiefensall                                            152                  63
 08126094     Zweiflingen               Westernbach                                           265                109
 08126094     Zweiflingen                                                                     262                108
 08127008     Blaufelden                Billingsbach                                          642                269
 08127008     Blaufelden                Gammesfeld                                            567                237
 08127008     Blaufelden                Herrentierbach                                        370                155
 08127008     Blaufelden                Wiesenbach                                          1.084                454
 08127009     Braunsbach                                        Gemeinde          2390               984                       65,46
 08127009     Braunsbach                Jungholzhausen                                        317                131
 08127009     Braunsbach                Steinkirchen                                          270                111
 08127012     Bühlertann                                        Gemeinde          3127              1287                       86,69
 08127012     Bühlertann                Fronrot                                               181                  74
 08127012     Bühlertann                Hettensberg                                            76                  31
 08127013     Bühlerzell                                        Gemeinde          2051               844                           91
 08127014     Crailsheim                Goldbach                                              820                369
 08127014     Crailsheim                Tiefenbach                                          1.058                477
 08127014     Crailsheim                Triensbach                                            543                245
 08127014     Crailsheim                Westgartshausen                                     1.170                527
 08127023     Fichtenberg                                       Gemeinde          2900              1193                       78,05
 08127023     Fichtenberg               Hornberg                                               34                  14
 08127023     Fichtenberg               Langert                                                72                  30
 08127023     Fichtenberg               Rupphof                                                 8                    3
 08127025     Gaildorf                  Ottendorf                                           1.166                507
 08127032     Gerabronn                                         Stadt             4484              1845                       81,37
 08127032     Gerabronn                 Dünsbach                                              696                286
 08127043     Ilshofen                  Obersteinach                                          620                259
 08127043     Ilshofen                  Unteraspach                                           791                331
 08127046     Kirchberg an der Jagst                            Stadt             4411              1815                       89,14
 08127047     Langenburg                                        Stadt             1808               744                       84,82
 08127047     Langenburg                Bächlingen Hür                                        219                  90
 08127052     Mainhardt                 Bubenorbis                                            845                353
 08127056     Michelbach an der Bilz                            Gemeinde          3474              1430                           95
 08127059     Michelfeld                                        Gemeinde          3597              1480                           87
 08127059     Michelfeld                Neunkirchen                                           310                128
 08127059     Michelfeld                Rinnen                                                175                  72
 08127059     Michelfeld                Michelfeld                                          1.860                765
 08127062     Oberrot                                           Gemeinde          3751              1544                       83,72
 08127062     Oberrot                   Badhaus                                               172                  71
 08127062     Oberrot                   Wolfenbrueck                                          133                  55
 08127063     Obersontheim                                      Gemeinde          4821              1984                       84,39
 08127063     Obersontheim              Mittelfischach                                        928                382
 08127063     Obersontheim              Oberfischach                                          682                281
 08127071     Rot am See                Beimbach                                              446                187
 08127071     Rot am See                Brettheim                                           1.038                434
 08127071     Rot am See                Hausen am bach                                        424                177
 08127071     Rot am See                Reubach                                               466                195
 08127071     Rot am See                Rot am See                                          2.501              1.046
 08127073     Satteldorf                Ellrichshausen                                      1.100                460
 08127075     Schrozberg                Heiligenbronn                                         252                105
 08127075     Schrozberg                Leuzendorf                                            538                225
 08127075     Schrozberg                Nord                                                1.437                601
 08127075     Schrozberg                Schmalfelden                                          427                179
 08127075     Schrozberg                Spielbach                                             394                165
 08127075     Schrozberg                Süd                                                 2.095                876
 08127079     Sulzbach-Laufen                                   Gemeinde          2561              1054                       91,49
 08127086     Untermünkheim                                     Gemeinde          2997              1233                       74,41
 08127086     Untermünkheim             Enslingen                                             754                310



                                                             4 von 27



Bonn, 21. Oktober 2009
245

Amtsblatt der Bundesnetzagentur
                                   für Elektrizität, Gas, Telekommunikation, Post und Eisenbahnen
3810                                                 – Regulierung, Telekommunikation –                                20 2009
Mit Breitband unterversorgte Gemeinden und Teilgemeinden in Baden-Württemberg                                Prioritätsstufe 1


                                                                                                        Haus-    Verfügbarkeit
                                                                                     Einw. in
 Gemeinde-                                                                  Ein-              Haus-    halte in     1 Mbit/s
                        Gemeinde        Teilgemeinde        ArtGemeinde               Teil-
  schlüssel                                                                wohner             halte     Teil-     für Prozent
                                                                                    gemeinde
                                                                                                      gemeinde der Haushalte
08127089      Vellberg                                    Stadt              4296              1768                      64,37
08127089      Vellberg              Grossaltdorf                                       1.242                511
08127091      Wallhausen                                  Gemeinde           3580              1473                      54,39
08127091      Wallhausen            Michelbach/Lücke                                     682                281
08127099      Wolpertshausen                              Gemeinde           2020               831                      76,14
08127099      Wolpertshausen                                                           1.564                643
08127101      Kreßberg                                    Gemeinde           3887              1600                          81
08127101      Kressberg             Haselhof                                           1.451                597
08127101      Kressberg             Marktlustenau                                      1.268                522
08127101      Kressberg             Waldtann                                           1.183                487
08127102      Fichtenau                                   Gemeinde           4572              1881                          81
08127102      Fichtenau             Matzenbach                                         1.158                476
08127102      Fichtenau             Wildenstein                                        1.296                533
08127103      Frankenhardt                                Gemeinde           4798              1974                          81
08127103      Frankenhardt          Hornhardt                                          2.142                881
08127104      Stimpfach                                   Gemeinde           3056              1258                          81
08127104      Stimpfach             Rechenberg                                           449                185
08127104      Stimpfach             Weipertshofen                                        715                294
08127104      Stimpfach             Stimpfach                                          1.921                791
08128006      Assamstadt                                  Gemeinde           2095               862                      48,86
08128014      Boxberg               Bobstadt                                             510                213
08128014      Boxberg               Kupprichhausen                                       379                159
08128014      Boxberg               Lengenrieden                                         183                  77
08128014      Boxberg               Oberschüpf                                           433                181
08128014      Boxberg               Schwabhausen                                         588                246
08128014      Boxberg               Uiffingen                                            505                211
08128014      Boxberg               Unterschüpf                                          852                356
08128014      Boxberg               Windischbuch                                         367                154
                                                          Einheitsge-
08128020      Creglingen                                  meinde (Stadt)     4874              2006                      74,46
08128020      Creglingen            Archshofen                                           334                137
08128020      Creglingen            Blumweiler                                           391                161
08128020      Creglingen            Finsterlohr                                          290                119
08128020      Creglingen            Frauental                                            159                 65
08128020      Creglingen            Freudenbach                                          393                162
08128020      Creglingen            Münster                                              269                111
08128020      Creglingen            Oberrimbach                                          263                108
08128020      Creglingen            Schmerbach                                           175                 72
08128020      Creglingen            Waldmannshofen                                       354                146
                                                          Einheitsge-
08128039      Freudenberg                                 meinde (Stadt)     3982              1639                      92,47
08128039      Freudenberg           Ebenheid                                             293                121
08128039      Freudenberg           Wessental                                            163                 67
08128045      Großrinderfeld                              Gemeinde           4081              1679                      65,48
08128045      Grossrinderfeld       Gerchsheim                                         1.436                591
08128045      Grossrinderfeld       Ilmspan                                              385                158
08128045      Grossrinderfeld       Schönfeld                                            659                271
08128045      Grossrinderfeld                                                          1.503                618
08128047      Grünsfeld                                   Stadt              3792              1560                      79,37
08128047      Grünsfeld             Krensheim                                            309                127
08128047      Grünsfeld             Kützbrunn                                            222                 91
08128047      Grünsfeld             Paimar                                               295                121
08128047      Grünsfeld             Zimmern                                              506                208
08128058      Igersheim             Bernsfelden                                          306                128
08128058      Igersheim             Bernsfelden                                          306                128
08128058      Igersheim             Harthausen                                           526                220
08128058      Igersheim             Neuses                                               267                112
08128058      Igersheim             Simmringen                                            82                 34
08128061      Königheim                                   Gemeinde           3286              1352                      59,34
08128061      Königheim             Brehmen                                              328                135
08128061      Königheim             Gissigheim                                           839                345
08128061      Königheim             Pülfringen                                           495                204
08128061      Königheim             Königheim                                          1.766                727
08128064      Külsheim              Eiersheim                                            467                195
08128064      Külsheim              Hundheim                                             799                334
08128082      Niederstetten         Adolzhausen                                          252                105
08128082      Niederstetten         Herrenzimmern                                        160                 67



                                                       5 von 27



                                                                                                                   Bonn, 21. Oktober 2009
246

Amtsblatt der Bundesnetzagentur
                                   für Elektrizität, Gas, Telekommunikation, Post und Eisenbahnen
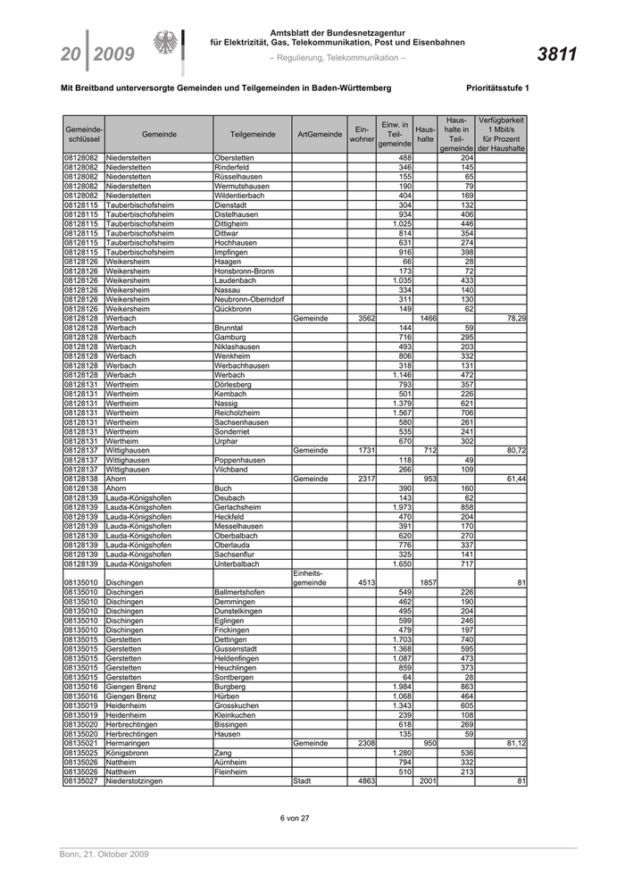
20 2009                                             – Regulierung, Telekommunikation –                                       3811
Mit Breitband unterversorgte Gemeinden und Teilgemeinden in Baden-Württemberg                            Prioritätsstufe 1


                                                                                                    Haus-    Verfügbarkeit
                                                                                   Einw. in
 Gemeinde-                                                                Ein-              Haus-  halte in     1 Mbit/s
                        Gemeinde        Teilgemeinde       ArtGemeinde              Teil-
  schlüssel                                                              wohner             halte   Teil-     für Prozent
                                                                                  gemeinde
                                                                                                  gemeinde der Haushalte
 08128082     Niederstetten         Oberstetten                                        488              204
 08128082     Niederstetten         Rinderfeld                                         346              145
 08128082     Niederstetten         Rüsselhausen                                       155                65
 08128082     Niederstetten         Wermutshausen                                      190                79
 08128082     Niederstetten         Wildentierbach                                     404              169
 08128115     Tauberbischofsheim    Dienstadt                                          304              132
 08128115     Tauberbischofsheim    Distelhausen                                       934              406
 08128115     Tauberbischofsheim    Dittigheim                                       1.025              446
 08128115     Tauberbischofsheim    Dittwar                                            814              354
 08128115     Tauberbischofsheim    Hochhausen                                         631              274
 08128115     Tauberbischofsheim    Impfingen                                          916              398
 08128126     Weikersheim           Haagen                                              66                28
 08128126     Weikersheim           Honsbronn-Bronn                                    173                72
 08128126     Weikersheim           Laudenbach                                       1.035              433
 08128126     Weikersheim           Nassau                                             334              140
 08128126     Weikersheim           Neubronn-Oberndorf                                 311              130
 08128126     Weikersheim           Qückbronn                                          149                62
 08128128     Werbach                                     Gemeinde         3562              1466                    78,29
 08128128     Werbach               Brunntal                                           144                59
 08128128     Werbach               Gamburg                                            716              295
 08128128     Werbach               Niklashausen                                       493              203
 08128128     Werbach               Wenkheim                                           806              332
 08128128     Werbach               Werbachhausen                                      318              131
 08128128     Werbach               Werbach                                          1.146              472
 08128131     Wertheim              Dörlesberg                                         793              357
 08128131     Wertheim              Kembach                                            501              226
 08128131     Wertheim              Nassig                                           1.379              621
 08128131     Wertheim              Reicholzheim                                     1.567              706
 08128131     Wertheim              Sachsenhausen                                      580              261
 08128131     Wertheim              Sonderriet                                         535              241
 08128131     Wertheim              Urphar                                             670              302
 08128137     Wittighausen                                Gemeinde         1731               712                    80,72
 08128137     Wittighausen          Poppenhausen                                       118                49
 08128137     Wittighausen          Vilchband                                          266              109
 08128138     Ahorn                                       Gemeinde         2317               953                    61,44
 08128138     Ahorn                Buch                                                390              160
 08128139     Lauda-Königshofen    Deubach                                             143                62
 08128139     Lauda-Königshofen    Gerlachsheim                                      1.973              858
 08128139     Lauda-Königshofen    Heckfeld                                            470              204
 08128139     Lauda-Königshofen    Messelhausen                                        391              170
 08128139     Lauda-Königshofen    Oberbalbach                                         620              270
 08128139     Lauda-Königshofen    Oberlauda                                           776              337
 08128139     Lauda-Königshofen    Sachsenflur                                         325              141
 08128139     Lauda-Königshofen    Unterbalbach                                      1.650              717
                                                          Einheits-
 08135010     Dischingen                                  gemeinde         4513              1857                      81
 08135010     Dischingen           Ballmertshofen                                      549              226
 08135010     Dischingen           Demmingen                                           462              190
 08135010     Dischingen           Dunstelkingen                                       495              204
 08135010     Dischingen           Eglingen                                            599              246
 08135010     Dischingen           Frickingen                                          479              197
 08135015     Gerstetten           Dettingen                                         1.703              740
 08135015     Gerstetten           Gussenstadt                                       1.368              595
 08135015     Gerstetten           Heldenfingen                                      1.087              473
 08135015     Gerstetten           Heuchlingen                                         859              373
 08135015     Gerstetten           Sontbergen                                           64               28
 08135016     Giengen Brenz        Burgberg                                          1.984              863
 08135016     Giengen Brenz        Hürben                                            1.068              464
 08135019     Heidenheim           Grosskuchen                                       1.343              605
 08135019     Heidenheim           Kleinkuchen                                         239              108
 08135020     Herbrechtingen       Bissingen                                           618              269
 08135020     Herbrechtingen       Hausen                                              135               59
 08135021     Hermaringen                                 Gemeinde         2308               950                   81,12
 08135025     Königsbronn          Zang                                              1.280              536
 08135026     Nattheim             Aürnheim                                            794              332
 08135026     Nattheim             Fleinheim                                           510              213
 08135027     Niederstotzingen                            Stadt            4863              2001                      81



                                                       6 von 27



Bonn, 21. Oktober 2009
247

Amtsblatt der Bundesnetzagentur
                                     für Elektrizität, Gas, Telekommunikation, Post und Eisenbahnen
3812                                                   – Regulierung, Telekommunikation –                                20 2009
Mit Breitband unterversorgte Gemeinden und Teilgemeinden in Baden-Württemberg                                 Prioritätsstufe 1


                                                                                                         Haus-     Verfügbarkeit
                                                                                      Einw. in
 Gemeinde-                                                                   Ein-              Haus-    halte in      1 Mbit/s
                       Gemeinde           Teilgemeinde        ArtGemeinde              Teil-
  schlüssel                                                                 wohner             halte     Teil-      für Prozent
                                                                                     gemeinde
                                                                                                       gemeinde der Haushalte
08135027      Niederstotzingen        Niederstotzingen                                  3.292              1.355
08135027      Niederstotzingen        Oberstotzingen                                      995                409
08135027      Niederstotzingen        Stetten                                             387                159
08135032      Steinheim Albuch        Dudelhof                                             21                    9
08135032      Steinheim Albuch        Gnannenweiler                                        75                  31
08135032      Steinheim Albuch        Irmannsweiler                                        63                  26
08135032      Steinheim Albuch        Küpfendorf                                           65                  27
08135032      Steinheim Albuch        Neuselhalden                                         21                    9
08135032      Steinheim Albuch        Söhnstetten-Ost                                     918                384
08135032      Steinheim Albuch        Söhnstetten-West                                    885                370
08136002      Abtsgmünd               Hohenstadt                                          778                325
08136003      Adelmannsfelden                                Gemeinde         1859               765                       83,71
08136003      Adelsmannsfelden        Stöcken                                              86                  35
08136009      Böbingen an der Rems                           Gemeinde         4705              1936                       81,98
08136010      Bopfingen               Aufhausen                                           949                413
08136010      Bopfingen               Baldern                                             477                207
08136010      Bopfingen               Edelmühle                                           114                  50
08136010      Bopfingen               Härtsfeldhausen                                      96                  42
08136010      Bopfingen               Itzlingen                                           196                  85
08136010      Bopfingen               Kerkingen                                           591                257
08136010      Bopfingen               Oberriffingen                                       165                  72
08136010      Bopfingen               Rohrbach-Siedlung                                   133                  58
08136010      Bopfingen               Trochtelfingen                                      851                370
08136010      Bopfingen               Unterriffingen                                      301                131
08136015      Durlangen                                      Gemeinde         2957              1217                           81
08136018      Ellenberg                                      Gemeinde         1735               714                           81
08136020      Eschach                                        Gemeinde         1825               751                           81
08136024      Göggingen                                      Gemeinde         2460              1012                       63,61
08136027      Gschwend                Frickenhofen                                      1.079                452
08136034      Iggingen                                       Gemeinde         2586              1064                           81
08136035      Jagstzell                                      Gemeinde         2437              1003                           81
08136035      Jagstzell               Dankoltsweiler                                      319                131
08136035      Jagstzell               Wohnplätze                                          360                148
08136035      Jagstzell                                                                 1.733                713
08136037      Kirchheim am Ries                              Gemeinde         2003              824                          83,7
08136037      Kirchheim Ries          Benzenzimmern                                       248                102
08136037      Kirchheim Ries          Dirgenheim                                          327                135
08136037      Kirchheim Ries          Heerhof                                              17                    7
08136037      Kirchheim Ries          Jagstheim                                            52                  21
08136037      Kirchheim Ries          Kalkofen                                              2                    1
08136037      Kirchheim Ries          Weihermühle                                           4                    2
08136037      Kirchheim Ries                                                            1.187                488
08136038      Lauchheim                                      Stadt            4698              1933                       77,87
08136040      Leinzell                                       Gemeinde         2186               900                           81
08136042      Lorch                   Rattenharz                                          230                100
08136045      Neresheim               Dorfmerkingen                                     1.120                469
08136045      Neresheim               Elchingen                                         1.467                614
08136045      Neresheim               Kösingen                                            597                250
08136045      Neresheim               Ohmenheim                                         1.034                433
08136045      Neresheim               Schweindorf                                         340                142
08136046      Neuler                                         Gemeinde         3113              1281                           82
08136046      Neuler                  Adlersteige                                          50                  21
08136046      Neuler                  Binderhof                                            14                    6
08136046      Neuler                  Bronnen                                              99                  41
08136046      Neuler                  Ebnat                                                69                  28
08136046      Neuler                  Leinenfrist                                         108                  44
08136046      Neuler                  Ramsenstrut                                         200                  82
08136046      Neuler                  Schwenningen                                        193                  79
08136046      Neuler                  Unterer Kohlwasen                                     9                    4
08136046      Neuler                                                                    1.911                786
08136049      Obergröningen                                  Gemeinde          457               188                       81,34
08136060      Rosenberg                                      Gemeinde         2660              1095                           81
08136060      Rosenberg Ostalb        Hohenberg                                           698                287
08136060      Rosenberg Ostalb        Hummelsweiler                                       414                170
08136061      Ruppertshofen                                  Gemeinde         1843              758                            81
08136061      Ruppertshofen           Birkenlohe                                          349                144
08136061      Ruppertshofen                                                             1.267                521



                                                          7 von 27



                                                                                                                     Bonn, 21. Oktober 2009
248

Amtsblatt der Bundesnetzagentur
                                    für Elektrizität, Gas, Telekommunikation, Post und Eisenbahnen
20 2009                                             – Regulierung, Telekommunikation –                                            3813
Mit Breitband unterversorgte Gemeinden und Teilgemeinden in Baden-Württemberg                               Prioritätsstufe 1


                                                                                                       Haus-     Verfügbarkeit
                                                                                    Einw. in
 Gemeinde-                                                                 Ein-              Haus-    halte in      1 Mbit/s
                        Gemeinde         Teilgemeinde       ArtGemeinde              Teil-
  schlüssel                                                               wohner             halte     Teil-      für Prozent
                                                                                   gemeinde
                                                                                                     gemeinde der Haushalte
 08136062     Schechingen                                  Gemeinde         2418               995                           81
 08136065     Schwäbisch-Gmü         Burgholz                                            28                  13
 08136066     Spraitbach                                   Gemeinde         3487              1435                           81
 08136068     Stödtlen                                     Gemeinde         1998               822                           81
 08136068     Stoedtlen              Dambach                                            158                  65
 08136068     Stoedtlen              Niederroden                                         75                  31
 08136068     Stoedtlen              Stillau                                             86                  35
 08136068     Stoedtlen              Tragenroden                                         13                    5
 08136068     Stoedtlen              Ziegelhütte                                         12                    5
 08136070     Täferrot                                     Gemeinde         1042               429                           81
 08136071     Tannhausen                                   Gemeinde         1839               757                           81
 08136075     Unterschneidheim                             Gemeinde         4639              1909                           81
 08136075     Unterschneidheim       Geislingen                                         384                158
 08136075     Unterschneidheim       Nordhausen                                         342                141
 08136075     Unterschneidheim       Unterwilflingen                                    401                165
 08136075     Unterschneidheim       Walksheim                                          236                  97
 08136075     Unterschneidheim       Zipplingen                                         746                307
 08136075     Unterschneidheim       Zöbingen                                           871                358
 08136075     Unterschneidheim       Unterschneidheim                                 1.451                597
 08136079     Waldstetten            Wissgoldingen                                    1.394                583
 08136082     Westhausen             Lippach                                            930                389
 08136084     Wört                                         Gemeinde         1430               588                           81
 08136084     Woert                  Schönbronn                                          87                  36
 08136087     Riesbürg                                     Gemeinde         2319               954                           83
 08136087     Riesbürg               Goldburghausen                                     245                101
 08136087     Riesbürg               Pflaumloch                                         843                347
 08136087     Riesbürg               Utzmemmingen                                     1.042                429
 08136089     Rainau                                       Gemeinde         3282              1351                           95
 08136089     Rainau                 Weiler                                             127                  52
 08215007     Bretten                Bauerbach                                        1.119                504
 08215007     Bretten                Büchig                                           1.390                626
 08215007     Bretten                Dürrenbüchig                                       502                226
 08215007     Bretten                Neibsheim                                        1.766                795
 08215007     Bretten                Sprantal                                           379                171
 08215025     Gondelsheim                                  Gemeinde         3213              1322                           95
 08215040     Kürnbach                                     Gemeinde         2427               999                       74,27
 08215046     Malsch Karlsruhe       Waldprechtsweier                                 1.317                573
 08215064     Östringen              Tiefenbach                                       1.184                515
 08215066     Philippsburg           Huttenheim                                       2.540              1.104
 08215084     Ubstadt-Weiher         Stettfeld                                        1.854                806
 08215084     Ubstadt-Weiher         Zeutern                                          2.417              1.051
 08215094     Zaisenhausen                                 Gemeinde         1744              718                        74,42
 08215096     Karlsbad               Ittersbach                                       3.039              1.321
 08216002     Au am Rhein                                  Gemeinde         3376              1389                           95
 08216006     Bischweier                                   Gemeinde         3175              1307                           95
 08216007     Bühl                   Balzhofen                                          604                272
 08216007     Bühl                   Moos                                               805                363
 08216007     Bühl                   Oberbruch                                          475                214
 08216007     Bühl                   Oberweier                                          512                231
 08216007     Bühl                   Vimbuch                                          2.689              1.211
 08216012     Elchesheim-Illingen                          Gemeinde         3276              1348                           95
 08216013     Forbach                Bermersbach                                      1.022                428
 08216013     Forbach                Langenbrand                                      1.001                419
 08216015     Gaggenau               Freioldsheim                                       664                299
 08216015     Gaggenau               Oberweier                                        1.240                559
 08216017     Gernsbach              Lautenbach                                         729                317
 08216017     Gernsbach              Reichental                                         942                410
 08216022     Hügelsheim                                   Gemeinde         4685              1928                       51,93
 08216023     Iffezheim                                    Gemeinde         4931              2029                       56,07
 08216024     Kuppenheim             Oberndorf                                        1.263                528
 08216028     Lichtenau              Muckenschopf                                       391                164
 08216029     Loffenau                                     Gemeinde         2674              1100                       54,14
 08216039     Ötigheim                                     Gemeinde         4386              1805                           95
 08216041     Ottersweier            Unshurst                                         1.530                640
 08216049     Sinzheim               Leiberstung                                        642                279
 08216049     Sinzheim               Schiftung                                          165                  72
 08216052     Steinmauern                                  Gemeinde         2904              1195                           95



                                                        8 von 27



Bonn, 21. Oktober 2009
249

Amtsblatt der Bundesnetzagentur
                                   für Elektrizität, Gas, Telekommunikation, Post und Eisenbahnen
3814                                                 – Regulierung, Telekommunikation –                               20 2009
Mit Breitband unterversorgte Gemeinden und Teilgemeinden in Baden-Württemberg                              Prioritätsstufe 1


                                                                                                      Haus-    Verfügbarkeit
                                                                                   Einw. in
 Gemeinde-                                                                Ein-              Haus-    halte in     1 Mbit/s
                       Gemeinde        Teilgemeinde        ArtGemeinde              Teil-
  schlüssel                                                              wohner             halte     Teil-     für Prozent
                                                                                  gemeinde
                                                                                                    gemeinde der Haushalte
08216059      Weisenbach                                  Gemeinde         2635              1084                          95
08216063      Rheinmünster         Söllingen                                         1.113                466
08216063      Rheinmünster         Stollhofen                                        1.449                606
08225001      Adelsheim            Leibenstadt                                         371                155
08225001      Adelsheim            Sennfeld                                          1.252                524
08225002      Aglasterhausen       Michelbach                                          906                379
08225009      Billigheim           Allfeld                                           1.313                549
08225009      Billigheim           Sulzbach                                          1.680                703
08225010      Binau                                       Gemeinde         1385               570                        82,6
08225014      Buchen               Bödigheim                                           896                390
08225014      Buchen               Eberstadt                                           536                233
08225014      Buchen               Einbach                                             188                  82
08225014      Buchen               Götzingen                                         1.115                485
08225014      Buchen               Hettingenbeuren                                     629                273
08225014      Buchen               Hollerbach                                          256                111
08225014      Buchen               Oberneudorf                                         168                  73
08225014      Buchen               Stürzemhardt                                         99                  43
08225014      Buchen               Unterneudorf                                        113                  49
08225024      Fahrenbach                                  Gemeinde         2880              1185                      85,62
08225032      Hardheim             Bretzingen                                          516                216
08225032      Hardheim             Dornberg                                            100                  42
08225032      Hardheim             Ehrfeld                                             375                157
08225032      Hardheim             Rüdental                                            102                  43
08225032      Hardheim             Rütschdorf                                           66                  28
08225032      Hardheim             Schweinberg                                         796                333
08225032      Hardheim             Vollmersdorf                                         55                  23
08225032      Hardheim             Hardheim                                          4.703              1.968
08225033      Haßmersheim                                 Gemeinde         4945              2035                      92,21
08225039      Höpfingen                                   Gemeinde         3271              1346                      82,41
08225039      Höpfingen            Waldstetten                                         572                235
08225042      Hüffenhardt                                 Gemeinde         2069               851                      70,25
08225052      Limbach                                     Gemeinde         4533              1865                      75,44
08225052      Limbach              Wagengschwend                                       553                228
08225058      Mosbach              Nüstenbach                                          243                109
08225060      Mudau                Donebach                                            385                161
08225060      Mudau                Nörschenhardt                                       170                  71
08225060      Mudau                Reisenbach                                          363                152
08225060      Mudau                Scheidental                                         454                190
08225060      Mudau                Schlossau                                           906                379
08225060      Mudau                Steinbach                                           309                129
08225064      Neckargerach                                Gemeinde         2395               986                      82,81
08225067      Neckarzimmern                               Gemeinde         1536               632                          95
08225068      Neunkirchen                                 Gemeinde         1795               739                      69,49
08225068      Neunkirchen          Neunkrichen                                       1.545                636
08225074      Obrigheim            Asbach                                              819                343
08225075      Osterburken          Bofsheim                                            413                173
08225082      Rosenberg                                   Gemeinde         2232               919                      82,86
08225091      Seckach                                     Gemeinde         4427              1822                      82,51
08225109      Walldürn             Glashofen                                           273                119
08225109      Walldürn             Gottersdorf                                         203                  88
08225109      Walldürn             Hornbach                                            210                  91
08225109      Walldürn             Kaltenbrunn                                          45                  20
08225109      Walldürn             Reinhardsachsen                                     138                  60
08225109      Walldürn             Wettersdorf                                         143                  62
08225113      Zwingenberg                                 Gemeinde          742               305                        82,6
08225114      Ravenstein                                  Stadt            3058              1258                      58,45
08225114      Ravenstein           Oberwittstadt                                       682                281
08225115      Schefflenz                                  Gemeinde         4270              1757                      75,17
08225115      Schefflenz           Unterschefflenz                                   1.348                555
08225116      Schwarzach                                  Gemeinde         3188              1312                      62,51
08225117      Elztal               Auerbach                                          1.096                459
08225117      Elztal               Dallau                                            2.343                980
08225117      Elztal               Muckental                                           523                219
08225117      Elztal               Neckarburken                                        754                316
08225117      Elztal               Rittersbach                                         754                316
08225118      Waldbrunn                                   Gemeinde         4953              2038                      81,34
08225118      Waldbrunn            Schollbronn                                         737                303



                                                       9 von 27



                                                                                                                  Bonn, 21. Oktober 2009
250

Amtsblatt der Bundesnetzagentur
                                    für Elektrizität, Gas, Telekommunikation, Post und Eisenbahnen
20 2009                                               – Regulierung, Telekommunikation –                                          3815
Mit Breitband unterversorgte Gemeinden und Teilgemeinden in Baden-Württemberg                                Prioritätsstufe 1


                                                                                                        Haus-    Verfügbarkeit
                                                                                     Einw. in
 Gemeinde-                                                                  Ein-              Haus-    halte in     1 Mbit/s
                        Gemeinde         Teilgemeinde        ArtGemeinde              Teil-
  schlüssel                                                                wohner             halte     Teil-     für Prozent
                                                                                    gemeinde
                                                                                                      gemeinde der Haushalte
 08226013     Eberbach               Brombach                                            368                160
 08226013     Eberbach               Friedrichsdorf                                      271                118
 08226013     Eberbach               Gaimühle                                            106                  46
 08226013     Eberbach               Lindach                                             261                113
 08226013     Eberbach               Schöllenbach                                         32                  14
 08226017     Epfenbach                                     Gemeinde         2521              1037                      76,68
 08226020     Eschelbronn                                   Gemeinde         2580              1062                      90,35
 08226022     Gaiberg                                       Gemeinde         2443              1005                          95
 08226027     Heddesbach                                    Gemeinde          514               212                        64,2
 08226029     Heiligkreuzsteinach                           Gemeinde         3073              1265                        81,4
 08226029     Heiligkreuzsteinach    Eiterbach                                           541                223
 08226029     Heiligkreuzsteinach    Lampenhain                                          828                341
 08226029     Heiligkreuzsteinach    Heiligkreuzsteinach                               1.460                601
 08226041     Leimen                 Gauangelloch                                      2.485              1.119
 08226046     Malsch                                        Gemeinde         3404              1401                          95
 08226048     Mauer                                         Gemeinde         3832              1577                        76,2
 08226055     Neckarbischofsheim                            Stadt            3942              1622                      91,59
 08226056     Neckargemünd           Mückenloch                                        1.208                525
 08226058     Neidenstein                                   Gemeinde         1808               744                      76,72
 08226066     Reichartshausen                               Gemeinde         2032               836                      62,65
 08226081     Schönbrunn                                    Gemeinde         2983              1228                      70,13
 08226081     Schönbrunn             Allemühl                                            420                173
 08226081     Schönbrunn             Haag                                                917                377
 08226081     Schönbrunn             Moosbrunn                                           483                199
 08226081     Schönbrunn             Schwanheim                                          569                234
 08226081     Schönbrunn             Schönbrunn                                          592                244
 08226085     Sinsheim               Adersbach                                           523                236
 08226085     Sinsheim               Reihen                                            1.900                856
 08226086     Spechbach                                     Gemeinde         1706               702                      91,03
 08226091     Waibstadt              Daisbach                                          1.236                517
 08226097     Wiesenbach                                    Gemeinde         3106              1278                          95
 08226099     Wilhelmsfeld                                  Gemeinde         3304              1360                      81,71
 08226101     Zuzenhausen                                   Gemeinde         2150               885                      76,21
 08226102     Angelbachtal                                  Gemeinde         4984              2051                      94,14
 08226104     Lobbach                                       Gemeinde         2436              1002                      90,39
 08226106     Helmstadt-Bargen                              Gemeinde         3890              1601                      77,88
 08226106     Helmstadt-Bargen       Bargen                                            1.120                461
 08235006     Altensteig             Berneck                                             500                217
 08235006     Altensteig             Hornberg                                            193                  84
 08235006     Altensteig             Wart                                                876                381
 08235008     Bad Liebenzell         Möttlingen                                        1.162                486
 08235018     Dobel                                         Gemeinde         2241               922                      54,81
 08235020     Ebhausen                                      Gemeinde         4863              2001                      73,58
 08235020     Ebhausen               Ebershardt                                          528                217
 08235020     Ebhausen               Wenden                                              215                  88
 08235022     Egenhausen                                    Gemeinde         1986               817                      84,25
 08235025     Enzklösterle                                  Gemeinde         1257               517                      74,95
 08235029     Gechingen                                     Gemeinde         3870              1593                      68,09
 08235032     Haiterbach             Beihingen                                           827                346
 08235032     Haiterbach             Oberschwandorf                                      960                402
 08235032     Haiterbach             Unterschwandorf                                     275                115
 08235035     Höfen an der Enz                              Gemeinde         1686               694                      85,52
 08235050     Neuweiler                                     Gemeinde         3191              1313                      69,41
 08235050     Neuweiler              Agenbach                                            320                132
 08235050     Neuweiler              Oberkollwangen                                      352                145
 08235050     Neuweiler              Zwerenberg                                          507                209
 08235055     Oberreichenbach                               Gemeinde         2872              1182                      82,43
 08235055     Oberreichenbach        Igelsloch                                           380                156
 08235055     Oberreichenbach        Oberkollbach                                        955                393
 08235055     Oberreichenbach        Würzbach                                            807                332
 08235055     Oberreichenbach        Oberreichenbach                                     681                280
 08235057     Ostelsheim                                    Gemeinde         2451              1009                      94,83
 08235060     Rohrdorf                                      Gemeinde         1956               805                          95
 08235067     Simmozheim                                    Gemeinde         2786              1147                      83,04
 08235073     Unterreichenbach                              Gemeinde         2306               949                      76,94
 08235079     Wildbad                Aichelberg                                          436                190
 08235079     Wildbad                Sprollenhaus                                      1.072                466



                                                        10 von 27



Bonn, 21. Oktober 2009
251

Amtsblatt der Bundesnetzagentur
                                       für Elektrizität, Gas, Telekommunikation, Post und Eisenbahnen
3816                                                   – Regulierung, Telekommunikation –                                 20 2009
Mit Breitband unterversorgte Gemeinden und Teilgemeinden in Baden-Württemberg                                   Prioritätsstufe 1


                                                                                                           Haus-    Verfügbarkeit
                                                                                        Einw. in
 Gemeinde-                                                                     Ein-              Haus-    halte in     1 Mbit/s
                       Gemeinde             Teilgemeinde        ArtGemeinde              Teil-
  schlüssel                                                                   wohner             halte     Teil-     für Prozent
                                                                                       gemeinde
                                                                                                         gemeinde der Haushalte
08235080      Wildberg                  Gültlingen                                        2.017                877
08235080      Wildberg                  Schönbronn                                          648                282
08235084      Bad Teinach-Zavelstein                           Stadt            3036              1249                        73,4
08235084      Bad Teinach-Zavelst.      Rötenbach                                           330                136
08235084      Bad Teinach-Zavelst.      Schmieh                                             133                  55
08235085      Calw                      Holzbronn                                           609                274
08236013      Engelsbrand                                      Gemeinde         4325              1780                      69,78
08236013      Engelsbrand               Salmbach                                            894                368
08236013      Engelsbrand               Engelsbrand                                       1.712                705
08236019      Friolzheim                                       Gemeinde         3664              1508                      87,93
08236025      Heimsheim                 Ost                                               2.763              1.156
08236025      Heimsheim                 West und Süd                                      2.218                928
08236028      Illingen                  Schuetzingen                                        962                403
08236031      Kieselbronn                                      Gemeinde         2984              1228                          95
08236039      Mönsheim                                         Gemeinde         2774              1142                      72,13
08236040      Mühlacker                 Grossglattbach                                    1.208                544
08236043      Neuenbürg                 Dennach                                             717                300
08236043      Neuenbürg                 Waldrennach                                         739                309
08236044      Neuhausen Enzkreis        Neuhausen Enzkreis                                1.814                759
08236050      Ötisheim                                         Gemeinde         4920              2025                          95
08236061      Sternenfels                                      Gemeinde         2824              1162                      66,73
08236061      Sternenfels               Diefenbach                                          881                363
08236062      Tiefenbronn               Lehningen                                         1.145                479
08236062      Tiefenbronn               Mühlhausen                                        1.508                631
08236065      Wiernsheim                Iptingen                                          1.152                482
08236065      Wiernsheim                Pinache                                           1.272                532
08236065      Wiernsheim                Serres                                              748                313
08236065      Wiernsheim                Wiernsheim                                        2.998              1.254
08236067      Wimsheim                                         Gemeinde         2644              1088                      90,14
08236068      Wurmberg                                         Gemeinde         2931              1206                      90,32
08236072      Straubenhardt             Langenalb                                         1.323                575
08236072      Straubenhardt             Ottenhausen                                       1.594                693
08236072      Straubenhardt             Pfinzweiler                                         857                373
08236073      Neulingen                 Nussbaum                                          1.159                485
08236075      Ölbronn-Dürrn                                    Gemeinde         3548              1460                      73,01
08237002      Alpirsbach                Ehlenbogen                                          408                171
08237002      Alpirsbach                Peterzell                                           715                299
08237002      Alpirsbach                Reinerzau                                           445                186
08237002      Alpirsbach                Reutin                                              625                262
08237002      Alpirsbach                Römlinsdorf                                         404                169
08237008      Betzweiler-Wälde          Wälde                                               503                210
08237024      Empfingen                                        Gemeinde         4122              1696                      91,82
08237024      Empfingen                 Wiesenstetten                                       552                227
08237027      Eutingen im Gäu           Weitingen                                         1.531                641
08237027      Eutingen im Gäu           Rohrdorf                                            723                303
08237027      Eutingen im Gäu           Eutingen im Gäu                                   1.635                684
08237028      Freudenstadt              Igelsberg                                           255                115
08237028      Freudenstadt              Kniebis                                             940                423
08237028      Freudenstadt              Musbach                                             818                368
08237030      Glatten                                          Gemeinde         2376              978                           95
08237030      Glatten                   Böffingen                                           246                101
08237030      Glatten                   Neuneck                                             231                  95
08237032      Grömbach                                         Gemeinde          681              280                       78,43
08237032      Grömbach                                                                      617                254
08237040      Horb                      Betra                                             1.098                495
08237040      Horb                      Bittelbronn                                         571                257
08237040      Horb                      Dettensee                                           439                198
08237040      Horb                      Dettingen                                         1.700                766
08237040      Horb                      Dettlingen                                          359                162
08237040      Horb                      Diessen                                             496                223
08237045      Loßburg                   Schömberg                                           407                170
08237045      Loßburg                   Sterneck                                            295                123
08237045      Loßburg                   Vierundzwanzig Höfe                                 335                140
08237045      Loßburg                   Wittendorf                                        1.147                480
08237054      Pfalzgrafenweiler         Edelweiler                                          251                105
08237054      Pfalzgrafenweiler         Herzogsweiler                                       656                274
08237054      Pfalzgrafenweiler         Kälberbronn                                         228                  95



                                                           11 von 27



                                                                                                                      Bonn, 21. Oktober 2009
252

Zur nächsten Seite