abl-20

Dieses Dokument ist Teil der Anfrage „Amtsblätter bis 2018

/ 768
PDF herunterladen
Amtsblatt der Bundesnetzagentur
                                        für Elektrizität, Gas, Telekommunikation, Post und Eisenbahnen
3912                                                    – Regulierung, Telekommunikation –                           20 2009
Mit Breitband unterversorgte Städte und Gemeinden in Hessen                                               Prioritätsstufe 1


                                                                                                                Nominale
                                                                                                              Verfügbarkeit
                                                                                                    Ver-
       Gemeinde-                                                               Anzahl   Anzahl                 von mind.
 Nr.                          Ort                           Ortsteil                             sorgungs-
       schlüssel                                                             Einwohner Haushalte               1 Mbit/s in
                                                                                                    grad
                                                                                                                 Anzahl
                                                                                                               Haushalten
                                              Niederlauken                          462       221     94,00            208
                                              Oberlauken                            365       175     94,00            164
                                              Riedelbach                          1.064       509     94,00            479
                                              Rod an der Weil                       865       414     94,00            389
                                              Winden                                189        90     94,00              85
 186   439 006 Hohenstein                                                         6.185               66,48
                                              Burg-Hohenstein                       597        286    66,48            190
                                              Steckenroth                           543        260    66,48            173
                                              Strinz-Margarethä                   1.137        544    66,48            362
 187   633 006 Bad Emstal                                                         6.157      2.946    82,66           2435
                                              Balhorn                             1.739        832    82,66            688
 188   635 019 Vöhl                                                               6.134               70,77
                                              Buchenberg                            460       220     70,77            156
                                              Ederbringhausen                       321       154     70,77            109
                                              Niederorke                            123        59     70,77             42
                                              Oberorke                               96        46     70,77             33
                                              Schmittlotheim                        290       139     70,77             98
                                              Obernburg                             430       206     70,77            146
 189   439 001 Aarbergen                                                          6.104               90,00
                                              Kettenbach                          1.614       772     90,00            695
                                              Hausen über Aar                       673       322     90,00            290
                                              Rückershausen                         891       426     90,00            384
                                              Daisbach                              519       248     90,00            223
                                              Panrod                                692       331     90,00            298
 190   631 010 Gersfeld (Rhön), St.                                               6.065               79,34
                                              Altenfeld                             166        79     79,34             63
                                              Dalherda                              419       200     79,34            159
                                              Gichenbach                            193        92     79,34             73
                                              Maiersbach                            309       148     79,34            117
                                              Mosbach                               188        90     79,34             71
                                              Obernhausen                            65        31     79,34             25
                                              Obernhausen-Wasserkuppe                65        31     79,34             25
                                              Rengersfeld                           162        78     79,34             61
                                              Rommers                                97        46     79,34             37
 191   532 005 Dietzhölztal                                                       6.027               59,70
                                              Ewersbach                           2.964      1.418    59,70            847
                                              Steinbrücken                          936        448    59,70            267
                                              Mandeln                             1.278        611    59,70            365
                                              Rittershausen                         895        428    59,70            256
 192   633 010 Grebenstein, St.                                                   6.006               81,00
                                              Grebenstein                         4.314      2.064    81,00           1672
                                              Udenhausen                          1.074        514    81,00            416
                                              Burguffeln                            641        307    81,00            248
                                              Schachten                             382        183    81,00            148
 193   533 011 Mengerskirchen, Marktflecken                                       5.902               80,76
                                              Waldernbach                         1.687       807     80,76            652
 194   440 006 Echzell                                                            5.859               86,90
                                              Bingenheim                          1.589        760    86,90            661
                                              Bisses                                707        338    86,90            294
                                              Echzell                             2.773      1.327    86,90           1153
                                              Gettenau                            1.045        500    86,90            435
                                              Grund-Schwalheim                       27         13    86,90             11
 195   532 016 Leun, St.                                                          5.834      2.791    78,56
                                              Leun mit Lahnbahnhof                2.761      1.321    78,56           1038
                                              Biskirchen                          1.612        771    78,56            606
                                              Bissenberg                            800        383    78,56            301
                                              Stockhausen                         1.036        496    78,56            389
 196   533 016 Waldbrunn (Westerwald)                                             5.791               87,31
                                              Ellar                               1.421       680     87,31            594
                                              Hausen                              1.358       650     87,31            567
                                              Fussingen                             782       374     87,31            327
                                              Lahr                                1.384       662     87,31            578
                                              Hintermeilingen                     1.256       601     87,31            525
 197   632 012 Ludwigsau                                                          5.762              100,00
                                              Friedlos                            1.686       807     94,00            758
                                              Gerterode                             343       164     94,00            154
                                              Ersrode                               459       220     94,00            206
                                              Hainrode                               82        39     94,00             37
                                              Biedebach                             140        67     94,00             63
 198   533 001 Beselich                                                           5.729               83,97
                                              Heckholzhausen                      1.066        510    83,97            428
                                              Niedertiefenbach                    1.016        486    83,97            408
                                              Obertiefenbach                      2.441      1.168    83,97            981
                                              Schupbach                           1.075        514    83,97            432
 199   633 012 Helsa                                                              5.662               77,70



                                                            17 von 21



                                                                                                                 Bonn, 21. Oktober 2009
348

Amtsblatt der Bundesnetzagentur
                                         für Elektrizität, Gas, Telekommunikation, Post und Eisenbahnen
20 2009                                                 – Regulierung, Telekommunikation –                                    3913
 Mit Breitband unterversorgte Städte und Gemeinden in Hessen                                              Prioritätsstufe 1


                                                                                                                Nominale
                                                                                                              Verfügbarkeit
                                                                                                     Ver-
        Gemeinde-                                                               Anzahl   Anzahl                von mind.
  Nr.                           Ort                        Ortsteil                               sorgungs-
        schlüssel                                                             Einwohner Haushalte              1 Mbit/s in
                                                                                                     grad
                                                                                                                 Anzahl
                                                                                                               Haushalten
                                               Helsa                                2.243    1.073    77,70            834
                                               Wickenrode                           1.367      654    77,70            508
                                               St. Ottilien                           283      135    77,70            105
                                               Eschenstruth mit Waldhof             1.851      886    77,70            688
  200   635 001 Allendorf (Eder)                                                    5.662             54,02
                                               Osterfeld                              170      81     54,02             44
  201   440 015 Münzenberg, St.                                                     5.636             72,58
                                               Gambach                              3.235    1.548    72,58           1123
  202   534 013 Lohra                                                               5.630             59,60
                                               Lohra                                2.554    1.222    59,60            728
                                               Altenvers                              602      288    59,60            172
                                               Damm/Etzelmühle                        259      124    59,60             74
                                               Kirchvers                              992      475    59,60            283
                                               Nanz/Willershausen                     277      133    59,60             79
                                               Reimershausen                          140       67    59,60             40
                                               Rodenhausen                            242      116    59,60             69
                                               Rollhausen                             311      149    59,60             89
                                               Seelbach                                78       37    59,60             22
                                               Weipoltshausen                         615      294    59,60            175
  203   635 004 Battenberg (Eder), St.                                              5.577             61,30
                                               Berghofen                              330     158     61,30             97
                                               Dodenau (inkl. Außengehöfte)         1.450     694     61,30            425
                                               Frohnhausen                            420     201     61,30            123
  204   439 016 Waldems                                                             5.575             70,41
                                               Esch                                 1.171     560     70,41            394
                                               Bermbach                             1.530     732     70,41            515
                                               Niederems                              810     388     70,41            273
                                               Reichenbach                            574     275     70,41            193
                                               Steinfischbach                       1.251     599     70,41            421
                                               Wüstems                                480     230     70,41            162
  205   632 015 Niederaula                                                          5.504             62,12
                                               Solms                                   96      46     62,12             29
                                               Niederjossa                            742     355     62,12            221
                                               Hattenbach                             608     291     62,12            181
                                               Kerspenhausen                          833     399     62,12            248
                                               Hilpershausen                           99      47     62,12             29
  206   635 008 Diemelstadt, St.                                                    5.440             71,79
                                               Wrexen                               1.754      839    71,79            602
                                               Helmighausen                           394      189    71,79            135
  207   634 018 Niedenstein, St.                                                    5.393    2.580    76,42
                                               Ermetheis                              624      299    76,42            228
                                               Kirchberg                              809      387    76,42            296
                                               Metze                                  864      413    76,42            316
                                               Niedenstein                           1930      923    76,42            706
                                               Wichdorf                              1189      569    76,42            435
  208   440 014 Limeshain                                                           5.379             72,44
                                               Hainchen                             1.340      641    72,44            464
                                               Himbach                              1.685      806    72,44            584
                                               Rommelhausen                         2.609    1.248    72,44            904
  209   434 003 Glashütten                                                          5.366    2.567    87,52
                                               Glashütten                           2.028      970    87,52            849
  210   633 025 Trendelburg, St.                                                    5.361    2.565    64,92
                                               Wülmersen                 Wasserschloss                64,92              0
                                               Langenthal                             774     370     64,92            240
                                               Gottsbüren                             872     417     64,92            271
                                               Sielen                                 582     278     64,92            181
                                               Eberschütz                             670     321     64,92            208
  211   636 014 Wehretal                                                            5.347             89,03
                                               Hoheneiche                             626      300    89,03            267
                                               Langenhain                             631      302    89,03            269
                                               Oetmannshausen                         300      144    89,03            128
                                               Reichensachsen                        3427    1.640    89,03           1460
                                               Vierbach                               279      133    89,03            119
  212   634 008 Guxhagen                                                            5.307             84,69
                                               Albshausen                             402      192    84,69            163
                                               Büchenwerra                            186       89    84,69             75
                                               Ellenberg                              687      329    84,69            278
                                               Grebenau                               281      134    84,69            114
                                               Guxhagen                              3182    1.522    84,69           1289
                                               Wollrode                               610      292    84,69            247
  213   633 018 Naumburg, St.                                                       5.299    2.535    75,23
                                               Altenstädt                           1.118      535    75,23            402
                                               Elbenberg mit Waldhof                1.191      570    75,23            429
                                               Altendorf                              231      111    75,23             83
                                               Heimarshausen                          395      189    75,23            142



                                                           18 von 21



Bonn, 21. Oktober 2009
349

Amtsblatt der Bundesnetzagentur
                                       für Elektrizität, Gas, Telekommunikation, Post und Eisenbahnen
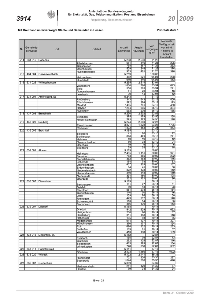
3914                                                    – Regulierung, Telekommunikation –                           20 2009
Mit Breitband unterversorgte Städte und Gemeinden in Hessen                                               Prioritätsstufe 1


                                                                                                                Nominale
                                                                                                              Verfügbarkeit
                                                                                                    Ver-
       Gemeinde-                                                               Anzahl   Anzahl                 von mind.
 Nr.                             Ort                        Ortsteil                             sorgungs-
       schlüssel                                                             Einwohner Haushalte               1 Mbit/s in
                                                                                                    grad
                                                                                                                 Anzahl
                                                                                                               Haushalten
 214   531 015 Rabenau                                                            5.288      2.530    71,26
                                             Allertshausen                          661        316    71,26            225
                                             Geilshausen                            768        367    71,26            262
                                             Odenhausen                             509        244    71,26            174
                                             Rüdingshausen                          963        461    71,26            328
 215   434 004 Grävenwiesbach                                                     5.259              100,00
                                             Heinzenberg                            462        221    94,00            208
                                             Hundstadt                              919        440    94,00            413
 216   634 026 Willingshausen                                                     5.255      2.514    83,94
                                             Wasenberg                            1.600        766    83,94            643
                                             Zella                                  550        263    83,94            221
                                             Gungelshausen                           41         20    83,94             16
                                             Leimbach                                30         14    83,94             12
 217   534 001 Amöneburg, St.                                                     5.243               61,19
                                             Amöneburg                             1343        643    62,19            400
                                             Erfurtshausen                          572        274    63,19            173
                                             Mardorf                               1465        701    64,19            450
                                             Roßdorf                               1264        605    65,19            394
                                             Rüdigheim                              583        279    66,19            185
 218   437 003 Brensbach                                                          5.230      2.502    92,55
                                             Stierbach                              375        179    93,55            168
                                             Nieder-Kainsbach                       375        179    94,55            170
 219   435 020 Neuberg                                                            5.224      2.500    92,28
                                             Ravolzhausen                         3.821      1.828    93,28           1705
                                             Rüdigheim                            1.802        862    94,28            813
 220   435 005 Brachttal                                                          5.195               63,10
                                             Spielberg                               41        20     63,10             12
                                             Schlierbach                            896       429     63,10            271
                                             Hellstein                               40        19     63,10             12
                                             Neuenschmitden                          80        38     63,10             24
                                             Udenhain                                19         9     63,10              6
                                             Streitberg                              59        28     63,10             18
 221   632 001 Alheim                                                             5.189               80,00
                                             Heinebach                            2.405      1.151    80,00            921
                                             Baumbach                               763        365    80,00            292
                                             Sterkelshausen                         382        183    80,00            146
                                             Licherode                              164         78    80,00             63
                                             Oberellenbach                          437        209    80,00            167
                                             Erdpenhausen                            94         45    80,00             36
                                             Niederellenbach                        372        178    80,00            142
                                             Hergershausen                          310        148    80,00            119
                                             Niedergude                             334        160    80,00            128
                                             Obergude                               252        121    80,00             96
 222   635 007 Diemelsee                                                          5.189               66,11
                                             Benkhausen                             161        77     66,11             51
                                             Deisfeld                                89        43     66,11             28
                                             Flechtdorf                             581       278     66,11            184
                                             Giebrighausen                          146        70     66,11             46
                                             Ottlar                                 159        76     66,11             50
                                             Rhenegge                               443       212     66,11            140
                                             Schweinsbühl                           113        54     66,11             36
                                             Stormbruch                             356       170     66,11            113
 223   532 007 Driedorf                                                           5.168               70,14
                                             Driedorf                              1942       929     70,14            652
                                             Heiligenborn                           200        96     70,14             67
                                             Heisterberg                            351       168     70,14            118
                                             Hohenroth                              195        93     70,14             65
                                             Mademühlen                             914       437     70,14            307
                                             Münchhausen                            370       177     70,14            124
                                             Roth                                   694       332     70,14            233
                                             Seilhofen                              169        81     70,14             57
                                             Waldaubach                             413       198     70,14            139
 224   431 015 Lindenfels, St.                                                    5.152               92,87
                                             Eulsbach                               165        79     92,87             73
                                             Glattbach                              262       125     92,87            116
                                             Seidenbuch                             415       199     92,87            184
                                             Winterkasten                           748       358     92,87            332
 225   633 011 Habichtswald                                                       5.151               87,16
                                             Dörnberg                             2.403      1.150    87,16           1002
 226   632 020 Wildeck                                                            5.102      2.441    85,35
                                             Richelsdorf                            702        336    85,35            287
                                             Bosserode                            1.044        500    85,35            426
 227   535 007 Grebenhain                                                         5.069               64,32
                                             Hartmannshain                          251       120     64,32             77
                                             Heisters                                79        38     64,32             24



                                                            19 von 21



                                                                                                                 Bonn, 21. Oktober 2009
350

Amtsblatt der Bundesnetzagentur
                                               für Elektrizität, Gas, Telekommunikation, Post und Eisenbahnen
20 2009                                                       – Regulierung, Telekommunikation –                                    3915
 Mit Breitband unterversorgte Städte und Gemeinden in Hessen                                                    Prioritätsstufe 1


                                                                                                                     Nominale
                                                                                                                   Verfügbarkeit
                                                                                                          Ver-
        Gemeinde-                                                                    Anzahl   Anzahl                von mind.
  Nr.                             Ort                               Ortsteil                           sorgungs-
        schlüssel                                                                  Einwohner Haushalte              1 Mbit/s in
                                                                                                          grad
                                                                                                                      Anzahl
                                                                                                                    Haushalten
                                                     Herchenhain                          428        205   64,32            132
                                                     Hochwaldhausen                       580        278   64,32            178
                                                     Ilbeshausen                          580        278   64,32            178
                                                     Metzlos-Gehaag                       155         74   64,32              48
                                                     Nösberts-Weidmoos                    214        102   64,32              66
                                                     Volkartshain                         153         73   64,32              47
                                                     Wünschen-Moos                         44         21   64,32              14
                                                     Zahmen                               136         65   64,32              42
  228   532 022 Waldsolms                                                               5.052      2.417   46,62
                                                     Hasselborn                           374        179   46,62             83
                                                     Weiperfelden                         285        136   46,62             64
                                                     Kraftsolms                           822        393   46,62            183
  229   633 024 Söhrewald                                                               5.036      2.410   89,82
                                                     Eiterhagen                           637        305   89,82            274
                                                     Wattenbach                         1.105        529   89,82            475
  230   532 004     Breitscheid                                                         4990       2127    81,72           1738
  231   532013      Hohenahr                                                             4964       2130   58,00           1235
  232   535 008     Herbstein, St.                                                       4963       2142   63,09           1351
  233   532 017     Mittenaar                                                            4962       2116   76,17           1612
  234   432 013     Modautal                                                             4937       2050   88,03           1805
  235   635 006     Burgwald                                                            4936       2124    72,83           1547
  236   440 020     Ranstadt                                                             4933       2054   91,00           1869
  237   633 007     Espenau                                                              4924       2033   63,45           1290
  238   633 022     Reinhardshagen                                                      4850       2115    94,18           1992
  239   435 013     Hammersbach                                                         4801       1965    92,44           1816
  240   631 012     Hilders                                                             4801       2008    74,03           1487
  241   634 011     Knüllwald                                                           4727       2023    80,31           1625
  242   632 019     Schenklengsfeld                                                     4649       1932    65,10           1258
  243   631 014     Hosenfeld                                                           4633       1940    72,06           1398
  244   533 019     Weinbach                                                             4616       1970   80,00           1576
  245   635 018     Twistetal                                                            4608       1933   76,94           1487
  246   534 017     Rauschenberg, St.                                                    4578       1921   57,88           1112
  247   432 009     Groß-Bieberau, St.                                                   4574       1910   85,19           1627
  248   631 004     Ebersburg                                                            4557       1894   60,40           1144
  249   631 023     Tann (Rhön), St.                                                     4552       1907   83,24           1587
  250   534 019     Steffenberg                                                          4331       1790   62,44           1118
  251   632 016     Philippsthal (Werra)                                                4325       1839    85,36           1570
  252   533 010     Löhnberg                                                            4319       1806    61,71           1114
  253   635 016     Lichtenfels, St.                                                     4197       1769   62,80           1111
  254   634 013     Malsfeld                                                             4185       1748   76,41           1336
  255   634 027     Bad Zwesten                                                          4128       1725   82,26           1419
  256   531 001     Allendorf (Lumda), St.                                               4063       1691   71,34           1206
  257   534 009     Fronhausen                                                          4035       1690    52,10            880
  258   635 012     Gemünden (Wohra), St.                                                4030       1700   69,41           1180
  259   535 019     Wartenberg                                                           3982       1664   86,03           1432
  260   431 008     Gorxheimertal                                                       3961       1691    88,66           1499
  261   439 010     Lorch, St.                                                           3933       1679   73,12           1228
  262   431 018     Neckarsteinach, St.                                                  3810       1582   89,98           1423
  263   431 009     Grasellenbach                                                       3759       1583    90,00           1425
  264   632 011     Kirchheim                                                           3751       1610    65,84           1060
  265   431 010     Groß-Rohrheim                                                       3736       1570    81,61           1281
  266   633 004     Breuna                                                               3708       1557   62,35            971
  267   437 005     Brombachtal                                                          3703       1525   91,00           1388
  268   634 015     Morschen                                                             3690       1581   71,93           1137
  269   635 013     Haina (Kloster)                                                     3650       1532    70,00           1072
  270   431 012     Hirschhorn (Neckar), St.                                             3632       1510   69,44           1049
  271   435 016     Jossgrund                                                            3604       1513   79,17           1198
  272   534 002     Angelburg                                                            3580       1512   61,89            936
  273   534 015     Münchhausen                                                         3506       1465    64,34            943
  274   633 021     Oberweser                                                            3470       1463   66,07            967
  275   635 010     Frankenau, St.                                                       3432       1421   57,50            817
  276   532 002     Bischoffen                                                           3427       1468   75,71           1111
  277   533 012     Merenberg, Marktflecken                                             3366       1417    91,00           1289
  278   633 016     Liebenau, St.                                                        3364       1436   42,90            616
  279   631 003     Dipperz                                                              3355       1378   55,57            766
  280   535 004     Freiensteinau                                                       3349       1407    57,78            813
  281   634 006     Gilserberg                                                          3345       1386    72,25           1001
  282   535 010     Kirtorf, St.                                                         3344       1438   68,14            980
  283   632 010     Hohenroda                                                           3334       1382    65,14            900
  284   635 014     Hatzfeld (Eder), St.                                                 3317       1384   86,39           1196
  285   634 021     Schrecksbach                                                         3277       1376   83,83           1154
  286   435 024     Ronneburg                                                           3253       1341    76,10           1021
  287   634 019     Oberaula                                                             3245       1377   71,30            982
  288   636 008     Meißner                                                              3244       1371   94,00           1289
  289   632 007     Hauneck                                                              3234       1373   94,00           1291



                                                                    20 von 21



Bonn, 21. Oktober 2009
351

Amtsblatt der Bundesnetzagentur
                                        für Elektrizität, Gas, Telekommunikation, Post und Eisenbahnen
3916                                                  – Regulierung, Telekommunikation –                          20 2009
Mit Breitband unterversorgte Städte und Gemeinden in Hessen                                              Prioritätsstufe 1


                                                                                                             Nominale
                                                                                                           Verfügbarkeit
                                                                                                  Ver-
       Gemeinde-                                                             Anzahl   Anzahl                von mind.
 Nr.                           Ort                        Ortsteil                             sorgungs-
       schlüssel                                                           Einwohner Haushalte              1 Mbit/s in
                                                                                                  grad
                                                                                                              Anzahl
                                                                                                            Haushalten
 290   634 016     Neuental                                                     3221       1381    71,01            981
 291   636 010     Ringgau                                                      3202       1359    94,00           1277
 292   632 014     Neuenstein                                                   3168       1305    59,13            772
 293   440 010     Glauburg                                                     3153       1313    63,92            839
 294   535 018     Ulrichstein, St.                                             3148       1333    49,65            662
 295   632 008     Haunetal                                                     3116       1315    80,87           1063
 296   631 001     Bad Salzschlirf                                              3000       1277    89,02           1137
 297   535 005     Gemünden (Felda)                                             2996       1289    54,75            706
 298   535 017     Schwalmtal                                                   2975       1271    71,75            912
 299   632 013     Nentershausen                                                2955       1250    65,49            819
 300   535 014     Romrod, St.                                                  2920       1236    86,49           1069
 301   634 012     Körle                                                        2905       1216    80,37            977
 302   631 019     Nüsttal                                                      2880       1193    51,19            611
 303   440 011     Hirzenhain                                                   2865       1203    61,37            738
 304   440 013     Kefenrod                                                     2844       1233    62,70            773
 305   532 019     Siegbach                                                     2824       1202    64,87            780
 306   535 003     Feldatal                                                     2707       1164    83,02            966
 307   631 005     Ehrenberg (Rhön)                                             2701       1125    91,25           1027
 308   535 006     Grebenau, St.                                                2623       1112    66,18            736
 309   631 021     Poppenhausen (Wasserkuppe)                                   2618       1099    81,96            901
 310   634 010     Jesberg                                                      2572       1083    70,28            761
 311   437 012     Mossautal                                                    2546       1057    82,11            868
 312   535 012     Lautertal (Vogelsberg)                                       2530       1068    76,53            817
 313   435 008     Flörsbachtal                                                 2527       1058    82,53            873
 314   431 001     Abtsteinach                                                  2457       1000    60,61             606
 315   437 014     Rothenberg                                                   2451       1033    82,88            856
 316   533 005     Elbtal                                                       2439       1043    73,13            763
 317   632 006     Friedewald                                                   2426       1019    65,13            664
 318   534 022     Wohratal                                                     2421       1027    64,48            662
 319   632 017     Ronshausen                                                   2417       1025    94,00            964
 320   634 020     Ottrau                                                       2378       1004    50,38            506
 321   633 027     Wahlsburg                                                    2305        986    78,59            775
 322   635 017     Rosenthal, St.                                               2254        927    85,63            794
 323   535 002     Antrifttal                                                   2087        865    76,75            664
 324   635 005     Bromskirchen                                                 1932        800    79,03            632
 325   632 004     Breitenbach a. Herzberg                                      1818        785    91,99            722
 326   633 019     Nieste                                                       1800        742    82,14            609
 327   632 005     Cornberg                                                     1592        669    86,17            576
 328   634 023     Schwarzenborn, St.                                           1110        479    67,07            321
 329   437 015     Sensbachtal                                                  1005        426    72,48            309
 330   437 008     Hesseneck                                                     658        281    78,78            221


keine Städte oder Gemeinden für Prioritätsstufen 2 - 4 angegeben




                                                          21 von 21



                                                                                                              Bonn, 21. Oktober 2009
352

Amtsblatt der Bundesnetzagentur
                                             für Elektrizität, Gas, Telekommunikation, Post und Eisenbahnen
20 2009                                                      – Regulierung, Telekommunikation –                                          3917
 Mit Breitband unterversorgte Städte und Gemeinden in Mecklenburg-Vorpommern                                         Prioritätsstufe 1



                                                                                                          Verfügbarkeit
                                                                                                                        Verfügbarkeit
        Gemeinde-                                                                           Ein- Haus-       1 Mbit/s
                       Gemeinden der Prioritätsstufe 1      ArtGemeinde      Prägung                                       1 Mbit/s
         schlüssel                                                                         wohner halte    für Prozent
                                                                                                                        für Haushalte
                                                                                                          der Haushalte
    1   13051001     Admannshagen-Bargeshagen            Gemeinde          halbstädtisch     2859 1206               95         1146
    2   13062001     Ahlbeck                             Gemeinde          ländlich           756 319             52,56          168
    3   13057102     Ahrenshagen-Daskow                  Gemeinde          ländlich          2145 905             80,75          731
    4   13057002     Ahrenshoop                          Gemeinde          halbstädtisch      763 322              92,2          297
    5   13051002     Alt Bukow                           Gemeinde          ländlich           543 229             74,88          171
    6   13054001     Alt Krenzlin                        Gemeinde          ländlich           832 351             64,73          227
    7   13058001     Alt Meteln                          Gemeinde          ländlich          1349 569             70,59          402
    8   13056002     Alt Rehse                           Gemeinde          ländlich           334 141             68,12           96
    9   13056004     Alt Schwerin                        Gemeinde          ländlich           565 238             89,64          213
   10   13053002     Alt Sührkow                         Gemeinde          ländlich           462 195                 0            0
   11   13052001     Alt Tellin                          Gemeinde          ländlich           494 208             80,92          168
   12   13054002     Alt Zachun                          Gemeinde          ländlich           394 166             54,42           90
   13   13061001     Altefähr                            Gemeinde          ländlich          1261 532             80,46          428
   14   13052002     Altenhagen                          Gemeinde          ländlich           361 152             43,85           67
   15   13056005     Altenhof                            Gemeinde          ländlich           408 172             52,23           90
   16   13061002     Altenkirchen                        Gemeinde          ländlich          1065 449             82,79          372
   17   13057005     Altenpleen                          Gemeinde          ländlich          1004 424             66,05          280
   18   13053003     Altkalen                            Gemeinde          ländlich           920 388               4,5           17
   19   13062002     Altwarp                             Gemeinde          ländlich           578 244             59,58          145
   20   13062003     Altwigshagen                        Gemeinde          ländlich           393 166             79,49          132
   21   13051087     Am Salzhaff                         Gemeinde          ländlich           510 215             74,82          161
   22   13056006     Ankershagen                         Gemeinde          ländlich           673 284              22,9           65
   23   13061003     Baabe                               Gemeinde          halbstädtisch      895 378             89,28          337
   24   13058003     Bad Kleinen                         Gemeinde          halbstädtisch     3707 1564            91,14         1425
   25   13057006     Bad Sülze                           Stadt             ländlich          1838 776             80,71          626
   26   13058004     Badow                               Gemeinde          ländlich           387 163                 0            0
   27   13054003     Balow                               Gemeinde          ländlich           346 146                 0            0
   28   13059003     Bandelin                            Gemeinde          ländlich           672 284             88,85          252
   29   13054004     Bandenitz                           Gemeinde          ländlich           506 214             55,51          119
   30   13060001     Banzkow                             Gemeinde          ländlich          2132 900             53,84          485
   31   13059005     Bargischow                          Gemeinde          ländlich           388 164             84,13          138
   32   13060094     Barkhagen                           Gemeinde          ländlich           611 258                 0            0
   33   13058005     Barnekow                            Gemeinde          ländlich           654 276              78,9          218
   34   13060003     Barnin                              Gemeinde          ländlich           479 202             87,34          176
   35   13057008     Bartelshagen II b. Barth            Gemeinde          ländlich           436 184             73,64          135
   36   13051006     Bartenshagen-Parkentin              Gemeinde          ländlich          1261 532                95          505
   37   13052004     Bartow                              Gemeinde          ländlich           587 248             56,92          141
   38   13052005     Basedow                             Gemeinde          ländlich           780 329             74,25          244
   39   13051007     Bastorf                             Gemeinde          ländlich          1153 486             84,97          413
   40   13053004     Baumgarten                          Gemeinde          ländlich           972 410             64,33          264
   41   13052007     Beggerow                            Gemeinde          ländlich           630 266             92,56          246
   42   13057011     Behnkendorf                         Gemeinde          ländlich           387 163             77,23          126
   43   13053005     Behren-Lübchin                      Gemeinde          ländlich           662 279             68,92          192
   44   13054007     Belsch                              Gemeinde          ländlich           254 107             70,04           75
   45   13054127     Bengerstorf                         Gemeinde          ländlich           598 252             55,08          139
   46   13051008     Benitz                              Gemeinde          ländlich           378 159             26,55           42
   47   13051009     Bentwisch                           Gemeinde          halbstädtisch     2567 1083               95         1029
   48   13052008     Bentzin                             Gemeinde          ländlich           949 400             77,71          311
   49   13058007     Benz                                Gemeinde          ländlich           636 268             76,78          206
   50   13059007     Benz                                Gemeinde          ländlich           984 415             63,33          263
   51   13062005     Bergholz                            Gemeinde          ländlich           408 172              81,5          140
   52   13053007     Bernitt                             Gemeinde          ländlich          1842 777             67,89          528
   53   13058008     Bernstorf                           Gemeinde          ländlich           344 145              79,3          115
   54   13055002     Beseritz                            Gemeinde          ländlich           160   68            74,36           51
   55   13054009     Besitz                              Gemeinde          ländlich           512 216              35,6           77
   56   13058009     Bibow                               Gemeinde          ländlich           392 165              3,62            6
   57   13051010     Biendorf                            Gemeinde          ländlich          1294 546             74,99          409
   58   13060004     Blankenberg                         Gemeinde          ländlich           451 190             54,66          104
   59   13051011     Blankenhagen                        Gemeinde          ländlich           871 368             88,56          326
   60   13055003     Blankenhof                          Gemeinde          ländlich           722 305                95          290
   61   13055004     Blankensee                          Gemeinde          ländlich          1907 805              6,76           54
   62   13062007     Blankensee                          Gemeinde          ländlich           584 246                 0            0
   63   13054010     Blievenstorf                        Gemeinde          ländlich           490 207             70,61          146
   64   13058010     Blowatz                             Gemeinde          ländlich          1186 500             45,35          227
   65   13062008     Blumenhagen                         Gemeinde          ländlich           372 157             66,26          104
   66   13055005     Blumenholz                          Gemeinde          ländlich           858 362             70,94          257



                                                                1 von 12



Bonn, 21. Oktober 2009
353

Amtsblatt der Bundesnetzagentur
                                            für Elektrizität, Gas, Telekommunikation, Post und Eisenbahnen
3918                                                        – Regulierung, Telekommunikation –                                   20 2009
Mit Breitband unterversorgte Städte und Gemeinden in Mecklenburg-Vorpommern                                             Prioritätsstufe 1



                                                                                                             Verfügbarkeit
                                                                                                                           Verfügbarkeit
       Gemeinde-                                                                              Ein- Haus-        1 Mbit/s
                      Gemeinden der Prioritätsstufe 1      ArtGemeinde         Prägung                                        1 Mbit/s
        schlüssel                                                                            wohner halte     für Prozent
                                                                                                                           für Haushalte
                                                                                                             der Haushalte
  67   13058114     Bobitz                              Gemeinde             ländlich          2735   1154            79,1          913
  68   13054011     Bobzin                              Gemeinde             ländlich           297    125           73,87           92
  69   13053008     Boddin                              Gemeinde             ländlich           372    157           69,26          109
  70   13058012     Boiensdorf                          Gemeinde             ländlich           520    219           45,02           99
  71   13059009     Boldekow                            Gemeinde             ländlich           604    255           70,79          181
  72   13056007     Bollewick                           Gemeinde             ländlich           416    176           80,09          141
  73   13058014     Boltenhagen                         amtsfreie Gemeinde   halbstädtisch     2514   1061           74,36          789
  74   13062009     Boock                               Gemeinde             ländlich           618    261           76,92          201
  75   13051013     Börgerende-Rethwisch                Gemeinde             halbstädtisch     1741    735           72,28          531
  76   13060005     Borkow                              Gemeinde             ländlich           536    226           78,06          176
  77   13052093     Borrentin                           Gemeinde             ländlich          1005    424           51,92          220
  78   13058015     Börzow                              Gemeinde             ländlich           753    318           78,86          251
  79   13054014     Brahlstorf                          Gemeinde             ländlich           756    319            46,6          149
  80   13057014     Brandshagen                         Gemeinde             ländlich          1264    533            86,4          460
  81   13052010     Bredenfelde                         Gemeinde             ländlich           194     82               0            0
  82   13061006     Breege                              Gemeinde             ländlich           793    335           83,88          281
  83   13052011     Breesen                             Gemeinde             ländlich           584    246           87,01          214
  84   13052012     Breest                              Gemeinde             ländlich           181     76           44,33           34
  85   13054015     Brenz                               Gemeinde             ländlich           555    234           71,01          166
  86   13054017     Bresegard bei Eldena                Gemeinde             ländlich           241    102           69,41           71
  87   13054016     Bresegard bei Picher                Gemeinde             ländlich           354    149           44,52           66
  88   13052013     Briggow                             Gemeinde             ländlich           373    157           73,53          115
  89   13051014     Bröbberow                           Gemeinde             ländlich           495    209           26,51           55
  90   13051015     Broderstorf                         Gemeinde             halbstädtisch     3053   1288           54,45          701
  91   13060006     Broock                              Gemeinde             ländlich           407    172           74,15          128
  92   13060007     Brüel                               Stadt                halbstädtisch     3022   1275           81,15         1035
  93   13055008     Brunn                               Gemeinde             ländlich          1191    503           63,15          318
  94   13054018     Brunow                              Gemeinde             ländlich           383    162           61,84          100
  95   13059011     Brünzow                             Gemeinde             ländlich           705    297           79,93          237
  96   13058016     Brüsewitz                           Gemeinde             ländlich          2290    966           90,58          875
  97   13060095     Buchberg                            Gemeinde             ländlich           631    266           68,44          182
  98   13059012     Buddenhagen                         Gemeinde             ländlich           456    192               0            0
  99   13059013     Bugewitz                            Gemeinde             ländlich           319    135           31,31           42
 100   13060008     Bülow                               Gemeinde             ländlich           394    166           10,88           18
 101   13055009     Burg Stargard                       Stadt                halbstädtisch     4524   1909            75,4         1439
 102   13052015     Burow                               Gemeinde             ländlich          1129    476           51,39          245
 103   13056009     Bütow                               Gemeinde             ländlich           499    211           72,11          152
 104   13059015     Butzow                              Gemeinde             ländlich           468    197           85,13          168
 105   13060009     Cambs                               Gemeinde             ländlich           734    310           52,63          163
 106   13051016     Cammin                              Gemeinde             ländlich           846    357           79,64          284
 107   13055010     Cammin                              Gemeinde             ländlich           322    136           80,36          109
 108   13051088     Carinerland                         Gemeinde             ländlich          1219    514           81,67          420
 109   13058018     Carlow                              Gemeinde             ländlich          1293    546           73,36          401
 110   13055011     Carpin                              Gemeinde             ländlich           989    417           50,23          209
 111   13055012     Cölpin                              Gemeinde             ländlich           882    372           83,64          311
 112   13058019     Cramonshagen                        Gemeinde             ländlich           565    238           72,97          174
 113   13060010     Crivitz                             Stadt                ländlich          4806   2028            87,3         1770
 114   13060011     Dabel                               Gemeinde             ländlich          1458    615           78,57          483
 115   13052016     Daberkow                            Gemeinde             ländlich           408    172           57,08           98
 116   13053015     Dahmen                              Gemeinde             ländlich           600    253           14,19           36
 117   13058020     Dalberg-Wendelstorf                 Gemeinde             ländlich           571    241           84,07          203
 118   13053016     Dalkendorf                          Gemeinde             ländlich           302    127           83,59          106
 119   13054021     Dambeck                             Gemeinde             ländlich           317    134           12,48           17
 120   13062011     Damerow                             Gemeinde             ländlich           153     65               0            0
 121   13051017     Damm                                Gemeinde             ländlich           672    284           45,91          130
 122   13058021     Damshagen                           Gemeinde             ländlich           920    388           73,17          284
 123   13059017     Dargen                              Gemeinde             ländlich           563    238           48,86          116
 124   13052017     Dargun                              amtsfreie Stadt      ländlich          4995   2108           81,66         1721
 125   13058022     Dassow                              Stadt                ländlich          4036   1703            9,59          163
 126   13055088     Datzetal                            Gemeinde             ländlich           978    413            79,3          327
 127   13058023     Dechow                              Gemeinde             ländlich           217     92           75,55           70
 128   13060013     Demen                               Gemeinde             ländlich          1106    467           67,65          316
 129   13059018     Dersekow                            Gemeinde             ländlich          1106    467              95          444
 130   13054022     Dersenow                            Gemeinde             ländlich           515    217           45,21           98
 131   13057020     Dettmannsdorf                       Gemeinde             ländlich          1126    475           81,52          387
 132   13057021     Deyelsdorf                          Gemeinde             ländlich           563    238           51,02          121



                                                                2 von 12



                                                                                                                             Bonn, 21. Oktober 2009
354

Amtsblatt der Bundesnetzagentur
                                             für Elektrizität, Gas, Telekommunikation, Post und Eisenbahnen
20 2009                                                       – Regulierung, Telekommunikation –                                              3919
  Mit Breitband unterversorgte Städte und Gemeinden in Mecklenburg-Vorpommern                                              Prioritätsstufe 1



                                                                                                                Verfügbarkeit
                                                                                                                              Verfügbarkeit
          Gemeinde-                                                                              Ein- Haus-        1 Mbit/s
                         Gemeinden der Prioritätsstufe 1      ArtGemeinde         Prägung                                        1 Mbit/s
           schlüssel                                                                            wohner halte     für Prozent
                                                                                                                              für Haushalte
                                                                                                                der Haushalte
    133   13053017     Diekhof                             Gemeinde             ländlich          1003    423           66,02          279
    134   13057022     Dierhagen                           Gemeinde             ländlich          1659    700           93,76          656
    135   13060014     Diestelow                           Gemeinde             ländlich           491    207            8,51           18
    136   13057098     Divitz-Spoldershagen                Gemeinde             ländlich           478    202           78,92          159
    137   13060015     Dobbertin                           Gemeinde             ländlich          1303    550               0            0
    138   13053102     Dobbin-Linstow                      Gemeinde             ländlich           590    249           75,12          187
    139   13060096     Dobin am See                        Gemeinde             ländlich          1990    840           52,62          442
    140   13053103     Dolgen am See                       Gemeinde             ländlich           758    320           77,29          247
    141   13054024     Dömitz                              Stadt                ländlich          3302   1393           79,85         1112
    142   13060016     Domsühl                             Gemeinde             ländlich          1132    478           92,28          441
    143   13058025     Dorf Mecklenburg                    Gemeinde             ländlich          3035   1281           94,98         1217
    144   13058026     Dragun                              Gemeinde             ländlich           852    359           75,62          271
    145   13061008     Dranske                             Gemeinde             ländlich          1321    557            89,9          501
    146   13057024     Drechow                             Gemeinde             ländlich           268    113           80,18           91
    147   13053019     Dreetz                              Gemeinde             ländlich           232     98           70,55           69
    148   13061009     Dreschvitz                          Gemeinde             ländlich           821    346           77,56          268
    149   13059020     Drewelow                            Gemeinde             ländlich           182     77           75,69           58
    150   13059021     Ducherow                            Gemeinde             ländlich          2166    914           31,42          287
    151   13052019     Duckow                              Gemeinde             ländlich           278    117           74,45           87
    152   13054027     Dümmer                              Gemeinde             ländlich          1390    586           72,03          422
    153   13051018     Dummerstorf                         Gemeinde             ländlich          2642   1115           46,14          514
    154   13052020     Düvier                              Gemeinde             ländlich           557    235           69,24          163
    155   13055085     Eichhorst                           Gemeinde             ländlich           555    234           60,38          141
    156   13057026     Eixen                               Gemeinde             ländlich           890    376           77,31          291
    157   13054028     Eldena                              Gemeinde             ländlich          1384    584           69,59          406
    158   13057027     Elmenhorst                          Gemeinde             ländlich           743    314           80,81          254
    159   13051019     Elmenhorst/Lichtenhagen             Gemeinde             halbstädtisch     4243   1790              95         1700
    160   13062013     Fahrenwalde                         Gemeinde             ländlich           380    160               0            0
    161   13052021     Faulenrost                          Gemeinde             ländlich           773    326           52,59          171
    162   13055082     Feldberger Seenlandschaft           amtsfreie Gemeinde   ländlich          4956   2091           48,92         1023
    163   13062014     Ferdinandshof                       Gemeinde             ländlich          3070   1295           74,91          970
    164   13056010     Fincken                             Gemeinde             ländlich           424    179           71,43          128
    165   13053020     Finkenthal                          Gemeinde             ländlich           323    136           68,78           94
    166   13057028     Franzburg                           Stadt                halbstädtisch     1592    672           85,71          576
    167   13060017     Friedrichsruhe                      Gemeinde             ländlich           971    410           42,72          175
    168   13057029     Fuhlendorf                          Gemeinde             ländlich           970    409           81,79          335
    169   13056076     Fünfseen                            Gemeinde             ländlich          1258    531           63,15          335
    170   13058029     Gägelow                             Gemeinde             halbstädtisch     2637   1113              95         1057
    171   13055089     Galenbeck                           Gemeinde             ländlich          1444    609            64,7          394
    172   13054030     Gallin                              Gemeinde             ländlich           519    219            49,5          108
    173   13060093     Gallin-Kuppentin                    Gemeinde             ländlich           613    259           74,25          192
    174   13054031     Gammelin                            Gemeinde             ländlich           492    208           56,19          117
    175   13060020     Ganzlin                             Gemeinde             ländlich           582    246           71,78          177
    176   13059022     Garz                                Gemeinde             ländlich           205     86           45,87           39
    177   13061011     Garz/Rügen                          Stadt                ländlich          2567   1083           87,31          946
    178   13051020     Gelbensande                         Gemeinde             ländlich          1783    752           88,82          668
    179   13055021     Genzkow                             Gemeinde             ländlich           167     70               0            0
    180   13052022     Gielow                              Gemeinde             ländlich          1438    607            66,7          405
    181   13061012     Gingst                              Gemeinde             ländlich          1432    604            60,4          365
    182   13060021     Gischow                             Gemeinde             ländlich           296    125           74,19           93
    183   13053021     Glasewitz                           Gemeinde             ländlich           442    186           69,59          129
    184   13058030     Glasin                              Gemeinde             ländlich           889    375           73,34          275
    185   13062016     Glasow                              Gemeinde             ländlich           186     78           62,62           49
    186   13057030     Glewitz                             Gemeinde             ländlich           621    262           50,71          133
    187   13055022     Glienke                             Gemeinde             ländlich           139     59           71,75           42
    188   13061013     Glowe                               Gemeinde             ländlich          1040    439           85,94          377
    189   13060022     Gneven                              Gemeinde             ländlich           403    170           77,19          131
    190   13052024     Gnevkow                             Gemeinde             ländlich           401    169           90,02          152
    191   13051021     Gnewitz                             Gemeinde             ländlich           229     97           81,87           79
    192   13053022     Gnoien                              Stadt                ländlich          3171   1338           69,01          923
    193   13055023     Godendorf                           Gemeinde             ländlich           240    101           75,48           76
    194   13060024     Godern                              Gemeinde             ländlich           337    142           77,47          110
    195   13054034     Göhlen                              Gemeinde             ländlich           407    172           44,58           77
    196   13060025     Göhren                              Gemeinde             ländlich           401    169           59,42          100
    197   13061014     Göhren                              Gemeinde             halbstädtisch     1278    539           91,25          492
    198   13056011     Göhren-Lebbin                       Gemeinde             ländlich           635    268               0            0



                                                                   3 von 12



Bonn, 21. Oktober 2009
355

Amtsblatt der Bundesnetzagentur
                                            für Elektrizität, Gas, Telekommunikation, Post und Eisenbahnen
3920                                                        – Regulierung, Telekommunikation –                                  20 2009
Mit Breitband unterversorgte Städte und Gemeinden in Mecklenburg-Vorpommern                                            Prioritätsstufe 1



                                                                                                            Verfügbarkeit
                                                                                                                          Verfügbarkeit
       Gemeinde-                                                                              Ein- Haus-       1 Mbit/s
                      Gemeinden der Prioritätsstufe 1      ArtGemeinde         Prägung                                       1 Mbit/s
        schlüssel                                                                            wohner halte    für Prozent
                                                                                                                          für Haushalte
                                                                                                            der Haushalte
 199   13052025     Golchen                             Gemeinde             ländlich           315 133             55,45           74
 200   13060026     Goldberg                            Stadt                halbstädtisch     3616 1526                0            0
 201   13060027     Goldenstädt                         Gemeinde             ländlich           653 276             74,74          206
 202   13054035     Gorlosen                            Gemeinde             ländlich           572 241             75,69          182
 203   13052026     Görmin                              Gemeinde             ländlich          1009 426             90,52          386
 204   13058031     Gottesgabe                          Gemeinde             ländlich           862 364             67,96          247
 205   13056012     Gotthun                             Gemeinde             ländlich           299 126             80,82          102
 206   13051022     Graal-Müritz                        amtsfreie Gemeinde   städtisch         4262 1798            94,52         1699
 207   13056013     Grabow-Below                        Gemeinde             ländlich           131   55            61,81           34
 208   13056014     Grabowhöfe                          Gemeinde             ländlich          1059 447             84,86          379
 209   13062017     Grambin                             Gemeinde             ländlich           466 197             51,82          102
 210   13058032     Grambow                             Gemeinde             ländlich           708 299                95          284
 211   13062018     Grambow                             Gemeinde             ländlich          1049 443             62,67          278
 212   13057031     Grammendorf                         Gemeinde             ländlich           632 267             50,72          135
 213   13052028     Grammentin                          Gemeinde             ländlich           252 106             38,34           41
 214   13051023     Grammow                             Gemeinde             ländlich           207   87            69,57           61
 215   13057032     Gransebieth                         Gemeinde             ländlich           661 279             52,62          147
 216   13060028     Granzin                             Gemeinde             ländlich           536 226             29,82           67
 217   13052029     Grapzow                             Gemeinde             ländlich           453 191             55,27          106
 218   13060029     Grebbin                             Gemeinde             ländlich           525 222                 0            0
 219   13054125     Grebs-Niendorf                      Gemeinde             ländlich           697 294             80,92          238
 220   13057099     Gremersdorf-Buchholz                Gemeinde             ländlich           786 332             72,07          239
 221   13054039     Gresse                              Gemeinde             ländlich           653 276             48,16          133
 222   13054040     Greven                              Gemeinde             ländlich           832 351              48,4          170
 223   13059023     Gribow                              Gemeinde             ländlich           214   90            55,65           50
 224   13058035     Grieben                             Gemeinde             ländlich           172   73            72,96           53
 225   13052030     Grischow                            Gemeinde             ländlich           291 123                 0            0
 226   13056015     Groß Dratow                         Gemeinde             ländlich           387 163             48,26           79
 227   13056016     Groß Flotow                         Gemeinde             ländlich           158   67            72,18           48
 228   13056017     Groß Gievitz                        Gemeinde             ländlich           497 210             51,17          107
 229   13060030     Groß Godems                         Gemeinde             ländlich           394 166             74,71          124
 230   13059025     Groß Kiesow                         Gemeinde             ländlich          1485 627             74,07          464
 231   13057037     Groß Kordshagen                     Gemeinde             ländlich           388 164                 0            0
 232   13054041     Groß Krams                          Gemeinde             ländlich           201   85             70,8           60
 233   13054042     Groß Laasch                         Gemeinde             ländlich          1046 441             90,29          398
 234   13062019     Groß Luckow                         Gemeinde             ländlich           231   97            66,72           65
 235   13055083     Groß Miltzow                        Gemeinde             ländlich          1269 535             43,18          231
 236   13057038     Groß Mohrdorf                       Gemeinde             ländlich           852 359             65,94          237
 237   13058038     Groß Molzahn                        Gemeinde             ländlich           342 144             76,06          110
 238   13055028     Groß Nemerow                        Gemeinde             ländlich          1309 552              2,03           11
 239   13060032     Groß Niendorf                       Gemeinde             ländlich           248 105                 0            0
 240   13056019     Groß Plasten                        Gemeinde             ländlich           812 343             50,59          174
 241   13059027     Groß Polzin                         Gemeinde             ländlich           493 208             40,48           84
 242   13053026     Groß Roge                           Gemeinde             ländlich           725 306             90,14          276
 243   13053027     Groß Schwiesow                      Gemeinde             ländlich           332 140             68,66           96
 244   13058041     Groß Siemz                          Gemeinde             ländlich           322 136             72,83           99
 245   13052032     Groß Teetzleben                     Gemeinde             ländlich           747 315             84,48          266
 246   13056020     Groß Vielen                         Gemeinde             ländlich           373 157             45,27           71
 247   13053028     Groß Wokern                         Gemeinde             ländlich          1161 490             88,24          432
 248   13053029     Groß Wüstenfelde                    Gemeinde             ländlich           997 421             47,54          200
 249   13055029     Grünow                              Gemeinde             ländlich           331 140             38,01           53
 250   13052033     Gültz                               Gemeinde             ländlich           622 262             50,87          133
 251   13052034     Gülzow                              Gemeinde             ländlich           491 207             84,99          176
 252   13053104     Gülzow-Prüzen                       Gemeinde             ländlich          1747 737             78,64          580
 253   13061016     Gustow                              Gemeinde             ländlich           654 276             78,34          216
 254   13053032     Gutow                               Gemeinde             ländlich          1073 453             70,37          319
 255   13059028     Gützkow                             Stadt                ländlich          2776 1171            78,05          914
 256   13062021     Hammer a.d. Uecker                  Gemeinde             ländlich           539 227             84,04          191
 257   13058045     Hanshagen                           Gemeinde             ländlich           410 173             84,85          147
 258   13059029     Hanshagen                           Gemeinde             ländlich           942 397             75,44          299
 259   13062022     Heinrichsruh                        Gemeinde             ländlich           289 122             74,48           91
 260   13062023     Heinrichswalde                      Gemeinde             ländlich           509 215             85,32          183
 261   13055084     Helpt                               Gemeinde             ländlich           402 170             29,58           50
 262   13060033     Herzberg                            Gemeinde             ländlich           374 158              5,36            8
 263   13056022     Hinrichshagen                       Gemeinde             ländlich           171   72            36,82           27
 264   13059031     Hinrichshagen                       Gemeinde             ländlich           857 362                95          344



                                                                4 von 12



                                                                                                                            Bonn, 21. Oktober 2009
356

Amtsblatt der Bundesnetzagentur
                                            für Elektrizität, Gas, Telekommunikation, Post und Eisenbahnen
20 2009                                                      – Regulierung, Telekommunikation –                                             3921
  Mit Breitband unterversorgte Städte und Gemeinden in Mecklenburg-Vorpommern                                            Prioritätsstufe 1



                                                                                                              Verfügbarkeit
                                                                                                                            Verfügbarkeit
         Gemeinde-                                                                              Ein- Haus-       1 Mbit/s
                        Gemeinden der Prioritätsstufe 1      ArtGemeinde         Prägung                                       1 Mbit/s
          schlüssel                                                                            wohner halte    für Prozent
                                                                                                                            für Haushalte
                                                                                                              der Haushalte
   265   13062024     Hintersee                           Gemeinde             ländlich           356 150             18,14           27
   266   13053033     Hohen Demzin                        Gemeinde             ländlich           481 203             81,48          165
   267   13060035     Hohen Pritz                         Gemeinde             ländlich           501 211             78,26          165
   268   13053034     Hohen Sprenz                        Gemeinde             ländlich           508 214             55,02          118
   269   13058047     Hohen Viecheln                      Gemeinde             ländlich           688 290              85,8          249
   270   13056023     Hohen Wangelin                      Gemeinde             ländlich           746 315             22,04           69
   271   13059032     Hohendorf                           Gemeinde             ländlich           958 404             87,62          354
   272   13051028     Hohenfelde                          Gemeinde             ländlich           839 354                95          336
   273   13058116     Hohenkirchen                        Gemeinde             ländlich          1573 664                 0            0
   274   13055032     Hohenzieritz                        Gemeinde             ländlich           553 233                60          140
   275   13058048     Holdorf                             Gemeinde             ländlich           415 175             78,73          138
   276   13055033     Holldorf                            Gemeinde             ländlich           847 357             77,16          275
   277   13054045     Holthusen                           Gemeinde             ländlich           886 374             61,45          230
   278   13054046     Hoort                               Gemeinde             ländlich           618 261             54,81          143
   279   13053035     Hoppenrade                          Gemeinde             ländlich           827 349              3,24           11
   280   13058049     Hornstorf                           Gemeinde             ländlich          1124 474                95          450
   281   13057039     Horst                               Gemeinde             ländlich           516 218             78,74          172
   282   13057040     Hugoldsdorf                         Gemeinde             ländlich           156   66                0            0
   283   13054047     Hülseburg                           Gemeinde             ländlich           168   71                0            0
   284   13061017     Insel Hiddensee                     Gemeinde             ländlich          1077 454             88,22          401
   285   13058050     Insel Poel                          amtsfreie Gemeinde   ländlich          2802 1182            80,64          953
   286   13052038     Ivenack                             Gemeinde             ländlich           933 394             61,82          244
   287   13056025     Jaebetz                             Gemeinde             ländlich           173   73             53,1           39
   288   13057041     Jakobsdorf                          Gemeinde             ländlich           533 225             74,76          168
   289   13059034     Japenzin                            Gemeinde             ländlich           217   92            80,15           74
   290   13052039     Jarmen                              Stadt                halbstädtisch     3418 1442            69,77         1006
   291   13062025     Jatznick                            Gemeinde             ländlich          2021 853             91,12          777
   292   13058051     Jesendorf                           Gemeinde             ländlich           460 194                 0            0
   293   13053036     Jördenstorf                         Gemeinde             ländlich          1037 438             84,17          369
   294   13053037     Jürgenshagen                        Gemeinde             ländlich          1207 509             70,68          360
   295   13052040     Jürgenstorf                         Gemeinde             ländlich          1150 485             74,14          360
   296   13058113     Kalkhorst                           Gemeinde             ländlich          1918 809             58,33          472
   297   13056026     Kambs                               Gemeinde             ländlich           265 112             67,41           75
   298   13059036     Kamminke                            Gemeinde             halbstädtisch      305 129             44,97           58
   299   13060036     Karbow-Vietlübbe                    Gemeinde             ländlich           440 186             57,37          107
   300   13054049     Karenz                              Gemeinde             ländlich           296 125             80,25          100
   301   13056027     Kargow                              Gemeinde             ländlich           748 316             94,22          298
   302   13059037     Karlsburg                           Gemeinde             ländlich          1479 624             55,38          346
   303   13059038     Karlshagen                          Gemeinde             städtisch         3137 1324            92,88         1230
   304   13057043     Karnin                              Gemeinde             ländlich           250 105             64,13           67
   305   13060037     Karow                               Gemeinde             ländlich           873 368                 0            0
   306   13060038     Karrenzin                           Gemeinde             ländlich           657 277             60,76          168
   307   13054051     Karstädt                            Gemeinde             ländlich           616 260             90,71          236
   308   13051033     Kassow                              Gemeinde             ländlich           391 165             59,47           98
   309   13059039     Katzow                              Gemeinde             ländlich           655 276             63,06          174
   310   13051034     Kavelstorf                          Gemeinde             ländlich          1217 514             46,01          236
   311   13059040     Kemnitz                             Gemeinde             ländlich          1187 501             75,93          380
   312   13052054     Kentzlin                            Gemeinde             ländlich           249 105             40,08           42
   313   13057101     Kenz-Küstrow                        Gemeinde             ländlich           544 230             83,65          192
   314   13051035     Kessin                              Gemeinde             halbstädtisch     1494 630             47,21          297
   315   13056028     Kieve                               Gemeinde             ländlich           148   62             62,3           39
   316   13054052     Kirch Jesar                         Gemeinde             ländlich           688 290             85,52          248
   317   13051036     Kirch Mulsow                        Gemeinde             ländlich           360 152             83,02          126
   318   13057046     Kirchdorf                           Gemeinde             ländlich           590 249             86,94          216
   319   13052042     Kittendorf                          Gemeinde             ländlich           353 149             73,42          109
   320   13057047     Klausdorf                           Gemeinde             ländlich           673 284             65,94          187
   321   13053039     Klein Belitz                        Gemeinde             ländlich           925 390             78,02          304
   322   13059041     Klein Bünzow                        Gemeinde             ländlich           877 370             40,54          150
   323   13062026     Klein Luckow                        Gemeinde             ländlich           230   97             66,3           64
   324   13056029     Klein Lukow                         Gemeinde             ländlich           262 111              68,1           76
   325   13054054     Klein Rogahn                        Gemeinde             halbstädtisch     1318 556                95          528
   326   13058053     Klein Trebbow                       Gemeinde             ländlich           870 367             71,71          263
   327   13053041     Klein Upahl                         Gemeinde             ländlich           292 123                 0            0
   328   13055035     Klein Vielen                        Gemeinde             ländlich           775 327             74,46          243
   329   13052095     Kletzin                             Gemeinde             ländlich           867 366             76,43          280
   330   13056030     Klink                               Gemeinde             ländlich          1166 492             85,14          419



                                                                  5 von 12



Bonn, 21. Oktober 2009
357

Zur nächsten Seite