abl-09

Dieses Dokument ist Teil der Anfrage „Amtsblätter bis 2018

/ 128
PDF herunterladen
A
                                           Amtsblatt der Bundesnetzagentur

1140
                          für Elektrizität, Gas, Telekommunikation, Post und Eisenbahnen
                                        – Regulierung, Telekommunikation –                          |
                                                                                                  9 2006

                                                        2

   Die Anzahl der sofort zu adressierenden Nebenstellen sowie ggf. geplante Erweiterungen sind mittels
   Anlagen zu diesem Antrag nachgewiesen (Beschaltungsplan des Netzzugangs, Rufnummernplan,
   Telefonverzeichnis oder Ähnliches, aus dem die Angaben ableitbar sind; bei geplanter Erweiterung:
   Planungsunterlagen).

   Die Bescheinigung wird folgendem Anbieter des Netzzugangs vorgelegt (soll der bescheinigte Ruf-
   nummernbedarf auf Netzzugänge bei unterschiedlichen Anbietern aufgeteilt werden, sind alle aufzu-
   führen):


   Name (Firma), ggf. Ansprechpartner

   Straße / Hausnummer, PLZ / Ort

   Die Bescheinigung soll übersandt werden an

            die Adresse des Antragstellers (siehe Seite 1 des Antrags) oder

            die Adresse des Anbieters des Netzzugangs (siehe oben) oder

            die folgende Adresse:


        Name (Firma), ggf. Ansprechpartner

        Straße / Hausnummer, PLZ / Ort


            Ein gebührenpflichtiges Doppel soll übersandt werden an



        Name (Firma), ggf. Ansprechpartner

        Straße / Hausnummer, PLZ / Ort, ggf. Faxnummer



   IV. Allgemeine Hinweise und Unterschrift

   Der Versand des Bescheides erfolgt auf dem Postweg.

   Die Bescheinigung des Rufnummernbedarfs erfolgt gegen eine einmalige Gebühr. Zweitschriften
   (auch Telefaxe) sind ebenfalls gebührenpflichtig.

   Die Bundesnetzagentur behält sich vor, die vorstehenden Angaben zu überprüfen. Falsche Angaben
   können zu einem Widerruf der Rufnummernzuteilung führen. Im Interesse einer zügigen Bearbeitung
   ist von telefonischen Rückfragen abzusehen. In der Regel werden Anträge innerhalb von 14 Arbeits-
   tagen bearbeitet. Dies gilt auch für Anträge, die per Telefax eingegangen sind.


   _________________ ________________ _____________________________________
   Ort               Datum            Unterschrift des Antragstellers/Bevollmächtigten

   Anlagen
   Nachweis zur Anzahl der Endeinrichtungen
   ggf. Erläuterung der Art des Netzzugangs
   ggf. Nachweis zu geplanten Erweiterungen
   ggf. Aufstellung zum
   ggf.              Aufstellung           zum
                        Verbund von Netzzugängen            Verbund             von        Netzzugängen




                                                                                                Bonn, 10. Mai 2006
28

A
                                                             Amtsblatt der Bundesnetzagentur

  |
9 2006
                                            für Elektrizität, Gas, Telekommunikation, Post und Eisenbahnen
                                                             – Regulierung, Telekommunikation –                          1141

                                                                                                             Anlage 1d
   Aufstellung zum Verbund von Netzzugängen

   .......................................................
   (Firmenname)
  Standort der Anlage                                   Ortsnetz-   Anzahl der Zugänge     Anzahl der
  (Straße, Hausnummer,                                  kennzahl    zum öffentlichen Tele- Endeinrichtungen
  PLZ, Ort)                                                         fonnetz
                                                                    *1)  *2)    *3)  *4)   *5)              *6)




   (ggf. auf weiterem Blatt fortsetzen)

   *1) Anzahl der Telefonanschlüsse mit einem Endgerät
   *2) Anzahl der Mehrgeräte-Basisanschlüsse
   *3) Anzahl der Mehrgeräte-Primärmultiplexanschlüsse
   *4) Anzahl sonstige Netzzugänge (Zugangsart bitte in Anlage erläutern)
   *5) sofort
   *6) mit allen in den nächsten 12 Monaten geplanten Erweiterungen (max. doppelter Wert wie "sofort")




Bonn, 10. Mai 2006
29

A
                                           Amtsblatt der Bundesnetzagentur

1142
                          für Elektrizität, Gas, Telekommunikation, Post und Eisenbahnen
                                        – Regulierung, Telekommunikation –                              |
                                                                                                     9 2006

                                                                                                 Anlage 2

   Maßnahmen bei Kündigung oder Änderung des Vertrages über den Netzzugang

   Wird der Vertrag über den Netzzugang (NZ) gekündigt oder geändert, ohne dass sich der Teilnehmer
   ändert, müssen bezüglich der zugeteilten Rufnummern durch den Anbieter die in der nachfolgenden
   Tabelle aufgeführten Maßnahmen durchgeführt werden.

   Die in der Tabelle verwendeten Zugangstypen
           1: NZ mit Einzelrufnummern
           2: NZ mit zusammenhängenden Rufnummern und einer definierten Anzahl von Nutzkanälen
           3: NZ mit zusammenhängenden Rufnummern und ohne definierte Anzahl von Nutzkanälen
   sind in Anlage 1 näher erläutert.

        Von                      Nach                      Maßnahme
   1    Beliebiger NZ            Kein NZ (Kündigung      Dem Teilnehmer muss mitgeteilt werden, dass
                                 ohne gleichzeitige Auf- die Zuteilung der Rufnummer(n) mit der Aufhe-
                                 tragserteilung bei ei-  bung des NZ entfällt.
                                 nem anderen Anbieter)
                                 oder beliebiger NZ au-
                                 ßerhalb des ONB
   2    Beliebiger NZ            Identischer NZ an an- Der Teilnehmer kann die ihm zugeteilten Ruf-
                                 derem Standort inner- nummern beibehalten.
                                 halb des ONB
   3    Mehrere NZ vom Typ 1 Ein NZ vom Typ 1              Der Teilnehmer kann bis zu 10 der ihm zugeteil-
        im selben ONB                                      ten Rufnummern behalten; dem Teilnehmer muss
                                                           mitgeteilt werden, dass die Zuteilung der übrigen
                                                           Rufnummern mit der Änderung des NZ entfällt.
   4    Zugangstyp 1             Mehrere NZ vom Typ 1 Wünscht der Teilnehmer eine Zuordnung der bis-
                                                      herigen Rufnummern auf verschiedene NZ, kann
                                                      dem nachgekommen werden.
   5    Zugangstyp 1             Zugangstyp 2 oder 3       Wünscht der Teilnehmer statt der Zuteilung zu-
                                                           sammenhängender Rufnummern die Beibehal-
                                                           tung der Rufnummer(n), kann dem nachgekom-
                                                           men werden. Ansonsten muss dem Teilnehmer
                                                           mitgeteilt werden, dass die Zuteilung der Ruf-
                                                           nummer(n) mit der Änderung des NZ entfällt; die
                                                           Zuteilung von Rufnummern für den neuen NZ
                                                           richtet sich dann nach Anlage 1.
   6    Zugangstyp 2 oder 3      Zugangstyp 1              Dem Teilnehmer muss mitgeteilt werden, dass
                                                           die Zuteilung der Rufnummern mit der Änderung
                                                           des NZ entfällt; die Zuteilung von Rufnummern
                                                           für den neuen Zugang richtet sich dann nach
                                                           Anlage 1.
   7    Zugangstyp 2             Zugangstyp 2 mit we-      Der Anbieter kann den Rufnummernbedarf ge-
                                 niger Nutzkanälen         mäß Anlage 1 neu ermitteln und ggf. die Anzahl
                                                           der Rufnummern reduzieren. Die dem Teilneh-
                                                           mer verbleibenden Rufnummern sollen dabei
                                                           einen zusammenhängenden Bereich am Anfang
                                                           oder Ende des Rufnummernbereichs bilden. Dem
                                                           Teilnehmer muss im Fall der Reduzierung mit-
                                                           geteilt werden, dass die Zuteilung der übrigen
                                                           Rufnummern mit der Änderung des NZ entfällt.
                                                           Eine Verpflichtung zur Ermittlung des Rufnum-
                                                           mernbedarfs sowie ggf. zur Reduzierung beste-
                                                           hen bis auf weiteres nicht.




                                                                                                   Bonn, 10. Mai 2006
30

A
                                               Amtsblatt der Bundesnetzagentur

  |
9 2006
                              für Elektrizität, Gas, Telekommunikation, Post und Eisenbahnen
                                           – Regulierung, Telekommunikation –                                   1143
                                                           2
        8     Zugangstyp 2          Zugangstyp 2 mit mehr Hat der Teilnehmer durch die Änderung An-
                                    Nutzkanälen           spruch auf mehr Rufnummern, müssen ihm bei
                                                          entsprechendem Wunsch zusätzliche Rufnum-
                                                          mern zugeteilt werden. Der Teilnehmer hat dabei
                                                          keinen Anspruch auf bestimmte Rufnummern.
        9a    Zugangstyp 2          Zwei NZ des Typs 2;        Die bisherigen Rufnummern dürfen auf die bei-
                                    einer der Zugänge hat      den NZ aufgeteilt werden. Für den NZ, der weni-
                                    mindestens so viele        ger Nutzkanäle hat als der bisherige NZ, muss
                                    Nutzkanäle wie der         der Rufnummernbedarf dabei neu ermittelt wer-
                                    bisherige NZ               den. Dem NZ, der mindestens so viele Nutzka-
                                                               näle wie der bisherige NZ hat, dürfen beliebig
                                                               viele der bisherigen Rufnummern zugeordnet
                                                               werden. Eine Zuordnung von Rufnummern des
                                                               bisherigen NZ zu den beiden neuen NZ ist auch
                                                               zulässig, wenn diese nicht die eigentlich erforder-
                                                               liche Länge haben.
        9b    Zugangstyp 2          Zwei NZ des Typs 2; Der Rufnummernbedarf kann für beide NZ neu
                                    beide NZ haben jeweils ermittelt werden. Eine Zuordnung von Rufnum-
                                    weniger Nutzkanäle als mern des bisherigen NZ ist zulässig, auch wenn
                                    der bisherige NZ       diese nicht die eigentlich erforderliche Länge ha-
                                                           ben. Im Falle einer Reduzierung muss dem Teil-
                                                           nehmer mitgeteilt werden, dass die Zuteilung der
                                                           etwaig übrigen Rufnummern mit der Änderung
                                                           des NZ entfällt. Die dem Teilnehmer verbleiben-
                                                           den Rufnummern sollen dabei einen zusammen-
                                                           hängenden Bereich am Anfang oder Ende des
                                                           Rufnummernbereichs bilden.
                                                               Eine Verpflichtung zur Ermittlung des Rufnum-
                                                               mernbedarfs sowie ggf. zur Reduzierung beste-
                                                               hen bis auf weiteres nicht.
        10a Zwei NZ vom Typ 2 am Ein Zugang vom Typ 2; Eine Zuordnung der Rufnummern der bisherigen
            selben Standort      die Anzahl der Nutzka- Zugänge ist zulässig.
                                 näle ist mindestens so
                                 hoch wie die Summe
                                 der Nutzkanäle der
                                 bisherigen Zugänge
        10b Zwei NZ vom Typ 2 am Ein NZ vom Typ 2; die Der Rufnummernbedarf kann gemäß Anlage 1
            selben Standort      Anzahl der Nutzkanäle neu ermittelt werden. Eine Zuordnung von Ruf-
                                 ist niedriger als die nummern der bisherigen NZ ist zulässig, auch
                                 Summe der Nutzkanäle wenn diese nicht die eigentlich erforderliche Län-
                                 der bisherigen NZ     ge haben. Im Fall einer Reduzierung muss dem
                                                       Teilnehmer mitgeteilt werden, dass die Zuteilung
                                                       der etwaig übrigen Rufnummern mit der Ände-
                                                       rung des NZ entfällt. Die dem Teilnehmer ver-
                                                       bleibenden Rufnummern sollen dabei einen zu-
                                                       sammenhängenden Bereich am Anfang oder En-
                                                       de des Rufnummernbereichs bilden.
                                                               Eine Verpflichtung zur Ermittlung des Rufnum-
                                                               mernbedarfs sowie ggf. zur Reduzierung beste-
                                                               hen bis auf weiteres nicht.
        11    Zugangstyp 2          Zugangstyp 3               Der Rufnummernbedarf kann gemäß Anlage 1b
                                                               neu ermittelt werden. Eine Zuordnung von Ruf-
                                                               nummern der bisherigen Zugänge ist zulässig,
                                                               auch wenn diese nicht die eigentlich erforderliche
                                                               Länge haben. Im Fall einer Reduzierung muss
                                                               dem Teilnehmer mitgeteilt werden, dass die Zu-
                                                               teilung der etwaig übrigen Rufnummern mit der
                                                               Änderung des Zugangs entfällt. Die dem Teil-
                                                               nehmer verbleibenden Rufnummern sollen dabei




Bonn, 10. Mai 2006
31

A
                                        Amtsblatt der Bundesnetzagentur

1144
                       für Elektrizität, Gas, Telekommunikation, Post und Eisenbahnen
                                    – Regulierung, Telekommunikation –                                  |
                                                                                                      9 2006
                                                     3
                                                          einen zusammenhängenden Bereich am Anfang
                                                          oder Ende des Rufnummernbereichs bilden.
                                                          Eine Verpflichtung zur Ermittlung des Rufnum-
                                                          mernbedarfs sowie ggf. zur Reduzierung beste-
                                                          hen bis auf weiteres nicht.
   12   Zugangstyp 3          Zugangstyp 2 oder 3, Der Rufnummernbedarf kann gemäß Anlage 1
                              jeweils mit weniger Ne- neu ermittelt werden. Ggf. kann die Anzahl der
                              benstellen              Rufnummern reduziert werden. Die dem Teil-
                                                      nehmer verbleibenden Rufnummern sollen dabei
                                                      einen zusammenhängenden Bereich am Anfang
                                                      oder Ende des Rufnummernbereichs bilden. Im
                                                      Fall der Reduzierung muss dem Teilnehmer mit-
                                                      geteilt werden, dass die Zuteilung der übrigen
                                                      Rufnummern mit der Änderung des NZ entfällt.
                                                          Eine Verpflichtung zur Ermittlung des Rufnum-
                                                          mernbedarfs sowie ggf. zur Reduzierung beste-
                                                          hen bis auf weiteres nicht.
   13   Zugangstyp 3          Zugangstyp 2 oder 3 Hat der Teilnehmer durch die Änderung An-
                              mit mehr Nebenstellen spruch auf mehr Rufnummern, müssen ihm bei
                                                    entsprechendem Wunsch zusätzliche Rufnum-
                                                    mern zugeteilt werden. Der Teilnehmer hat dabei
                                                    keinen Anspruch auf bestimmte Rufnummern.
   14a Zugangstyp 3           Zwei NZ des Typs 2      Die bisherigen Rufnummern dürfen auf die bei-
                              oder 3; einer der NZ    den NZ aufgeteilt werden. Für den NZ, der weni-
                              hat mindestens so viele ger Nebenstellen hat als der bisherige NZ, muss
                              Nebenstellen wie der der Rufnummernbedarf dabei neu ermittelt wer-
                              bisherige NZ            den. Dem NZ, der mindestens so viele Neben-
                                                      stellen wie der bisherige Zugang hat, dürfen be-
                                                      liebig viele der bisherigen Rufnummern zugeord-
                                                      net werden. Eine Zuordnung von Rufnummern
                                                      des bisherigen NZ zu den beiden neuen NZ ist
                                                      auch zulässig, wenn diese nicht die eigentlich
                                                      erforderliche Länge haben.
   14b Zugangstyp 3           Zwei NZ des Typs 2      Der Rufnummernbedarf kann für beide NZ neu
                              oder 3; beide NZ haben ermittelt werden. Eine Zuordnung von Rufnum-
                              jeweils weniger Nutz- mern des bisherigen NZ ist zulässig, auch wenn
                              kanäle als der bisheri- diese nicht die eigentlich erforderliche Länge ha-
                              ge NZ                   ben. Im Fall einer Reduzierung muss dem Teil-
                                                      nehmer mitgeteilt werden, dass die Zuteilung der
                                                      etwaig übrigen Rufnummern mit der Änderung
                                                      des NZ entfällt. Die dem Teilnehmer verbleiben-
                                                      den Rufnummern sollen dabei einen zusammen-
                                                      hängenden Bereich am Anfang oder Ende des
                                                      Rufnummernbereichs bilden.
                                                          Eine Verpflichtung zur Ermittlung des Rufnum-
                                                          mernbedarfs sowie ggf. zur Reduzierung beste-
                                                          hen bis auf weiteres nicht.
   15a Zwei NZ vom Typ 2      Ein NZ vom Typ 2 oder Eine Zuordnung der Rufnummern der bisherigen
       oder 3 am selben       3; die Anzahl der Ne- Zugänge ist zulässig.
       Standort               benstellen ist minde-
                              stens so hoch wie die
                              Summe der Neben-
                              stellen der bisherigen
                              NZ
   15b Zwei NZ vom Typ 2      Ein NZ vom Typ 2; die       Der Rufnummernbedarf kann gemäß Anlage 1
       oder 3 am selben       Anzahl der Nebenstel-       neu ermittelt werden. Eine Zuordnung von Ruf-
       Standort               len ist niedriger als die   nummern der bisherigen NZ ist zulässig, auch
                              Summe der Neben-            wenn diese nicht die eigentlich erforderliche Län-




                                                                                                    Bonn, 10. Mai 2006
32

A
                                                   Amtsblatt der Bundesnetzagentur

  |
9 2006
                                  für Elektrizität, Gas, Telekommunikation, Post und Eisenbahnen
                                               – Regulierung, Telekommunikation –                                 1145

                                                                 4
                                          stellen der bisherigen     ge haben. Im Fall einer Reduzierung muss dem
                                          Zugänge                    Teilnehmer mitgeteilt werden, dass die Zuteilung
                                                                     der etwaig übrigen Rufnummern mit der Ände-
                                                                     rung des NZ entfällt. Die dem Teilnehmer ver-
                                                                     bleibenden Rufnummern sollen dabei einen zu-
                                                                     sammenhängenden Bereich am Anfang oder En-
                                                                     de des Rufnummernbereichs bilden.
                                                                     Eine Verpflichtung zur Ermittlung des Rufnum-
                                                                     mernbedarfs sowie ggf. zur Reduzierung beste-
                                                                     hen bis auf weiteres nicht.

          Wird ein NZ gekündigt, der mindestens sechs Monate bestand, dürfen Telekommunikationsleistungen
          unter Verwendung der Rufnummern des vormaligen NZ für maximal 24 Monate für die Schaltung von
          Ansagen mit einem Hinweis auf die Änderung verwendet werden. Die abgeleitete Zuteilung erlischt in
          dieser Zeit nicht.

          Tritt ein Fall ein, der vorstehend nicht geregelt ist, ist nach folgenden Prinzipien zu entscheiden:
          ·    Die Lösung soll die Identifikation des Teilnehmers mit den ihm zugeteilten Rufnummern berück-
               sichtigen.
          ·    Die Lösung sollte für alle Beteiligten wirtschaftlich sein.
          ·    Die Lösung darf nicht im Widerspruch zu Regelungen der Zuteilungsregeln stehen.
          ·    Die Lösung darf nicht eine Umgehung der Regelungen zur Rufnummernlänge bzw. zur Anzahl der
               zuzuteilenden Rufnummern ermöglichen.
          In Zweifelsfällen ist der Fall der Bundesnetzagentur zur Entscheidung vorzulegen.




Bonn, 10. Mai 2006
33

A
                                             Amtsblatt der Bundesnetzagentur

1146
                            für Elektrizität, Gas, Telekommunikation, Post und Eisenbahnen
                                         – Regulierung, Telekommunikation –                              |
                                                                                                     9 2006

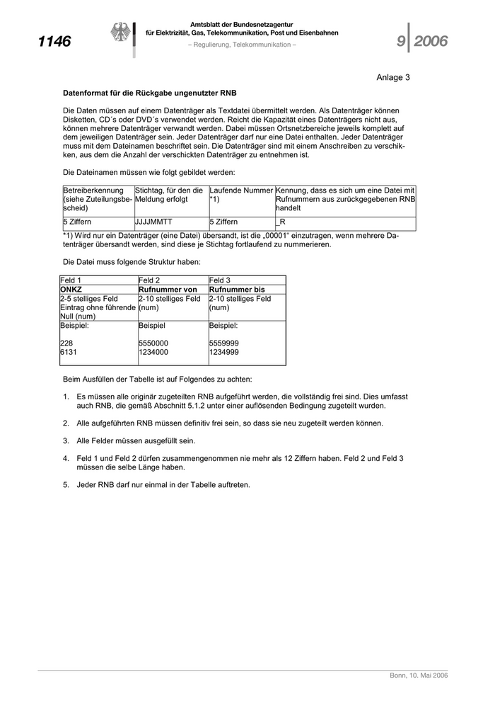
                                                                                              Anlage 3
   Datenformat für die Rückgabe ungenutzter RNB

   Die Daten müssen auf einem Datenträger als Textdatei übermittelt werden. Als Datenträger können
   Disketten, CD´s oder DVD´s verwendet werden. Reicht die Kapazität eines Datenträgers nicht aus,
   können mehrere Datenträger verwandt werden. Dabei müssen Ortsnetzbereiche jeweils komplett auf
   dem jeweiligen Datenträger sein. Jeder Datenträger darf nur eine Datei enthalten. Jeder Datenträger
   muss mit dem Dateinamen beschriftet sein. Die Datenträger sind mit einem Anschreiben zu verschik-
   ken, aus dem die Anzahl der verschickten Datenträger zu entnehmen ist.

   Die Dateinamen müssen wie folgt gebildet werden:

   Betreiberkennung     Stichtag, für den die Laufende Nummer Kennung, dass es sich um eine Datei mit
   (siehe Zuteilungsbe- Meldung erfolgt       *1)             Rufnummern aus zurückgegebenen RNB
   scheid)                                                    handelt
   5 Ziffern            JJJJMMTT                5 Ziffern             _R
   *1) Wird nur ein Datenträger (eine Datei) übersandt, ist die „00001“ einzutragen, wenn mehrere Da-
   tenträger übersandt werden, sind diese je Stichtag fortlaufend zu nummerieren.

   Die Datei muss folgende Struktur haben:

  Feld 1                  Feld 2                Feld 3
  ONKZ                    Rufnummer von         Rufnummer bis
  2-5 stelliges Feld      2-10 stelliges Feld   2-10 stelliges Feld
  Eintrag ohne führende   (num)                 (num)
  Null (num)
  Beispiel:               Beispiel              Beispiel:

  228                     5550000               5559999
  6131                    1234000               1234999


   Beim Ausfüllen der Tabelle ist auf Folgendes zu achten:

   1. Es müssen alle originär zugeteilten RNB aufgeführt werden, die vollständig frei sind. Dies umfasst
      auch RNB, die gemäß Abschnitt 5.1.2 unter einer auflösenden Bedingung zugeteilt wurden.

   2. Alle aufgeführten RNB müssen definitiv frei sein, so dass sie neu zugeteilt werden können.

   3. Alle Felder müssen ausgefüllt sein.

   4. Feld 1 und Feld 2 dürfen zusammengenommen nie mehr als 12 Ziffern haben. Feld 2 und Feld 3
      müssen die selbe Länge haben.

   5. Jeder RNB darf nur einmal in der Tabelle auftreten.




                                                                                                   Bonn, 10. Mai 2006
34

A
                                                  Amtsblatt der Bundesnetzagentur

  |
9 2006
                                 für Elektrizität, Gas, Telekommunikation, Post und Eisenbahnen
                                                – Regulierung, Telekommunikation –                                  1147

                                                                                                         Anlage 4
        Datenformat für Rückgabe genutzter RNB

        Die Daten müssen auf einem Datenträger als Textdatei übermittelt werden. Als Datenträger können
        Disketten, CD´s oder DVD´s verwendet werden. Reicht die Kapazität eines Datenträgers nicht aus,
        können mehrere Datenträger verwandt werden. Dabei müssen Ortsnetzbereiche jeweils komplett auf
        dem jeweiligen Datenträger sein. Jeder Datenträger darf nur eine Datei enthalten. Jeder Datenträger
        muss mit dem Dateinamen beschriftet sein. Die Datenträger sind mit einem Anschreiben zu verschik-
        ken, aus dem die Anzahl der verschickten Datenträger zu entnehmen ist.

        Die Dateinamen müssen wie folgt gebildet werden:

        Betreiberkennung     Stichtag, für den die Laufende Nummer Kennung, dass es sich um eine Datei mit
        (siehe Zuteilungsbe- Meldung erfolgt       *1)             vormals Importierter Rufnummern han-
        scheid)                                                    delt
        5 Ziffern             JJJJMMTT                 5 Ziffern             _I
        *1) Wird nur ein Datenträger (eine Datei) übersandt, ist die „00001“ einzutragen, wenn mehrere Da-
        tenträger übersandt werden, sind diese je Stichtag fortlaufend zu nummerieren.

        Die Datei muss folgende Struktur haben:

       Feld 1                    Feld 2                Feld 3                     Feld 4
       ONKZ                      Rufnummer von         Rufnummer bis              Portierungskennung (PK-ID)
       2-5 stelliges Feld        2-10 stelliges Feld   2-10 stelliges Feld        4-stelliges Feld
       Eintrag ohne führende     (num)                 (num)                      (alphanum)
       Null (num)
       Beispiel:                 Beispiel:             Beispiel:                  Beispiel:

       228                       3456778                                          D000
       228                       5550000               5559999                    D021
       6131                      123400                123429                     D021
       6151                      123430                123499                     D032
       6151                      123501                                           D005
       6151                      123502                                           D021
       6151                      153400                                           D000
       511                       22337                                            D001

        Beim Ausfüllen der Tabelle ist auf Folgendes zu achten:

        1. Es müssen alle originär zugeteilten Rufnummerneingetragen werden, zu denen nicht eine Mel-
           dung mittels Anlage 9 abgegeben wird.

        2. Die Felder 1, 2 und 4 müssen ausgefüllt sein; Feld 3 kann ausgefüllt sein.

            Bei Netzzugängen mit Einzelrufnummern bleibt das Feld 3 leer. Bei Netzzugängen mit mehreren
            Einzelrufnummern müssen die Rufnummern einzeln untereinander im Feld 2 eingetragen werden.
            Bei Netzzugängen mit zusammenhängenden Rufnummern muss im Feld 3 die letzte Teilnehmer-
            rufnummer des Netzzugangs eingetragen werden.

        3. Feld 1 und Feld 2 dürfen zusammengenommen nie mehr als 12 Ziffern haben. Feld 2 und Feld 3
           müssen die selbe Länge haben.

            Feld 4 ist wie folgt zu befüllen:

            Rufnummer wurde exportiert                             PK-ID des Netzbetreibers, zu dem die Rufnum-
                                                                   mer portiert wurde
            Rufnummer wurde abgeschaltet                           PK-ID der Bundesnetzagentur (D000)

        4. Jede Rufnummer darf nur einmal in der Tabelle auftreten.




Bonn, 10. Mai 2006
35

A
                                            Amtsblatt der Bundesnetzagentur

1148
                           für Elektrizität, Gas, Telekommunikation, Post und Eisenbahnen
                                          – Regulierung, Telekommunikation –                             |
                                                                                                       9 2006


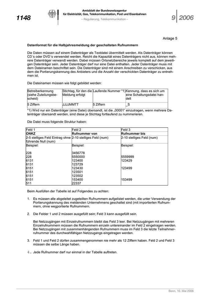
                                                                                                  Anlage 5
   Datenformat für die Halbjahresmeldung der geschalteten Rufnummern

   Die Daten müssen auf einem Datenträger als Textdatei übermittelt werden. Als Datenträger können
   CD´s oder DVD´s verwendet werden. Reicht die Kapazität eines Datenträgers nicht aus, können meh-
   rere Datenträger verwandt werden. Dabei müssen Ortsnetzbereiche jeweils komplett auf dem jeweili-
   gen Datenträger sein. Jeder Datenträger darf nur eine Datei enthalten. Jeder Datenträger muss mit
   dem Dateinamen beschriftet sein. Die Datenträger sind mit einem Anschreiben zu verschicken, aus
   dem die Portierungskennung des Anbieters und die Anzahl der verschickten Datenträger zu entneh-
   men ist.

   Die Dateinamen müssen wie folgt gebildet werden:

   Betreiberkennung        Stichtag, für den die Laufende Nummer *1)Kennung, dass es sich um
   (siehe Zuteilungsbe-    Meldung erfolgt                          eine Schaltungsdatei han-
   scheid)                                                          delt
   5 Ziffern               JJJJMMTT               5 Ziffern               _S
   *1) Wird nur ein Datenträger (eine Datei) übersandt, ist die „00001“ einzutragen, wenn mehrere Da-
   tenträger übersandt werden, sind diese je Stichtag fortlaufend zu nummerieren.

   Die Datei muss folgende Struktur haben:

  Feld 1                            Feld 2                            Feld 3
  ONKZ                              Rufnummer von                     Rufnummer bis
  2-5 stelliges Feld Eintrag ohne   2-10 stelliges Feld (num)         2-10 stelliges Feld (num)
  führende Null (num)
  Beispiel:                         Beispiel:                         Beispiel:

  228                               3456778
  228                               5550000                           5559999
  6131                              123400                            123429
  6131                              123729
  6151                              123430                            123499
  6151                              123501
  6151                              123502
  6151                              153400                            153499
  511                               22337

   Beim Ausfüllen der Tabelle ist auf Folgendes zu achten:

   1. Es müssen alle abgeleitet zugeteilten Rufnummern aufgelistet werden, die unter Verwendung der
      Portierungskennung des meldenden Unternehmens geschaltet sind (mit importierten Rufnum-
      mern, ohne wegportierte Rufnummern.

   2. Die Felder 1 und 2 müssen ausgefüllt sein; Feld 3 kann ausgefüllt sein.

       Bei Netzzugängen mit Einzelrufnummern bleibt das Feld 3 leer. Bei Netzzugängen mit mehreren
       Einzelrufnummern müssen die Rufnummern einzeln untereinander im Feld 2 eingetragen werden.
       Bei Netzzugängen mit zusammenhängenden Rufnummern muss im Feld 3 die letzte Teilnehmer-
       rufnummer des durchwahlfähigen Netzzugangs eingetragen werden.

   3. Feld 1 und Feld 2 dürfen zusammengenommen nie mehr als 12 Ziffern haben. Feld 2 und Feld 3
      müssen die selbe Länge haben.

   4. Jede Rufnummer darf nur einmal in der Tabelle auftreten.




                                                                                                     Bonn, 10. Mai 2006
36

A
                                                          Amtsblatt der Bundesnetzagentur

  |
9 2006
                                         für Elektrizität, Gas, Telekommunikation, Post und Eisenbahnen
                                   – Mitteilungen, Telekommunikation, Teil A, Mitteilungen der Bundesnetzagentur –   1149
Regulierung


Telekommunikation

Mitteilung Nr. 160/2006
TKG §§ 13 Abs. 1, 12 Abs. 1 i.V.m. § 5;
Veröffentlichung der Ergebnisse des Anhörungsverfahrens zum
Entwurf einer Regulierungsverfügung wegen der Auferlegung
von Verpflichtungen nach dem 2. Teil des TKG auf dem Markt
Nr. 12 „Breitbandzugang für Großkunden“ der Märkte-Empfeh-
lung der EU-Kommission (ATM-Bitstrom-Zugang)
Nachfolgend werden gemäß §§ 13 Abs. 1, 12 Abs. 1 i.V.m. § 5 TKG
die Ergebnisse der öffentlichen Anhörung zu dem im Amtsblatt
06/2006 vom 22.3.2006 als Mitteilung Nr. 90 sowie auf den Internet-
seiten der Bundesnetzagentur veröffentlichten Entwurf einer Regu-
lierungsverfügung gegenüber der Deutschen Telekom AG wegen
der Auferlegung von Verpflichtungen nach dem 2. Teil des TKG auf
dem Markt Nr. 12 „Breitbandzugang für Großkunden“ der Märkte-
Empfehlung der EU-Kommission (ATM-Bitstrom-Zugang) veröffent-
licht. Eine entsprechende Veröffentlichung der Ergebnisse erfolgt
auch auf den Internetseiten der Bundesnetzagentur. Innerhalb der
einmonatigen Stellungnahmefrist, die am 24.4.2006 endete, sind elf
schriftliche Stellungnahmen eingegangen. Drei Unternehmen haben
im Rahmen Ihrer Stellungnahmen bzw. gesondert darüber hinaus
förmliche Anträge auf Auferlegung einer Zugangsverpflichtung nach
§ 21 Abs. 2 Nr. 1 TKG gegenüber der Deutschen Telekom AG
gestellt.
Nicht abgedruckt worden sind die in den Stellungnahmen enthalte-
nen und von den Unternehmen als solche bezeichneten Betriebs-
und Geschäftsgeheimnisse.
Die zuständige Beschlusskammer wertet derzeit die Stellungnah-
men aus und prüft den Entscheidungsentwurf dahingehend, ob und
ggf. inwieweit er im Lichte der Stellungnahmen anzupassen ist. Es
ist beabsichtigt, den überarbeiteten Entwurf nach behördeninterner
Information und Abstimmung (§ 132 Abs. 4 TKG) und der Betei-
ligung des Bundeskartellamtes (§ 123 Abs. 1) gemäß §§ 13 Abs. 1,
12 Abs. 2 Nr. 1 S. 1 TKG zügig der EU-Kommission und den übrigen
nationalen Regulierungsbehörden zur Verfügung zu stellen. Der Ent-
scheidungsentwurf ist dann auf den Internetseiten der EU-Kommis-
sion abrufbar.
Im Anschluss an das Konsolidierungsverfahren ergeht die endgül-
tige Regulierungsverfügung zusammen mit den Ergebnissen der
Marktdefinition und Marktanalyse als einheitlicher Verwaltungsakt
(§ 13 Abs. 3 TKG). Diese Entscheidung wird zu gegebener Zeit
ebenfalls im Amtsblatt und auf den Internetseiten der Bundesnetz-
agentur veröffentlicht.
BK 4a-06-006/R




Bonn, 10. Mai 2006
37

Zur nächsten Seite