abl-18

Dieses Dokument ist Teil der Anfrage „Amtsblätter bis 2018

/ 124
PDF herunterladen
A
                                                     Amtsblatt der Bundesnetzagentur

      |
18 2005
                                    für Elektrizität, Gas, Telekommunikation, Post und Eisenbahnen
                                – Mitteilungen, Telekommunikation, Teil B, Mitteilungen der Diensteanbieter –                  1445
1.1.6 Terminvereinbarung                                                       liche Anfahrt zusätzlich berechnet. Die Entstörungsfrist gem.
                                                                               1.2.1 entfällt.
      Soweit erforderlich, vereinbart Teleos mit dem Kunden einen
      Termin für den Besuch eines Servicetechnikers von Teleos          1.2.7 Rückmeldung
      vor Ort. Dieser Termin wird mit einer Zeitspanne von einer
                                                                               Teleos teilt dem Kunden die erfolgreiche Beseitigung der
      Stunde angegeben (z. B. “zwischen 9:00 und 10:00 Uhr”).
                                                                               Störung unverzüglich telefonisch oder per Fax mit. Ist der
      Ist die Leistungserbringung im vereinbarten Zeitraum aus von             Kunde am Tag der Entstörung nicht erreichbar, erfolgt die
      dem Kunden zu vertretenden Gründen nicht möglich, wird ein               Benachrichtigung erst am Folgetag.
      neuer Termin vereinbart und eine gegebenenfalls erforderli-
                                                                        1.2.8 Absicherung der Entstörungsfrist
      che Anfahrt zusätzlich berechnet. Die Entstörungsfrist gem.
      1.1.1 entfällt.                                                          Wenn Teleos diese Entstörungsfrist nicht einhält und die
1.1.7 Rückmeldung                                                              Verspätung zu vertreten hat, schreibt Teleos dem Kunden
                                                                               folgenden Bruttobetrag gut:
      Teleos teilt dem Kunden die erfolgreiche Beseitigung der
      Störung unverzüglich telefonisch oder per Fax mit. Ist der               – 6,00 EUR bei einer Verspätung von bis zu einem Tag,
      Kunde am Tag der Entstörung in der Zeit der Servicebereit-               – 10,50 EUR bei einer Verspätung von mehr als einem bis zu
      schaft nicht erreichbar, erfolgt die Benachrichtigung erst am              drei Tagen,
      Folgetag.
                                                                               – 21,00 EUR bei einer Verspätung von mehr als drei Tagen.
1.1.8 Absicherung der Entstörungsfrist
                                                                               E.ON Westfalen Weser verrechnet die Gutschrift mit ihren
      Wenn Teleos diese Entstörungsfrist nicht einhält und die                 Forderungen aus diesem Vertragsverhältnis. Ansprüche des
      Verspätung zu vertreten hat, schreibt Teleos dem Kunden                  Kunden auf Schadensersatz bleiben hiervon unberührt.
      folgenden Bruttobetrag gut:
                                                                        1.3    Premium-Service
      – 6,00 EUR bei einer Verspätung von bis zu einem Werktag,
                                                                        1.3.1 Entstörungsfrist
      – 10,50 EUR bei einer Verspätung von mehr als einem bis zu
        drei Werktagen,                                                        Teleos beseitigt die Störungen innerhalb von acht Stunden
                                                                               nach Eingang der Störungsmeldung. Die Entstörungsfrist ist
      – 21,00 EUR bei einer Verspätung von mehr als drei Werk-                 eingehalten, wenn innerhalb der acht Stunden der Anschluss
        tagen.                                                                 (ggf. übergangsweise mit Qualitätseinschränkungen) wieder
      E.ON Westfalen Weser verrechnet die Gutschrift mit ihren                 genutzt werden kann. Die Störungsdauer errechnet sich aus
      Forderungen aus diesem Vertragsverhältnis. Ansprüche des                 der Zeitdifferenz zwischen dem Eingang der Störungsmel-
      Kunden auf Schadensersatz bleiben hiervon unberührt.                     dung bei der zuständigen Ansprechstelle von Teleos und
                                                                               dem Zeitpunkt der Rückmeldung über die Störungsbeseiti-
1.2   Business-Service
                                                                               gung durch die zuständige Stelle von Teleos.
1.2.1 Entstörungsfrist
                                                                               Verspätungen, die vom Kunden zu vertreten sind, vermindern
      Teleos beseitigt die Störung innerhalb von 24 Stunden nach               die errechnete Störungsdauer entsprechend.
      Eingang der Störungsmeldung. Die Entstörungsfrist ist einge-
                                                                        1.3.2 Annahme der Störungsmeldung
      halten, wenn innerhalb der 24 Stunden der Anschluss (ggf.
      übergangsweise mit Qualitätseinschränkungen) wieder                      Die Störungsannahme nimmt täglich von 0:00 bis 24:00
      genutzt werden kann. Die Störungsdauer errechnet sich aus                Störungsmeldungen unter der Rufnummer 0 180 -111 0 111
      der Zeitdifferenz zwischen dem Eingang der Störungsmel-                  entgegen.
      dung bei der zuständigen Ansprechstelle von Teleos und
                                                                        1.3.3 Servicebereitschaft
      dem Zeitpunkt der Rückmeldung über die Störungsbeseiti-
      gung durch die zuständige Stelle von Teleos.                             Die Servicebereitschaft besteht täglich von 0:00 bis 24:00
                                                                               Uhr.
      Verspätungen, die vom Kunden zu vertreten sind, vermindern
      die errechnete Störungsdauer entsprechend.                        1.3.4 Reaktionszeit
1.2.2 Annahme der Störungsmeldung                                              Eine Bestätigung der Störungsbearbeitung erfolgt in der
      Die Störungsannahme nimmt täglich Störungsmeldungen                      Regel innerhalb von einer Stunde (Reaktionszeit) an einen
      unter der Rufnummer 0 180 - 111 0 111 entgegen.                          vom Kunden spezifizierten Ansprechpartner. Ein Trouble-
                                                                               Ticket-System ermöglicht eine lückenlose Verfolgung von
1.2.3 Servicebereitschaft                                                      Störungsproblemen und deren Beseitigung.
      Die Servicebereitschaft besteht täglich von 0:00 bis 24:00        1.3.5 Zwischenmeldung
      Uhr.
                                                                               Teleos teilt auf Wunsch eine Zwischenmeldung über den
1.2.4 Reaktionszeit                                                            Bearbeitungsstand und den Ausblick auf weitere Maßnah-
      Eine Bestätigung der Störungsbearbeitung erfolgt in der                  men unter der Rufnummer 0 180 - 111 0 111 mit.
      Regel innerhalb von vier Stunden (Reaktionszeit) an einen         1.3.6 Terminvereinbarung
      vom Kunden spezifizierten Ansprechpartner. Ein Trouble-
      Ticket-System ermöglicht eine lückenlose Verfolgung von                  Soweit erforderlich, vereinbart Teleos mit dem Kunden einen
      Störungsproblemen und deren Beseitigung.                                 Termin für den Besuch eines Servicetechnikers von Teleos
                                                                               vor Ort. Dieser Termin wird mit einer Zeitspanne von einer
1.2.5 Zwischenmeldung                                                          Stunde angegeben (z. B. “zwischen 9:00 und 10:00 Uhr”).
      Teleos teilt auf Wunsch eine Zwischenmeldung über den                    Ist die Leistungserbringung im vereinbarten Zeitraum aus von
      Bearbeitungsstand und den Ausblick auf weitere Maßnah-                   dem Kunden zu vertretenden Gründen nicht möglich, wird ein
      men unter der Rufnummer 0 180 - 111 0 111 mit.                           neuer Termin vereinbart und eine gegebenenfalls erforderli-
1.2.6 Terminvereinbarung                                                       che Anfahrt zusätzlich berechnet. Die Entstörungsfrist gem.
                                                                               1.3.1 entfällt.
      Soweit erforderlich, vereinbart Teleos mit dem Kunden einen
      Termin für den Besuch eines Servicetechnikers von Teleos          1.3.7 Rückmeldung
      vor Ort. Dieser Termin wird mit einer Zeitspanne von einer
                                                                               Teleos teilt dem Kunden die erfolgreiche Beseitigung der
      Stunde angegeben (z. B. “zwischen 9:00 und 10:00 Uhr”).
                                                                               Störung unverzüglich telefonisch oder per Fax mit. Die Rück-
      Ist die Leistungserbringung im vereinbarten Zeitraum aus von             meldung kann durch den Servicetechniker von Teleos erfol-
      dem Kunden zu vertretenden Gründen nicht möglich, wird ein               gen. Ist der Kunde am Tag der Entstörung nicht erreichbar,
      neuer Termin vereinbart und eine gegebenenfalls erforder-                erfolgt die Benachrichtigung erst am Folgetag.



Bonn, 21. September 2005
113

A
                                                      Amtsblatt der Bundesnetzagentur

1446
                                     für Elektrizität, Gas, Telekommunikation, Post und Eisenbahnen
                                 – Mitteilungen, Telekommunikation, Teil B, Mitteilungen der Diensteanbieter –          18 2005|
1.3.8 Absicherung der Entstörungsfrist                                    Bereitstellung von webspace für eine private Homepage
      Wenn Teleos diese Entstörungsfrist nicht einhält und die            News: Zugang zu Newsforen
      Verspätung zu vertreten hat, schreibt Teleos dem Kunden
      folgenden Bruttobetrag gut:                                         E-mail: Versand und Empfang von E-mails sowie Speicherung
                                                                           der E-mails auf einem zentralen Server
      – 6,00 EUR bei einer Verspätung von bis zu einem Tag,
      – 10,50 EUR bei einer Verspätung von mehr als einem bis zu
                                                                         1      Option surf
        zwei Tagen,
                                                                         1.1    Basisleistungen
      – 21,00 EUR bei einer Verspätung von mehr als zwei Tagen.
                                                                                – Internetzugang für einen PC-Einzelplatz über eine Wähl-
      E.ON Westfalen Weser verrechnet die Gutschrift mit ihren                    verbindung.
      Forderungen aus diesem Vertragsverhältnis. Ansprüche des
      Kunden auf Schadensersatz bleiben hiervon unberührt.                      – Die Einwahl über das Teleos-ISDN-Kommunikationsnetz
                                                                                  bzw. über das Teleos-Analog-Kommunikationsnetz ist in
                                                                                  dem Preis der Option surf enthalten. In diesem Fall werden
Teil 4: Option web (Interneteinwahl)                                              keine weiteren Nutzungs- oder Verbindungsentgelte
                                                                                  berechnet (uneingeschränktes Volumenkontingent).
Die Teleos überlässt dem Kunden im Rahmen der bestehenden
technischen und betrieblichen Möglichkeiten einen Internetzu-                   – Bei Einwahl über andere Netze kommen die Teleos-Tarife
gang mit folgenden Merkmalen:                                                     entsprechend der gültigen Preisliste der Option surf zur
                                                                                  Anwendung.
 Http (hyper text transfer protocol): Darstellung der Inhalte des
  www (world wide web)                                                          – Bei Einwahl über das Teleos-DSL-Kommunikationsnetz
                                                                                  wird das angefallene Datenvolumen gemäß der aktuellen
 Ftp (file transfer protocol): Datentransfer von ftp-Servern                     Volumenpreise der Optionen DSL 384, DSL 1000 FairFlat,
 Bereitstellung von webspace für eine private Homepage                           DSL 3000 FairFlat und DSL 6000 abgerechnet. Ein Volu-
                                                                                  menkontingent ist nicht enthalten.
 News: Zugang zu Newsforen
                                                                         -      – Einrichtung eines E-mail-Postfaches des Typs: wunsch-
 E-mail: Versand und Empfang von E-mails sowie Speicherung
                                                                                  name@teleos-web.de.
  der E-mails auf einem zentralen Server
                                                                                – Bereitstellung von 10 MB Speicherplatz je E-mail-Post-
                                                                                  fach. Die E-mails werden bis zur Speicherobergrenze des
1     Option web                                                                  E-mail-Postfaches entgegengenommen. Bei Überschrei-
1.1   Basisleistungen                                                             tungen werden die auflaufenden Mails an den Absender
                                                                                  zurückgesendet.
 Internetzugang für einen PC-Einzelplatz über eine Wählverbin-
                                                                                – Bereitstellung von 10 MB Speicherplatz für die Einrichtung
  dung.
                                                                                  einer Homepage mit Baumstruktur auf einem zentralen
 Einrichtung eines E-mail-Postfaches des Typs:                                   Server.
  wunschname@teleos-web.de.
                                                                                – Upload der persönlichen Homepage über einen FTP-
 Bei Einwahl über andere Netze kommen die Teleos-Tarife ent-                     Zugang.
  sprechend der gültigen Preisliste der Option web zur Anwen-            1.2    Zusätzliche Leistungen
  dung.
                                                                                – Bereitstellung weiterer E-mail-Postfächer mit je 10 MB
 Bei Einwahl über das Teleos-DSL-Kommunikationsnetz wird das                     Speicherplatz. Die E-mails werden bis zur Speicherober-
  angefallene Datenvolumen gemäß der aktuellen Volumenpreise                      grenze des E-mail-Postfaches entgegengenommen. Bei
  der Optionen DSL 384, DSL 1000 FairFlat, DSL 3000 FairFlat und                  Überschreitungen werden die auflaufenden Mails an den
  DSL 6000 abgerechnet. Ein Volumenkontingent ist nicht enthal-                   Absender zurückgesendet. Es können maximal neun wei-
  ten.                                                                            tere E-mail-Postfächer eingerichtet werden.
 Bereitstellung von 10 MB Speicherplatz je E-mail-Postfach. Die                – Bereitstellung von weiterem Speicherplatz für die Home-
  E-mails werden bis zur Speicherobergrenze des E-mail-Postfa-                    page
  ches entgegengenommen. Bei Überschreitungen werden die
  auflaufenden Mails an den Absender zurückgesendet.
 Bereitstellung von 10 MB Speicherplatz für die Einrichtung einer       Teil 6: Option DSL 384 (ADSL-Internetzugang)
  Homepage mit Baumstruktur auf einem zentralen Server.                  Die Teleos überlässt dem Kunden im Rahmen der bestehenden
 Upload der persönlichen Homepage über einen FTP-Zugang.                technischen und betrieblichen Möglichkeiten einen Internetzugang
                                                                         mit folgenden Merkmalen:
 Bereitstellung von Zugangssoftware auf CD-ROM.
                                                                          Http (hyper text transfer protocol): Darstellung der Inhalte des
1.2   Zusätzliche Leistungen                                               www (world wide web)
 Bereitstellung weiterer E-mail-Postfächer mit je 10 MB Speicher-        Ftp (file transfer protocol): Datentransfer von ftp-Servern
  platz. Die E-mails werden bis zur Speicherobergrenze des E-
                                                                          Bereitstellung von webspace für eine private Homepage
  mail-Postfaches entgegengenommen. Bei Überschreitungen
  werden die auflaufenden Mails an den Absender zurückgesen-              News: Zugang zu Newsforen
  det. Es können maximal neun weitere E-mail-Postfächer einge-            E-mail: Versand und Empfang von E-mails sowie Speicherung
  richtet werden.                                                          der E-mails auf einem zentralen Server
 Bereitstellung von weiterem Speicherplatz für die Homepage
                                                                         1      Option DSL 384
Teil 5: Option surf (Interneteinwahl)                                    1.1    Basisleistungen
Die Teleos überlässt dem Kunden im Rahmen der bestehenden                       – Internetzugang über eine ADSL-Anbindung.
technischen und betrieblichen Möglichkeiten einen Internetzugang
                                                                                – Die Standardeinstellung bei der Datenübertragung ist
mit folgenden Merkmalen:
                                                                                  interleaved value high.
 Http (hyper text transfer protocol): Darstellung der Inhalte des
                                                                                – Mit der ADSL-Anbindung wird im Rahmen der technischen
  www (world wide web)
                                                                                  Möglichkeiten ein schneller Internetzugang mit Übertra-
 Ftp (file transfer protocol): Datentransfer von ftp-Servern                     gungsraten von bis zu 384 kbit/s Downstream und 128



                                                                                                                  Bonn, 21. September 2005
114

A
                                                      Amtsblatt der Bundesnetzagentur

      |
18 2005
                                     für Elektrizität, Gas, Telekommunikation, Post und Eisenbahnen
                                – Mitteilungen, Telekommunikation, Teil B, Mitteilungen der Diensteanbieter –                    1447
      kbit/s Upstream ermöglicht. Je nach Länge und Qualität der                 nimmt insoweit keine Gewähr für die uneingeschränkte
      Anschlussleitung werden diese Werte im Einzelfall nicht zu                 Funktionalität dieses Leistungsmerkmals.
      100% erreicht. Aufgrund des technischen Verfahrens bei der
      Übermittlung der IP-Pakete kann im Zugangsnetz zwischen
      der Kundenlokation und dem IP-Backbone ein Leistungsver-          Teil 7: Option DSL 1000 (ADSL-Internetzugang)
      lust beim IP-Durchsatz von bis zu 20% entstehen. Die Rea-         Die Teleos überlässt dem Kunden im Rahmen der bestehenden
      lisierungsmöglichkeit und die Leistungsfähigkeit einer An-        technischen und betrieblichen Möglichkeiten einen Internetzugang
      bindung mittels ADSL-Technologie werden u. a. durch die           mit folgenden Merkmalen:
      Leitungslänge zwischen der Ortsvermittlungsstelle und dem
      Anschluss des Kunden bestimmt. Je nach Leitungslänge               Http (hyper text transfer protocol): Darstellung der Inhalte des
      wird die Verfügbarkeit im Einzelfall geprüft und ggf. im Rah-       www (world wide web)
      men der technischen und betrieblichen Möglichkeiten ein            Ftp (file transfer protocol): Datentransfer von ftp-Servern
      Alternativangebot unterbreitet. Ab einer bestimmten Lei-           Bereitstellung von webspace für eine private Homepage
      tungslänge wird die Anbindung mittels ADSL-Technologie
      abgelehnt. In einigen Ortsnetzen ist die Anbindung mittels         News: Zugang zu Newsforen
      ADSL-Technologie derzeit nicht möglich. Auch hier wird ggf.        E-mail: Versand und Empfang von E-mails sowie Speicherung
      im Rahmen der technischen und betrieblichen Möglichkeiten           der E-mails auf einem zentralen Server
      ein Alternativangebot unterbreitet. Teleos behält sich vor, die
      Verbindung zum Internet nach Ablauf einer bestimmten Zeit
      zu unterbrechen. Ein sofortiger Wiederaufbau der Verbin-          1      Option DSL 1000
      dung ist möglich.                                                 1.1    Basisleistungen
      – Die Nutzung der Verbindung zum Internet über die ADSL-                 – Internetzugang über eine ADSL-Anbindung.
        Anbindung mit unbegrenzter Onlinezeit ist in dem Preis der
        Option DSL 384 enthalten.                                              – Die Standardeinstellung bei der Datenübertragung ist
                                                                                 interleaved value high.
      – Es sind 2 GB Übertragungsvolumen inbegriffen. Bei Über-
                                                                               – Mit der ADSL-Anbindung wird im Rahmen der technischen
        schreitung der 2 GB wird jedes weiter MB entsprechend
                                                                                 Möglichkeiten ein schneller Internetzugang mit Übertra-
        der gültigen Preisliste der Option DSL 384 berechnet.
                                                                                 gungsraten von bis zu 1.024 kbit/s Downstream und 256
      – Einrichtung von drei E-mail-Postfächern des Typs:                        kbit/s Upstream ermöglicht. Je nach Länge und Qualität
        wunschname@teleos-web.de.                                                der Anschlussleitung werden diese Werte im Einzelfall
                                                                                 nicht zu 100% erreicht. Aufgrund des technischen Verfah-
      – Bereitstellung von 10 MB Speicherplatz je E-mail-Post-
                                                                                 rens bei der Übermittlung der IP-Pakete kann im Zugangs-
        fach. Die E-mails werden bis zur Speicherobergrenze des
                                                                                 netz zwischen der Kundenlokation und dem IP-Backbone
        E-mail-Postfaches entgegengenommen. Bei Überschrei-
                                                                                 ein Leistungsverlust beim IP-Durchsatz von bis zu 20%
        tungen werden die auflaufenden Mails an den Absender
                                                                                 entstehen. Die Realisierungsmöglichkeit und die Leis-
        zurückgesendet.
                                                                                 tungsfähigkeit einer Anbindung mittels ADSL-Technologie
      – Zusätzlich besteht die Möglichkeit der Einwahl aus dem                   werden u. a. durch die Leitungslänge zwischen der Orts-
        Teleos-Netz und anderen Telefonnetzen entsprechend der                   vermittlungsstelle und dem Anschluss des Kunden
        gültigen Preisliste der Option DSL 384.                                  bestimmt. Je nach Leitungslänge wird die Verfügbarkeit im
      – Bereitstellung von 10 MB Speicherplatz für die Einrichtung               Einzelfall geprüft und ggf. im Rahmen der technischen und
        einer Homepage mit Baumstruktur auf einem zentralen                      betrieblichen Möglichkeiten ein Alternativangebot unter-
        Server.                                                                  breitet. Ab einer bestimmten Leitungslänge wird die An-
                                                                                 bindung mittels ADSL-Technologie abgelehnt. In einigen
      – Upload der persönlichen Homepage über einen FTP-                         Ortsnetzen ist die Anbindung mittels ADSL-Technologie
        Zugang.                                                                  derzeit nicht möglich. Auch hier wird ggf. im Rahmen der
      Zur Installation wird das vorhandene Leitungsnetz verwen-                  technischen und betrieblichen Möglichkeiten ein Alterna-
      det. Werden mehrere Anschlüsse innerhalb eines Inhouse-                    tivangebot unterbreitet. Teleos behält sich vor, die Verbin-
      netzes bereitgestellt, können bei gleichzeitiger Nutzung                   dung zum Internet nach Ablauf einer bestimmten Zeit zu
      gegenseitige Beeinflussungen und Störungen nicht ausge-                    unterbrechen. Ein sofortiger Wiederaufbau der Verbindung
      schlossen werden. Als Abschluss wird dem Kunden die                        ist möglich.
      10BaseT-Schnittstelle IEEE 802.3i zur Anschaltung von End-               – Bei der Option DSL 1000 mit FairFlat ist die Nutzung der
      stelleneinrichtungen zur Verfügung gestellt.                               Verbindung zum Internet über die ADSL-Anbindung mit
                                                                                 unbegrenzter Onlinezeit sowie ein Übertragungsvolumen
1.2   Zusätzliche Leistungen
                                                                                 von 20 GB im Preis enthalten. Bei Überschreitung der
      – Bereitstellung weiterer E-mail-Postfächer mit je 10 MB                   20 GB wird jedes weiter MB entsprechend der gültigen
        Speicherplatz. Die E-mails werden bis zur Speicherober-                  Preisliste der Option DSL 1000 berechnet.
        grenze des E-mail-Postfaches entgegengenommen. Bei                     – Bei der Option DSL 1000 mit Flat ist die Nutzung der
        Überschreitungen werden die auflaufenden Mails an den                    Verbindung zum Internet über die ADSL- Anbindung mit
        Absender zurückgesendet. Es können maximal sieben                        unbegrenzter Onlinezeit sowie mit unbegrenztem Übertra-
        weitere E-mail-Postfächer eingerichtet werden.                           gungsvolumen im Preis enthalten.
      – Bereitstellung von weiterem Speicherplatz für die Home-                – Einrichtung von drei E-mail-Postfächern des Typs:
        page.                                                                    wunschname@teleos-web.de.
      – Einrichtung des Leistungsmerkmal Fastpath (latency value               – Bereitstellung von 10 MB Speicherplatz je E-mail-Post-
        fast) als Änderung eines Fehlerkorrekturverfahrens bei der               fach. Die E-mails werden bis zur Speicherobergrenze des
        Datenübertragung, um eine Verringerung der Signallaufzeit                E-mail-Postfaches entgegengenommen. Bei Überschrei-
        zu erreichen. Die Bereitstellung von Fastpath an einem                   tungen werden die auflaufenden Mails an den Absender
        ADSL-Anschluss von Teleos erfolgt im Rahmen der techni-                  zurückgesendet.
        schen und betrieblichen Möglichkeiten und ist abhängig
        von den physikalischen Gegebenheiten der Anschluss-                    – Zusätzlich besteht die Möglichkeit der Einwahl aus dem
        leitung. Eine endgültige Auftragsbestätigung erfolgt erst                Teleos-Netz und anderen Telefonnetzen entsprechend der
        nach entsprechender technischer Prüfung des jeweiligen                   gültigen Preisliste der Option DSL 1000.
        Anschlusses. Die Nutzung des Leistungsmerkmals Fast-                   – Bereitstellung von 10 MB Speicherplatz für die Einrichtung
        path ist abhängig von Leistung und Konfiguration der vom                 einer Homepage mit Baumstruktur auf einem zentralen
        Kunden eingesetzten Hard- und Software; Teleos über-                     Server.



Bonn, 21. September 2005
115

A
                                                      Amtsblatt der Bundesnetzagentur

1448
                                     für Elektrizität, Gas, Telekommunikation, Post und Eisenbahnen
                                 – Mitteilungen, Telekommunikation, Teil B, Mitteilungen der Diensteanbieter –           18 2005|
      – Upload der persönlichen Homepage über einen FTP-                           tivangebot unterbreitet. Teleos behält sich vor, die Verbin-
        Zugang.                                                                    dung zum Internet nach Ablauf einer bestimmten Zeit zu
                                                                                   unterbrechen. Ein sofortiger Wiederaufbau der Verbindung
      Zur Installation wird das vorhandene Leitungsnetz verwen-
                                                                                   ist möglich.
      det. Werden mehrere Anschlüsse innerhalb eines Inhouse-
      netzes bereitgestellt, können bei gleichzeitiger Nutzung                  – Bei der Option DSL 3000 mit FairFlat ist die Nutzung der
      gegenseitige Beeinflussungen und Störungen nicht ausge-                     Verbindung zum Internet über die ADSL-Anbindung mit
      schlossen werden. Als Abschluss wird dem Kunden die                         unbegrenzter Onlinezeit sowie ein Übertragungsvolumen
      10BaseT-Schnittstelle IEEE 802.3i zur Anschaltung von End-                  von 30 GB im Preis enthalten. Bei Überschreitung der
      stelleneinrichtungen zur Verfügung gestellt.                                30 GB wird jedes weiter MB entsprechend der gültigen
1.2   Zusätzliche Leistungen                                                      Preisliste der Option DSL 3000 berechnet.

      – Bereitstellung weiterer E-mail-Postfächer mit je 10 MB                  – Bei der Option DSL 3000 mit Flat ist die Nutzung der
        Speicherplatz. Die E-mails werden bis zur Speicherober-                   Verbindung zum Internet über die ADSL- Anbindung mit
        grenze des E-mail-Postfaches entgegengenommen. Bei                        unbegrenzter Onlinezeit sowie mit unbegrenztem Übertra-
        Überschreitungen werden die auflaufenden Mails an den                     gungsvolumen im Preis enthalten.
        Absender zurückgesendet. Es können maximal sieben                       – Einrichtung von drei E-mail-Postfächern des Typs:
        weitere E-mail-Postfächer eingerichtet werden.                            wunschname@teleos-web.de.
      – Bereitstellung von weiterem Speicherplatz für die Home-                 – Bereitstellung von 10 MB Speicherplatz je E-mail-Post-
        page.                                                                     fach. Die E-mails werden bis zur Speicherobergrenze des
      – Einrichtung des Leistungsmerkmal Fastpath (latency value                  E-mail-Postfaches entgegengenommen. Bei Überschrei-
        fast) als Änderung eines Fehlerkorrekturverfahrens bei der                tungen werden die auflaufenden Mails an den Absender
        Datenübertragung, um eine Verringerung der Signallaufzeit                 zurückgesendet.
        zu erreichen. Die Bereitstellung von Fastpath an einem                  – Zusätzlich besteht die Möglichkeit der Einwahl aus dem
        ADSL-Anschluss von Teleos erfolgt im Rahmen der techni-                   Teleos-ISDN-Kommunikationsnetz bzw. aus dem Teleos-
        schen und betrieblichen Möglichkeiten und ist abhängig                    Analog-Kommunikationsnetz und anderen Telefonnetzen
        von den physikalischen Gegebenheiten der Anschluss-                       entsprechend der gültigen Preisliste der Option DSL 3000.
        leitung. Eine endgültige Auftragsbestätigung erfolgt erst
        nach entsprechender technischer Prüfung des jeweiligen                  – Bereitstellung von 10 MB Speicherplatz für die Einrichtung
        Anschlusses. Die Nutzung des Leistungsmerkmals Fast-                      einer Homepage mit Baumstruktur auf einem zentralen
        path ist abhängig von Leistung und Konfiguration der vom                  Server.
        Kunden eingesetzten Hard- und Software; Teleos über-                    – Upload der persönlichen Homepage über einen FTP-
        nimmt insoweit keine Gewähr für die uneingeschränkte                      Zugang.
        Funktionalität dieses Leistungsmerkmals.
                                                                                Zur Installation wird das vorhandene Leitungsnetz verwen-
                                                                                det. Werden mehrere Anschlüsse innerhalb eines Inhouse-
Teil 8: Option DSL 3000 (ADSL-Internetzugang)                                   netzes bereitgestellt, können bei gleichzeitiger Nutzung
                                                                                gegenseitige Beeinflussungen und Störungen nicht ausge-
 Http (hyper text transfer protocol): Darstellung der Inhalte des
                                                                                schlossen werden. Als Abschluss wird dem Kunden die
  www (world wide web)
                                                                                10BaseT-Schnittstelle IEEE 802.3i zur Anschaltung von End-
 Ftp (file transfer protocol): Datentransfer von ftp-Servern                   stelleneinrichtungen zur Verfügung gestellt.
 Bereitstellung von webspace für eine private Homepage                  1.2    Zusätzliche Leistungen
 News: Zugang zu Newsforen                                                     – Bereitstellung weiterer E-mail-Postfächer mit je 10 MB
 E-mail: Versand und Empfang von E-mails sowie Speicherung                       Speicherplatz. Die E-mails werden bis zur Speicherober-
  der E-mails auf einem zentralen Server                                          grenze des E-mail-Postfaches entgegengenommen. Bei
                                                                                  Überschreitungen werden die auflaufenden Mails an den
                                                                                  Absender zurückgesendet. Es können maximal sieben
1     Option DSL 3000                                                             weitere E-mail-Postfächer eingerichtet werden.
1.1   Basisleistungen                                                           – Bereitstellung von weiterem Speicherplatz für die Home-
                                                                                  page.
      – Internetzugang über eine ADSL-Anbindung.
                                                                                – Einrichtung des Leistungsmerkmal Fastpath (latency value
      – Die Standardeinstellung bei der Datenübertragung ist
                                                                                  fast) als Änderung eines Fehlerkorrekturverfahrens bei der
        interleaved value high.
                                                                                  Datenübertragung, um eine Verringerung der Signallaufzeit
      – Mit der ADSL-Anbindung wird im Rahmen der technischen                     zu erreichen. Die Bereitstellung von Fastpath an einem
        Möglichkeiten ein schneller Internetzugang mit Übertra-                   ADSL-Anschluss von Teleos erfolgt im Rahmen der techni-
        gungsraten von bis zu 3.072 kbit/s Downstream und 512                     schen und betrieblichen Möglichkeiten und ist abhängig
        kbit/s Upstream ermöglicht. Je nach Länge und Qualität                    von den physikalischen Gegebenheiten der Anschluss-
        der Anschlussleitung werden diese Werte im Einzelfall                     leitung. Eine endgültige Auftragsbestätigung erfolgt erst
        nicht zu 100% erreicht. Aufgrund des technischen Verfah-                  nach entsprechender technischer Prüfung des jeweiligen
        rens bei der Übermittlung der IP-Pakete kann im Zugangs-                  Anschlusses. Die Nutzung des Leistungsmerkmals Fast-
        netz zwischen der Kundenlokation und dem IP-Backbone                      path ist abhängig von Leistung und Konfiguration der vom
        ein Leistungsverlust beim IP-Durchsatz von bis zu 20%                     Kunden eingesetzten Hard- und Software; Teleos über-
        entstehen. Die Realisierungsmöglichkeit und die Lei-                      nimmt insoweit keine Gewähr für die uneingeschränkte
        stungsfähigkeit einer Anbindung mittels ADSL-Technolo-                    Funktionalität dieses Leistungsmerkmals.
        gie werden u. a. durch die Leitungslänge zwischen der
        Ortsvermittlungsstelle und dem Anschluss des Kunden
        bestimmt. Je nach Leitungslänge wird die Verfügbarkeit im        Teil 9: Option DSL 6000 (ADSL-Internetzugang)
        Einzelfall geprüft und ggf. im Rahmen der technischen und
                                                                          Http (hyper text transfer protocol): Darstellung der Inhalte des
        betrieblichen Möglichkeiten ein Alternativangebot unter-
                                                                           www (world wide web)
        breitet. Ab einer bestimmten Leitungslänge wird die Anbin-
        dung mittels ADSL-Technologie abgelehnt. In einigen               Ftp (file transfer protocol): Datentransfer von ftp-Servern
        Ortsnetzen ist die Anbindung mittels ADSL-Technologie
                                                                          Bereitstellung von webspace für eine private Homepage
        derzeit nicht möglich. Auch hier wird ggf. im Rahmen der
        technischen und betrieblichen Möglichkeiten ein Alterna-          News: Zugang zu Newsforen



                                                                                                                   Bonn, 21. September 2005
116

A
                                                     Amtsblatt der Bundesnetzagentur

      |
18 2005
                                    für Elektrizität, Gas, Telekommunikation, Post und Eisenbahnen
                                – Mitteilungen, Telekommunikation, Teil B, Mitteilungen der Diensteanbieter –                  1449
 E-mail: Versand und Empfang von E-mails sowie Speicherung                      Überschreitungen werden die auflaufenden Mails an den
  der E-mails auf einem zentralen Server                                         Absender zurückgesendet. Es können maximal sieben
                                                                                 weitere E-mail-Postfächer eingerichtet werden.
                                                                               – Bereitstellung von weiterem Speicherplatz für die Home-
1     Option DSL 6000                                                            page.
1.1   Basisleistungen                                                          – Einrichtung des Leistungsmerkmal Fastpath (latency value
      – Internetzugang über eine ADSL-Anbindung.                                 fast) als Änderung eines Fehlerkorrekturverfahrens bei der
                                                                                 Datenübertragung, um eine Verringerung der Signallaufzeit
      – Die Standardeinstellung bei der Datenübertragung ist                     zu erreichen. Die Bereitstellung von Fastpath an einem
        interleaved value high.                                                  ADSL-Anschluss von Teleos erfolgt im Rahmen der techni-
      – Mit der ADSL-Anbindung wird im Rahmen der technischen                    schen und betrieblichen Möglichkeiten und ist abhängig
        Möglichkeiten ein schneller Internetzugang mit Übertra-                  von den physikalischen Gegebenheiten der Anschluss-
        gungsraten von bis zu 6.144 kbit/s Downstream und 576                    leitung. Eine endgültige Auftragsbestätigung erfolgt erst
        kbit/s Upstream ermöglicht. Je nach Länge und Qualität                   nach entsprechender technischer Prüfung des jeweiligen
        der Anschlussleitung werden diese Werte im Einzelfall                    Anschlusses. Die Nutzung des Leistungsmerkmals Fast-
        nicht zu 100% erreicht. Aufgrund des technischen Verfah-                 path ist abhängig von Leistung und Konfiguration der vom
        rens bei der Übermittlung der IP-Pakete kann im Zugangs-                 Kunden eingesetzten Hard- und Software; Teleos über-
        netz zwischen der Kundenlokation und dem IP-Backbone                     nimmt insoweit keine Gewähr für die uneingeschränkte
        ein Leistungsverlust beim IP-Durchsatz von bis zu 20%                    Funktionalität dieses Leistungsmerkmals.
        entstehen. Die Realisierungsmöglichkeit und die Leis-
        tungsfähigkeit einer Anbindung mittels ADSL-Technologie
        werden u. a. durch die Leitungslänge zwischen der Orts-         E.ON Westfalen Weser AG                               strom & fon
        vermittlungsstelle und dem Anschluss des Kunden                                                                 Stand: 01.09.2005
        bestimmt. Je nach Leitungslänge wird die Verfügbarkeit im
        Einzelfall geprüft und ggf. im Rahmen der technischen und
        betrieblichen Möglichkeiten ein Alternativangebot unter-
        breitet. Ab einer bestimmten Leitungslänge wird die An-
        bindung mittels ADSL-Technologie abgelehnt. In einigen
        Ortsnetzen ist die Anbindung mittels ADSL-Technologie
        derzeit nicht möglich. Auch hier wird ggf. im Rahmen der
        technischen und betrieblichen Möglichkeiten ein Alterna-
        tivangebot unterbreitet. Teleos behält sich vor, die Verbin-
        dung zum Internet nach Ablauf einer bestimmten Zeit zu
        unterbrechen. Ein sofortiger Wiederaufbau der Verbindung
        ist möglich.
      – Die Nutzung der Verbindung zum Internet über die ADSL-
        Anbindung ist mit unbegrenzter Onlinezeit in dem Preis der
        Option DSL 6000 enthalten.
      – Es sind 40 GB Übertragungsvolumen inbegriffen. Bei
        Überschreitung der 40 GB wird jedes weitere MB entspre-
        chend der gültigen Preisliste der Option DSL 6000 berech-
        net.
      – Einrichtung von drei E-mail-Postfächern des Typs:
        wunschname@teleos-web.de.
      – Bereitstellung von 10 MB Speicherplatz je E-mail-Post-
        fach. Die E-mails werden bis zur Speicherobergrenze des
        E-mail-Postfaches entgegengenommen. Bei Überschrei-
        tungen werden die auflaufenden Mails an den Absender
        zurückgesendet.
      – Zusätzlich besteht die Möglichkeit der Einwahl aus dem
        Teleos-ISDN-Kommunikationsnetz bzw. aus dem Teleos-
        Analog-Kommunikationsnetz und anderen Telefonnetzen
        entsprechend der gültigen Preisliste der Option DSL 6000.
      – Bereitstellung von 10 MB Speicherplatz für die Einrichtung
        einer Homepage mit Baumstruktur auf einem zentralen
        Server.
      – Upload der persönlichen Homepage über einen FTP-
        Zugang.
      Zur Installation wird das vorhandene Leitungsnetz des Tele-
      fonanschlusses verwendet. Werden mehrere Anschlüsse
      innerhalb eines Inhousenetzes bereitgestellt, können bei
      gleichzeitiger Nutzung gegenseitige Beeinflussungen und
      Störungen nicht ausgeschlossen werden. Als Abschluss wird
      dem Kunden die 10BaseT-Schnittstelle IEEE 802.3i zur
      Anschaltung von Endstelleneinrichtungen zur Verfügung
      gestellt.
1.2   Zusätzliche Leistungen
      – Bereitstellung weiterer E-mail-Postfächer mit je 10 MB
        Speicherplatz. Die E-mails werden bis zur Speicherober-
        grenze des E-mail-Postfaches entgegengenommen. Bei



Bonn, 21. September 2005
117

A
                                                   Amtsblatt der Bundesnetzagentur

1450
                                  für Elektrizität, Gas, Telekommunikation, Post und Eisenbahnen
                              – Mitteilungen, Telekommunikation, Teil B, Mitteilungen der Diensteanbieter –              |
                                                                                                                   18 2005
Mitteilung Nr. 243/2005




                                                                                                              Bonn, 21. September 2005
118

A
                                                Amtsblatt der Bundesnetzagentur

      |
18 2005
                               für Elektrizität, Gas, Telekommunikation, Post und Eisenbahnen
                           – Mitteilungen, Telekommunikation, Teil B, Mitteilungen der Diensteanbieter –   1451




Bonn, 21. September 2005
119

A
                                Amtsblatt der Bundesnetzagentur

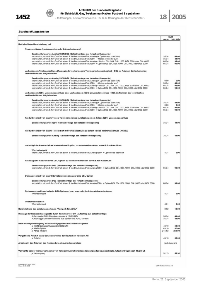
1452
               für Elektrizität, Gas, Telekommunikation, Post und Eisenbahnen
           – Mitteilungen, Telekommunikation, Teil B, Mitteilungen der Diensteanbieter –              |
                                                                                                18 2005




                                                                                           Bonn, 21. September 2005
120


                                            
                                                
                                                121
                                            
                                        


                                            
                                                
                                                122
                                            
                                        

Zur nächsten Seite