BStbl Nr. 20 2011

Bundessteuerblatt Nr. 20 aus 2011

/ 154
PDF herunterladen
1. Januar 2010, BStBl 2009 I S. 1601). Bei Reisen vom Inland in das Ausland bestimmt sich der Pauschbetrag nach dem Ort, den
der Steuerpflichtige vor 24 Uhr Ortszeit erreicht hat. Für eintägige Reisen ins Ausland und für Rückreisetage aus dem Ausland in das
Inland ist der Pauschbetrag des letzten Tätigkeitsortes im Ausland maßgebend.

Für die in der Bekanntmachung nicht erfassten Länder ist der für Luxemburg geltende Pauschbetrag maßgebend, für nicht erfasste
Übersee- und Außengebiete eines Landes ist der für das Mutterland geltende Pauschbetrag maßgebend.

Die Pauschbeträge für Übernachtungskosten sind ausschließlich in den Fällen der Arbeitgebererstattung anwendbar (R 9.7 Absatz 3
und R 9.11 Absatz 10 Satz 7 Nummer 3 LStR). Für den Werbungskostenabzug sind nur die tatsächlichen Übernachtungskosten
maßgebend (R 9.7 Absatz 2 und R 9.11 Absatz 8 LStR); dies gilt entsprechend für den Betriebsausgabenabzug (R 4.12 Absatz 2
und 3 EStR).

Dieses Schreiben gilt entsprechend für doppelte Haushaltsführungen im Ausland.

Dieses Schreiben steht ab sofort für eine Übergangszeit auf den Internetseiten des Bundesministeriums der Finanzen (http://
www.bundesfinanzministerium.de) unter der Rubrik Wirtschaft und Verwaltung - Steuern - Veröffentlichung zu Steuerarten - Lohn‐
steuer - BMF-Schreiben/Allgemeines zur Verfügung.




                                                            Im Auftrag

                                                          Dr. M i s e r a
141

BStbl Seite 1267
Steuerberaterprüfung
Gleich lautende Erlasse
der obersten Finanzbehörden der Länder

über den Termin der schriftlichen Steuerberaterprüfung 2012 und
die hierfür zugelassenen Hilfsmittel

Vom 1. Dezember 2011

Der schriftliche Teil der Steuerberaterprüfung 2012 findet bundeseinheitlich vom

9. bis 11. Oktober 2012

statt. Für die Zulassung zur Prüfung, Befreiung von der Prüfung und die organisatorische Durchführung der Prüfung sind die Steuer‐
beraterkammern zuständig. Entsprechende Anträge sind an die zuständigen Steuerberaterkammern zu richten. Näheres regeln die
Bekanntmachungen der Steuerberaterkammern, die in den Kammermitteilungen und auf den Internetseiten der Steuerberaterkam‐
mern veröffentlicht werden.

Für den schriftlichen Teil der Steuerberaterprüfung 2012 werden als Hilfsmittel Textausgaben (Loseblatt-Sammlung oder gebunden)
beliebiger Verlage zugelassen. Mindestens benötigt werden die Texte folgender Gesetze einschließlich ggf. hierzu erlassener Durch‐
führungsverordnungen und Richtlinien:


- Abgabenordnung, Finanzgerichtsordnung, Verwaltungszustellungsgesetz,



- Erbschaftsteuer- und Schenkungsteuergesetz, Bewertungsgesetz,



- Umsatzsteuergesetz,



- Einkommensteuergesetz, Körperschaftsteuergesetz, Gewerbesteuergesetz,



- Umwandlungsgesetz, Umwandlungssteuergesetz,



- Außensteuergesetz,



- Investitionszulagengesetz,



- Grunderwerbsteuergesetz, Grundsteuergesetz,



- Bürgerliches Gesetzbuch, Handelsgesetzbuch, Aktiengesetz, GmbH-Gesetz,



- Steuerberatungsgesetz.


Es liegt in der Verantwortung der Bewerber, dafür Sorge zu tragen, dass ihnen neben dem aktuellen Rechtsstand des Prüfungsjah‐
res 2012 die vorgenannten Vorschriften auch in der für das Kalenderjahr 2011 geltenden Fassung zur Verfügung stehen. Sofern bei
der Lösung einzelner Aufgaben ein anderer Rechtsstand maßgeblich ist, werden die entsprechenden Rechtsvorschriften dem Aufga‐
bentext als Anlage beigefügt.

Die Textausgaben dürfen weitere Gesetzestexte, Verwaltungsanweisungen der Finanzbehörden, Leitsatzzusammenstellungen, Fuß‐
noten und Stichwortverzeichnisse enthalten. Fachkommentare sind ausdrücklich nicht zugelassen.

Die jeweiligen Textausgaben sind von den Bewerbern selbst zu beschaffen und zur Prüfung mitzubringen. Sie dürfen außer Unter‐
streichungen, Markierungen und Hilfen zum schnelleren Auffinden der Vorschriften (sog. Griffregister) keine weiteren Anmerkungen
oder Eintragungen enthalten. Die Griffregister dürfen Stichworte aus der Überschrift und Paragraphen enthalten. Eine weitere Be‐
schriftung ist nicht zulässig.
142

Die Benutzung eines nicht programmierbaren Taschenrechners ist zulässig.




Ministerium für Finanzen und Wirtschaft Baden-Württemberg

3 - S 095.4/13

Bayerisches Staatsministerium der Finanzen

37 - S 0853 - 112 - 19 999/11

Senatsverwaltung für Finanzen Berlin

S 0853 - 5/1991

Ministerium der Finanzen des Landes Brandenburg

36 - S 0853 - 3/09

Die Senatorin für Finanzen der Freien Hansestadt Bremen

S 0853 - 2803

Finanzbehörde der Freien und Hansestadt Hamburg

55 - S 0853 - 033/09

Hessisches Ministerium der Finanzen

S 0853 A - 2 - II 1 a

Finanzministerium Mecklenburg-Vorpommern

IV 310 - S 0853 - 00000 - 2011/003

Niedersächsisches Finanzministerium

S 0853 - 4 - 33

Finanzministerium des Landes Nordrhein-Westfalen

S 0853 - 7 - V A 2

Ministerium der Finanzen des Landes Rheinland-Pfalz

S 0853 A - 12 - 001

Ministerium der Finanzen des Saarlandes

B/1 - S 0853 - 1#006

Sächsisches Staatsministerium der Finanzen

31 - S 0853 - 2/207 - 25969

Ministerium der Finanzen des Landes Sachsen-Anhalt

41 - S 0954 - 3

Finanzministerium des Landes Schleswig-Holstein

VI 33 - S 0853 - 094

Thüringer Finanzministerium

S 0853 A - 3
143

BStbl Seite 1268
Umsatzsteuer

Bundesministerium der Finanzen                                            Berlin, 1. Dezember 2011


IV D 2 - S 7229/07/10002
2011/0867613

Oberste Finanzbehörden
der L ä n d e r

Ermäßigter Umsatzsteuersatz für Umsätze mit Sammlermünzen;
Bekanntgabe des Gold- und Silberpreises für das Kalenderjahr 2012

BMF-Schreiben vom 5. August 2004 - IV B 7 - S 7220 - 46/04 - (BStBl I S. 638);
BMF-Schreiben vom 1. Dezember 2010 - IV D 2 - S 7229/07/10002 (2010/0828723) - (BStBl I S. 1374)

(1) Für die Anwendung des ermäßigten Steuersatzes auf die steuerpflichtigen Umsätze von Sammlermünzen (§ 12 Abs. 2 Nr. 1 und
2 UStG i. V. m. Nummer 54 Buchstabe c Doppelbuchstabe cc der Anlage 2 zum UStG) im Kalenderjahr 2012 gilt Folgendes:




1. Goldmünzen


Auf die steuerpflichtigen Umsätze von Goldmünzen ist der ermäßigte Umsatzsteuersatz anzuwenden, wenn die Bemessungsgrund‐
lage für diese Umsätze mehr als 250 % des unter Zugrundelegung des Feingewichts berechneten Metallwerts ohne Umsatzsteuer
beträgt. Für steuerpflichtige Goldmünzenumsätze muss der Unternehmer zur Bestimmung des zutreffenden Steuersatzes den Me‐
tallwert von Goldmünzen grundsätzlich anhand der aktuellen Tagespreise für Gold ermitteln. Maßgebend ist der von der Londoner
Börse festgestellte Tagespreis (Nachmittagsfixing) für die Feinunze Gold (1 Feinunze = 31,1035 Gramm). Dieser in US-Dollar festge‐
stellte Wert muss anhand der aktuellen Umrechnungskurse in Euro umgerechnet werden.

Aus Vereinfachungsgründen kann der Unternehmer jedoch auch den letzten im Monat November festgestellten Gold-Tagespreis für
das gesamte folgende Kalenderjahr zu Grunde legen. Für das Kalenderjahr 2012 ist die Metallwertermittlung nach einem Goldpreis
(ohne Umsatzsteuer) von 41 776 € je Kilogramm (umgerechneter Tagespreis vom 30. November 2011) vorzunehmen.




2. Silbermünzen


Nach Tz. 174 Nr. 2 des Bezugsschreibens kann aus Vereinfachungsgründen bei der Ermittlung des Metallwerts (Silberwerts) von Sil‐
bermünzen der letzte im Monat November festgestellte Preis je Kilogramm Feinsilber für das gesamte folgende Kalenderjahr zu
Grunde gelegt werden. Für das Kalenderjahr 2012 ist die Wertermittlung nach einem Silberpreis (ohne Umsatzsteuer) von 817 € je
Kilogramm (Tagespreis vom 30. November 2011) vorzunehmen.

(2) Die Liste der dem allgemeinen Steuersatz unterliegenden Silbermünzen (Anlage des Bezugsschreibens) gilt grundsätzlich auch
für das Kalenderjahr 2012. Etwaige Änderungen der Liste werden ggf. besonders bekannt gegeben werden.

Dieses Schreiben steht ab sofort für eine Übergangszeit auf den Internetseiten des Bundesministeriums der Finanzen (http://
www.bundesfinanzministerium.de) unter der Rubrik Wirtschaft und Verwaltung - Steuern - Veröffentlichungen zu Steuerarten - Um‐
satzsteuer - BMF-Schreiben/Allgemeines zum Herunterladen bereit.




                                                            Im Auftrag

                                                          Kraeusel
144

BStbl Seite 1269
Umsatzsteuer

Bundesministerium der Finanzen                                       Berlin, 2. Dezember 2011


IV D 3 - S 7279/10/10002
2011/0959642

Oberste Finanzbehörden
der L ä n d e r

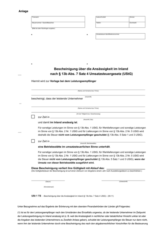
Steuerschuldnerschaft des Leistungsempfängers (§ 13b UStG);
Vordruckmuster USt 1 TS - Bescheinigung über die Ansässigkeit im Inland (§ 13b Abs. 7 Satz 4 UStG) -

BMF-Schreiben vom 7. November 2011 - IV D 3 - S 7279/10/10002 (2011/0846699) -
145

Unter Bezugnahme auf das Ergebnis der Erörterung mit den obersten Finanzbehörden der Länder gilt Folgendes:

(1) Ist es für den Leistungsempfänger nach den Umständen des Einzelfalls ungewiss, ob der leistende Unternehmer im Zeitpunkt
der Leistungserbringung im Inland ansässig ist (z. B. weil die Ansässigkeit in rechtlicher oder tatsächlicher Hinsicht unklar ist oder
die Angaben des leistenden Unternehmers zu Zweifeln Anlass geben), schuldet der Leistungsempfänger die Steuer nur dann nicht,
wenn ihm der leistende Unternehmer durch eine Bescheinigung des nach den abgabenrechtlichen Vorschriften für die Besteuerung
146

seiner Umsätze zuständigen Finanzamts nachweist, dass er kein Unternehmer im Sinne des § 13b Abs. 7 Satz 1 UStG ist (§ 13b
Abs. 7 Satz 4 UStG). Die Bescheinigung hat der leistende Unternehmer bei dem für ihn zuständigen Finanzamt zu beantragen. So‐
weit erforderlich, hat er hierbei in geeigneter Weise darzulegen, dass er im Inland ansässig ist. Für die Bescheinigung nach § 13b
Abs. 7 Satz 4 UStG wird das Vordruckmuster


USt 1 TS - Bescheinigung über die Ansässigkeit im Inland (§ 13b Abs. 7 Satz 4 UStG) -


neu bekannt gegeben (Anlage). Es ersetzt das mit BMF-Schreiben vom 21. Juli 2010 - IV D 3 - S 7279/10/10002 (2010/0567856) -
(BStBl I S. 626) eingeführte Vordruckmuster.

(2) Hat der Unternehmer im Inland eine Betriebsstätte und führt er einen Umsatz nach § 13b Absatz 1 oder Absatz 2 Nummer 1 oder
Nummer 5 UStG aus, gilt er hinsichtlich dieses Umsatzes als im Ausland oder im übrigen Gemeinschaftsgebiet ansässig, wenn der
Umsatz nicht von der Betriebsstätte ausgeführt wird (§ 13b Abs. 7 Satz 2 UStG). Wird dagegen die Rechnung über einen Umsatz
unter Angabe der einer inländischen Betriebsstätte erteilten Umsatzsteuer-Identifikationsnummer (USt-IdNr.) ausgestellt, gilt die Be‐
triebsstätte als an dem Umsatz beteiligt, so dass der Unternehmer als im Inland ansässig anzusehen ist (vgl. Artikel 53 der Durch‐
führungsverordnung (EU) Nr. 282/2011, ABl. EU 2011 Nr. L 77 S. 1). Zum Zwecke des Abgleichs mit der USt-IdNr. aus der Rechnung
wurde das Vordruckmuster USt 1 TS um die Angabe der USt-IdNr. des leistenden Unternehmers ergänzt.

(3) Die anderen Änderungen gegenüber dem bisherigen Vordruckmuster sind lediglich redaktioneller Art.

(4) Die Gültigkeitsdauer der Bescheinigung ist auf ein Jahr zu beschränken. Ist nicht auszuschließen, dass der leistende Unterneh‐
mer nur für eine kürzere Dauer als ein Jahr im Inland ansässig bleibt, hat das Finanzamt die Gültigkeit der Bescheinigung entspre‐
chend zu befristen.

Dieses Schreiben steht ab sofort für eine Übergangszeit auf den Internetseiten des Bundesministeriums der Finanzen (http://
www.bundesfinanzministerium.de) unter der Rubrik Wirtschaft und Verwaltung - Steuern - Veröffentlichungen zu Steuerarten - Um‐
satzsteuer - BMF-Schreiben/Allgemeines zum Download bereit.




                                                             Im Auftrag

                                                            Kraeusel
147

BStbl Seite 1271
Umsatzsteuer
Drittes Gesetz
                                                   1)
zur Änderung des Umsatzsteuergesetzes

Vom 6. Dezember 2011

Der Bundestag hat mit Zustimmung des Bundesrates das folgende Gesetz beschlossen:

Artikel 1

Änderung des Umsatzsteuergesetzes

§ 20 des Umsatzsteuergesetzes in der Fassung der Bekanntmachung vom 21. Februar 2005 (BGBI. I S. 386), das zuletzt durch Arti‐
kel 5 des Gesetzes vom 1. November 2011 (BGBI. I S. 2131) geändert worden ist, wird wie folgt geändert:


   Absatz 1 wird wie folgt geändert:



1. a) Die Absatzbezeichnung "(1)" wird gestrichen.


    b) In Satz 1 Nummer 1 wird die Angabe "250 000" durch die Angabe "500 000" ersetzt.



2. Absatz 2 wird aufgehoben.


Artikel 2

Inkrafttreten

Dieses Gesetz tritt am 1. Januar 2012 in Kraft.


Das vorstehende Gesetz wird hiermit ausgefertigt. Es ist im Bundesgesetzblatt zu verkünden.

Berlin den 6. Dezember 2011

                                                  Der Bundespräsident
                                                        Christian Wulff




                                                  Die Bundeskanzlerin
                                                     Dr. A n g e l a M e r k e l




                                        Der Bundesminister der Finanzen
                                                           Schäuble

1) BGBl. I S. 2562 vom 13. Dezember 2011
148

BStbl Seite 1272
Umsatzsteuer

Bundesministerium der Finanzen                                              Berlin, 9. Dezember 2011


IV D 2 - S 7333/11/10001
2011/0989130

Oberste Finanzbehörden
der L ä n d e r

Umsatzsteuer;
Änderung der Bemessungsgrundlage nach Rückgewähr der Anzahlung bzw. des Entgelts,
§ 17 Abs. 2 Nr. 2 und Nr. 3 UStG

BFH-Urteil vom 2. September 2010 - V R 34/09 - (BStBl 2011 II S. 991)

Mit Urteil vom 2. September 2010 - V R 34/09 - (BStBl 2011 II S. 991) hat der BFH entschieden, dass es in Fällen, in denen der Un‐
ternehmer eine Anzahlung vereinnahmt, ohne die hierfür geschuldete Leistung zu erbringen, erst mit der Rückgewähr der Anzahlung
zur Minderung der Bemessungsgrundlage nach § 17 Abs. 2 Nr. 2 UStG kommt. Entsprechendes gilt für § 17 Abs. 2 Nr. 3 UStG: Wird
die Leistung nach Vereinnahmung des Entgelts rückgängig gemacht, entsteht der Berichtigungsanspruch erst mit der Rückgewähr
des Entgelts.

Mit diesem Urteil führt der BFH seine Rechtsprechung vom 18. September 2008 - V R 56/06 - (BStBl 2009 II S. 250) fort, nach der
eine Vereinbarung zwischen dem leistenden Unternehmer und dem Leistungsempfänger über die vollständige oder teilweise Rück‐
zahlung des entrichteten Entgelts die Bemessungsgrundlage nach § 17 Abs. 1 Satz 1 UStG nur mindert, soweit das Entgelt tatsäch‐
lich zurückgezahlt wird; die Berichtigung ist für den Besteuerungszeitraum der Rückgewähr vorzunehmen.

Unter Bezugnahme auf das Ergebnis der Erörterungen mit den obersten Finanzbehörden der Länder wird der Umsatzsteuer-Anwen‐
dungserlass vom 1. Oktober 2010 (BStBl I S. 846), der zuletzt durch das BMF-Schreiben vom 14. November 2011 - IV D 2 - S
7100/07/10028 :003 (2011/0877938) - (BStBl I S. 1158) geändert worden ist, wie folgt geändert:


   Abschnitt 13.5 Abs. 6 wird wie folgt gefasst:

1. "(6) Zur Rechnungserteilung bei der Istversteuerung von Anzahlungen vgl. Abschnitt 14.8, zum Vorsteuerabzug bei Anzahlungen
   vgl. Abschnitt 15.3 und zur Minderung der Bemessungsgrundlage bei Rückgewährung einer Anzahlung vgl. Abschnitt
   17.1 Abs. 7."



   Abschnitt 17.1 Abs. 7 wird wie folgt gefasst:

   "(7) 1Steuer- und Vorsteuerberichtigungen sind auch erforderlich, wenn für eine Leistung ein Entgelt entrichtet, die Leistung je‐
   doch nicht ausgeführt worden ist (§ 17 Abs. 2 Nr. 2 UStG). 2Diese Regelung steht im Zusammenhang mit der in § 13 Abs. 1 Nr.
   1 Buchstabe a Satz 4 UStG vorgeschriebenen Besteuerung von Zahlungen vor Ausführung der Leistungen. 3Die Minderung
   der Bemessungsgrundlage nach § 17 Abs. 2 Nr. 2 UStG erfolgt erst in dem Besteuerungszeitraum, in dem die Anzah‐
   lung zurückgewährt worden ist (vgl. BFH-Urteil vom 2. 9. 2010, V R 34/09, BStBl 2011 II S. 991).

2. B e i s p i e l :

   1Über das Vermögen eines Unternehmers, der Anzahlungen erhalten und versteuert hat, wird das Insolvenzverfahren eröffnet,

   bevor er eine Leistung erbracht hat. 2Der Insolvenzverwalter lehnt die Erfüllung des Vertrages ab und gewährt die Anzahlun‐
   gen zurück. 3Der Unternehmer, der die vertraglich geschuldete Leistung nicht erbracht hat, hat die Steuer auf die Anzahlung im
   Besteuerungszeitraum der Rückgewähr nach § 17 Abs. 2 Nr. 2 UStG zu berichtigen. 4Unabhängig davon hat der Unterneh‐
   mer, an den die vertraglich geschuldete Leistung erbracht werden sollte, den Vorsteuerabzug in sinngemäßer Anwendung des §
   17 Abs. 1 Satz 2 UStG im Besteuerungszeitraum der Rückgewähr zu berichtigen."



   In Abschnitt 17.1 Abs. 8 wird nach Satz 4 folgender Satz 5 angefügt:

    5
3. " Wird die Leistung nach Vereinnahmung des Entgelts rückgängig gemacht, entsteht der Berichtigungsanspruch nach
   § 17 Abs. 2 Nr. 3 UStG erst mit der Rückgewähr des Entgelts (vgl. BFH-Urteil vom 2. 9. 2010, V R 34/09, BStBl 2011 II S.
   991)."
149

Die Grundsätze dieses Schreibens sind in allen offenen Fällen anzuwenden.

Dieses Schreiben steht ab sofort für eine Übergangszeit auf den Internetseiten des Bundesministeriums der Finanzen (http://
www.bundesfinanzministerium.de) unter der Rubrik Wirtschaft und Verwaltung - Steuern - Veröffentlichungen zu Steuerarten - Um‐
satzsteuer - Umsatzsteuer-Anwendungserlass zum Herunterladen bereit.




                                                            Im Auftrag

                                                            Himsel
150

Zur nächsten Seite