BStbl Nr. 19 2001

Bundessteuerblatt Nr. 19 aus 2001

/ 87
PDF herunterladen
Die Verordnung tritt am 15. 10. 2001 in Kraft. Gleichzeitig tritt die Verordnung über die Zuständigkeiten der Finanzämter vom 16.
Juli 1999 (Amtsblatt S. 1187) außer Kraft.




                                              Saarbrücken, den 28. September 2001

                                      Der Minister für Finanzen und Bundesangelegenheiten

                                                       Peter Jacoby
51

BStbl Seite 873
Finanzverwaltung
  ST


Verordnung
zur Änderung der Verordnung über zentrale
Zuständigkeiten der Finanzbehörden

Vom 17. Oktober 2001

Auf Grund des § 17 Abs. 2 Satz 3 und Abs. 3 Satz 1 des Finanzverwaltungsgesetzes in der Fassung vom 30. August 1971 (BGBl. I
S. 1426), zuletzt geändert durch Artikel 8c des Gesetzes zur Änderung des Bundesdatenschutzgesetzes und anderer Gesetze vom
18. Mai 2001 (BGBl. I S. 904), in Verbindung mit der Verordnung zur Übertragung von Ermächtigungen nach dem Finanzverwal‐
tungsgesetz, der Abgabenordnung und dem Kraftfahrzeugsteuergesetz vom 25. März 1991 (GVBl. LSA S. 20) wird verordnet:

                                                                  §1

Die Anlage zur Verordnung über zentrale Zuständigkeiten der Finanzbehörden vom 16. Dezember 1997 (GVBl. LSA S. 1075) wird
wie folgt geändert:

1. In Nummer 2 Buchstabe b Spalte 4 werden die Worte "Halle-West" durch die Worte "Halle-Nord" ersetzt.

     Nummer 3 wird wie folgt geändert:
        Buchstabe a wird wie folgt geändert:
              In Spalte 3
              aaa) werden nach dem Wort "Fassung" die Worte "der Bekanntmachung" eingefügt,

                     werden die Worte "Artikel 1 des Kraft-
     a) aa)
                     fahrzeugsteueränderungsgesetzes 1997 vom 18. April 1997 (BGBl. I S. 805)" durch die Worte "Artikel 31 des
              bbb)
                     Neunten Buches Sozialgesetzbuch Rehabilitation und Teilhabe behinderter Menschen vom 19. Juni 2001 (BGBl.
                     I S. 1046)" ersetzt.

        bb) In Spalte 4 werden die Worte "Halle-West" durch die Worte "Halle-Nord" ersetzt.

        Buchstabe b wird wie folgt geändert:
              In Spalte 3
              aaa) werden nach dem Wort "Fassung" die Worte "der Bekanntmachung" eingefügt,

     b) aa)          werden die Worte "Artikel 1 des Jahressteuergesetzes 1997 vom 20. Dezember 1996 (BGBl. I S. 2049)" durch
              bbb) die Worte "Artikel 2 des Gesetzes zur Anpassung steuerlicher Vorschriften der Land- und Forstwirtschaft vom
                     29. Juni 1998 (BGBl. I S. 1692)" ersetzt.
2.
        bb) In Spalte 4 werden die Worte "Halle-West" durch die Worte "Halle-Nord" ersetzt.

     c) In Buchstabe c Spalte 4 werden die Worte "Halle-West" durch die Worte "Halle-Nord" ersetzt.

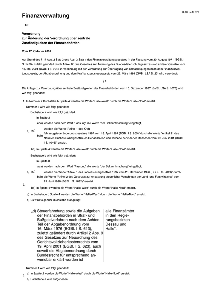
     d) Es wird folgender Buchstabe d angefügt:




     Nummer 4 wird wie folgt geändert:
     a) In Spalte 2 werden die Worte "Halle-West" durch die Worte "Halle-Nord" ersetzt.
3.
     b) Buchstabe a wird aufgehoben.
52

c) Buchstaben b und c werden neue Buchstaben a und b.

   Nummer 7 wird wie folgt geändert:
        Buchstabe c Spalte 3 wird wie folgt geändert:
        aa) Nach dem Wort "Fassung" werden die Worte "der Bekanntmachung" eingefügt.
   a)         Die Worte "Artikel 3 des Kraftfahrzeugsteuer-
        bb) änderungsgesetzes 1997 vom 18. April 1997 (BGBl. I S. 805)" werden durch die Worte "Artikel 28 Abs. 4 des Zerle‐
              gungs- und Kraftfahrzeugsteueränderungsgesetzes vom 6. August 1998 (BGBl. I S. 1998)" ersetzt.

        In Buchstabe e Spalte 3 werden die Worte "einschließlich § 50a Abs. 7 des Einkommensteuergesetzes in der Fassung der
   b) Bekanntmachung vom 16. April 1997 (BGBl. I S. 821), zuletzt geändert durch Artikel 6 des Sozialgesetzbuches - Neuntes
        Buch - Rehabilitation und Teilhabe behinderter Menschen vom 19. Juni 2001 (BGBl. I S. 1048)" angefügt.

        In Buchstabe f Spalte 3 werden die Worte "geändert durch Verordnung vom 22. Mai 1996 (BGBl. I S. 700)" durch die Worte
   c)
        "zuletzt geändert durch Artikel 20 des Steuerbereinigungsgesetzes 1999 vom 22. Dezember 1999 (BGBl. I S. 2601)" ersetzt.

        Buchstabe j Spalte 3 wird wie folgt geändert:
        aa) Nach dem Wort "Fassung" werden die Worte "der Bekanntmachung" eingefügt.
4. d)
              Es werden die Worte ", zuletzt geändert durch Artikel 6 des Altersvermögensgesetzes vom 26. Juni 2001 (BGBl. I S.
        bb)
              1310)" angefügt.

        Buchstabe k Spalte 3 erhält folgende Fassung:
              Besteuerung
              1. der Unternehmen, die ihren Sitz nach § 11 der Abgabenordnung im Ausland haben,

                   der ausländischen Werkvertragsarbeit-
              2.
                   nehmer,
   e)              der Unternehmen mit Sitz nach § 11 der Abgabenordnung im Ausland, die Arbeitnehmerüberlassung ohne Erlaubnis
        "k)
                   nach § 1 Abs. 1 des Arbeitnehmerüberlassungsgesetzes in der Fassung der Bekanntmachung vom 3. Februar 1995
                   (BGBl. I S. 158), zuletzt geändert durch Artikel 2 des Gesetzes zur Reform des Betriebsverfassungsgesetzes vom
              3.
                   23. Juli 2001 (BGBl. I S. 1852) betreiben, und deren Leiharbeitnehmer einschließlich der Verwaltung der Lohnsteu‐
                   er und der Umsatzsteuer, sofern nach § 21 Abs. 1 Satz 1 der Abgabenordnung ein Finanzamt des Landes Sach‐
                   sen-Anhalt für die Umsatzbesteuerung zuständig wäre".

                                                                     §2

Diese Verordnung tritt am 1. November 2001 in Kraft.




Magdeburg den 17. Oktober 2001

                                                           Der Minister der Finanzen
                                                        des Landes Sachsen-Anhalt

                                                                Gerhards
53

BStbl Seite 874
Körperschaftsteuer

Bundesministerium der Finanzen                                           Berlin, 22. November 2001

IV A 2 - S 2770 - 33/01

Oberste Finanzbehörden
der L ä n d e r

Organschaftliche Ausgleichszahlungen;
Steuerliche Behandlung beim Übergang zum neuen Körperschaftsteuersystem

Sitzung KSt/GewSt IV/01, TOP I/16




Im Einvernehmen mit den obersten Finanzbehörden der Länder nehme ich zur steuerlichen Behandlung von organschaftlichen Aus‐
gleichszahlungen beim Übergang zum neuen Körperschaftsteuersystem wie folgt Stellung:

Ausgleichszahlungen sind keine Gewinnausschüttungen, die auf einem den gesellschaftsrechtlichen Vorschriften entsprechenden
Gewinnausschüttungsbeschluss beruhen. Der Vierte Teil des KStG i. d. F. der Bekanntmachung vom 22. April 1999 (BGBl. I Seite
817), zuletzt geändert durch Art. 4 des Gesetzes vom 14. Juli 2000 (BGBl. I Seite 1034), ist daher gemäß § 34 Absatz 10a Nr. 2
KStG i. d. F. des Artikels 3 des Gesetzes vom 23. Oktober 2000 (BGBl. I Seite 1433) - KStG n.F. - letztmals für Ausgleichszahlungen
an außenstehende Anteilseigner (§ 16 KStG) anzuwenden, die in dem Wirtschaftsjahr der Organgesellschaft erfolgen, welches dem
ersten Wirtschaftsjahr vorangeht, das in dem Veranlagungszeitraum endet, für den das KStG n.F. erstmals anzuwenden ist. Bei ka‐
lenderjahrgleichem Wirtschaftsjahr sind dies Ausgleichszahlungen, die in 2000 erfolgen. Spätere Ausgleichszahlungen werden nach
KStG n.F. abgewickelt. Bei Ausgleichszahlungen für das Wirtschaftsjahr der letztmaligen Anwendung des KStG a.F. hat die Organ‐
gesellschaft im Rahmen des § 16 KStG 100/70 der Ausgleichszahlung zu versteuern.

Es wird nicht beanstandet, wenn die für das Wirtschaftsjahr der letztmaligen Anwendung des KStG a.F. geleistete Ausgleichszahlung
unter entsprechender Anwendung des § 34 Absatz 10a KStG n.F. nach den gleichen Grundsätzen abgewickelt wird, die für Gewinn‐
ausschüttungen gelten, die auf einem den gesellschaftsrechtlichen Vorschriften entsprechenden Gewinnverteilungsbeschluss für ein
abgelaufenes Wirtschaftsjahr beruhen, und die in dem ersten Wirtschaftsjahr erfolgen, das in dem Veranlagungszeitraum endet, für
den das Körperschaftsteuergesetz neuer Fassung erstmals anzuwenden ist.

Dieses Schreiben steht ab sofort für eine Übergangszeit auf den Internetseiten des Bundesfinanzministeriums unter
www.bundesfinanzministerium.de unter "Fachabteilungen/Infos" der Abteilung "Besitz- und Verkehrsteuern" unter der Rubrik "Kör‐
perschaft-/Umwandlungssteuer" als Downloadangebot bereit.



                                                            Im Auftrag

                                                   Müller-Gatermann
54

BStbl Seite 875
Lohnsteuer
Bekanntmachung
der Vordruckmuster für Anzeigen
nach § 8 Abs. 1 Nr. 1 bis 3 VermBDV 1994 (VermB 12)
und nach § 8 Abs. 1 Nr. 4 bis 6 VermBDV 1994 (VermB 13)
und der Datensatzbeschreibung für die Übermittlung
auf maschinell lesbaren Datenträgern

Die Vordruckmuster für Anzeigen nach § 8 Abs. 1 VermBDV 1994 und die Datensatzbeschreibung für die Übermittlung auf maschi‐
nell lesbaren Datenträgern werden hiermit in der Anlage bekannt gemacht.
55

Die
56


                                            
                                                
                                                57
                                            
                                        


                                            
                                                
                                                58
                                            
                                        

Die
59


                                            
                                                
                                                60
                                            
                                        

Zur nächsten Seite