BStbl Nr. 2 2008

Bundessteuerblatt Nr. 2 aus 2008

/ 244
PDF herunterladen
werden, kann von dem Gesellschafter nicht die Spendenbegünstigung des § 10b EStG (§ 9 Abs. 1 Nr. 2 KStG) in Anspruch ge‐
      nommen werden.




Zu § 55 Abs. 1 Nr. 4:


      Eine wesentliche Voraussetzung für die Annahme der Selbstlosigkeit bildet der Grundsatz der Vermögensbindung für steuerbe‐
      günstigte Zwecke im Falle der Beendigung des Bestehens der Körperschaft oder des Wegfalles des bisherigen Zwecks (§ 55
      Abs. 1 Nr. 4).
24.
      Hiermit soll verhindert werden, dass Vermögen, das sich aufgrund der Steuervergünstigungen gebildet hat, später zu nicht be‐
      günstigten Zwecken verwendet wird. Die satzungsmäßigen Anforderungen an die Vermögensbindung sind in den §§ 61 und 62
      geregelt.



      Eine Körperschaft ist nur dann steuerbegünstigt i.S.d. § 55 Abs. 1 Nr. 4 Satz 2, wenn sie nach § 5 Abs. 1 Nr. 9 KStG von der
      Körperschaftsteuer befreit ist. Dies kann nur eine Körperschaft sein, die unbeschränkt steuerpflichtig ist (§ 5 Abs. 2 Nr. 2 KStG).
25.
      Eine satzungsmäßige Vermögensbindung auf eine nicht unbeschränkt steuerpflichtige ausländische Körperschaft genügt des‐
      halb nicht den Anforderungen (vgl. zu § 61 Nr. 1).




Zu § 55 Abs. 1 Nr. 5:


      Die Körperschaft muss ihre Mittel grundsätzlich zeitnah für ihre steuerbegünstigten satzungsmäßigen Zwecke verwenden. Ver‐
      wendung in diesem Sinne ist auch die Verwendung der Mittel für die Anschaffung oder Herstellung von Vermögensgegenstän‐
      den, die satzungsmäßigen Zwecken dienen (z.B. Bau eines Altenheims, Kauf von Sportgeräten oder medizinischen Geräten).

26. Die Bildung von Rücklagen ist nur unter den Voraussetzungen des § 58 Nrn. 6 und 7 zulässig. Davon unberührt bleiben Rück‐
    lagen in einem steuerpflichtigen wirtschaftlichen Geschäftsbetrieb und Rücklagen im Bereich der Vermögensverwaltung (vgl.
      Nr. 3). Die Verwendung von Mitteln, die zeitnah für die steuerbegünstigten Zwecke zu verwenden sind, für die Ausstattung einer
      Körperschaft mit Vermögen ist ein Verstoß gegen das Gebot der zeitnahen Mittelverwendung, es sei denn, die Mittel werden
      von der empfangenden Körperschaft zeitnah für satzungsmäßige Zwecke verwendet, z.B. für die Errichtung eines Altenheims.



      Eine zeitnahe Mittelverwendung ist gegeben, wenn die Mittel spätestens in dem auf den Zufluss folgenden Kalender- oder Wirt‐
      schaftsjahr für die steuerbegünstigten satzungsmäßigen Zwecke verwendet werden. Am Ende des Kalender- oder Wirtschafts‐
      jahres noch vorhandene Mittel müssen in der Bilanz oder Vermögensaufstellung der Körperschaft zulässigerweise dem Vermö‐
27. gen oder einer zulässigen Rücklage zugeordnet oder als im zurückliegenden Jahr zugeflossene Mittel, die im folgenden Jahr
      für die steuerbegünstigten Zwecke zu verwenden sind, ausgewiesen sein. Soweit Mittel nicht schon im Jahr des Zuflusses für
      die steuerbegünstigten Zwecke verwendet oder zulässigerweise dem Vermögen zugeführt werden, ist ihre zeitnahe Verwen‐
      dung nachzuweisen, zweckmäßigerweise durch eine Nebenrechnung (Mittelverwendungsrechnung).



      Nicht dem Gebot der zeitnahen Mittelverwendung unterliegt das Vermögen der Körperschaften, auch soweit es durch Um‐
      schichtungen entstanden ist (z.B. Verkauf eines zum Vermögen gehörenden Grundstücks einschließlich des den Buchwert
28.
      übersteigenden Teils des Preises). Außerdem kann eine Körperschaft die in § 58 Nrn. 11 und 12 bezeichneten Mittel ohne für
      die Gemeinnützigkeit schädliche Folgen ihrem Vermögen zuführen.




Zu § 55 Abs. 2:


      Wertsteigerungen bleiben für steuerbegünstigte Zwecke gebunden. Bei der Rückgabe des Wirtschaftsguts selbst hat der Emp‐
29.
      fänger die Differenz in Geld auszugleichen.




Zu § 55 Abs. 3:
41

Die Regelung, nach der sich die Vermögensbindung nicht auf die eingezahlten Kapitalanteile der Mitglieder und den gemeinen
      Wert der von den Mitgliedern geleisteten Sacheinlagen erstreckt, gilt bei Stiftungen für die Stifter und ihre Erben sinngemäß (§
      55 Abs. 3 erster Halbsatz). Es ist also zulässig, das Stiftungskapital und die Zustiftungen von der Vermögensbindung auszu‐
30.
      nehmen und im Falle des Erlöschens der Stiftung an den Stifter oder seine Erben zurückfallen zu lassen. Für solche Stiftungen
      und Zustiftungen kann aber vom Stifter nicht die Spendenvergünstigung nach § 10b EStG (§ 9 Abs. 1 Nr. 2 KStG) in Anspruch
      genommen werden.



      Die Vorschrift des § 55 Abs. 3 zweiter Halbsatz, die sich nur auf Stiftungen und Körperschaften des öffentlichen Rechts bezieht,
      berücksichtigt die Regelung im EStG, wonach die Entnahme eines Wirtschaftsgutes mit dem Buchwert angesetzt werden kann,
      wenn das Wirtschaftsgut den in § 6 Abs. 1 Nr. 4 Satz 4 EStG genannten Körperschaften unentgeltlich überlassen wird. Dies hat
31. zur Folge, dass der Zuwendende bei der Aufhebung der Stiftung nicht den gemeinen Wert der Zuwendung, sondern nur den
      dem ursprünglichen Buchwert entsprechenden Betrag zurückerhält. Stille Reserven und Wertsteigerungen bleiben hiernach für
      steuerbegünstigte Zwecke gebunden. Bei Rückgabe des Wirtschaftsgutes selbst hat der Empfänger die Differenz in Geld aus‐
      zugleichen.




AEAO zu § 56 - Ausschließlichkeit:

Die Vorschrift stellt klar, dass eine Körperschaft mehrere steuerbegünstigte Zwecke nebeneinander verfolgen darf, ohne dass da‐
durch die Ausschließlichkeit verletzt wird. Die verwirklichten steuerbegünstigten Zwecke müssen jedoch sämtlich satzungsmäßige
Zwecke sein. Will demnach eine Körperschaft steuerbegünstigte Zwecke, die nicht in die Satzung aufgenommen sind, fördern, so ist
eine Satzungsänderung erforderlich, die den Erfordernissen des § 60 entsprechen muss.



AEAO zu § 57 - Unmittelbarkeit:


     Die Vorschrift stellt in Absatz 1 klar, dass die Körperschaft die steuerbegünstigten satzungsmäßigen Zwecke selbst verwirklichen
1.
     muss, damit Unmittelbarkeit gegeben ist (wegen der Ausnahmen Hinweis auf § 58).



     Das Gebot der Unmittelbarkeit ist gemäß § 57 Abs. 1 Satz 2 auch dann erfüllt, wenn sich die steuerbegünstigte Körperschaft ei‐
     ner Hilfsperson bedient. Hierfür ist es erforderlich, dass nach den Umständen des Falles, insbesondere nach den rechtlichen
     und tatsächlichen Beziehungen, die zwischen der Körperschaft und der Hilfsperson bestehen, das Wirken der Hilfsperson wie ei‐
     genes Wirken der Körperschaft anzusehen ist, d.h. die Hilfsperson nach den Weisungen der Körperschaft einen konkreten Auf‐
     trag ausführt. Hilfsperson kann eine natürliche Person, Personenvereinigung oder juristische Person sein. Die Körperschaft hat
     durch Vorlage entsprechender Vereinbarungen nachzuweisen, dass sie den Inhalt und den Umfang der Tätigkeit der Hilfsperson

2. bestimmen kann. Als Vertragsformen kommen z.B. Arbeits , Dienst- oder Werkverträge in Betracht. Im Innenverhältnis muss die
   Hilfsperson an die Weisung der Körperschaft gebunden sein. Die Tätigkeit der Hilfsperson muss den Satzungsbestimmungen
     der Körperschaft entsprechen. Diese hat nachzuweisen, dass sie die Hilfsperson überwacht. Die weisungsgemäße Verwendung
     der Mittel ist von ihr sicherzustellen.

     Die Steuerbegünstigung einer Körperschaft, die nur über eine Hilfsperson das Merkmal der Unmittelbarkeit erfüllt (§ 57 Abs. 1
     Satz 2), ist unabhängig davon zu gewähren, wie die Hilfsperson gemeinnützigkeitsrechtlich behandelt wird. Ein Handeln als
     Hilfsperson nach § 57 Abs. 1 Satz 2 begründet keine eigene steuerbegünstigte Tätigkeit.



     Nach Absatz 2 wird eine Körperschaft, in der steuerbegünstigte Körperschaften zusammengefasst sind, einer Körperschaft
     gleichgestellt, die unmittelbar steuerbegünstigte Zwecke verfolgt. Voraussetzung ist, dass jede der zusammengefassten Körper‐
     schaften sämtliche Voraussetzungen für die Steuerbegünstigung erfüllt. Verfolgt eine solche Körperschaft selbst unmittelbar
3.
     steuerbegünstigte Zwecke, ist die bloße Mitgliedschaft einer nicht steuerbegünstigten Organisation für die Steuerbegünstigung
     unschädlich. Die Körperschaft darf die nicht steuerbegünstigte Organisation aber nicht mit Rat und Tat fördern (z.B. Zuweisung
     von Mitteln, Rechtsberatung).




AEAO zu § 58 - Steuerlich unschädliche Betätigungen:


Zu § 58 Nr. 1:
42

Diese Ausnahmeregelung ermöglicht, so genannte Fördervereine und Spendensammelvereine als steuerbegünstigte Körper‐
     schaften anzuerkennen. Die Beschaffung von Mitteln muss als Satzungszweck festgelegt sein. Ein steuerbegünstigter Zweck,
     für den Mittel beschafft werden sollen, muss in der Satzung angegeben sein. Es ist nicht erforderlich, die Körperschaften, für die
     Mittel beschafft werden sollen, in der Satzung aufzuführen. Die Körperschaft, für die Mittel beschafft werden, muss nur dann
1.
     selbst steuerbegünstigt sein, wenn sie eine unbeschränkt steuerpflichtige Körperschaft ist. Diese Voraussetzung gilt auch für die
     Beschaffung von Mitteln für einen Betrieb gewerblicher Art einer juristischen Person des öffentlichen Rechts (§ 4 KStG). Werden
     Mittel für nicht unbeschränkt steuerpflichtige Körperschaften beschafft, muss die Verwendung der Mittel für die steuerbegünstig‐
     ten Zwecke ausreichend nachgewiesen werden.




Zu § 58 Nr. 2:


     Die teilweise (nicht überwiegende) Weitergabe eigener Mittel (auch Sachmittel) ist unschädlich. Ausschüttungen und sonstige
2. Zuwendungen einer steuerbegünstigten Körperschaft sind unschädlich, wenn die Gesellschafter oder Mitglieder als Begünstigte
     ausschließlich steuerbegünstigte Körperschaften sind.




Zu § 58 Nr. 3:


     Eine steuerlich unschädliche Betätigung liegt auch dann vor, wenn nicht nur Arbeitskräfte, sondern zugleich Arbeitsmittel (z.B.
3.
     Krankenwagen) zur Verfügung gestellt werden.




Zu § 58 Nr. 4:


4. Zu den "Räumen" i.S.d. Nr. 4 gehören beispielsweise auch Sportstätten, Sportanlagen und Freibäder.




Zu § 58 Nr. 5:


     Eine Stiftung darf einen Teil ihres Einkommens - höchstens ein Drittel - dazu verwenden, die Gräber des Stifters und seiner
     nächsten Angehörigen zu pflegen und deren Andenken zu ehren. In diesem Rahmen ist auch gestattet, dem Stifter und seinen
     nächsten Angehörigen Unterhalt zu gewähren.

     Unter Einkommen ist die Summe der Einkünfte aus den einzelnen Einkunftsarten des § 2 Abs. 1 EStG zu verstehen, unabhängig
5. davon, ob die Einkünfte steuerpflichtig sind oder nicht. Positive und negative Einkünfte sind zu saldieren. Die Verlustverrech‐
     nungsbeschränkungen nach § 2 Abs. 3 EStG sind dabei unbeachtlich. Bei der Ermittlung der Einkünfte sind von den Einnahmen
     die damit zusammenhängenden Aufwendungen einschließlich der Abschreibungsbeträge abzuziehen.

     Zur steuerrechtlichen Beurteilung von Ausgaben für die Erfüllung von Verbindlichkeiten, die durch die Übertragung von belaste‐
     tem Vermögen begründet worden sind, wird auf die Nrn. 12 bis 14 zu § 55 hingewiesen.



     Der Begriff des nächsten Angehörigen ist enger als der Begriff des Angehörigen nach § 15. Er umfasst:


     - Ehegatten,



6. - Eltern, Großeltern, Kinder, Enkel (auch falls durch Adoption verbunden),


     - Geschwister,



     - Pflegeeltern, Pflegekinder.
43

Unterhalt, Grabpflege und Ehrung des Andenkens müssen sich in angemessenem Rahmen halten. Damit ist neben der relativen
7. Grenze von einem Drittel des Einkommens eine gewisse absolute Grenze festgelegt. Maßstab für die Angemessenheit des Un‐
     terhalts ist der Lebensstandard des Zuwendungsempfängers.



     § 58 Nr. 5 enthält lediglich eine Ausnahmeregelung zu § 55 Abs. 1 Nr. 1 für Stiftungen (vgl. zu § 55, Nr. 14), begründet jedoch
8. keinen eigenständigen steuerbegünstigten Zweck. Eine Stiftung, zu deren Satzungszwecken die Unterstützung von hilfsbedürfti‐
     gen Verwandten des Stifters gehört, kann daher nicht unter Hinweis auf § 58 Nr. 5 als steuerbegünstigt behandelt werden.




Zu § 58 Nr. 6:


     Bei der Bildung der Rücklage nach § 58 Nr. 6 kommt es nicht auf die Herkunft der Mittel an. Der Rücklage dürfen also auch zeit‐
9.
     nah zu verwendende Mittel wie z.B. Spenden zugeführt werden.



      Voraussetzung für die Bildung einer Rücklage nach § 58 Nr. 6 ist in jedem Fall, dass ohne sie die steuerbegünstigten satzungs‐
      mäßigen Zwecke nachhaltig nicht erfüllt werden können. Das Bestreben, ganz allgemein die Leistungsfähigkeit der Körper‐
      schaft zu erhalten, reicht für eine steuerlich unschädliche Rücklagenbildung nach dieser Vorschrift nicht aus (hierfür können nur
      freie Rücklagen nach § 58 Nr. 7 gebildet werden, vgl. Nrn. 13 bis 17). Vielmehr müssen die Mittel für bestimmte - die steuerbe‐
      günstigten Satzungszwecke verwirklichende - Vorhaben angesammelt werden, für deren Durchführung bereits konkrete Zeit‐
      vorstellungen bestehen. Besteht noch keine konkrete Zeitvorstellung, ist eine Rücklagenbildung zulässig, wenn die Durchfüh‐
      rung des Vorhabens glaubhaft und bei den finanziellen Verhältnissen der steuerbegünstigten Körperschaft in einem angemes‐
10.
      senen Zeitraum möglich ist. Die Bildung von Rücklagen für periodisch wiederkehrende Ausgaben (z.B. Löhne, Gehälter, Mie‐
      ten) in Höhe des Mittelbedarfs für eine angemessene Zeitperiode ist zulässig (so genannte Betriebsmittelrücklage). Ebenfalls
      unschädlich ist die vorsorgliche Bildung einer Rücklage zur Bezahlung von Steuern außerhalb eines steuerpflichtigen wirt‐
      schaftlichen Geschäftsbetriebs, solange Unklarheit darüber besteht, ob die Körperschaft insoweit in Anspruch genommen wird.

      Die Bildung einer Rücklage kann nicht damit begründet werden, dass die Überlegungen zur Verwendung der Mittel noch nicht
      abgeschlossen sind.



      Die vorstehenden Grundsätze zu § 58 Nr. 6 gelten auch für so genannte Fördervereine und Spendensammelvereine i.S.d. § 58
      Nr. 1 (BFH-Urteil vom 13.9.1989 - I R 19/85 - BStBl 1990 II, S. 28). Voraussetzung ist jedoch, dass die Rücklagenbildung dem
11. Zweck der Beschaffung von Mitteln für die steuerbegünstigten Zwecke einer anderen Körperschaft entspricht. Diese Vorausset‐
      zung ist z.B. erfüllt, wenn die Mittelbeschaffungskörperschaft wegen Verzögerung der von ihr zu finanzierenden steuerbegüns‐
      tigten Maßnahmen gezwungen ist, die beschafften Mittel zunächst zu thesaurieren.



      Unterhält eine steuerbegünstigte Körperschaft einen steuerpflichtigen wirtschaftlichen Geschäftsbetrieb, so können dessen Er‐
12.
      träge der Rücklage erst nach Versteuerung zugeführt werden.




Zu § 58 Nr. 7:


      Der freien Rücklage (§ 58 Nr. 7 Buchstabe a) darf jährlich höchstens ein Drittel des Überschusses der Einnahmen über die Un‐
13. kosten aus der Vermögensverwaltung zugeführt werden. Unter Unkosten sind Aufwendungen zu verstehen, die dem Grunde
      nach Werbungskosten sind.



      Darüber hinaus kann die Körperschaft höchstens 10 v.H. ihrer sonstigen nach § 55 Abs. 1 Nr. 5 zeitnah zu verwendenden Mittel
      einer freien Rücklage zuführen. Mittel i.S.d. Vorschrift sind die Überschüsse bzw. Gewinne aus steuerpflichtigen wirtschaftli‐
      chen Geschäftsbetrieben und Zweckbetrieben sowie die Bruttoeinnahmen aus dem ideellen Bereich. Bei Anwendung der Re‐
      gelungen des § 64 Abs. 5 und 6 können in die Bemessungsgrundlage zur Ermittlung der Rücklage statt der geschätzten bzw.
14. pauschal ermittelten Gewinne die tatsächlichen Gewinne einbezogen werden.

      Verluste aus Zweckbetrieben sind mit entsprechenden Überschüssen zu verrechnen; darüber hinaus gehende Verluste min‐
      dern die Bemessungsgrundlage nicht. Das gilt entsprechend für Verluste aus dem einheitlichen wirtschaftlichen Geschäftsbe‐
      trieb. Ein Überschuss aus der Vermögensverwaltung ist - unabhängig davon, inwieweit er in eine Rücklage eingestellt wurde -
44

nicht in die Bemessungsgrundlage für die Zuführung aus den sonstigen zeitnah zu verwendenden Mitteln einzubeziehen. Ein
      Verlust aus der Vermögensverwaltung mindert die Bemessungsgrundlage nicht.



      Wird die Höchstgrenze nach den Nrn. 13 und 14 nicht voll ausgeschöpft, so ist eine Nachholung in späteren Jahren nicht zuläs‐
15. sig. Die steuerbegünstigte Körperschaft braucht die freie Rücklage während der Dauer ihres Bestehens nicht aufzulösen. Die in
      die Rücklage eingestellten Mittel können auch dem Vermögen zugeführt werden.



      Die Ansammlung und Verwendung von Mitteln zum Erwerb von Gesellschaftsrechten zur Erhaltung der prozentualen Beteili‐
      gung an Kapitalgesellschaften schließen die Steuervergünstigungen nicht aus (§ 58 Nr. 7 Buchstabe b). Die Herkunft der Mittel
16.
      ist dabei ohne Bedeutung. § 58 Nr. 7 Buchstabe b ist nicht auf den erstmaligen Erwerb von Anteilen an Kapitalgesellschaften
      anzuwenden. Hierfür können u.a. freie Rücklagen nach § 58 Nr. 7 Buchstabe a eingesetzt werden.



      Die Höchstgrenze für die Zuführung zu der freien Rücklage mindert sich um den Betrag, den die Körperschaft zum Erwerb von
      Gesellschaftsrechten zur Erhaltung der prozentualen Beteiligung an Kapitalgesellschaften ausgibt oder bereitstellt. Übersteigt
      der für die Erhaltung der Beteiligungsquote verwendete oder bereitgestellte Betrag die Höchstgrenze, ist auch in den Folgejah‐
      ren eine Zuführung zu der freien Rücklage erst wieder möglich, wenn die für eine freie Rücklage verwendbaren Mittel insge‐
      samt die für die Erhaltung der Beteiligungsquote verwendeten oder bereitgestellten Mittel übersteigen. Die Zuführung von Mit‐
      teln zu Rücklagen nach § 58 Nr. 6 berührt die Höchstgrenze für die Bildung freier Rücklagen dagegen nicht.

      Beispiel:




17.




Zu § 58 Nrn. 6 und 7:


      Ob die Voraussetzungen für die Bildung einer Rücklage gegeben sind, hat die steuerbegünstigte Körperschaft dem zuständi‐
      gen Finanzamt im Einzelnen darzulegen. Weiterhin muss sie die Rücklagen nach § 58 Nrn. 6 und 7 in ihrer Rechnungslegung -
18.
      ggf. in einer Nebenrechnung - gesondert ausweisen, damit eine Kontrolle jederzeit und ohne besonderen Aufwand möglich ist
      (BFH-Urteil vom 20.12.1978 - I R 21/76 - BStBl 1979 II, S. 496).




Zu § 58 Nr. 8:
45

Gesellige Zusammenkünfte, die im Vergleich zur steuerbegünstigten Tätigkeit nicht von untergeordneter Bedeutung sind,
19.
      schließen die Steuervergünstigung aus.




Zu § 58 Nr. 10:


      Diese Ausnahmeregelung ermöglicht es den ausschließlich von einer oder mehreren Gebietskörperschaften errichteten rechts‐
      fähigen und nichtrechtsfähigen Stiftungen, die Erfüllung ihrer steuerbegünstigten Zwecke mittelbar durch Zuschüsse an Wirt‐
20.
      schaftsunternehmen zu verwirklichen. Diese mittelbare Zweckverwirklichung muss in der Satzung festgelegt sein. Die Verwen‐
      dung der Zuschüsse für steuerbegünstigte Satzungszwecke muss nachgewiesen werden.




Zu § 58 Nr. 11:


      Bei den in der Vorschrift genannten Zuwendungen ist es ausnahmsweise zulässig, grundsätzlich zeitnah zu verwendende Mit‐
      tel dem zulässigen Vermögen zuzuführen. Die Aufzählung ist abschließend. Unter Sachzuwendungen, die ihrer Natur nach
    zum Vermögen gehören, sind Wirtschaftsgüter zu verstehen, die ihrer Art nach von der Körperschaft im ideellen Bereich, im
21. Rahmen der Vermögensverwaltung oder im wirtschaftlichen Geschäftsbetrieb genutzt werden können.

      Werden Mittel nach dieser Vorschrift dem Vermögen zugeführt, sind sie aus der Bemessungsgrundlage für Zuführungen von
      sonstigen zeitnah zu verwendenden Mitteln nach § 58 Nr. 7 Buchstabe a herauszurechnen.




Zu § 58 Nr. 12:


      Stiftungen dürfen im Jahr ihrer Errichtung und in den zwei folgenden Kalenderjahren Überschüsse und Gewinne aus der Ver‐
      mögensverwaltung, aus Zweckbetrieb und aus steuerpflichtigen wirtschaftlichen Geschäftsbetrieben ganz oder teilweise ihrem
      Vermögen zuführen. Für sonstige Mittel, z.B. Zuwendungen und Zuschüsse, gilt diese Regelung dagegen nicht.
22.
      Liegen in einem Kalenderjahr positive und negative Ergebnisse aus der Vermögensverwaltung, aus den Zweckbetrieben und
      dem einheitlichen steuerpflichtigen wirtschaftlichen Geschäftsbetrieb vor, ist eine Zuführung zum Vermögen auf den positiven
      Betrag begrenzt, der nach der Verrechnung der Ergebnisse verbleibt.




Zu § 58 Nr. 2 bis 12:


      Die in § 58 Nrn. 2 bis 9, 11 und 12 genannten Ausnahmetatbestände können auch ohne entsprechende Satzungsbestimmung
      verwirklicht werden. Entgeltliche Tätigkeiten nach § 58 Nrn. 3, 4 oder 8 begründen einen steuerpflichtigen wirtschaftlichen Ge‐
23. schäftsbetrieb oder Vermögensverwaltung (z.B. Raumüberlassung). Bei den Regelungen des § 58 Nrn. 5, 10 und 12 kommt es
      jeweils nicht auf die Bezeichnung der Körperschaft als Stiftung, sondern auf die tatsächliche Rechtsform an. Dabei ist es un‐
      maßgeblich, ob es sich um eine rechtsfähige oder nichtrechtsfähige Stiftung handelt.




AEAO zu § 59 - Voraussetzung der Steuervergünstigung:


     Die Vorschrift bestimmt u.a., dass die Steuervergünstigung nur gewährt wird, wenn ein steuerbegünstigter Zweck (§§ 52 bis 54),
     die Selbstlosigkeit (§ 55) und die ausschließliche und unmittelbare Zweckverfolgung (§§ 56, 57) durch die Körperschaft aus der
1. Satzung direkt hervorgehen. Eine weitere satzungsmäßige Voraussetzung in diesem Sinn ist die in § 61 geforderte Vermögens‐
     bindung. Das Unterhalten wirtschaftlicher Geschäftsbetriebe (§ 14 Sätze 1 und 2 und § 64), die keine Zweckbetriebe (§§ 65 bis
     68) sind, und die Vermögensverwaltung (§ 14 Satz 3) dürfen nicht Satzungszweck sein.



     Bei mehreren Betrieben gewerblicher Art einer juristischen Person des öffentlichen Rechts ist für jeden Betrieb gewerblicher Art
2.
     eine eigene Satzung erforderlich.
46

Ein besonderes Anerkennungsverfahren ist im steuerlichen Gemeinnützigkeitsrecht nicht vorgesehen. Ob eine Körperschaft
     steuerbegünstigt ist, entscheidet das Finanzamt im Veranlagungsverfahren durch Steuerbescheid (ggf. Freistellungsbescheid).
     Dabei hat es von Amts wegen die tatsächlichen und rechtlichen Verhältnisse zu ermitteln, die für die Steuerpflicht und für die Be‐
3. messung der Steuer wesentlich sind. Eine Körperschaft, bei der nach dem Ergebnis dieser Prüfung die gesetzlichen Vorausset‐
     zungen für die steuerliche Behandlung als steuerbegünstigte Körperschaft vorliegen, muss deshalb auch als solche behandelt
     werden, und zwar ohne Rücksicht darauf, ob ein entsprechender Antrag gestellt worden ist oder nicht. Ein Verzicht auf die Be‐
     handlung als steuerbegünstigte Körperschaft ist somit für das Steuerrecht unbeachtlich.



     Auf Antrag einer neu gegründeten Körperschaft, bei der die Voraussetzungen der Steuervergünstigung noch nicht im Veranla‐
     gungsverfahren festgestellt worden sind, bescheinigt das zuständige Finanzamt vorläufig, z.B. für den Empfang steuerbegüns‐
     tigter Spenden oder für eine Gebührenbefreiung, dass bei ihm die Körperschaft steuerlich erfasst ist und die eingereichte Sat‐
4.
     zung alle nach § 59 Satz 1, §§ 60 und 61 geforderten Voraussetzungen erfüllt, welche u.a. für die Steuerbefreiung nach § 5 Abs.
     1 Nr. 9 KStG vorliegen müssen. Eine vorläufige Bescheinigung über die Gemeinnützigkeit darf erst ausgestellt werden, wenn
     eine Satzung vorliegt, die den gemeinnützigkeitsrechtlichen Vorschriften entspricht.



     Die vorläufige Bescheinigung über die Gemeinnützigkeit stellt keinen Verwaltungsakt, sondern lediglich eine Auskunft über den
     gekennzeichneten Teilbereich der für die Steuervergünstigung erforderlichen Voraussetzungen dar. Sie sagt z.B. nichts über die
5.
     Übereinstimmung von Satzung und tatsächlicher Geschäftsführung aus. Sie ist befristet zu erteilen und ist frei widerruflich (BFH-
     Beschluss vom 7.5.1986 - I B 58/85 - BStBl II, S. 677). Die Geltungsdauer sollte 18 Monate nicht überschreiten.



     Die Erteilung einer vorläufigen Bescheinigung über die Gemeinnützigkeit kann auch in Betracht kommen, wenn eine Körper‐
6. schaft schon längere Zeit existiert und die Gemeinnützigkeit im Veranlagungsverfahren versagt wurde (BFH-Beschluss vom
     23.9.1998 - I B 82/98 - BStBl 2000 II, S. 320).



      Eine vorläufige Bescheinigung über die Gemeinnützigkeit ist in diesen Fällen auf Antrag zu erteilen, wenn die Körperschaft die
6.1 Voraussetzungen für die Gemeinnützigkeit im gesamten Veranlagungszeitraum, der dem Zeitraum der Nichtgewährung folgt,
      voraussichtlich erfüllen wird. Ihre Geltungsdauer sollte 18 Monate nicht überschreiten.



      Darüber hinaus kann die Erteilung einer vorläufigen Bescheinigung über die Gemeinnützigkeit auch dann geboten sein, wenn
6.2 die Körperschaft nach Auffassung des Finanzamts nicht gemeinnützig ist. In diesen Fällen darf die Bescheinigung nur erteilt
      werden, wenn die folgenden Voraussetzungen erfüllt sind:



        Die Körperschaft muss gegen eine Entscheidung des Finanzamts, mit der die Erteilung einer vorläufigen Bescheinigung über
6.2.1
        die Gemeinnützigkeit abgelehnt wurde, beim zuständigen Finanzgericht Rechtsschutz begehrt haben.



        Es müssen ernstliche Zweifel bestehen, ob die Ablehnung der Gemeinnützigkeit im Klageverfahren bestätigt wird. Dies erfor‐
6.2.2 dert, dass die Körperschaft schlüssig darlegt und glaubhaft macht, dass sie die Voraussetzungen für die Gemeinnützigkeit
        nach ihrer Satzung und bei der tatsächlichen Geschäftsführung erfüllt.



        Die wirtschaftliche Existenz der Körperschaft muss in Folge der Nichterteilung der vorläufigen Bescheinigung gefährdet sein.
        Für die Beurteilung sind die Verhältnisse im jeweiligen Einzelfall maßgeblich. Eine Existenzgefährdung kann nicht allein des‐
        halb unterstellt werden, weil sich die Körperschaft bisher zu einem wesentlichen Teil aus Spenden oder steuerlich abziehba‐
6.2.3 ren Mitgliedsbeiträgen finanziert hat und wegen der Nichtgewährung der Steuervergünstigungen ein erheblicher Rückgang
        dieser Einnahmen zu erwarten ist. Sie liegt z.B. auch dann nicht vor, wenn die Körperschaft über ausreichendes verwertbares
        Vermögen verfügt oder sich ausreichende Kredite verschaffen kann. Die Körperschaft muss als Antragsgrund die Existenzge‐
        fährdung schlüssig darlegen und glaubhaft machen.



      Die vorläufige Bescheinigung über die Gemeinnützigkeit nach Nr. 6.2 ist ggf. formlos zu erteilen. Sie muss die Körperschaft in
      die Lage versetzen, unter Hinweis auf die steuerliche Abzugsfähigkeit um Zuwendungen zu werben. Ihre Geltungsdauer ist bis
6.3 zum rechtskräftigen Abschluss des gerichtlichen Verfahrens zu befristen. Ob Auflagen, wie sie der BFH in dem entschiedenen
      Fall beschlossen hat (u.a. vierteljährliche Einreichung von Aufstellungen über die Einnahmen und Ausgaben), sinnvoll und er‐
      forderlich sind, hängt von den Umständen des Einzelfalls ab.
47

Die vorläufige Bescheinigung wird durch den Steuerbescheid (ggf. Freistellungsbescheid) ersetzt. Die Steuerbefreiung soll spä‐
7.
     testens alle drei Jahre überprüft werden.




AEAO zu § 60 - Anforderungen an die Satzung:


     Die Satzung muss so präzise gefasst sein, dass aus ihr unmittelbar entnommen werden kann, ob die Voraussetzungen der
     Steuerbegünstigung vorliegen (formelle Satzungsmäßigkeit). Die bloße Bezugnahme auf Satzungen oder andere Regelungen
1. Dritter genügt nicht (BFH-Urteil vom 19.4.1989 - I R 3/88 - BStBl II, S. 595). Es reicht aus, wenn sich die satzungsmäßigen Vor‐
     aussetzungen aufgrund einer Auslegung aller Satzungsbestimmungen ergeben (BFH-Urteil vom 13.12.1978 - I R 39/78 - BStBl
     1979 II, S. 482, und vom 13.8.1997 - I R 19/96 - BStBl II, S. 794).



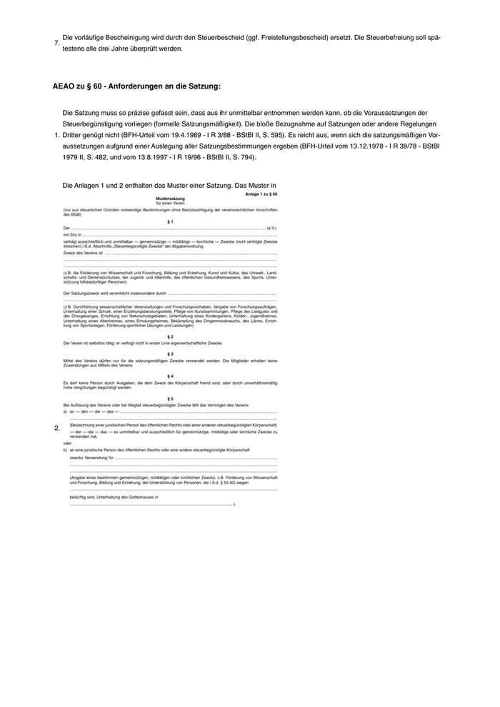
     Die Anlagen 1 und 2 enthalten das Muster einer Satzung. Das Muster in




2.
48

Eine Satzung braucht nicht allein deswegen geändert zu werden, weil in ihr auf Vorschriften des StAnpG oder der GemV verwie‐
3.
     sen oder das Wort "selbstlos" nicht verwandt wird.



4.
49

Ordensgemeinschaften haben eine den Ordensstatuten entsprechende zusätzliche Erklärung nach dem Muster der




5. Die tatsächliche Geschäftsführung (vgl. § 63) muss mit der Satzung übereinstimmen.



     Die satzungsmäßigen Voraussetzungen für die Anerkennung der Steuerbegünstigung müssen


     - bei der Körperschaftsteuer vom Beginn bis zum Ende des Veranlagungszeitraums,



     - bei der Gewerbesteuer vom Beginn bis zum Ende des Erhebungszeitraums,



6. - bei der Grundsteuer zum Beginn des Kalenderjahres, für das über die Steuerpflicht zu entscheiden ist (§ 9 Abs. 2 GrStG),



     - bei der Umsatzsteuer zu den sich aus § 13 Abs. 1 UStG ergebenden Zeitpunkten,



     - bei der Erbschaftsteuer zu den sich aus § 9 ErbStG ergebenden Zeitpunkten,


     erfüllt sein.




AEAO zu § 61 - Satzungsmäßige Vermögensbindung:


     Die Vorschrift stellt klar, dass die zu den Voraussetzungen der Selbstlosigkeit zählende Bindung des Vermögens für steuerbe‐
     günstigte Zwecke vor allem im Falle der Auflösung der Körperschaft aus der Satzung genau hervorgehen muss (Mustersatzun‐
1.
     gen, § 5). Eine satzungsmäßige Vermögensbindung auf eine nicht unbeschränkt steuerpflichtige ausländische Körperschaft ge‐
     nügt nicht den Anforderungen (vgl. zu § 55, Nr. 25).
50

Zur nächsten Seite