BStbl Nr. 3 2006

Bundessteuerblatt Nr. 3 aus 2006

/ 124
PDF herunterladen
Im Fall einer in Deutschland unbeschränkt steuerpflichtigen Person, die brasilianische Kapitalerträge im Sinne des § 43 Abs. 1
     Satz 1 Nr. 7 Buchst. a oder Nr. 8 EStG oder im Sinne des § 43 Abs. 1 Satz 2 EStG erzielt, unterliegt der ausländische Kapitaler‐
     trag in Deutschland der Kapitalertrag- und damit einer Abzugsteuer. Es ist deshalb auf diese Fälle Art. 31 Satz 2 Buchst. b I.

1. DBA Brasilien anzuwenden. Das DBA Brasilien gilt somit nur für die diesen Erträgen zugrunde liegenden Beträge, die bis zum
   31. Dezember 2005 gezahlt oder überwiesen wurden.

     Macht der Steuerpflichtige jedoch diese Erträge zum Gegenstand seiner Steuererklärung und wird diesbezüglich eine Veranla‐
     gung durchgeführt, gilt gemäß Art. 31 Satz 2 Buchst. b II. DBA Brasilien das DBA für den gesamten Veranlagungszeitraum 2006.



     Erzielt ein in Brasilien ansässiger beschränkt Steuerpflichtiger Einkünfte aus Kapitalvermögen im Sinne des § 49 Abs. 1 Nr. 5
     EStG, die dem Kapitalertragsteuerabzug aufgrund des § 43 EStG unterliegen, gilt die deutsche Einkommensteuer durch den
     Steuerabzug grundsätzlich als abgegolten (§ 50 Abs. 5 Satz 1 EStG). Unterliegen die Einkünfte eines beschränkt Steuerpflichti‐
2.
     gen dem Kapitalertragsteuerabzug, gilt das DBA gemäß Art. 31 Satz 2 Buchst. b I. DBA Brasilien nur für die Kapitalerträge, die
     vor Ablauf des 31. Dezember 2005 gezahlt oder überwiesen wurden. Maßgeblich ist hier entsprechend dem Wortlaut des DBA
     der Zeitpunkt der tatsächlichen Zahlung bzw. Überweisung.


Wird hingegen von einer natürlichen Person, die die Voraussetzungen des § 1 Abs. 3 EStG erfüllt, eine Veranlagung beantragt, fin‐
det Art. 31 Satz 2 Buchst. b II. DBA Brasilien Anwendung. Das DBA ist in diesem Fall noch bei der Veranlagung für das Kalenderjahr
2006 zu berücksichtigen.


II. Lohnsteuer



     Im Fall von in Deutschland unbeschränkt steuerpflichtigen Personen wird die Einkommensteuer auf Einkünfte aus nichtselbstän‐
     diger Tätigkeit gemäß § 38 EStG durch Abzug vom Arbeitslohn (Lohnsteuer) erhoben.

     In die Gruppe der in Deutschland unbeschränkt steuerpflichtigen Personen fallen auch diejenigen Arbeitnehmer, die zwar in Bra‐
     silien tätig sind, aber ihren steuerlichen Wohnsitz in Deutschland beibehalten haben.

   Sofern deshalb keine Veranlagung (vgl. § 46 EStG) durchgeführt wird, unterliegt diese Gruppe dem Art. 31 Satz 2 Buchst. b I.
1. DBA Brasilien mit der Folge, dass die Freistellung gemäß Art. 24 Abs. 1 Buchst. d DBA Brasilien nur für diejenigen Einkünfte aus

     nichtselbständiger Tätigkeit anzuwenden ist, die bis zum 31. Dezember 2005 im Sinne des DBA gezahlt oder überwiesen wur‐
     den.

     Wird eine Veranlagung beantragt, sind diese Einkünfte unter Art. 31 Satz 2 Buchst. b II. DBA Brasilien zu subsumieren mit der
     Konsequenz, dass diese Einkünfte für das gesamte Kalenderjahr 2006 gemäß Art. 24 Abs. 1 Buchst. d DBA Brasilien von der
     Bemessungsgrundlage der deutschen Steuer auszunehmen sind.



     Unterliegen die Einkünfte eines beschränkt Steuerpflichtigen, der in Brasilien ansässig ist, gemäß § 39d EStG dem Lohnsteuer‐
2.
     abzug, gilt das unter I. 2. Aufgeführte entsprechend.



     Ab 2007 kann eine Freistellung von der Lohnsteuer unter den Voraussetzungen des Auslandstätigkeitserlasses vom 31. Oktober
3.
     1983 (BStBl I S. 470) in Betracht kommen.



III. Fälle des § 50a EStG


Von den Einkünften eines beschränkt Steuerpflichtigen ist auch unter den Voraussetzungen des § 50a EStG ein Steuerabzug vorzu‐
nehmen. Unterliegen Einkünfte eines in Brasilien Ansässigen diesem Steuerabzug, gelten die Ausführungen zu I. 2. auch für diese
Einkünfte entsprechend.


IV. Anrechnung fiktiver Steuern


Gemäß Art. 24 Abs. 3 DBA Brasilien ist Deutschland verpflichtet, im Fall von Dividenden, Zinsen und Lizenzgebühren die Anrech‐
nung fiktiver brasilianischer Steuern in einer bestimmten Höhe vorzunehmen.
11

Die Anrechnung brasilianischer Steuern in Deutschland erfolgt im Veranlagungsverfahren. Für die Beendigung der DBA-Wirkungen
bedeutet dies, dass hier Art. 31 Satz 2 Buchst. b II. DBA Brasilien anzuwenden ist und die fiktive Anrechnung mit Wirkung für den
gesamten Veranlagungszeitraum 2006 vorzunehmen ist.


V. Betriebsstättengewinne


Brasilien ist im Jahr 2006 gemäß Art. 31 Satz 2 Buchst. a DBA Brasilien nicht mehr an das Abkommen gebunden und besteuert die
Unternehmensgewinne nach nationalem Recht. Aus deutscher Sicht sind aber gemäß Art. 31 Satz 2 Buchst. b II. DBA Brasilien Ge‐
winne aus brasilianischen Betriebsstätten im Sinne der Art. 7 und 5 des DBA auch noch im Jahr 2006 freizustellen. Sofern nach dem
DBA Gewinne einer brasilianischen Betriebsstätte nicht zugerechnet werden können, sind die Gewinne in die deutsche Besteuerung
einzubeziehen und ist die in Brasilien auf diese Gewinne gezahlte Steuer unter den Voraussetzungen des § 34c Abs. 3 EStG abzu‐
ziehen.


VI. Veräußerungsgewinne


Veräußerungsgewinne, die im Zusammenhang mit dem Verkauf von beweglichem und unbeweglichem Betriebsstättenvermögen in
Brasilien erzielt werden, sind gemäß Art. 24 Abs. 1 Buchst. a und b DBA Brasilien von der Bemessungsgrundlage der deutschen
Steuer auszunehmen. Da in diesen Fällen eine Veranlagung durchzuführen ist, gilt die Steuerfreistellung gemäß Art. 31 Satz 2
Buchst. b II. DBA Brasilien für alle Veräußerungsgewinne, die für den Veranlagungszeitraum 2006 zu berücksichtigen sind.



C.

Betreffend die Einkünfte von Unternehmen durch den Betrieb von eigenen oder gecharterten Luftfahrzeugen oder Schiffen im inter‐
nationalen Verkehr und betreffend das Betriebsvermögen, das dem Betrieb von eigenen oder gecharterten Luftfahrzeugen oder
Schiffen eines Unternehmens dient, beabsichtigen die Föderative Republik Brasilien und die Bundesrepublik Deutschland eine Steu‐
erbefreiung auf der Basis der Gegenseitigkeit gemäß § 49 Abs. 4 EStG festzustellen.

Dieses Schreiben ersetzt das BMF-Schreiben gleichen Aktenzeichens vom 22. Dezember 2005. Es steht ab sofort auf den Inter‐
netseiten des Bundesministeriums der Finanzen zum Herunterladen und zur Ansicht bereit.

                                                             Im Auftrag

                                                    Müller-Gatermann
12

BStbl Seite 85
Doppelbesteuerungsabkommen

Bundesministerium der Finanzen        Berlin, 11. Januar 2006

IV B 5 - S 1301 - 1/06

Oberste Finanzbehörden
der L ä n d e r

nachrichtlich:
Vertretungen der Länder
beim Bund


Bundesministerien


Bundeszentralamt für Steuern (BZSt)
13

Stand der Doppelbesteuerungsabkommen und der Doppelbesteuerungsverhandlungen
am 1. Januar 2006
14


                                            
                                                
                                                15
                                            
                                        


                                            
                                                
                                                16
                                            
                                        


                                            
                                                
                                                17
                                            
                                        


                                            
                                                
                                                18
                                            
                                        

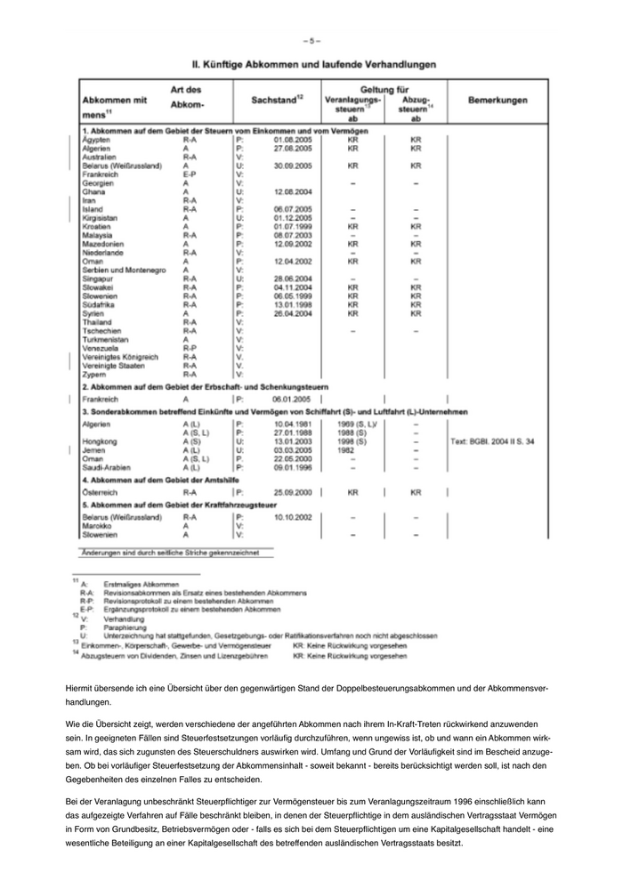
Hiermit übersende ich eine Übersicht über den gegenwärtigen Stand der Doppelbesteuerungsabkommen und der Abkommensver‐
handlungen.

Wie die Übersicht zeigt, werden verschiedene der angeführten Abkommen nach ihrem In-Kraft-Treten rückwirkend anzuwenden
sein. In geeigneten Fällen sind Steuerfestsetzungen vorläufig durchzuführen, wenn ungewiss ist, ob und wann ein Abkommen wirk‐
sam wird, das sich zugunsten des Steuerschuldners auswirken wird. Umfang und Grund der Vorläufigkeit sind im Bescheid anzuge‐
ben. Ob bei vorläufiger Steuerfestsetzung der Abkommensinhalt - soweit bekannt - bereits berücksichtigt werden soll, ist nach den
Gegebenheiten des einzelnen Falles zu entscheiden.

Bei der Veranlagung unbeschränkt Steuerpflichtiger zur Vermögensteuer bis zum Veranlagungszeitraum 1996 einschließlich kann
das aufgezeigte Verfahren auf Fälle beschränkt bleiben, in denen der Steuerpflichtige in dem ausländischen Vertragsstaat Vermögen
in Form von Grundbesitz, Betriebsvermögen oder - falls es sich bei dem Steuerpflichtigen um eine Kapitalgesellschaft handelt - eine
wesentliche Beteiligung an einer Kapitalgesellschaft des betreffenden ausländischen Vertragsstaats besitzt.
19

Zur Rechtslage nach dem Zerfall der Sozialistischen Föderativen Republik Jugoslawien (SFRJ) ist auf Folgendes hinzuweisen:

Vereinbarungen über die Fortgeltung des DBA mit der SFRJ vom 26. März 1987 wurden geschlossen mit:

  Republik Bosnien und Herzegowina (BGBl. 1992 II S. 1196),
  Republik Kroatien (BGBl. 1992 II S. 1146),
  Republik Slowenien (BGBl. 1993 II S. 1261),
  Republik Mazedonien (BGBl. 1994 II S. 326) und
  Serbien und Montenegro [Namensänderung; ehem. Bundesrepublik Jugoslawien (BGBl. 1997 II S. 961)].

Zur Rechtslage nach dem Zerfall der Sowjetunion ist auf Folgendes hinzuweisen:

Vereinbarungen über die Fortgeltung des DBA mit der UdSSR vom 24. November 1981 wurden geschlossen mit:

  Republik Georgien (BGBl. 1992 II S. 1128),
  Republik Kirgisistan (BGBl. 1992 II S. 1015),
  Republik Armenien (BGBl. 1993 II S. 169),
  Republik Weißrussland (BGBl. 1994 II S. 2533),
  Republik Moldau (BGBl. 1996 II S. 768) und
  Turkmenistan (Bericht der Botschaft Aschgabat vom 11. August 1999 - Nr. 377/99).

Zur Rechtslage nach der Teilung der Tschechoslowakei ist auf Folgendes hinzuweisen:

Vereinbarungen über die Fortgeltung des DBA mit der Tschechoslowakischen Sozialistischen Republik vom 19. Dezember 1980 wur‐
den mit der Slowakischen Republik und mit der Tschechischen Republik getroffen (BGBl. 1993 II S. 762).

Hongkong wurde mit Wirkung ab 1. Juli 1997 ein besonderer Teil der VR China (Hongkong Special Administrative Region). Das all‐
gemeine Steuerrecht der VR China gilt dort nicht. Damit ist das zwischen der Bundesrepublik Deutschland und der VR China abge‐
schlossene DBA vom 10. Juni 1985 nach dem 1. Juli 1997 in Hongkong nicht anwendbar. Eine Einbeziehung Hongkongs in den Gel‐
tungsbereich des DBA China ist nicht angestrebt. Verhandlungen über ein gesondertes Abkommen mit Hongkong sind nicht geplant
(zur Vermeidung der Doppelbesteuerung bei Luftfahrtunternehmen s. Anlage).

Vorgenannte Ausführungen zu Hongkong (außer Luftfahrtunternehmen) gelten in entsprechender Weise auch für Macau nach des‐
sen Übergabe am 20. Dezember 1999 an die VR China (Macau Special Administrative Region).

Es werden Verhandlungen geführt, wie im Verhältnis zu Taiwan Doppelbesteuerungen vermieden werden können.

Das Doppelbesteuerungsabkommen zwischen der Bundesrepublik Deutschland und der Föderativen Republik Brasilien vom 27.
Juni 1975 wurde am 7. April 2005 durch die deutsche Seite gekündigt. Die Folgen der Kündigung werden im BMF-Schreiben vom 6.
Januar 2006 - IV B 3 - S 1301 - BRA - 77/05 - (BStBl I S. 83) erläutert.

Hinsichtlich der Abkommen auf dem Gebiet der Kraftfahrzeugsteuer ist zur Rechtslage nach dem Zerfall der Sowjetunion auf Folgen‐
des hinzuweisen:

Das Abkommen mit der UdSSR vom 21. Februar 1980 ist im Verhältnis zu den Nachfolgestaaten der UdSSR sowie zu Estland und
Litauen anzuwenden, bis mit diesen Staaten eine Neuregelung vereinbart wird. Voraussetzung ist, dass die genannten Staaten die
im Abkommen vereinbarte Befreiung für deutsche Fahrzeuge gewähren. Diese Gegenseitigkeit muss auch hinsichtlich neuer Abga‐
ben gewährleistet sein, die anstelle der UdSSR-Straßengebühr oder daneben eingeführt worden sind oder eingeführt werden, sofern
sie mit der Kraftfahrzeugsteuer vergleichbar sind (siehe Ländererlasse).

                                                              Im Auftrag

                                                     Müller-Gatermann
20

Zur nächsten Seite