BStbl Nr. 20 2003

Bundessteuerblatt Nr. 20 aus 2003

/ 135
PDF herunterladen
1. Gesetzliche Grundlagen


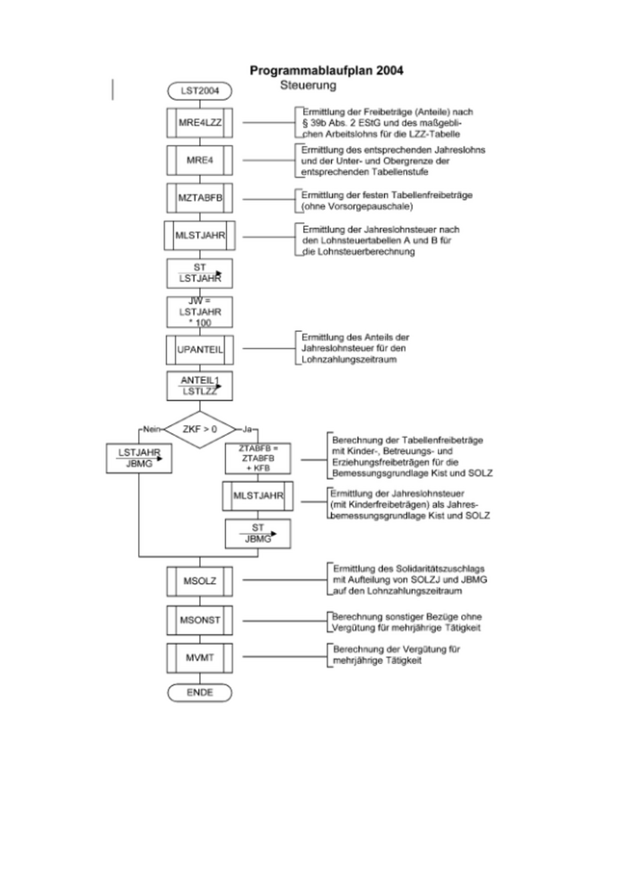
Der Programmablaufplan enthält gem. § 39b Abs. 8 EStG:


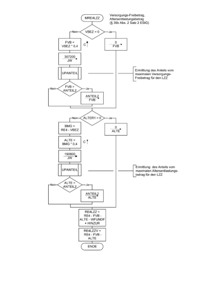
     die Berechnung der vom laufenden Arbeitslohn nach § 39b Abs. 2 EStG einzubehaltenden Lohnsteuer für Lohnzahlungszeiträu‐
a)
     me, die nach dem 31. Dezember 2003 enden,

     die Berechnung der einzubehaltenden Lohnsteuer für sonstige Bezüge nach § 39b Abs. 3 EStG Sätze 1 bis 7 (Anmerkung: §
b)
     39b Abs. 3 Satz 8 EStG wurde im Steueränderungsgesetz 2003 gestrichen),

c) die Berechnung des Solidaritätszuschlags nach dem Gesetz zur Senkung des Solidaritätszuschlags,

     die Ermittlung der Bemessungsgrundlage für die einzubehaltende Kirchenlohnsteuer (Minderung der ermittelten Lohnsteuer
d)
     nach § 51a EStG),

     die Berücksichtigung des Haushaltsbegleitgesetzes 2004: teilweises Vorziehen des Tarifs 2005 nach 2004, Streichung des
e) Haushaltsfreibetrags, Einführung eines Entlastungsbetrags für Alleinerziehende in Höhe von 1 308 Euro und Kürzung des Ar‐
     beitnehmer-Pauschbetrags auf 920 Euro.



2. Erläuterungen
71

2.1 Allgemeines


Es sind tägliche, wöchentliche, monatliche und jährliche Lohnzahlungszeiträume berücksichtigt. Die Aufteilung von Jahresbeträgen
auf unterjährige Lohnzahlungszeiträume sowie die Hochrechnung von Beträgen für unterjährige Lohnzahlungszeiträume auf Jah‐
resbeträge wird entsprechend den in § 39b Abs. 2 Satz 5 EStG angegebenen Bruchteilen vorgenommen. Bruchteile eines Cents
werden entsprechend den Angaben im Programmablaufplan auf ganze Cents aufgerundet bzw. bleiben außer Ansatz.

Hat ein Rechenergebnis oder ein zu übertragendes Feld Dezimalstellen, die im Empfangsfeld nicht vorgesehen sind, und es ist im
Programmablaufplan nichts anderes angegeben, sind diese überschüssigen Dezimalstellen wegzulassen.


2.2 Feldlängen


Das Format und die Länge der Parameter und internen Felder sind bei der Programmierung (Codierung) zu bestimmen, soweit sie
sich nicht unmittelbar aus den Erläuterungen oder dem Programmablaufplan ergeben.

Feldbeschreibungen ohne Stellenangaben beziehen sich auf Ganzzahlen, ansonsten sind die Nachkommastellen angegeben. Bei
der Steuerberechnung werden Gleitkommafelder verwendet.


2.3 Symbole


Die im Programmablaufplan verwendeten Sinnbilder entsprechen der Zeichenschablone nach DIN 66001.

Darüber hinaus bedeuten:




3. Schnittstellenkonventionen


3.1 Eingangsparameter


Die Plausibilität der Parameter wird im Programm nicht geprüft. Sie müssen daher in Vorprogrammen des Arbeitgebers abgesichert
werden. Es kommen z. B. in Betracht:


- Vorzeichenprüfung (z. B. darf der Wert in RE4 nicht negativ sein);

- Prüfung auf gültigen Inhalt (z. B. Wert in LZZ nur 1, 2, 3 oder 4, Wert in ALTER1);

    Prüfung von Eingangswerten im Verhältnis zu anderen Eingangswerten (z. B. darf VBEZ nicht größer als RE4 sein, da die Versor‐
-
    gungsbezüge im Bruttolohn enthalten sein müssen; wenn STKL = 2 ist, muss ZKF größer als Null sein).


Es werden folgende Eingangsparameter benötigt:
72


                                            
                                                
                                                73
                                            
                                        


                                            
                                                
                                                74
                                            
                                        

3.2 Ausgangsparameter


Als Ergebnis stellt das Programm folgende Ausgangsparameter zur Verfügung:




4. Interne Felder


Das Programm verwendet intern folgende Felder (wenn ggf. solche Felder im Umfeld des Programms verwendet werden sollen,
können sie als Ausgangsparameter behandelt werden, soweit sie nicht während des Programmdurchlaufs noch verändert wurden).
Die internen Felder müssen vor Aufruf des Programms gelöscht werden:
75


                                            
                                                
                                                76
                                            
                                        


                                            
                                                
                                                77
                                            
                                        


                                            
                                                
                                                78
                                            
                                        


                                            
                                                
                                                79
                                            
                                        


                                            
                                                
                                                80
                                            
                                        

Zur nächsten Seite