Nachrichten für Luftfahrer 2016 Teil 2 (weicht ggf. von Druckversion ab)

/ 3454
PDF herunterladen
the States, or on the distribution of power and responsibilities among the various levels of
government.
     For the reasons discussed above, I certify that this AD:
     (1) Is not a ''significant regulatory action'' under Executive Order 12866,
     (2) Is not a ''significant rule'' under DOT Regulatory Policies and Procedures (44 FR 11034,
February 26, 1979),
     (3) Will not affect intrastate aviation in Alaska to the extent that it justifies making a regulatory
distinction, and
     (4) Will not have a significant economic impact, positive or negative, on a substantial number of
small entities under the criteria of the Regulatory Flexibility Act.

List of Subjects in 14 CFR Part 39

    Air transportation, Aircraft, Aviation safety, Incorporation by reference, Safety.

Adoption of the Amendment

     Accordingly, under the authority delegated to me by the Administrator, the FAA amends part 39
of the Federal Aviation Regulations (14 CFR part 39) as follows:

PART 39–AIRWORTHINESS DIRECTIVES

1. The authority citation for part 39 continues to read as follows:

    Authority: 49 U.S.C. 106(g), 40113, 44701.

§ 39.13 [Amended]

2. The FAA amends § 39.13 by removing airworthiness directive (AD) 2013-02-06, Amendment 39-
17327 (78 FR 5710, January 28, 2013) and adding the following new AD:




                                                    4
3071

AIRWORTHINESS DIRECTIVE
                FAA
                                                      www.faa.gov/aircraft/safety/alerts/
                Aviation Safety
                                                      www.gpoaccess.gov/fr/advanced.html



2016-22-11 Engine Alliance: Amendment 39-18700; Docket No. FAA-2012-1293; Directorate
Identifier 2012-NE-45-AD.

(a) Effective Date

    This AD is effective November 16, 2016.

(b) Affected ADs

    This AD replaces AD 2013-02-06, Amendment 39-17327 (78 FR 5710, January 28, 2013).

(c) Applicability

    This AD applies to all Engine Alliance GP7270 and GP7277 turbofan engines with a high-
pressure turbine (HPT) stage 2 nozzle segment, part number (P/N) 2101M24G01, 2101M24G02,
2101M24G03, 2101M24G04, 2101M24G05, or 2101M24G06, installed.

(d) Unsafe Condition

    This AD was prompted by a report of inadequate cooling of the HPT stage 1 shroud and stage 2
nozzle, leading to damage to the HPT stage 2 nozzle, burn-through of the turbine case, and in-flight
shutdown. We are issuing this AD to prevent HPT stage 2 nozzle failure, uncontrolled fire, in-flight
shutdown, and damage to the airplane.

(e) Compliance

     Comply with this AD within the compliance times specified, unless already done.
     (1) Perform a 360 degree borescope inspection of the HPT stage 1 shroud and stage 2 nozzle as
follows:
     (i) For engines with nozzles installed at a shop visit that did not include full engine overhaul,
borescope inspect the HPT stage 1 shroud and stage 2 nozzle as follows:
     (A) If the nozzle has fewer than 1,050 cycles-since-new (CSN) or cycles-since-repair (CSR) on
the effective date of this AD, before the nozzle has accumulated 1,100 CSN or CSR.
     (B) If the nozzle has 1,050 or more CSN or CSR on the effective date of this AD, within the next
50 cycles.
     (ii) For all other engines, borescope inspect the HPT stage 1 shroud and HPT stage 2 nozzle as
follows:
     (A) If the nozzle has fewer than 1,450 CSN or CSR on the effective date of this AD, before the
nozzle has accumulated 1,500 CSN or CSR.
     (B) If the nozzle has 1,450 or more CSN or CSR on the effective date of this AD, within the next
50 cycles.
     (iii) Thereafter, repetitively borescope inspect the HPT stage 1 shroud and stage 2 nozzle as
follows:
     (A) For engines with HPT stage 2 nozzle segments, P/N 2101M24G01, 2101M24G02, or
2101M24G03, within every 150 additional cycles-in-service (CIS).

                                                  5
3072

(B) For engines with HPT stage 2 nozzle segments, P/N 2101M24G04, 2101M24G05, or
2101M24G06, within every 300 additional CIS.
     (2) If any burn holes are detected through the surface of the nozzle or if the shroud is distorted
radially inward with evidence of blade tip rubs, remove the HPT stage 1 shroud and HPT stage 2
nozzle from service before further flight.

(f) Mandatory Terminating Action

     Replace HPT stage 2 nozzle segments, P/N 2101M24G01, 2101M24G02, 2101M24G03,
2101M24G04, 2101M24G05, and 2101M24G06, at the next piece-part exposure, with parts eligible
for installation.

(g) Definition

     For the purpose of this AD, piece-part exposure is when the HPT stage 2 nozzle is removed from
the engine and completely disassembled.

(h) Alternative Methods of Compliance (AMOCs)

    The Manager, Engine Certification Office, FAA, may approve AMOCs for this AD. Use the
procedures found in 14 CFR 39.19 to make your request. You may email your request to: ANE-AD-
AMOC@faa.gov.

(i) Related Information

     For more information about this AD, contact Martin Adler, Aerospace Engineer, Engine &
Propeller Directorate, FAA, 1200 District Avenue, Burlington, MA 01803; phone: 781-238-7157;
fax: 781-238-7199; email: martin.adler@faa.gov.

(j) Material Incorporated by Reference

    None.

    Issued in Burlington, Massachusetts, on October 25, 2016.
Colleen M. D'Alessandro,
Manager, Engine & Propeller Directorate,
Aircraft Certification Service.




                                                    6
3073

Lufttüchtigkeitsanweisung                       Luftfahrt-Bundesamt
                                                                                       - Sachgebiet T23 -
                                             D-2015-040R2                            38144 Braunschweig
                                      EASA AD 2016-0221 vom 04.11.2016               Fax: +49-531-2355-5298
                                                                                     email: ad@LBA.de

ENSTROM                                                                                    10.11.2016

Betroffenes Luftfahrtgerät:
Art des Luftfahrtgerätes:        Drehflügler
Inhaber der Musterzulassung:     Enstrom Helicopter Corporation
Hersteller:                      Enstrom Helicopter Corporation
Muster:                          ENSTROM F-28, ENSTROM 280, ENSTROM 480
Baureihen:                       Enstrom F-28A, F-28C, F-28C-2, F-28F, F-28F-R, 280, 280C, 280F, 280FX und
                                 480
Werknummern:                     Alle
Gerätenummer:                    3041, EASA.IM.R.122, FAA TCDS H1CE

Revisionsstand:
Diese LTA ersetzt D-2015-040R1 vom 13.04.2015

Airworthiness Directive der ausländischen Behörde:
EASA AD 2016-0221 vom 04.11.2016


Genannte Airworthiness Directives unter dieser Rubrik, die nicht durch die EASA herausgegeben worden sind,
wurden durch die EASA über die Entscheidung Nr. 02/2003 übernommen und sind somit ebenfalls Airworthiness
Directives der EASA.

Die genannte Airworthiness Directive wird im Luftfahrt-Bundesamt unter der Nummer 2015-040R2 geführt.

Betrifft:
(ATA 62) Main Rotor - Main Rotor Spindle - Inspection

Anmerkungen:

Gemäß M.A.303 und M.A.301 5.i) des Anhang I der Verordnung (EU) Nr. 1321/2014 (Teil-M) dürfen Luftfahr-
zeuge nach dem in der Lufttüchtigkeitsanweisung angegebenen Termin nur in Betrieb genommen werden,
wenn die angeordneten Maßnahmen ordnungsgemäß durchgeführt worden sind.

Die Europäische Agentur für Flugsicherheit (EASA) hat die oben referenzierte Lufttüchtigkeitsanweisung
EASA AD 2016-0221 vom 04.11.2016 herausgegeben oder per Entscheidung Nr. 02/2003 übernommen.
Gemäß § 14 Abs. 2 der Betriebsordnung für Luftfahrtgerät (LuftBO) sind diese Lufttüchtigkeitsanweisun-
gen direkt in der Bundesrepublik Deutschland gültig und bedürfen keiner Umsetzung durch das Luftfahrt-
Bundesamt.

Mit Hilfe dieser Übersichtsseite veröffentlicht das Luftfahrt-Bundesamt ebenfalls die über § 14 Abs. 2 direkt
gültige Lufttüchtigkeitsanweisungen der EASA in den Nachrichten für Luftfahrer und im Internet unter
www2.LBA.de/LTAs/. Dieser Service dient reinen Informationszwecken und liegt keinem Verwaltungsver-
fahren zu Grunde. Rechtsmittel sind damit ausgeschlossen.




D-2015-040R2                                    Seite 1 von 1                                           509/2016
3074

EASA AD No.: 2016-0221


                                                                  Airworthiness Directive
                                                                  AD No.:             2016-0221
                                                                  Issued:             04 November 2016
                                                                  Note: This Airworthiness Directive (AD) is issued by EASA, acting in accordance with
                                                                  Regulation (EC) 216/2008 on behalf of the European Union, its Member States and of the
                                                                  European third countries that participate in the activities of EASA under Article 66 of that
                                                                  Regulation.

         This AD is issued in accordance with Regulation (EU) 748/2012, Part 21.A.3B. In accordance with Regulation (EU) 1321/2014 Annex I, Part M.A.301,
         the continuing airworthiness of an aircraft shall be ensured by accomplishing any applicable ADs. Consequently, no person may operate an aircraft to
         which an AD applies, except in accordance with the requirements of that AD, unless otherwise specified by the Agency [Regulation (EU) 1321/2014
         Annex I, Part M.A.303] or agreed with the Authority of the State of Registry [Regulation (EC) 216/2008, Article 14(4) exemption].


         Design Approval Holder’s Name:                                                  Type/Model designation(s):
         ENSTROM HELICOPTER CORPORATION                                                  F-28 and 480 helicopters

         Effective Date:                     18 November 2016

         TCDS Number(s):                     EASA.IM.R.122

         Foreign AD:                         Federal Aviation Administration (FAA) AD 2015-08-51 dated 18 May 2015.

         Supersedure:                        None


         ATA 62 – Main Rotor – Main Rotor Spindle – Inspection


         Manufacturer(s):
         Enstrom Helicopter Corporation

         Applicability:
         Enstrom F-28A, F-28C, F-28C-2, F-28F, F-28F-R, 280, 280C, 280F and 280FX helicopters, all variants,
         all serial numbers; and Enstrom 480 helicopters, all serial numbers.

         Reason:
         In January 2015, a fatal accident occurred with an Enstrom 280FX helicopter. Preliminary results of
         the investigation indicated that the accident was caused by a crack in the spindle, which resulted in
         the separation of the main rotor blade from the helicopter. While the investigation could not
         determine when the crack initiated, it was able to determine that the crack existed, undetected, for
         a significant amount of time before the separation.

         This condition, if not detected and corrected, could result in loss of a main rotor blade and
         consequent loss of control of the helicopter.

         Prompted by these findings, Enstrom issued Service Directive Bulletin (SDB) No. 0119 and No. T-050
         (later revised three times), providing instructions for repetitive inspections of the spindles to detect

                                  TE.CAP.00110-005 © European Aviation Safety Agency. All rights reserved. ISO9001 Certified.                  Page 1 of 3
                                  Proprietary document. Copies are not controlled. Confirm revision status through the EASA-Internet/Intranet.
An agency of the European Union
3075

EASA AD No.: 2016-0221

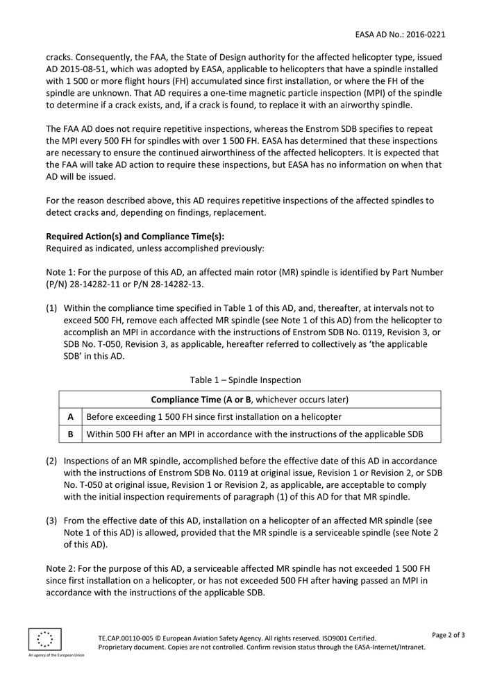
         cracks. Consequently, the FAA, the State of Design authority for the affected helicopter type, issued
         AD 2015-08-51, which was adopted by EASA, applicable to helicopters that have a spindle installed
         with 1 500 or more flight hours (FH) accumulated since first installation, or where the FH of the
         spindle are unknown. That AD requires a one-time magnetic particle inspection (MPI) of the spindle
         to determine if a crack exists, and, if a crack is found, to replace it with an airworthy spindle.

         The FAA AD does not require repetitive inspections, whereas the Enstrom SDB specifies to repeat
         the MPI every 500 FH for spindles with over 1 500 FH. EASA has determined that these inspections
         are necessary to ensure the continued airworthiness of the affected helicopters. It is expected that
         the FAA will take AD action to require these inspections, but EASA has no information on when that
         AD will be issued.

         For the reason described above, this AD requires repetitive inspections of the affected spindles to
         detect cracks and, depending on findings, replacement.

         Required Action(s) and Compliance Time(s):
         Required as indicated, unless accomplished previously:

         Note 1: For the purpose of this AD, an affected main rotor (MR) spindle is identified by Part Number
         (P/N) 28-14282-11 or P/N 28-14282-13.

         (1) Within the compliance time specified in Table 1 of this AD, and, thereafter, at intervals not to
             exceed 500 FH, remove each affected MR spindle (see Note 1 of this AD) from the helicopter to
             accomplish an MPI in accordance with the instructions of Enstrom SDB No. 0119, Revision 3, or
             SDB No. T-050, Revision 3, as applicable, hereafter referred to collectively as ‘the applicable
             SDB’ in this AD.

                                                                   Table 1 – Spindle Inspection

                                                      Compliance Time (A or B, whichever occurs later)
                     A            Before exceeding 1 500 FH since first installation on a helicopter
                     B            Within 500 FH after an MPI in accordance with the instructions of the applicable SDB

         (2) Inspections of an MR spindle, accomplished before the effective date of this AD in accordance
             with the instructions of Enstrom SDB No. 0119 at original issue, Revision 1 or Revision 2, or SDB
             No. T-050 at original issue, Revision 1 or Revision 2, as applicable, are acceptable to comply
             with the initial inspection requirements of paragraph (1) of this AD for that MR spindle.

         (3) From the effective date of this AD, installation on a helicopter of an affected MR spindle (see
             Note 1 of this AD) is allowed, provided that the MR spindle is a serviceable spindle (see Note 2
             of this AD).

         Note 2: For the purpose of this AD, a serviceable affected MR spindle has not exceeded 1 500 FH
         since first installation on a helicopter, or has not exceeded 500 FH after having passed an MPI in
         accordance with the instructions of the applicable SDB.



                                     TE.CAP.00110-005 © European Aviation Safety Agency. All rights reserved. ISO9001 Certified.                  Page 2 of 3
                                     Proprietary document. Copies are not controlled. Confirm revision status through the EASA-Internet/Intranet.
An agency of the European Union
3076

EASA AD No.: 2016-0221

         Ref. Publications:
         Enstrom Helicopter Corporation SDB No. 0119, original issue dated 11 February 2015, or Revision 1
         dated 1 April 2015, or Revision 2 dated 1 June 2015, or Revision 3 dated 24 June 2016.

         Enstrom Helicopter Corporation SDB No. T-050, original issue dated 11 February 2015, or Revision 1
         dated 1 April 2015, or Revision 2 dated 1 June 2015, or Revision 3 dated 24 June 2016.

         Remarks:
         1. If requested and appropriately substantiated, EASA can approve Alternative Methods of
            Compliance for this AD.

         2.        This AD was posted on 04 October 2016 as PAD 16-141 for consultation until 01 November
                   2016. No comments were received during the consultation period.

         3.        Enquiries regarding this AD should be referred to the EASA Safety Information Section,
                   Certification Directorate. E-mail: ADs@easa.europa.eu.

         4.        For any question concerning the technical content of the requirements in this AD, please
                   contact: Enstrom Helicopter Corporation, 2209 22nd Street, Menominee, Michigan 49858,
                   United States of America, Telephone: +1 906-863-1200, Fax: +1906-863-6621
                   E-mail: engineering@enstromhelicopter.com.




                                  TE.CAP.00110-005 © European Aviation Safety Agency. All rights reserved. ISO9001 Certified.                  Page 3 of 3
                                  Proprietary document. Copies are not controlled. Confirm revision status through the EASA-Internet/Intranet.
An agency of the European Union
3077

Lufttüchtigkeitsanweisung                        Luftfahrt-Bundesamt
                                                                                       - Sachgebiet T23 -
                                            D-2016-042R1                             38144 Braunschweig
                                   EASA AD 2016-0029R1 vom 17.11.2016                Fax: +49-531-2355-5298
                                                                                     email: ad@LBA.de

FOKKER                                                                                     18.11.2016

Betroffenes Luftfahrtgerät:
Art des Luftfahrtgerätes:       Flugzeug
Inhaber der Musterzulassung:    Fokker Services B.V.
Hersteller:                     Fokker Aircraft B.V.

Muster:                         FOKKER F28

Baureihen:                      F28 Mark 0100

Werknummern:                    11244 bis 11407

Gerätenummer:                   2824, EASA.A.037

Revisionsstand:
Diese LTA ersetzt D-2016-042 vom 03.03.2016

Airworthiness Directive der ausländischen Behörde:
EASA AD 2016-0029R1 vom 17.11.2016


Genannte Airworthiness Directives unter dieser Rubrik, die nicht durch die EASA herausgegeben worden sind,
wurden durch die EASA über die Entscheidung Nr. 02/2003 übernommen und sind somit ebenfalls Airworthiness
Directives der EASA.

Die genannte Airworthiness Directive wird im Luftfahrt-Bundesamt unter der Nummer 2016-042R1 geführt.

Betrifft:
(ATA 53) Fuselage - Upper Fuselage Skin External Doublers at TCAS Antenna Position - Inspection

Anmerkungen:

Gemäß M.A.303 und M.A.301 5.i) des Anhang I der Verordnung (EU) Nr. 1321/2014 (Teil-M) dürfen Luftfahr-
zeuge nach dem in der Lufttüchtigkeitsanweisung angegebenen Termin nur in Betrieb genommen werden,
wenn die angeordneten Maßnahmen ordnungsgemäß durchgeführt worden sind.

Die Europäische Agentur für Flugsicherheit (EASA) hat die oben referenzierte Lufttüchtigkeitsanweisung
EASA AD 2016-0029R1 vom 17.11.2016 herausgegeben oder per Entscheidung Nr. 02/2003 übernommen.
Gemäß § 14 Abs. 2 der Betriebsordnung für Luftfahrtgerät (LuftBO) sind diese Lufttüchtigkeitsanweisun-
gen direkt in der Bundesrepublik Deutschland gültig und bedürfen keiner Umsetzung durch das Luftfahrt-
Bundesamt.

Mit Hilfe dieser Übersichtsseite veröffentlicht das Luftfahrt-Bundesamt ebenfalls die über § 14 Abs. 2 direkt
gültige Lufttüchtigkeitsanweisungen der EASA in den Nachrichten für Luftfahrer und im Internet unter
www2.LBA.de/LTAs/. Dieser Service dient reinen Informationszwecken und liegt keinem Verwaltungsver-
fahren zu Grunde. Rechtsmittel sind damit ausgeschlossen.




D-2016-042R1                                    Seite 1 von 1                                           523/2016
3078

EASA AD No.: 2016-0029R1


                                                                  Airworthiness Directive
                                                                  AD No.: 2016-0029R1
                                                                  Issued:          17 November 2016
                                                                  Note: This Airworthiness Directive (AD) is issued by EASA, acting in accordance with Regulation
                                                                  (EC) 216/2008 on behalf of the European Union, its Member States and of the European third
                                                                  countries that participate in the activities of EASA under Article 66 of that Regulation.

         This AD is issued in accordance with Regulation (EU) 748/2012, Part 21.A.3B. In accordance with Regulation (EU) 1321/2014 Annex I, Part M.A.301, the
         continuing airworthiness of an aircraft shall be ensured by accomplishing any applicable ADs. Consequently, no person may operate an aircraft to which
         an AD applies, except in accordance with the requirements of that AD, unless otherwise specified by the Agency [Regulation (EU) 1321/2014 Annex I,
         Part M.A.303] or agreed with the Authority of the State of Registry [Regulation (EC) 216/2008, Article 14(4) exemption].


         Design Approval Holder’s Name:                                                    Type/Model designation(s):
         FOKKER SERVICES B.V.                                                              F28 aeroplanes

         Effective Date:                 Revision 1: 17 November 2016
                                         Original issue: 08 March 2016
         TCDS Number(s): EASA.A.037
         Foreign AD:                     Not applicable
         Revision:                       This AD revises EASA AD 2016-0029 dated 23 February 2016.


         ATA 53 – Fuselage – Upper Fuselage Skin External Doublers at TCAS Antenna
         Position – Inspection


         Manufacturer(s):
         Fokker Aircraft B.V.

         Applicability:
         F28 Mark 0100 aeroplanes, serial number (s/n) 11244 to s/n 11407 inclusive.

         Reason:
         A complementary fatigue and damage tolerance analysis was accomplished by the design approval
         holder on the traffic collision avoidance system (TCAS) antenna installation on the top of the
         fuselage between station (STA) 6805 and STA7305. Based on the results, it was determined that for
         the affected area, the current 58 000 flight cycles (FC) threshold of Airworthiness Limitations
         Section (ALS) inspection task 533001-00-20 and 533028-00-20 (special detailed inspection of
         longitudinal lap joints) is insufficient to timely detect possible crack development.

         This condition, if not detected and corrected, could affect the structural integrity of the fuselage in
         this area.

         To address this potential unsafe condition, Fokker Services published Service Bulletin (SB)
         SBF100-53-130 to provide inspection instructions.


                                  TE.CAP.00110-005 © European Aviation Safety Agency. All rights reserved. ISO9001 Certified.                  Page 1 of 3
                                  Proprietary document. Copies are not controlled. Confirm revision status through the EASA-Internet/Intranet.
An agency of the European Union
3079

EASA AD No.: 2016-0029R1


         Consequently, EASA issued AD 2016-0029 to require a one-time inspection of the fuselage skin
         around the largest TCAS antenna external doubler and of the longitudinal lap joint at stringer (STR)
         37 between fuselage STA6805 and STA7305.

         Since that AD was issued, it was discovered that another ALS inspection task, 533028-00-20, is also
         related to this subject. This AD is revised to clarify that the inspection threshold of both ALS
         inspection tasks has been re-assessed. It is expected that a repetitive inspection task will be
         included in the ALS, which will cover only the area close to the TCAS antenna installation. For the
         remainder of the affected lap joint, no change is anticipated and this will therefore continue to be
         inspected in accordance with the existing ALS tasks.

         This AD is still considered to be an interim action and further AD action may follow. More
         information on this subject can be found in Fokker Services All Operators Message AOF100.199#02.

         Required Action(s) and Compliance Time(s):
         Required as indicated, unless accomplished previously:

         One-time Inspection:
         (1) Within the compliance time specified in Table 1 of this AD, as applicable, inspect the fuselage
             skin around the largest TCAS antenna external doubler and of the longitudinal lap joint at STR37
             between fuselage STA6805 and STA7305 in accordance with the Accomplishment Instructions
             of Fokker Services SBF100-53-130.

                                                              Table 1 – Inspection Threshold

                                     FC Accumulated                            Compliance Time (after 08 March 2016, the
                                        (see Note)                             effective date of the original issue of this AD)
                                    45 000 FC or more                                              Within 750 FC
                                    40 000 FC or more,
                                                                                                  Within 1 500 FC
                                  but less than 45 000 FC

         Note: The FC indicated in column 1 of Table 1 of this AD are those accumulated by the aeroplane
         since its first flight, on 08 March 2016, the effective date of the original issue of this AD.

         Corrective Action(s):
         (2) If, during the inspection as required by paragraph (1) of this AD, any crack is found, before next
             flight, contact Fokker Services for approved repair instructions and accomplish those
             instructions accordingly.

         Ref. Publications:
         Fokker Services SBF100-53-130 original issue dated 01 December 2015, including SB Change
         Notification (SBCN) SBF100-53-130/REV-/01 dated 24 March 2016.

         The use of later approved revisions or SBCN of this document is acceptable for compliance with the
         requirements of this AD.


                                  TE.CAP.00110-005 © European Aviation Safety Agency. All rights reserved. ISO9001 Certified.                  Page 2 of 3
                                  Proprietary document. Copies are not controlled. Confirm revision status through the EASA-Internet/Intranet.
An agency of the European Union
3080

Zur nächsten Seite