Nachrichten für Luftfahrer 2019 Teil 2 (weicht ggf. von Druckversion ab)

/ 3386
PDF herunterladen
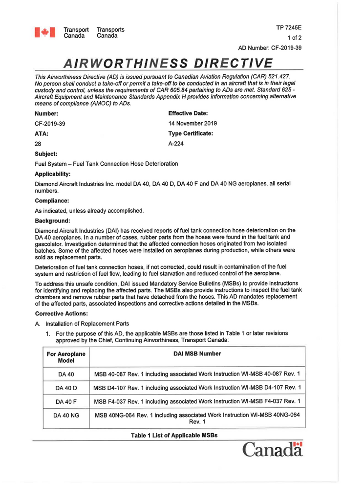
Transport Transports                                                                    TP7245E
            Canada    Canada                                                                             1 of 2
                                                                                    AD Number: CF-2019-39

           AIRWORTHINESS DIRECTIVE
This Airworthiness Directive (AD) is issued pursuant to Canadian Aviation Regulation (CAR) 521.427.
No person shall conduct a take-off or permit a take-off to be conducted in an aircraft that is in their legal
custody and control, unless the requirements of CAR 605.84 pertaining to ADs are met. Standard 625 -
Mieast Empiate Mint to A Standards Appendix provides information concerning alternative
Number:                                                 Effective Date:
CF-2019-39                                             14 November 2019

ATA:                                                   Type Certificate:
28                                                     A-224
Subject:
Fuel System - Fuel Tank Connection Hose Deterioration
Applicability:
Diamond Aircraft Industries Inc. model DA 40, DA 40 D, DA 40 F and DA 40 NG aeroplanes, all serial
numbers.

Compliance:
As indicated, unless already accomplished.
Background:
Diamond Aircraft Industries (DAI) has received reports of fuel tank connection hose deterioration on the
DA 40 aeroplanes. In a number of cases, rubber parts from the hoses were found in the fuel tank and
gascolator. Investigation determined that the affected connection hoses originated from two isolated
batches. Some of the affected hoses were installed on aeroplanes during production, while others were
sold as replacement parts.
Deterioration of fuel tank connection hoses, if not corrected, could result in contamination of the fuel
system and restriction of fuel flow, leading to fuel starvation and reduced control of the aeroplane.
To address this unsafe condition, DAl issued Mandatory Service Bulletins (MSBs) to provide instructions
for identifying and replacing the affected parts. The MSBs also provide instructions to inspect the fuel tank
chambers and remove rubber parts that have detached from the hoses. This AD mandates replacement
of the affected parts, associated inspections and corrective actions detailed in the MSBs.
Corrective Actions:
A. Installation of Replacement Parts



     For Aeroplane                                       DAI MSB Number
         Model

         DA 40          MSB 40-087 Rev. 1 including associated Work Instruction WI-MSB 40-087 Rev. 1
        DA 40 D         MSB D4-107 Rev. 1 including associated Work Instruction WI-MSB D4-107 Rev. 1
        DA 40 F         MSB F4-037 Rev. 1 including associated Work Instruction WI-MSB F4-037 Rev. 1
       DA 40 NG          MSB 40NG-064 Rev. 1 including associated Work Instruction WI-MSB 40NG-064
                                                                Rev. 1

                                        Table 1 List of Applicable MSBs

                                                                                      Canada
3181

CF-2019-39 2 of 2
   2. For the purpose of this AD, an affected part is a fuel tank connection hose having part number:
        a. D4D-2817-10-70 installed during production on DA 40 NG aeroplanes, serial numbers listed
            in the applicable MSB; or
        b. D4D-2817-10-70 or BENOLPRESS from specific service centre purchases listed in the
          applicable MSBs.
    3. From the effective date of this AD, an affected part is not eligible for installation as a replacement

B. Replacement of Installed Affected Parts
    1. Within 100 hours air time or 2 months, whichever occurs first, from the effective date of this AD,
        replace each affected part in accordance with the applicable MSBs.
   2. Within 100 hours air time or 2 months, whichever occurs first, from the effective date of this AD,
        replace each part that was installed as a replacement part on or after 13 July 2017, if it cannot be
        ascertained that the part is not an affected part listed in A.2.a. or A.2.b. above.
C. Inspection of Main Fuel Tank Chambers and Removal of Detached Rubber Parts
   1. Before further flight after replacing a fuel tank connection hose as required by Paragraph B
        above, inspect the main fuel tank chambers and remove any detached rubber parts in
        accordance with the applicable MSBs.
Authorization:
For the Minister of Transport,
ORIGINAL SIGNED BY


Rémy Knoerr
Chief, Continuing Airworthiness
Issued on 31 October 2019
Contact:

Philip Tang, Continuing Airworthiness, Ottawa, telephone 888-663-3639, facsimile 613-996-9178 or
e-mail AD-CN@tc.gc.ca or any Transport Canada Centre.
3182

Lufttüchtigkeitsanweisung                        Luftfahrt-Bundesamt
                                                                                         - Sachgebiet T23 -
                                               D-2019-291
 ИВА
                                                                                      38144 Braunschweig
                                      FAA AD 2019-19-02 - Amdt. 39-19738              Fax: +49-531-2355-5298
                                                                                      email: ad@LBA.de
 BOEING                                                                                      11.11.2019

Betroffenes Luftfahrtgerät:
Art des Luftfahrtgerätes:        Flugzeug
Inhaber der Musterzulassung:     The Boeing Company
 Hersteller:                     The Boeing Company
Muster:                          BOEING 747

Baureihen:                       747-400 und 747-400F
Werknummern:                     Gemäß Boeing Alert Requirements Bulletin 747-53A2900 RB vom 11.04.2019.
Gerätenummer:                    2832, EASA.IM.A. 196, FAA TCDS A20WE
Revisionsstand:
 Originalausgabe
Airworthiness Directive der ausländischen Behörde:
FAA AD 2019-19-02 - Amdt. 39-19738
 Genannte Airworthiness Directives unter dieser Rubrik, die nicht durch die EASA herausgegeben worden sind,
wurden durch die EASA über die Entscheidung Nr. 2019/018/ED übernommen und sind somit ebenfalls Airworthin-
ess Directives der EASA.

 Die genannte Airworthiness Directive wird im Luftfahrt-Bundesamt unter der Nummer 2019-291 geführt.
Betrifft:
(ATA 53) Fuselage - Underwing Longerons - Inspection

Anmerkungen:
Gemäß der EU Verordnung Nr. 1321/2014, Anhang I, Teil M, Unterabschnitt C, M.A.301 5.i) und M.A.303 dür-
Ten Luftfahrzeuge nach dem in der Lufttüchtigkeitsanweisung angegebenen Termin nur in Betrieb genom-
men werden, wenn die angeordneten Maßnahmen ordnungsgemäß durchgeführt worden sind.
Die Europäische Agentur für Flugsicherheit (EASA) hat die oben referenzierte Lufttüchtigkeitsanweisung
FAA AD 2019-19-02 - Amdt. 39-19738 herausgegeben oder per Entscheidung Nr. 2019/018/ED übernommen.
Gemäß § 14 Abs. 2 der Betriebsordnung für Luftfahrtgerät (LuftBO) sind diese Lufttüchtigkeitsanweisun-
gen direkt in der Bundesrepublik Deutschland gültig und bedürfen keiner Umsetzung durch das Luftfahrt-
Bundesamt.




D-2019-291                                     Seite 1 von 1                                           503/2019
3183

[Federal Register Volume 84, Number 205 (Wednesday, October 23, 2019)]
[Rules and Regulations]
[Pages 56678-566801
From the Federal Register Online via the Government Publishing Office [www.gpo.gov]
[FR Doc No: 2019-23074]


DEPARTMENT OF TRANSPORTATION
Federal Aviation Administration

14 CFR Part 39

[Docket No. FAA-2019-0524; Product Identifier 2019-NM-081-AD; Amendment 39-19738; AD
2019-19-021
RIN 2120-AA64

Airworthiness Directives; The Boeing Company Airplanes
AGENCY: Federal Aviation Administration (FAA), DOT.
ACTION: Final rule.



SUMMARY: The FAA is adopting a new airworthiness directive (AD) for certain The Boeing
Company Model 747-400 and 747-400F series airplanes. This AD was prompted by an evaluation
that determined fatigue cracks could develop in the underwing longerons. This AD requires repetitive
inspections of the underwing longerons and certain fuselage skins for any crack, and applicable on-
condition actions. The FAA is issuing this AD to address the unsafe condition on these products.
DATES: This AD is effective November 27, 2019.
    The Director of the Federal Register approved the incorporation by reference of a certain
publication listed in this AD as of November 27, 2019.
ADDRESSES: For service information identified in this final rule, contact Boeing Commercial
Airplanes, Attention: Contractual & Data Services (C&DS), 2600 Westminster Blvd., MC 110-SK57,
Seal Beach, CA 90740-5600; phone: 562-797-1717; internet: https://www.myboeingfleet.com. You
may view this service information at the FAA, Transport Standards Branch, 2200 South 216th St.,
Des Moines, WA. For information on the availability of this material at the FAA, call 206-231-3195.
It is also available on the internet at http://www.regulations.gov by searching for and locating Docket
No. FAA-2019-0524.

Examining the AD Docket
    You may examine the AD docket on the internet at http://www.regulations.gov by searching for
and locating Docket No. FAA-2019-0524; or in person at Docket Operations between 9 a.m. and 5
p.m., Monday through Friday, except Federal holidays. The AD docket contains this final rule, the
regulatory evaluation, any comments received, and other information. The address for Docket
3184

Operations is U.S. Department of Transportation, Docket Operations, M-30, West Building Ground
Floor, Room W12-140, 1200 New Jersey Avenue SE, Washington, DC 20590.
FOR FURTHER INFORMATION CONTACT: Eric Lin, Aerospace Engineer, Airframe Section,
FAA, Seattle ACO Branch, 2200 South 216th St., Des Moines, WA 98198; phone and fax: 206-231-
3523; email: eric.lin@faa.gov.
SUPPLEMENTARY INFORMATION:
Discussion

     The FAA issued a notice of proposed rulemaking (NPRM) to amend 14 CFR part 39 by adding
an AD that would apply to certain The Boeing Company Model 747-400 and 747-400F series
airplanes. The NPRM published in the Federal Register on July 12, 2019 (84 FR 33189). The NPRM
was prompted by an evaluation that determined fatigue cracks could develop in the underwing
longerons. The NPRM proposed to require repetitive inspections of the underwing longerons and
certain fuselage skins for any crack, and applicable on-condition actions.
    The FAA is issuing this AD to address cracks in the underwing longerons, which could result in
fuel leakage into the pressurized fuselage and increase the risk of a fire, and to address cracks in the
adjacent fuselage skin, which could result in rapid decompression. Either condition could adversely
affect the structural integrity of the airplane.
Comments

    The FAA gave the public the opportunity to participate in developing this final rule. The FAA
has considered the comments received. Boeing and United Airlines indicated concurrence with the
NPRM.

Conclusion

     The FAA reviewed the relevant data, considered the comments received, and determined that air
safety and the public interest require adopting this final rule as proposed, except for minor editorial
changes. The FAA has determined that these minor changes:
     Are consistent with the intent that was proposed in the NPRM for addressing the unsafe
condition; and
     Do not add any additional burden upon the public than was already proposed in the NPRM.
Related Service Information Under 1 CFR Part 51

    The FAA reviewed Boeing Alert Requirements Bulletin 747-53A2900 RB, dated April 11, 2019.
This service information describes procedures for repetitive detailed inspections and ultrasonic
inspections of the underwing longerons and the adjacent fuselage skin, and ultrasonic and surface
high frequency eddy current (HFEC) inspections of certain fuselage skins, on the left and right sides
of the airplane, for any crack, and applicable on-condition actions. On-condition actions include
repair.
     This service information is reasonably available because the interested parties have access to it
through their normal course of business or by the means identified in the ADDRESSES section.

Costs of Compliance
    The FAA estimates that this AD affects 20 airplanes of U.S. registry. The FAA estimates the
following costs to comply with this AD:

                                                    2
3185

Estimated Costs for Required Actions
            Action                    Labor cost         Parts Cost per                  Cost on U.S.
                                                          cost product                    operators
Detailed inspections of the 2 work-hours x $85 per                $O $170 per         $3,400 per
underwing longerons         hour = $170 per                         inspection         inspection cycle.
                                inspection cycle                         cycle
 Ultrasonic and HFEC           9 work-hours × $85 per                  • $765 per     $15,300 per
inspections of the adjacent    hour = $765 per                          inspection    inspection cycle.
fuselage skin                  inspection cycle                         cycle
 Ultrasonic inspections of the 2 work-hours x $85 per              0 inspection
                                                                     $170 per          $3,400 per
underwing longerons           hour = $170 per                                          inspection cycle.
                                inspection cycle                        cycle

    The FAA has received no definitive data that would enable us to provide cost estimates for the
on-condition actions specified in this AD.
Authority for This Rulemaking
     Title 49 of the United States Code specifies the FAA's authority to issue rules on aviation safety.
Subtitle I, section 106, describes the authority of the FAA Administrator. Subtitle VII: Aviation
Programs, describes in more detail the scope of the Agency's authority.
     The FAA is issuing this rulemaking under the authority described in Subtitle VII, Part A, Subpart
III, Section 44701: "General requirements." Under that section, Congress charges the FAA with
promoting safe flight of civil aircraft in air commerce by prescribing regulations for practices,
methods, and procedures the Administrator finds necessary for safety in air commerce. This
regulation is within the scope of that authority because it addresses an unsafe condition that is likely
to exist or develop on products identified in this rulemaking action.
     This AD is issued in accordance with authority delegated by the Executive Director, Aircraft
Certification Service, as authorized by FAA Order 8000.51C. In accordance with that order, issuance
of ADs is normally a function of the Compliance and Airworthiness Division, but during this
transition period, the Executive Director has delegated the authority to issue ADs applicable to
transport category airplanes and associated appliances to the Director of the System Oversight
Division.

Regulatory Findings
    This AD will not have federalism implications under Executive Order 13132. This AD will not
have a substantial direct effect on the States, on the relationship between the national government and
the States, or on the distribution of power and responsibilities among the various levels of
government.
    For the reasons discussed above, I certify that this AD:
    (1) Is not a "significant regulatory action" under Executive Order 12866,
    (2) Will not affect intrastate aviation in Alaska, and
    (3) Will not have a significant economic impact, positive or negative, on a substantial number of
small entities under the criteria of the Regulatory Flexibility Act.
List of Subjects in 14 CFR Part 39

    Air transportation, Aircraft, Aviation safety, Incorporation by reference, Safety.
                                                    3
3186

Adoption of the Amendment

     Accordingly, under the authority delegated to me by the Administrator, the FAA amends 14 CFR
part 39 as follows:
PART 39-AIRWORTHINESS DIRECTIVES

1. The authority citation for part 39 continues to read as follows:

    Authority: 49 U.S.C. 106(g), 40113, 44701.
§ 39.13 [Amended]

2. The FAA amends § 39.13 by adding the following new airworthiness directive (AD):




                                                   4
3187

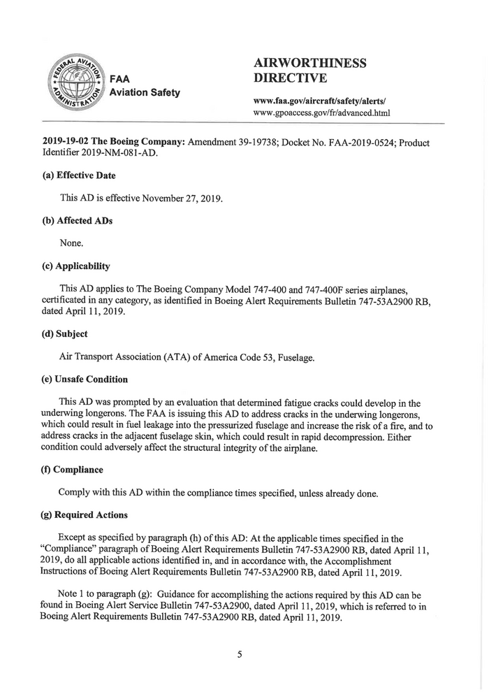
AIRWORTHINESS
                  FAA                                   DIRECTIVE
                  Aviation Safety
                                                        www.faa.gov/aircraft/safety/alerts/
                                                        www.gpoaccess.gov/fr/advanced.html

2019-19-02 The Boeing Company: Amendment 39-19738; Docket No. FAA-2019-0524; Product
Identifier 2019-NM-081-AD.
(a) Effective Date

     This AD is effective November 27, 2019.
(b) Affected ADs
     None.


(c) Applicability

     This AD applies to The Boeing Company Model 747-400 and 747-400F series airplanes,
certificated in any category, as identified in Boeing Alert Requirements Bulletin 747-53A2900 RB,
dated April 11, 2019.
(d) Subject

     Air Transport Association (ATA) of America Code 53, Fuselage.
(e) Unsafe Condition

    This AD was prompted by an evaluation that determined fatigue cracks could develop in the
underwing longerons. The FAA is issuing this AD to address cracks in the underwing longerons,
which could result in fuel leakage into the pressurized fuselage and increase the risk of a fire, and to
address cracks in the adjacent fuselage skin, which could result in rapid decompression. Either
condition could adversely affect the structural integrity of the airplane.
(t) Compliance

    Comply with this AD within the compliance times specified, unless already done.
(g) Required Actions

    Except as specified by paragraph (h) of this AD: At the applicable times specified in the
"Compliance" paragraph of Boeing Alert Requirements Bulletin 747-53A2900 RB, dated April 11,
2019, do all applicable actions identified in, and in accordance with, the Accomplishment
Instructions of Boeing Alert Requirements Bulletin 747-53A2900 RB, dated April 11, 2019.
    Note 1 to paragraph (g): Guidance for accomplishing the actions required by this AD can be
found in Boeing Alert Service Bulletin 747-53A2900, dated April 11, 2019, which is referred to in
Boeing Alert Requirements Bulletin 747-53A2900 RB, dated April 11, 2019.

                                                    5
3188

(h) Exceptions to Service Information Specifications
    (1) For purposes of determining compliance with the requirements of this AD: Where Boeing
Alert Requirements Bulletin 747-53A2900 RB, dated April 11, 2019, uses the phrase "the original
issue date of Requirements Bulletin 747-53A2900 RB," this AD requires using "the effective date of
this AD."
    (2) Where Boeing Alert Requirements Bulletin 747-53A2900 RB, dated April 11, 2019, specifies
contacting Boeing for repair instructions: This AD requires doing the repair using a method approved
in accordance with the procedures specified in paragraph (i) of this AD.

i Alternative Methods of Compliance (AMOCs)

    (1) The Manager, Seattle ACO Branch, FAA, has the authority to approve AMOCs for this AD,
if requested using the procedures found in 14 CFR 39.19. In accordance with 14 CFR 39.19, send
your request to your principal inspector or local Flight Standards District Office, as appropriate. If
sending information directly to the manager of the certification office, send it to the attention of the
person identified in paragraph (j) of this AD. Information may be emailed to: 9-ANM-Seattle-ACO-
AMOC-Requests@faa.gov.
    (2) Before using any approved AMOC, notify your appropriate principal inspector, or lacking a
principal inspector, the manager of the local flight standards district office/certificate holding district
office.
    (3) An AMOC that provides an acceptable level of safety may be used for any repair,
rganization Designation Authorization (DA)  that has been at   rice  by ng Conager,   Seattle
ACO Branch, FAA, to make those findings. To be approved, the repair method, modification
deviation, or alteration deviation must meet the certification basis of the airplane, and the approval
must specifically refer to this AD.
(i) Related Information

   For more information about this AD, contact Eric Lin, Aerospace Engineer, Airframe Section,
FAA, Seattle ACO Branch, 2200 South 216th St., Des Moines, WA 98198; phone and fax: 206-231-
3523; email: eric.lin@faa.gov.

(k) Material Incorporated by Reference

    (1) The Director of the Federal Register approved the incorporation by reference (IBR) of the
service information listed in this paragraph under 5 U.S.C. 552(a) and 1 CFR part 51.
    (2) You must use this service information as applicable to do the actions required by this AD,
unless the AD specifies otherwise.
    (i) Boeing Alert Requirements Bulletin 747-53A2900 RB, dated April 11, 2019.
    (11) [Reserved]
    (3) For service information identified in this AD, contact Boeing Commercial Airplanes,
Attention: Contractual & Data Services (C&DS), 2600 Westminster Blvd., MC 110-SK57, Seal
Beach, CA 90740-5600; phone: 562-797-1717; internet: https://www.myboeingfleet.com.
    (4) You may view this service information at the FAA, Transport Standards Branch, 2200 South
216th St., Des Moines, WA. For information on the availability of this material at the FAA, call 206-
231-3195.
   (5) You may view this service information that is incorporated by reference at the National
Archives and Records Administration (NARA). For information on the availability of this material at
NARA, email fedreg.legal@nara.gov, or go to: http://www.archives.gov/federal-register/cfr/ibr-
locations.html.
                                                     6
3189

Issued in Des Moines, Washington, on September 19, 2019.
Suzanne Masterson,
Acting Director, System Oversight Division,
Aircraft Certification Service.




                                              7
3190

Zur nächsten Seite