Nachrichten für Luftfahrer 2021 Teil 2 (weicht ggf. von Druckversion ab)

/ 3270
PDF herunterladen
LUFTTÜCHTIGKEITSANWEISUNGEN
                                                                                                          TP 7245E




                                                                                                                        2021-2-615
                                                                                                               1 of 2
                                                                                          AD Number: CF-2021-19


                 AIRWORTHINESS DIRECTIVE
      This Airworthiness Directive (AD) is issued pursuant to Canadian Aviation Regulation (CAR) 521.427.
      No person shall conduct a take-off or permit a take-off to be conducted in an aircraft that is in their legal
      custody and control, unless the requirements of CAR 605.84 pertaining to ADs are met. Standard 625 -
      Aircraft Equipment and Maintenance Standards Appendix H provides information concerning alternative
      means of compliance (AMOC) with ADs.

      Number:                                                Effective Date:
      CF-2021-19                                             27 May 2021
      ATA:                                                   Type Certificate:
      34                                                     A-276
      Subject:
      Navigation System – Uncommanded Heading Change from Magnetic (MAG) to True (TRU)
      Applicability:
      MHI RJ Aviation ULC. (formerly Bombardier Inc.) aeroplanes:
      Model CL-600-2B19, equipped with inertial reference system (IRS) part number (P/N)
      465020-0400-0400, 465020-0400-0401, 465020-0400-0402 or 465020-0400-0403;
      Model CL-600-2C10, CL-600-2C11, CL-600-2D15 and CL-600-2D24, equipped with IRS P/N
      465020-0400-0401, 465020-0400-0402 or 465020-0400-0403;
      Model CL-600-2E25, equipped with IRS P/N 465020-0400-0402 or 465020-0400-0403.
      Compliance:
      Within 30 days from the effective date of this AD, unless already accomplished.
      Background:
      MHI RJ Aviation has received reports from operators whereby the displayed heading changed from MAG
      to TRU with no pilot action. An uncommanded change of the indicated heading from MAG to TRU may
      result in misleading heading information (greater than 10 degrees in certain areas) on both pilot primary
      flight displays (PFDs) and multi-function displays (MFDs) and misleading course information on flight
      management systems (FMS).
      Despite possible warnings and guidance provided by other systems such as traffic collision avoidance
      system (TCAS), enhanced ground proximity warning system (EGPWS) or air traffic control (ATC), this
      situation may lead to the aircraft being operated outside the terrain and obstacle protection provided in
      instrument procedure and route designs, and could result in reduced operational safety margins.
      This AD mandates the Airplane Flight Manual (AFM) update to the Instrument Systems Abnormal
      Procedures.
      Corrective Actions:
      A. Amend the applicable Transport Canada (TC) approved AFM by incorporating the revision to the
         Chapter 05 – Abnormal Procedures – Instrument Systems as listed in Table 1 below:
                                                                                                                        27.05.2021
1511

LUFTTÜCHTIGKEITSANWEISUNGEN
                                                                                             CF-2021-19 2 of 2




                                                                                                                 2021-2-615
          Table 1

            Aeroplane Model            AFM No                          AFM Revision

              CL-600-2B19        CSP A-012      AFM Revision 74, dated 3 July 2020, or later revisions of this
                                                procedure approved by TC
            CL-600-2C10 and      CSP B-012      AFM Revision 30, dated 28 February 2020, or later revisions
             CL-600-2C11                        of this procedure approved by TC
            CL-600-2D15 and      CSP C-012      AFM Revision 24, dated 27 March 2020, or later revisions of
             CL-600-2D24                        this procedure approved by TC
              CL-600-2E25        CSP D-012      AFM Revision 23, dated 14 February 2020, or later revisions
                                                of this procedure approved by TC

      B. Following the incorporation of the above-mentioned AFM revisions, advise all flight crews of the
         changes introduced by these revisions and thereafter operate the aircraft accordingly.
      Authorization:
      For the Minister of Transport,


      ORIGINAL SIGNED BY


      Matthew Weeks
      Acting Chief, Continuing Airworthiness
      Issued on 13 May 2021
      Contact:
      Philip Lynch, Continuing Airworthiness, Ottawa, telephone 888-663-3639, facsimile 613-996-9178 or
      e-mail TC.AirworthinessDirectives-Consignesdenavigabilite.TC@tc.gc.ca or any Transport Canada
      Centre.




                                                                                                                 27.05.2021
1512

LUFTTÜCHTIGKEITSANWEISUNGEN




                                                                                                                   2021-2-615
                                         Lufttüchtigkeitsanweisung                     Luftfahrt-Bundesamt
                                                                                          - Sachgebiet T12 -
                                                 D-2021-136                            38144 Braunschweig
                                         FAA AD 2021-08-10 - Amdt. 39-21504            Fax: +49-531-2355-5197
                                                                                       email: AD@LBA.de

  MCDONNELL DOUGLAS                                                                           20.05.2021

  Betroffenes Luftfahrtgerät:
  Art des Luftfahrtgerätes:       Flugzeug
  Inhaber der Musterzulassung:    The Boeing Company
  Hersteller:                     McDonnell Douglas Corporation

  Muster:                         DC-10 / MD-11

  Baureihen:                      DC-10-10, DC-10-10F, DC-10-15, DC-10-30, DC-10-30F, DC-10-30F (KC-10A
                                  und KDC-10), DC-10-40, DC-10-40F, MD-10-10F und MD-10-30F

  Werknummern:                    Alle

  Gerätenummer:                   2835, EASA.IM.A.210, FAA TCDS A22WE

  Revisionsstand:
  Originalausgabe
  Airworthiness Directive der ausländischen Behörde:
  FAA AD 2021-08-10 - Amdt. 39-21504

  Genannte Airworthiness Directives unter dieser Rubrik, die nicht durch die EASA herausgegeben worden sind,
  wurden durch die EASA über die Entscheidung Nr. 2019/018/ED übernommen und sind somit ebenfalls Airworthin-
  ess Directives der EASA.
  Die genannte Airworthiness Directive wird im Luftfahrt-Bundesamt unter der Nummer 2021-136 geführt.
  Betrifft:
  (ATA 54) Nacelles / Pylons - Left and Right Wing Pylon at the Aft Bulkhead Bracket - Repetitive Inspections /
  Modifikation

  Anmerkungen:
  Gemäß der EU Verordnung Nr. 1321/2014, Anhang I, Teil M, Unterabschnitt C, M.A.301 5.i) und M.A.303 dür-
  fen Luftfahrzeuge nach dem in der Lufttüchtigkeitsanweisung angegebenen Termin nur in Betrieb genom-
  men werden, wenn die angeordneten Maßnahmen ordnungsgemäß durchgeführt worden sind.
  Die Europäische Agentur für Flugsicherheit (EASA) hat die oben referenzierte Lufttüchtigkeitsanweisung
  FAA AD 2021-08-10 - Amdt. 39-21504 herausgegeben oder per Entscheidung Nr. 2019/018/ED übernommen.
  Gemäß § 14 Abs. 2 der Betriebsordnung für Luftfahrtgerät (LuftBO) sind diese Lufttüchtigkeitsanweisun-
  gen direkt in der Bundesrepublik Deutschland gültig und bedürfen keiner Umsetzung durch das Luftfahrt-
  Bundesamt.
  Mit Hilfe dieser Übersichtsseite veröffentlicht das Luftfahrt-Bundesamt ebenfalls die über § 14 Abs. 2 direkt
  gültigen Lufttüchtigkeitsanweisungen der EASA in den Nachrichten für Luftfahrer und im Internet unter
  www2.LBA.de/LTAs/. Dieser Service dient reinen Informationszwecken und liegt keinem Verwaltungsver-
  fahren zu Grunde. Rechtsmittel sind damit ausgeschlossen.
                                                                                                                   27.05.2021




  D-2021-136                                      Seite 1 von 1                                         179/2021
1513

LUFTTÜCHTIGKEITSANWEISUNGEN




                                                                                                              2021-2-615
     [Federal Register Volume 86, Number 74 (Tuesday, April 20, 2021)]
     [Rules and Regulations]
     [Pages 20448-20451]
     From the Federal Register Online via the Government Publishing Office [www.gpo.gov]
     [FR Doc No: 2021-08055]

     ––––––––––––––––––––––––––––––––––

     DEPARTMENT OF TRANSPORTATION

     Federal Aviation Administration

     14 CFR Part 39

     [Docket No. FAA-2020-1167; Project Identifier AD-2020-01007-T; Amendment 39-21504; AD
     2021-08-10]

     RIN 2120-AA64

     Airworthiness Directives; The Boeing Company Airplanes

     AGENCY: Federal Aviation Administration (FAA), DOT.

     ACTION: Final rule.

     ––––––––––––––––––––––––––––––––––

     SUMMARY: The FAA is adopting a new airworthiness directive (AD) for all The Boeing Company
     Model DC-10-10, DC-10-10F, DC-10-15, DC-10-30, DC-10-30F (KC-10A and KDC-10), DC-10-40
     and DC-10-40F airplanes; and Model MD-10-10F and MD-10-30F airplanes. This AD was prompted
     by a report that an operator found a crack in the upper flange of the pylon aft bulkhead bracket. This
     AD requires a general visual inspection of the left and right wing pylon at the aft bulkhead bracket
     for any lockbolt and collar; repetitive surface and open hole eddy current high frequency (ETHF)
     inspections of the left and right wing pylon at the aft bulkhead bracket for any cracking; and
     applicable on-condition actions. The FAA is issuing this AD to address the unsafe condition on these
     products.

     DATES: This AD is effective May 25, 2021.
         The Director of the Federal Register approved the incorporation by reference of a certain
     publication listed in this AD as of May 25, 2021.

     ADDRESSES: For service information identified in this final rule, contact Boeing Commercial
     Airplanes, Attention: Contractual & Data Services (C&DS), 2600 Westminster Blvd., MC 110-SK57,
     Seal Beach, CA 90740-5600; telephone 562-797-1717; internet https://www.myboeingfleet.com. You
     may view this service information at the FAA, Airworthiness Products Section, Operational Safety
     Branch, 2200 South 216th St., Des Moines, WA. For information on the availability of this material
     at the FAA, call 206-231-3195. It is also available at https://www.regulations.gov by searching for
     and locating Docket No. FAA-2020-1167.
                                                                                                              27.05.2021




                                                       1
1514

LUFTTÜCHTIGKEITSANWEISUNGEN




                                                                                                               2021-2-615
     Examining the AD Docket

          You may examine the AD docket at https://www.regulations.gov by searching for and locating
     Docket No. FAA-2020-1167; or in person at Docket Operations between 9 a.m. and 5 p.m., Monday
     through Friday, except Federal holidays. The AD docket contains this final rule, any comments
     received, and other information. The address for Docket Operations is U.S. Department of
     Transportation, Docket Operations, M-30, West Building Ground Floor, Room W12-140, 1200 New
     Jersey Avenue SE, Washington, DC 20590.

     FOR FURTHER INFORMATION CONTACT: Manuel Hernandez, Aerospace Engineer,
     Airframe Section, FAA, Los Angeles ACO Branch, 3960 Paramount Boulevard, Lakewood, CA
     90712-4137; phone: 562-627-5256; fax: 562-627-5210; email: Manuel.F.Hernandez@faa.gov.

     SUPPLEMENTARY INFORMATION:

     Background

          The FAA issued a notice of proposed rulemaking (NPRM) to amend 14 CFR part 39 by adding
     an AD that would apply to all The Boeing Company Model DC-10-10, DC-10-10F, DC-10-15, DC-
     10-30, DC-10-30F (KC-10A and KDC-10), DC-10-40 and DC-10-40F airplanes; and Model MD-10-
     10F and MD-10-30F airplanes. The NPRM published in the Federal Register on January 15, 2021 (86
     FR 3885). The NPRM was prompted by a report that an operator found a crack in the upper flange of
     the pylon aft bulkhead bracket. In the NPRM, the FAA proposed to require a general visual
     inspection of the left and right wing pylon at the aft bulkhead bracket for any lockbolt and collar;
     repetitive surface and open hole ETHF inspections of the left and right wing pylon at the aft bulkhead
     bracket for any cracking; and applicable on-condition actions. The FAA is issuing this AD to address
     possible cracking of the wing pylon at the aft bulkhead bracket, which could result in the inability of
     the pylon to sustain limit load and adversely affect the structural integrity of the airplane.

     Discussion of Final Airworthiness Directive

     Comments

         The FAA received a comment from The Air Line Pilots Association, International (ALPA) who
     supported the NPRM without change.

     Conclusion

          The FAA reviewed the relevant data, considered any comments received, and determined that air
     safety requires adopting this AD as proposed. Except for minor editorial changes, this AD is adopted
     as proposed in the NPRM. None of the changes will increase the economic burden on any operator.

     Related Service Information Under 1 CFR Part 51

          The FAA reviewed Boeing Alert Requirements Bulletin DC10-54A111 RB, dated June 26, 2020.
     The service information describes procedures for a general visual inspection of the left and right wing
     pylon at the aft bulkhead bracket for any lockbolt and collar; repetitive surface and open hole ETHF
     inspections of the left and right wing pylon at the aft bulkhead bracket for any cracking; and
     applicable on-condition actions. On-condition actions include modifying any aft bulkhead bracket
     that has a lockbolt and collar, and repair or replacement of the aft bulkhead bracket.
                                                                                                               27.05.2021




          This service information is reasonably available because the interested parties have access to it
     through their normal course of business or by the means identified in ADDRESSES.

                                                       2
1515

LUFTTÜCHTIGKEITSANWEISUNGEN




                                                                                                                 2021-2-615
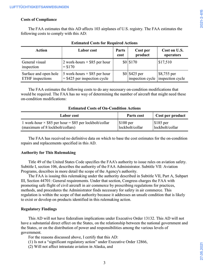
     Costs of Compliance

          The FAA estimates that this AD affects 103 airplanes of U.S. registry. The FAA estimates the
     following costs to comply with this AD:

                                    Estimated Costs for Required Actions
              Action                    Labor cost              Parts       Cost per         Cost on U.S.
                                                                 cost       product           operators
     General visual            2 work-hours × $85 per hour          $0 $170                $17,510
     inspection                = $170
     Surface and open hole     5 work-hours × $85 per hour          $0 $425 per         $8,755 per
     ETHF inspections          = $425 per inspection cycle             inspection cycle inspection cycle

         The FAA estimates the following costs to do any necessary on-condition modifications that
     would be required. The FAA has no way of determining the number of aircraft that might need these
     on-condition modifications:

                                  Estimated Costs of On-Condition Actions
                             Labor cost                                 Parts cost       Cost per product
     1 work-hour × $85 per hour = $85 per lockbolt/collar         $100 per              $185 per
     (maximum of 8 lockbolt/collars)                              lockbolt/collar       lockbolt/collar

         The FAA has received no definitive data on which to base the cost estimates for the on-condition
     repairs and replacements specified in this AD.

     Authority for This Rulemaking

           Title 49 of the United States Code specifies the FAA's authority to issue rules on aviation safety.
     Subtitle I, section 106, describes the authority of the FAA Administrator. Subtitle VII: Aviation
     Programs, describes in more detail the scope of the Agency's authority.
           The FAA is issuing this rulemaking under the authority described in Subtitle VII, Part A, Subpart
     III, Section 44701: General requirements. Under that section, Congress charges the FAA with
     promoting safe flight of civil aircraft in air commerce by prescribing regulations for practices,
     methods, and procedures the Administrator finds necessary for safety in air commerce. This
     regulation is within the scope of that authority because it addresses an unsafe condition that is likely
     to exist or develop on products identified in this rulemaking action.

     Regulatory Findings

          This AD will not have federalism implications under Executive Order 13132. This AD will not
     have a substantial direct effect on the States, on the relationship between the national government and
     the States, or on the distribution of power and responsibilities among the various levels of
     government.
          For the reasons discussed above, I certify that this AD:
          (1) Is not a “significant regulatory action” under Executive Order 12866,
                                                                                                                 27.05.2021




          (2) Will not affect intrastate aviation in Alaska, and


                                                        3
1516

LUFTTÜCHTIGKEITSANWEISUNGEN




                                                                                                             2021-2-615
         (3) Will not have a significant economic impact, positive or negative, on a substantial number of
     small entities under the criteria of the Regulatory Flexibility Act.

     List of Subjects in 14 CFR Part 39

         Air transportation, Aircraft, Aviation safety, Incorporation by reference, Safety.

     The Amendment

          Accordingly, under the authority delegated to me by the Administrator, the FAA amends 14 CFR
     part 39 as follows:

     PART 39–AIRWORTHINESS DIRECTIVES

     1. The authority citation for part 39 continues to read as follows:

         Authority: 49 U.S.C. 106(g), 40113, 44701.

     § 39.13 [Amended]

     2. The FAA amends § 39.13 by adding the following new airworthiness directive:




                                                                                                             27.05.2021




                                                         4
1517

LUFTTÜCHTIGKEITSANWEISUNGEN




                                                                                                                 2021-2-615
                                                             AIRWORTHINESS
                      FAA                                    DIRECTIVE
                      Aviation Safety
                                                             www.faa.gov/aircraft/safety/alerts/
                                                             www.gpoaccess.gov/fr/advanced.html


     2021-08-10 The Boeing Company: Amendment 39-21504; Docket No. FAA-2020-1167; Project
     Identifier AD-2020-01007-T.

     (a) Effective Date

         This airworthiness directive (AD) is effective May 25, 2021.

     (b) Affected ADs

         None.

     (c) Applicability

          This AD applies to all The Boeing Company airplanes specified in paragraphs (c)(1) through (5)
     of this AD, certificated in any category.
          (1) Model DC-10-10 and DC-10-10F airplanes.
          (2) Model DC-10-15 airplanes.
          (3) Model DC-10-30 and DC-10-30F (KC-10A and KDC-10) airplanes.
          (4) Model DC-10-40 and DC-10-40F airplanes.
          (5) Model MD-10-10F and MD-10-30F airplanes.

     (d) Subject

         Air Transport Association (ATA) of America Code 54, Nacelles/pylons.

     (e) Unsafe Condition

         This AD was prompted by a report that an operator found a crack in the upper flange of the
     pylon aft bulkhead bracket. The FAA is issuing this AD to address possible cracking of the wing
     pylon at the aft bulkhead bracket, which could result in the inability of the pylon to sustain limit load
     and adversely affect the structural integrity of the airplane.

     (f) Compliance

         Comply with this AD within the compliance times specified, unless already done.

     (g) Required Actions

          Except as specified by paragraph (h) of this AD: At the applicable times specified in the
     “Compliance” paragraph of Boeing Alert Requirements Bulletin DC10-54A111 RB, dated June 26,
     2020, do all applicable actions identified in, and in accordance with, the Accomplishment
     Instructions of Boeing Alert Requirements Bulletin DC10-54A111 RB, dated June 26, 2020.
                                                                                                                 27.05.2021




                                                         5
1518

LUFTTÜCHTIGKEITSANWEISUNGEN




                                                                                                                2021-2-615
         Note 1 to paragraph (g): Guidance for accomplishing the actions required by this AD can be
     found in Boeing Alert Service Bulletin DC10-54A111, dated June 26, 2020, which is referred to in
     Boeing Alert Requirements Bulletin DC10-54A111 RB, dated June 26, 2020.

     (h) Exceptions to Service Information Specifications

          (1) Where Boeing Alert Requirements Bulletin DC10-54A111 RB, dated June 26, 2020, uses the
     phrase “the original issue date of Requirements Bulletin DC10-54A111 RB,” this AD requires using
     “the effective date of this AD.”
          (2) Where Boeing Alert Requirements Bulletin DC10-54A111 RB, dated June 26, 2020,
     specifies contacting Boeing for repair, modification, or replacement instructions: This AD requires
     doing the repair, modification, or replacement using a method approved in accordance with the
     procedures specified in paragraph (i) of this AD.

     (i) Alternative Methods of Compliance (AMOCs)

         (1) The Manager, Los Angeles ACO Branch, FAA, has the authority to approve AMOCs for this
     AD, if requested using the procedures found in 14 CFR 39.19. In accordance with 14 CFR 39.19,
     send your request to your principal inspector or responsible Flight Standards Office, as appropriate. If
     sending information directly to the manager of the certification office, send it to the attention of the
     person identified in paragraph (j)(1) of this AD. Information may be emailed to: 9-ANM-LAACO-
     AMOC-Requests@faa.gov.
         (2) Before using any approved AMOC, notify your appropriate principal inspector, or lacking a
     principal inspector, the manager of the responsible Flight Standards Office.
         (3) An AMOC that provides an acceptable level of safety may be used for any repair,
     modification, or alteration required by this AD if it is approved by The Boeing Company
     Organization Designation Authorization (ODA) that has been authorized by the Manager, Los
     Angeles ACO Branch, FAA, to make those findings. To be approved, the repair method, modification
     deviation, or alteration deviation must meet the certification basis of the airplane, and the approval
     must specifically refer to this AD.

     (j) Related Information

          (1) For more information about this AD, contact Manuel Hernandez, Aerospace Engineer,
     Airframe Section, FAA, Los Angeles ACO Branch, 3960 Paramount Boulevard, Lakewood, CA
     90712-4137; phone: 562-627-5256; fax: 562-627-5210; email: Manuel.F.Hernandez@faa.gov.
          (2) Service information identified in this AD that is not incorporated by reference is available at
     the addresses specified in paragraphs (k)(3) and (4) of this AD.

     (k) Material Incorporated by Reference

          (1) The Director of the Federal Register approved the incorporation by reference (IBR) of the
     service information listed in this paragraph under 5 U.S.C. 552(a) and 1 CFR part 51.
          (2) You must use this service information as applicable to do the actions required by this AD,
     unless the AD specifies otherwise.
          (i) Boeing Alert Requirements Bulletin DC10-54A111 RB, dated June 26, 2020.
          (ii) [Reserved]
          (3) For service information identified in this AD, contact Boeing Commercial Airplanes,
     Attention: Contractual & Data Services (C&DS), 2600 Westminster Blvd., MC 110-SK57, Seal
     Beach, CA 90740-5600; telephone 562-797-1717; internet https://www.myboeingfleet.com.
                                                                                                                27.05.2021




                                                         6
1519

LUFTTÜCHTIGKEITSANWEISUNGEN




                                                                                                           2021-2-615
          (4) You may view this service information at the FAA, Airworthiness Products Section,
     Operational Safety Branch, 2200 South 216th St., Des Moines, WA. For information on the
     availability of this material at the FAA, call 206-231-3195.
          (5) You may view this service information that is incorporated by reference at the National
     Archives and Records Administration (NARA). For information on the availability of this material at
     NARA, email fedreg.legal@nara.gov, or go to: https://www.archives.gov/federal-register/cfr/ibr-
     locations.html.

         Issued on April 1, 2021.
     Lance T. Gant,
     Director, Compliance & Airworthiness Division, Aircraft Certification Service.
     [FR Doc. 2021-08055 Filed 4-19-21; 8:45 am]




                                                                                                           27.05.2021




                                                      7
1520

Zur nächsten Seite